Chemical Characterization and Anti-Inflammatory Activity of Phytoconstituents from Swertia alata
Abstract
1. Introduction
2. Results
2.1. Structure Elucidation of Compounds
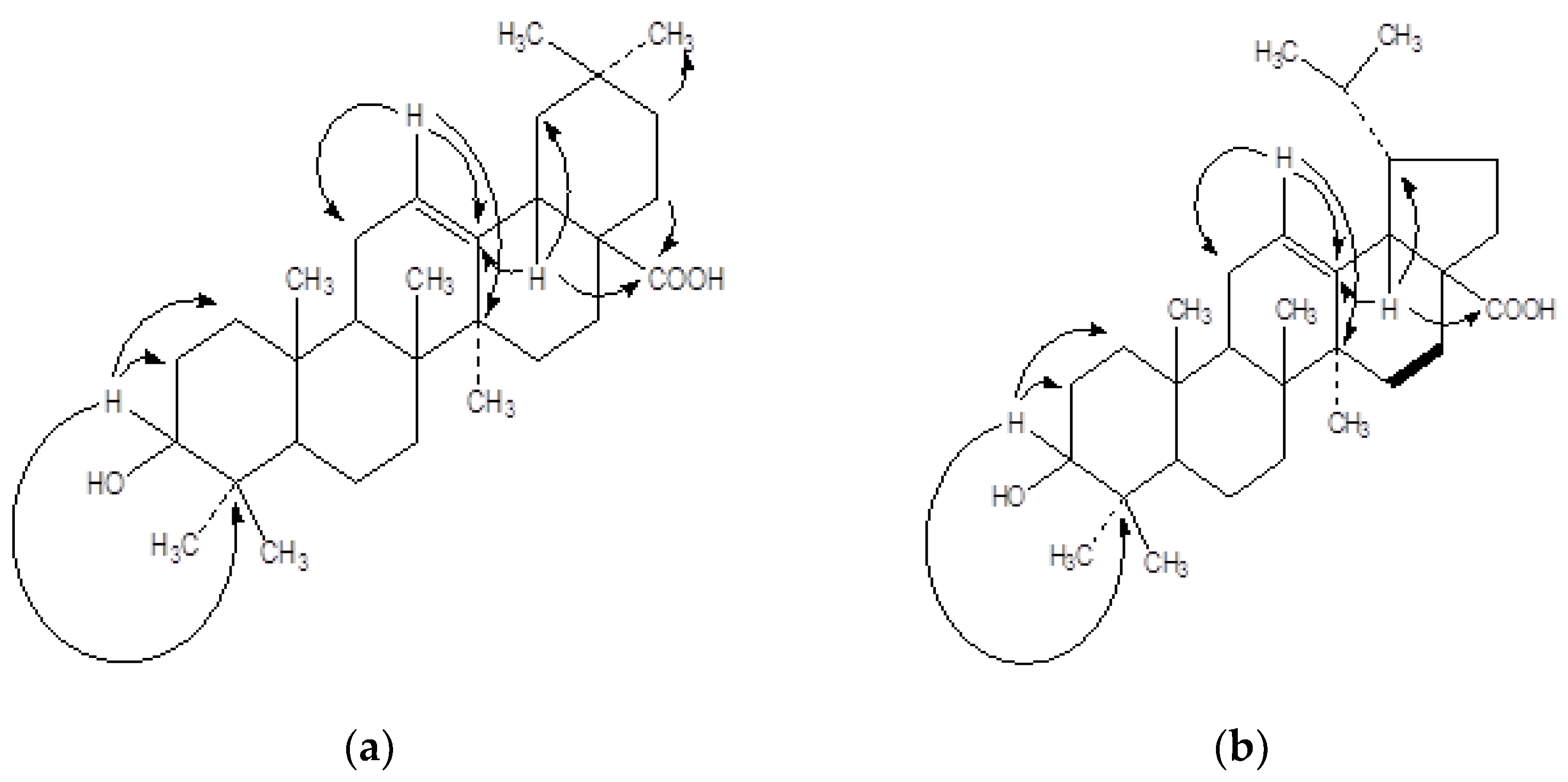
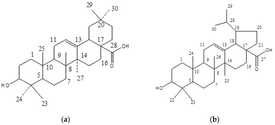
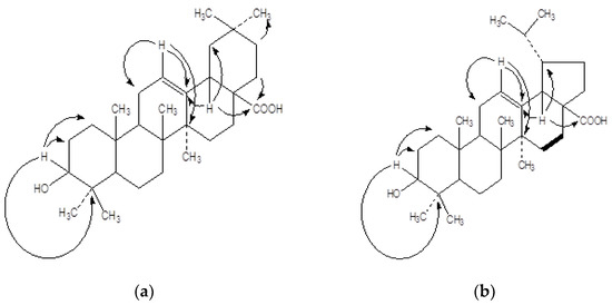
2.1.1. Oleanolic Acid (SA-1)
2.1.2. 3-Hydroxylup-12-(13)-ene-17-carboxylic Acid (SA-4)
2.2. Biological Activity
2.2.1. In Vitro COX-1 and COX-2 Inhibitory Assay
2.2.2. In Vivo Anti-Inflammatory Activity
2.2.3. Ulcerogenic Activity
3. Discussion
3.1. Isolation of Phytoconstituents
3.2. Characterization of Phyto-Isolates
3.3. In Vitro COX-1 and COX-2 Inhibitory Assay
3.4. Anti-Inflammatory Activity
3.5. Ulcerogenic Activity
4. Materials and Methods
4.1. General
4.2. Plant Material and Extract Preparation
4.3. Isolation and Purification
4.4. Animals
4.5. In Vitro Activity
4.6. In Vivo Activity
4.6.1. Anti-Inflammatory Activity
4.6.2. Acute Ulcerogenic Activity
4.7. Statistical Analysis
5. Conclusions
Author Contributions
Funding
Data Availability Statement
Acknowledgments
Conflicts of Interest
References
- Singh Jalal, J.; Jayanthi, J. An Annotated Checklist of the Orchids of Western Himalaya, India. Lankesteriana 2015, 15, 7–50. [Google Scholar]
- Mehta, A.; Rana, R.C.; Sharma, Y.P.; Thakur, P. Physico-Chemical Analysis of Some Temperate Himalayan Swertia Species. J. Pharmacogn. Phytochem. 2018, 7, 156–159. [Google Scholar]
- Negi, J.S.; Singh, P.; Rawat, B. Chemical Constituents and Biological Importance of Swertia: A Review. Curr. Res. Chem. 2011, 3, 1–15. [Google Scholar] [CrossRef][Green Version]
- Pant, N.; Jain, D.C.; Bhakuni, R.S. Phytochemicals from Genus Swertia and Their Biological Activities. Indian J. Chem. B 2000, 39, 565–586. [Google Scholar]
- Brahmachari, G.; Mondal, S.; Gangopadhyay, A.; Gorai, D.; Mukhopadhyay, B.; Saha, S.; Brahmachari, A.K. Swertia (Gentianaceae): Chemical and Pharmacological Aspects. Chem. Biodivers. 2004, 1, 1627–1651. [Google Scholar] [CrossRef] [PubMed]
- Khetwal, S.; Pande, S.; Tiwari, U. Xanthones from Swertia alata. Indian J. Pharm. Sci. 1997, 59, 190–191. [Google Scholar]
