Contribution of Fertilizer, Density and Row Spacing Practices for Maize Yield and Efficiency Enhancement in Northeast China
Abstract
1. Introduction
2. Results
2.1. The Identified Optimum Mode
2.2. The Vertical Distribution of LAI
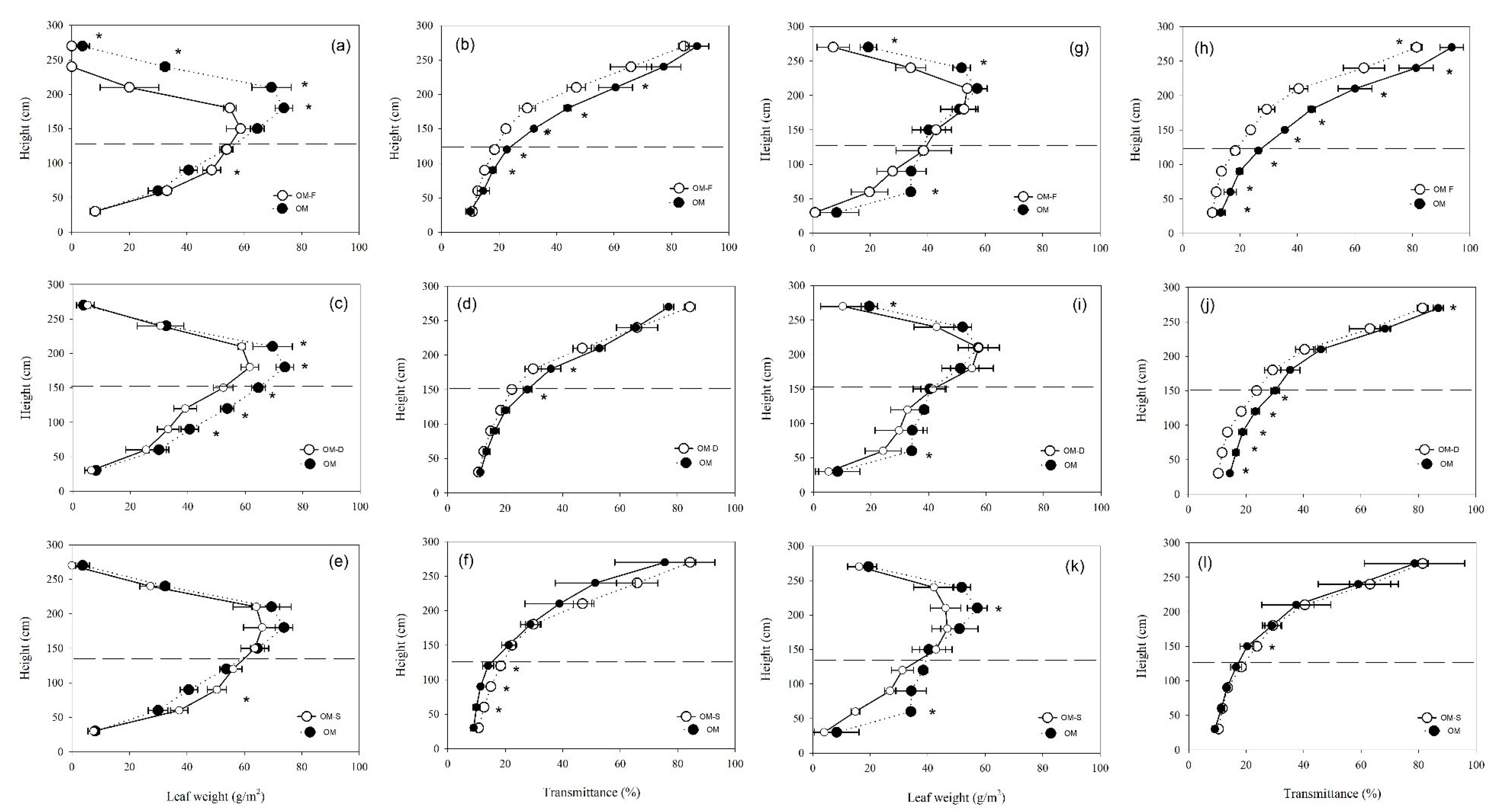
2.3. The Vertical Distribution of Leaves Weight and Transmittance
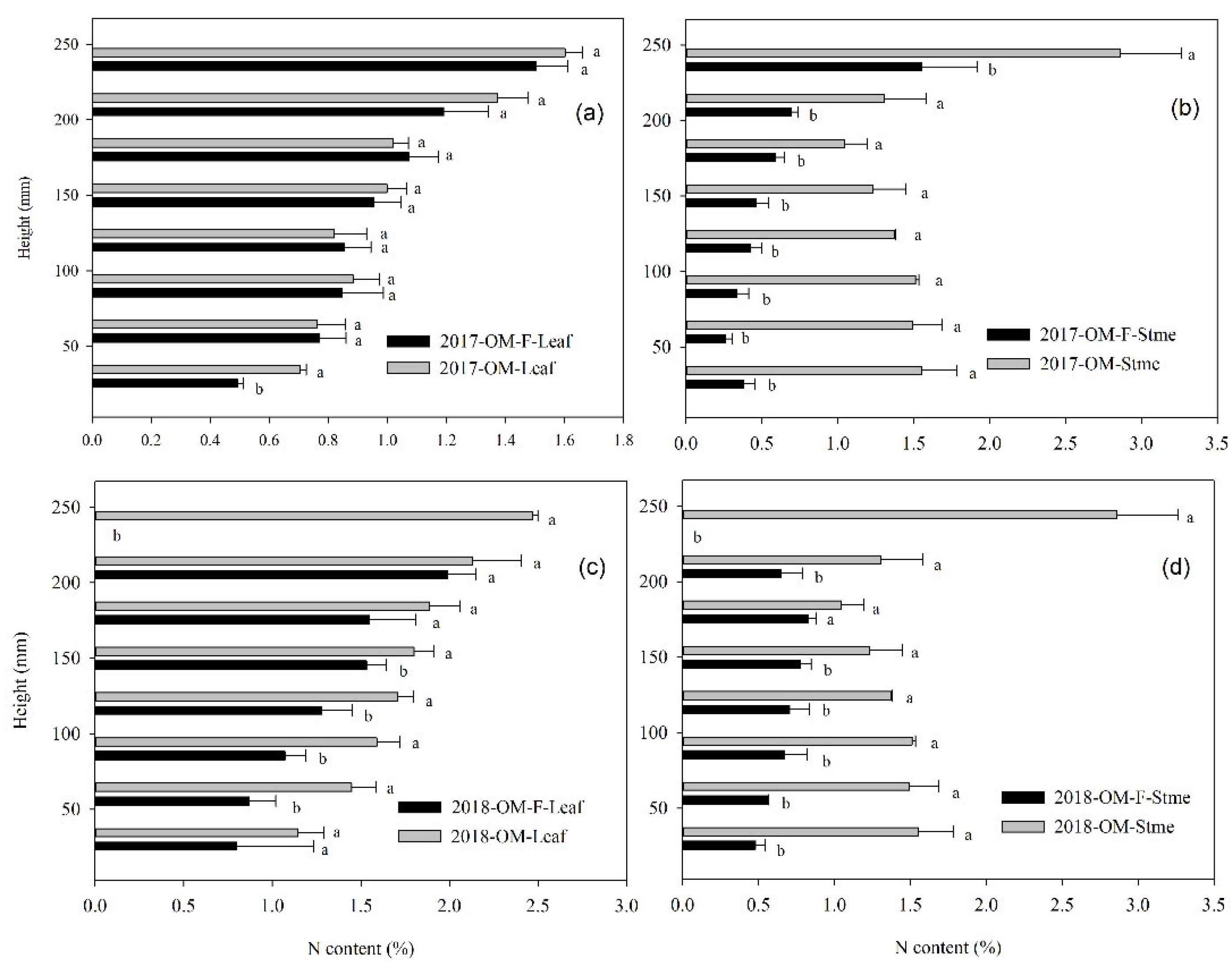
2.4. The Vertical Distribution of Nitrogen Content and Translocation
2.5. The Accumulation of Dry Matter and Translocation
2.6. The Grain Yield and Resource Utilization of Maize
3. Discussion
4. Materials and Methods
4.1. Experimental Design and Field Management
4.2. Determination of Biomass Accumulation
4.3. Determination of Leaf Area Index
4.4. Determination of Population Transmittance
4.5. Determination of Nitrogen Content and Nitrogen Efficiency
4.6. Determination of Population Grain Yield of Maize
4.7. Determination of Radiation and Accumulated Temperature Utilization
4.8. Data Analysis
5. Conclusions
Author Contributions
Funding
Institutional Review Board Statement
Informed Consent Statement
Data Availability Statement
Conflicts of Interest
References
- Yang, X.M.; Zeng, Y.; Qiu, X.F.; Jiang, A.J. The climatic change of global solar radiation over the Yellow River basin during 1960-2000. J. Appl. Meteorol. Sci. 2005, 16, 243–248. [Google Scholar] [CrossRef]
- Lobell, D.B.; Cassman, K.G.; Field, C.B. Crop yield gaps: Their importance, magnitudes, and causes. Annu. Rev. Env. Resour. 2009, 34, 179–204. [Google Scholar] [CrossRef]
- Liu, B.H.; Chen, X.P.; Meng, Q.F.; Yang, H.S.; Van Wart, J. Estimating maize yield potential and yield gap with agro-climatic zones in China distinguish irrigated and rainfed conditions. Agr. Forest Meteorol. 2017, 239, 108–117. [Google Scholar] [CrossRef]
- Xing, Z.H.; Ye, Z.C. China Statistical Yearbook; China Statistics Press: Beijing, China, 2017. [Google Scholar]
- Li, M. Review and prospect of maize production in the world. J. Maize Sci. 2010, 18, 165–169. [Google Scholar] [CrossRef]
- Zhang, F.S.; Chen, X.P.; Vitousek, P. An experiment for the world. Nature 2013, 497, 33–35. [Google Scholar] [CrossRef] [PubMed]
- Hou, P.; Chen, X.P.; Cui, Z.L.; Wang, W.; Wang, L.N.; Tang, J.F.; Zhang, F.S. Evaluation of yield increasing potential by irrigation of spring maize in Heilongjiang province based on Hybrid-Maize model. Trans. Chin. Soc. Agric. Eng. 2013, 29, 103–112. [Google Scholar] [CrossRef]
- Zheng, H.F.; Ying, H.; Yin, Y.L.; Wang, Y.C.; He, G.; Bian, Q.Q.; Cui, Z.L.; Yang, Q.H. Irrigation leads to greater maize yield at higher water productivity and lower environmental costs: A global meta-analysis. Agr. Ecosyst. Environ. 2019, 273, 62–69. [Google Scholar] [CrossRef]
- Piao, L.; Ren, H.; Zhan, M.; Cao, C.G.; Qi, H.; Zhao, M. Effect of cultivation measures and their interactions on grain yield and density resistance of spring maize. Sci. Agric. Sin. 2017, 50, 1982–1994. [Google Scholar] [CrossRef]
- Louarn, G.; Chenu, K.; Fournier, C.; Andrieu, B.; Giauffret, C. Relative contributions of light interception and radiation use efficiency to the reduction of maize productivity under cold temperatures. Funct. Plant Biol. 2008, 35, 885–899. [Google Scholar] [CrossRef]
- Li, M.; Chu, R.; Sha, X.; Ni, F.; Xie, P.; Shen, S.; Islam, A.R.M.T. Hyperspectral Characteristics and Scale Effects of Leaf and Canopy of Summer Maize under Continuous Water Stresses. Agriculture 2021, 11, 1180. [Google Scholar] [CrossRef]
- Chen, Y.L.; Xiao, C.X.; Wu, D.L.; Xia, T.T.; Chen, Q.W.; Chen, F.J.; Yuan, L.X.; Mi, G.H. Effects of nitrogen application rate on grain yield and grain nitrogen concentration in two maize hybrids with contrasting nitrogen remobilization efficiency. Eur. J. Agron. 2015, 62, 79–89. [Google Scholar] [CrossRef]
- Liu, T.; Song, F.; Liu, S.; Zhu, X. Canopy structure, light interception, and photosynthetic characteristics under different narrow-wide planting patterns in maize at silking stage. Span. J. Agric. Res. 2011, 9, 1249–1261. [Google Scholar] [CrossRef]
- Liu, T.; Song, F.; Liu, S.; Zhu, X. Light interception and radiation use efficiency response to narrow-wide row planting patterns in maize. Aust. J. Crop. Sci. 2012, 6, 506–513. [Google Scholar]
- Liu, X.; Wang, W.-X.; Lin, X.; Gu, S.-B.; Wang, D. The effects of intraspecific competition and light transmission within the canopy on wheat yield in a wide-precision planting pattern. J. Integr. Agric. 2020, 19, 1577–1585. [Google Scholar] [CrossRef]
- Hashemi, A.M.; Herbert, S.J.; Putnam, D.H. Yield response of corn to crowding stress. Agron. J. 2005, 97, 839–846. [Google Scholar] [CrossRef]
- Liu, Z.J.; Yang, X.G.; Lin, X.M.; Hubbard, K.G.; Lv, S.; Wang, J. Maize yield gaps caused by non-controllable, agronomic, and socioeconomic factors in a changing climate of Northeast China. Sci. Total Environ. 2016, 541, 756–764. [Google Scholar] [CrossRef]