- Bajpai, M.B.; Asthana, R.K.; Sharma, N.K.; Chatterjee, S.K.; Mukherjee, S.K. Hypoglycemic Effect of Swerchirin from the Hexane Fraction of Swertia chirayita. Planta Med. 1991, 57, 102–104. [Google Scholar] [CrossRef]
- Karan, M.; Bhatnagar, S.; Wangtak, P.; Vasisht, K. Phytochemical and Antimalarial Studies on Swertia alata Royle. Acta Hortic. 2005, 675, 139–145. [Google Scholar] [CrossRef]
- Laine, L. Approaches to Nonsteroidal Anti-Inflammatory Drug Use in the High-Risk Patient. Gastroenterology 2001, 120, 594–606. [Google Scholar] [CrossRef]
- Vane, J.R.; Botting, R.M. New Insights into the Mode of Action of Anti-Inflammatory Drugs. Inflamm. Res. 1995, 44, 1–10. [Google Scholar] [CrossRef] [PubMed]
- Perretti, M.; D’Acquisto, F. Annexin A1 and Glucocorticoids as Effectors of the Resolution of Inflammation. Nat. Rev. Immunol. 2009, 9, 62–70. [Google Scholar] [CrossRef]
- Smith, W.L.; DeWitt, D.L.; Garavito, R.M. Cyclooxygenases: Structural, Cellular, and Molecular Biology. Annu. Rev. Biochem. 2000, 69, 145–182. [Google Scholar] [CrossRef]
- Ofman, J.J.; MacLean, C.H.; Straus, W.L.; Morton, S.C.; Berger, M.L.; Roth, E.A.; Shekelle, P. A Metaanalysis of Severe Upper Gastrointestinal Complications of Nonsteroidal Antiinflammatory Drugs. J. Rheumatol. 2002, 29, 804–812. [Google Scholar] [PubMed]
- Mamdani, M.; Rochon, P.; Juurlink, D.N.; Anderson, G.M.; Kopp, A.; Naglie, G.; Austin, P.C.; Laupacis, A. Effect of Selective Cyclooxygenase 2 Inhibitors and Naproxen on Short-Term Risk of Acute Myocardial Infarction in the Elderly. Arch. Intern. Med. 2003, 163, 481–486. [Google Scholar] [CrossRef]
- Bandgar, B.P.; Kinkar, S.N.; Chavan, H.V.; Jalde, S.S.; Shaikh, R.U.; Gacche, R.N. Synthesis and Biological Evaluation of Asymmetric Indole Curcumin Analogs as Potential Anti-Inflammatory and Antioxidant Agents. J. Enzym. Inhib. Med. Chem. 2014, 29, 7–11. [Google Scholar] [CrossRef] [PubMed]
- Bajaj, S.; Wakode, S.; Kaur, A.; Fuloria, S.; Fuloria, N. Anti-inflammatory and ulcerogenic activity of newer phytoisolates of Swertia alata CB Clarke. Nat. Prod. Res. 2020, 2020. [Google Scholar] [CrossRef]