- Jiao, L.; Dong, Z.Q.; Gao, J.; Chen, C.X.; Lu, L.; Dong, X.R.; Li, G.Y.; Xu, Y.L. Effects of plant growth regulators on canopy structure in spring maize under different plant densities. J. Maize Sci. 2014, 22, 51–58. [Google Scholar] [CrossRef]
- Chang, J.F.; Zhang, H.H.; Li, H.P.; Dong, P.F.; Li, C.H. Effects of different row spaces on canopy structure and resistance of summer maize. Acta Agron. Sin. 2016, 42, 104–112. [Google Scholar] [CrossRef]
- Piao, L.; Qi, H.; Li, C.F.; Zhao, M. Optimized tillage practices and row spacing to improve grain yield and matter transport efficiency in intensive spring maize. Field Crop. Res. 2016, 198, 258–268. [Google Scholar] [CrossRef]
- Yang, L.; Guo, S.; Chen, F.J.; Yuan, L.X.; Mi, G.H. Effects of pollination-prevention on leaf senescence and post-silking nitrogen accumulation and remobilization in maize hybrids released in the past four decades in China. Field Crop. Res. 2017, 203, 106–113. [Google Scholar] [CrossRef]
- Dai, H.L.; Wu, X.J. The nitrogen content determined in dry plant samples by Kjeldahl method. Jiangsu Agri. Res. 1995, 15, 70. [Google Scholar] [CrossRef]
- Mu, X.H.; Chen, Q.W.; Chen, F.J.; Yuan, L.X.; Mi, G.H. Dynamic remobilization of leaf nitrogen components in relation to photosynthetic rate during grain filling in maize. Plant Physiol. Biochem. 2018, 129, 27–34. [Google Scholar] [CrossRef] [PubMed]
- Li, L.J.; Gu, W.R.; Li, C.F.; Li, W.H.; Chen, X.C.; Zhang, L.G.; Wei, S. Dual application of ethephon and DCPTA increases maize yield and stalk strength. Agron. J. 2019, 111, 612–627. [Google Scholar] [CrossRef]
- Xu, L.N.; Huang, S.B.; Tao, H.B.; Wang, Y.Q.; Qi, L.P.; Wang, P. Effects of different nitrogen regimes on canopy structure and partial physiological and agronomic traits in summer maize. Acta Agron. Sin. 2012, 38, 301–306. [Google Scholar] [CrossRef]
- Song, Q.F.; Zhang, G.L.; Zhu, X.G. Optimal crop canopy architecture to maximise canopy photosynthetic CO2 uptake under elevated CO2—A theoretical study using a mechanistic model of canopy photosynthesis. Funct. Plant Biol. 2013, 40, 109–124. [Google Scholar] [CrossRef]
- Wang, Y.Q.; Tao, H.B.; Yang, L.H.; Qi, L.P.; Zhang, Q.G.; Chen, P.F.; Wang, P. Effects of nitrogen managements on canopu structure and nitrogen absorption utilization of summer maize. J. Maize Sci. 2013, 21, 125–130. [Google Scholar] [CrossRef]
- Yu, H.B.; Wang, J.S.; Liu, Z.; Wang, B. Effects of nitrogen application and row-spacing on canopy structure and yield of fresh waxy maize. Guihaia 2013, 33, 64–69. [Google Scholar] [CrossRef]