- Bindu, T.K.; Shafi, P.M. Chemical Investigation of Uvaria narum Leaves. Asian J. Chem. 1998, 10, 1054. [Google Scholar]
- Fuloria, N.K.; Fuloria, S.F. Spectroscopy: Fundamentals and Data Interpretation, 1st ed.; Studium Press: New Delhi, India, 2013. [Google Scholar]
- Senthilkumar, P.K.; Reetha, D. Isolation and Identification of Antibacterial Compound from the Leaves of Cassia auriculata. Eur. Rev. Med. Pharmacol. Sci. 2011, 15, 1034–1038. [Google Scholar]
- Blobaum, A.L.; Marnett, L.J. Structural and Functional Basis of Cyclooxygenase Inhibition. J. Med. Chem. 2007, 50, 1425–1441. [Google Scholar] [CrossRef]
- Yang, L.; Jiang, S.-T.; Zhou, Q.-G.; Zhong, G.-Y.; He, J.-W. Chemical Constituents from the Flower of Hosta Plantaginea with Cyclooxygenases Inhibition and Antioxidant Activities and Their Chemotaxonomic Significance. Molecules 2017, 22, 1825. [Google Scholar] [CrossRef]
- Crunkhorn, P.; Meacock, S.C.R. Mediators of the Inflammation Induced in the Rat Paw by Carrageenin. Br. J. Pharmacol. 1971, 42, 392–402. [Google Scholar] [CrossRef]
- Vetriselvan, S.; Velmurugan, P. Potential anti-inflammatory activity of Plumbago zeylanica. Asian J. Pharm. Clin. 2017, 10, 372–375. [Google Scholar]
- Yong, Y.K.; Sulaiman, N.; Hakim, M.N.; Lian, G.E.C.; Zakaria, Z.A.; Othman, F.; Ahmad, Z. Suppressions of serotonin-induced increased vascular permeability and leukocyte infiltration by Bixa orellana leaf extract. BioMed Res. Int. 2013, 2013. [Google Scholar] [CrossRef][Green Version]
- Brattsand, R.; Thalén, A.; Roempke, K.; Källström, L.; Gruvstad, E. Influence of 16α, 17α-Acetal Substitution and Steroid Nucleus Fluorination on the Topical to Systemic Activity Ratio of Glucocorticoids. J. Steroid Biochem. 1982, 16, 779–786. [Google Scholar] [CrossRef]
- Wallace, J.M. Nutritional and Botanical Modulation of the Inflammatory Cascade—Eicosanoids, Cyclooxygenases, and Lipoxygenases—As an Adjunct in Cancer Therapy. Integr. Cancer Ther. 2002, 1, 7–37. [Google Scholar] [PubMed]