- Zhang, J.J.; Whiting, M.D.; Zhang, Q. Diurnal pattern in canopy light interception for tree fruit orchard trained to an upright fruiting offshoots (UFO) architecture. Biosyst. Eng. 2015, 129, 1–10. [Google Scholar] [CrossRef]
- Rossini, M.A.; Maddonni, G.A.; Otegui, M.E. Inter-plant competition for resources in maize crops grown under contrasting nitrogen supply and density: Variability in plant and ear growth. Field Crop. Res. 2011, 121, 373–380. [Google Scholar] [CrossRef]
- Chen, Y.L.; Xiao, C.X.; Chen, X.C.; Li, Q.; Zhang, J.; Chen, F.J.; Yuan, L.X.; Mi, G.H. Characterization of the plant traits contributed to high grain yield and high grain nitrogen concentration in maize. Field Crop. Res. 2014, 159, 1–9. [Google Scholar] [CrossRef]
- Zhou, P.L.; Ren, H.; Qi, H.; Zhao, M.; Li, C.F. Effects of nitrogen application rates on dry matter productivity and nitrogen utilization of different type maize hybrids. Acta Agron. Sin. 2017, 43, 263–276. [Google Scholar] [CrossRef]
- Zhang, D.J.; Ma, X.; Wang, X.D.; Yang, J.R.; Wang, D.D.; Wang, Z.; Chen, H.T.; Li, C.X. Effects of variety and density on photosynthetic traits and light utilization efficiency of wheat in middle henan province. J. Triticeae Crop. 2014, 34, 388–394. [Google Scholar] [CrossRef]
- Tester, M.; Langridge, P. Breeding technologies to increase crop production in a changing world. Science 2010, 327, 818–822. [Google Scholar] [CrossRef]
- Wart, J.V.; Kersebaum, K.C.; Peng, S.B.; Milner, M.; Cassman, K.G. Estimating crop yield potential at regional to national scales. Field Crop. Res. 2013, 143, 34–43. [Google Scholar] [CrossRef]
- Meng, Q.F.; Cui, Z.L.; Yang, H.S.; Zhang, F.S.; Chen, X.P. Advances in Agronomy; Academic Press: Beijing, China, 2018; pp. 85–109. [Google Scholar]
- Egli, D.B. Comparison of corn and soybean yields in the United States: Historical trends and future prospects. Agron. J. 2008, 100, 79–88. [Google Scholar] [CrossRef]
- Yan, P.; Yue, S.C.; Meng, Q.F.; Pan, J.X.; Ye, Y.L.; Chen, X.P.; Cui, Z.L. An understanding of the accumulation of biomass and nitrogen is benefit for Chinese maize production. Agron. J. 2016, 108, 895–904. [Google Scholar] [CrossRef]
- Xu, C.L.; Huang, S.B.; Tian, B.J.; Ren, J.H.; Meng, Q.F.; Wang, P. Manipulating planting density and nitrogen fertilizer application to improve yield and reduce environmental impact in Chinese maize production. Front. Plant Sci. 2017, 8, 1234. [Google Scholar] [CrossRef]
- Tollenaar, M.; Lee, E.A. Yield potential, yield stability and stress tolerance in maize. Field Crop. Res. 2002, 75, 161–169. [Google Scholar] [CrossRef]
- Nasielski, J.; Deen, B. Nitrogen applications made close to silking: Implications for yield formation in maize. Field Crop. Res. 2019, 243, 107621. [Google Scholar] [CrossRef]
- Liu, D.J.; Li, Q.J.; Gao, W.; Rao, X.J.; Qi, S.F.; Zhang, Y.; Qi, S.F. Effects of fertilization on nutrient absorption yield and fertilizer benefit of maize. Soil Fert. Sci. China 2009, 4, 56–59. [Google Scholar]
- Bai, Y.W.; Zhang, H.J.; Zhu, Y.L.; Zheng, X.H.; Yang, M.; Li, C.F.; Zhang, R.H. Responses of canopy radiation and nitrogen distribution, leaf senescence and radiation use efficiency on increased planting density of different variety types of maize. Sci. Agric. Sin. 2020, 53, 3059–3070. [Google Scholar] [CrossRef]
- Yang, Z.; Yu, S.N.; Gao, J.L.; Tian, T.; Sun, J.Y.; Wei, S.L.; Hu, S.P.; Li, R.F.; Li, C.F.; Wang, Z.G. Quantitative evaluation of the contribution of main management factors to grain yield of spring maize in North China. Sci. Agric. Sin. 2020, 53, 3024–3035. [Google Scholar] [CrossRef]
- Tollenaar, M.; Deen, W.; Echarte, L.; Liu, W.D. Effect of crowding stress on dry matter accumulation and harvest index in maize. Agron. J. 2006, 98, 930–937. [Google Scholar] [CrossRef]
- Liu, T.N.; Gu, L.M.; Dong, S.T.; Zhang, J.W.; Liu, P.; Zhao, B. Optimum leaf removal increases canopy apparent photosynthesis, C-13-photosynthate distribution and grain yield of maize crops grown at high density. Field Crop. Res. 2015, 170, 32–39. [Google Scholar] [CrossRef]
- Piao, L.; Li, M.; Xiao, J.L.; Gu, W.R.; Zhan, M.; Cao, C.G.; Zhao, M.; Li, C.F. Effects of soil tillage and canopy optimization on grain yield, root growth, and water use efficiency of rainfed maize in Northeast China. Agronomy 2019, 9, 336. [Google Scholar] [CrossRef]
- Piao, L.; Li, B.; Chen, X.C.; Ding, Z.S.; Zhang, Y.; Zhao, M.; Li, C.F. Regulation effects of improved cultivation measures on canopy structure and yield formation of dense spring maize population. Sci. Agric. Sin. 2020, 53, 3048–3058. [Google Scholar] [CrossRef]
- Lu, X.J.; Li, Z.Z.; Duan, W.X.; Xia, S. Yield and water use of maize with narrow-wide row planting in Aeolina sandy soil of Northeast China. Chin. J. Soil Sci. 2014, 4, 939–946. [Google Scholar] [CrossRef]
- Qi, H.; Liang, Y.; Zhao, M.; Wang, J.Y.; Wu, Y.N.; Liu, M. The effects of cultivation ways on population structure of maize. Acta Agric. Boreali-Sin. 2010, 3, 134–139. [Google Scholar]
- Zhao, M.; Li, C.F.; Dong, Z.Q. The coordination optimization between canopy and topsoil and its technique of high yield and efficiency in maize. Crops 2015, 3, 70–75. [Google Scholar] [CrossRef]
- Chen, X.P.; Cui, Z.L.; Fan, M.S.; Vitousek, P.; Zhao, M.; Ma, W.Q.; Wang, Z.L.; Zhang, W.J.; Yan, X.Y.; Yang, J.C.; et al. Producing more grain with lower environmental costs. Nature 2014, 514, 486–489. [Google Scholar] [CrossRef]
- Borras, L.; Maddonni, G.A.; Otegui, M.E. Leaf senescence in maize hybrids: Plant population: Row spacing and kernel set effects. Field Crop. Res. 2003, 82, 13–26. [Google Scholar] [CrossRef]









| Treatments | Nitrogen Content (Maturity; %) | Translocation Amount (kg ha−1) | Translocation Rate (%) | Contribution Ratio (%) | ||||
|---|---|---|---|---|---|---|---|---|
| Leaf | Stem | Leaf | Stem | Leaf | Stem | Leaf | Stem | |
| OM-F | 0.442 b | 0.15 b | 16.84 b | 15.11 a | 53.30 a | 60.07 a | 29.33 a | 26.90 a |
| OM-D | 0.72 a | 0.261 a | 27.14 a | 28.39 a | 46.30 a | 61.72 a | 28.08 a | 28.44 a |
| OM | 0.667 a | 0.279 a | 27.74 a | 26.16 a | 50.88 a | 61.45 a | 29.17 a | 25.96 a |
| OM-S | 0.662 a | 0.335 a | 21.49 ab | 18.66 b | 44.91 a | 49.80 a | 24.05 a | 21.14 a |
| Treatments | DMA (kg ha−1) | AR (%) | TA (kg ha−1) | TR (%) | CR (%) | ||
|---|---|---|---|---|---|---|---|
| Before Silking | After Silking | Before Silking | After Silking | ||||
| OM-F | 7789.2 b | 6057.73 c | 48.61 a | 37.64 b | 1731 a | 22.1 a | 20.17 a |
| OM-D | 8362.3 b | 6366 c | 48.33 a | 36.78 b | 1996 a | 23.84 a | 20.05 a |
| OM | 10,082 a | 7900.67 b | 50.1 a | 39.29 ab | 2181 a | 21.37 a | 18.5 a |
| OM-S | 9969.53 a | 9222.13 a | 45.6 a | 42.1 a | 747.4 b | 7.72 b | 6.57 b |
| Treatments | Grain Yield (kg ha−1) | Rows (No ear−1) | Kernels (No row−1) | Kernels (No ear−1) | 100-Kernel Weight (g) | RUE (%) | GUE (kg °C−1 d−1) | NUE (kg kg−1) | NAE (kg kg−1) | PFPN (kg kg−1) | NPE (kg kg−1) | MCR (%) |
|---|---|---|---|---|---|---|---|---|---|---|---|---|
| OM-F | 9365 b | 14.80 b | 34.56 a | 511.9 a | 22.43 a | 0.69 b | 3.17 b | - | - | 41.20 c | - | 23.85 |
| OM-D | 9994 b | 15.47 ab | 36.65 a | 546.5 a | 24.96 a | 0.75 ab | 3.40 b | 17.58 a | 7.30 b | 48.12 b | 21.40 b | 16.05 |
| OM | 11,598 a | 14.82 b | 35.29 a | 543.6 a | 25.80 a | 0.87 a | 3.94 a | 17.16 a | 16.3 a | 56.83 a | 41.66 a | - |
| OM-S | 10,675 ab | 15.00 a | 33.60 a | 504.2 a | 23.79 a | 0.8 ab | 3.62 ab | 17.32 a | 12.75 ab | 53.44 a | 36.53 ab | 8.649 |
| Year | pH | Organic Matter (g kg−1) | Total Nitrogen (mg kg−1) | Available Nitrogen (mg kg−1) | Available Phosphorus (mg kg−1) | Available Potassium (mg kg−1) |
|---|---|---|---|---|---|---|
| 2017 | 6.51 | 29.24 | 104.74 | 103.52 | 73.43 | 210.75 |
| 2018–2019 | 6.80 | 26.30 | 98.00 | 190.00 | 82.22 | 123.10 |
| Treatment | N Fertilizer kg ha−1 | P Fertilizer kg ha−1 | K Fertilizer kg ha−1 | Planting Density (Plants ha−1) | Row Spacing (mm) |
|---|---|---|---|---|---|
| Wide-narrow spacing | 194.25 | 56.25 | 56.25 | 60,000–100,000 | 90 + 40 |
| Uniform spacing | 194.25 | 56.25 | 56.25 | 60,000–100,000 | 65 |
| OM(CK) | 209 | 55 | 105 | 80,000 | 90 + 40 |
| OM-F | 0 | 0 | 0 | 80,000 | 90 + 40 |
| OM-D | 209 | 55 | 105 | 60,000 | 90 + 40 |
| OM-S | 209 | 55 | 105 | 80,000 | 65 |
Publisher’s Note: MDPI stays neutral with regard to jurisdictional claims in published maps and institutional affiliations. |
© 2022 by the authors. Licensee MDPI, Basel, Switzerland. This article is an open access article distributed under the terms and conditions of the Creative Commons Attribution (CC BY) license (https://creativecommons.org/licenses/by/4.0/).
Share and Cite
Piao, L.; Zhang, S.; Yan, J.; Xiang, T.; Chen, Y.; Li, M.; Gu, W. Contribution of Fertilizer, Density and Row Spacing Practices for Maize Yield and Efficiency Enhancement in Northeast China. Plants 2022, 11, 2985. https://doi.org/10.3390/plants11212985
Piao L, Zhang S, Yan J, Xiang T, Chen Y, Li M, Gu W. Contribution of Fertilizer, Density and Row Spacing Practices for Maize Yield and Efficiency Enhancement in Northeast China. Plants. 2022; 11(21):2985. https://doi.org/10.3390/plants11212985
Chicago/Turabian StylePiao, Lin, Shiyu Zhang, Junyao Yan, Tianxu Xiang, Yang Chen, Ming Li, and Wanrong Gu. 2022. "Contribution of Fertilizer, Density and Row Spacing Practices for Maize Yield and Efficiency Enhancement in Northeast China" Plants 11, no. 21: 2985. https://doi.org/10.3390/plants11212985
APA StylePiao, L., Zhang, S., Yan, J., Xiang, T., Chen, Y., Li, M., & Gu, W. (2022). Contribution of Fertilizer, Density and Row Spacing Practices for Maize Yield and Efficiency Enhancement in Northeast China. Plants, 11(21), 2985. https://doi.org/10.3390/plants11212985