- Neto, A.G.; Costa, J.; Belati, C.C.; Vinholis, A.H.C.; Possebom, L.S.; Da Silva Filho, A.A.; Cunha, W.R.; Carvalho, J.C.T.; Bastos, J.K.; e Silva, M.L.A. Analgesic and Anti-Inflammatory Activity of a Crude Root Extract of Pfaffia glomerata (Spreng) Pedersen. J. Ethnopharmacol. 2005, 96, 87–91. [Google Scholar] [CrossRef] [PubMed]
- Bastos, J.K.; Carvalho, J.C.; de Souza, G.H.; Pedrazzi, A.H.; Sarti, S.J. Anti-Inflammatory Activity of Cubebin, a Lignan from the Leaves of Zanthoxyllum naranjillo Griseb. J. Ethnopharmacol. 2001, 75, 279–282. [Google Scholar] [CrossRef]
- Laavola, M.; Haavikko, R.; Hämäläinen, M.; Leppänen, T.; Nieminen, R.; Alakurtti, S.; Moreira, V.M.; Yli-Kauhaluoma, J.; Moilanen, E. Betulin Derivatives Effectively Suppress Inflammation in Vitro and in Vivo. J. Nat. Prod. 2016, 79, 274–280. [Google Scholar] [CrossRef]
- Khanal, S.; Shakya, N.; Thapa, K.; Pant, D.R. Phytochemical investigation of crude methanol extracts of different species of Swertia from Nepal. BMC Res. Notes 2015, 8, 821. [Google Scholar] [CrossRef]
- Kshirsagar, P.; Chavan, J.; Nimbalkar, M.; Yadav, S.; Dixit, G.; Gaikwad, N. Phytochemical composition, antioxidant activity and HPLC profiles of Swertia species from Western Ghats. Nat. Prod. Res. 2015, 29, 780–784. [Google Scholar] [CrossRef]
- Sakshi, B.; Sharad, W. Comparative in Vitro antioxidant, anti–inflammatory and anti diabetic activity of standardized polar extracts of S. alata. MOJ Drug Des. Dev. Ther. 2018, 2, 150–154. [Google Scholar] [CrossRef]
- Bindu, S.; Mazumder, S.; Bandyopadhyay, U. Non-steroidal anti-inflammatory drugs (NSAIDs) and organ damage: A current perspective. Biochem. Pharmacol. 2020, 180, 114147. [Google Scholar] [CrossRef] [PubMed]
- Goltsov, A.; Swat, M.; Peskov, K.; Kosinsky, Y. Cycle Network Model of Prostaglandin H Synthase-1. Pharmaceuticals 2020, 13, 265. [Google Scholar] [CrossRef]
- Kumar, S.G.V.; Mishra, D.N. Analgesic, Anti-Inflammatory and Ulcerogenic Studies of Meloxicam Solid Dispersion in Rodents. Iran. J. Pharmacol. Ther. 2006, 5, 77–79. [Google Scholar]
- Brand, S.J.; Morise, Z.; Tagerud, S.; Mazzola, L.; Granger, D.N.; Grisham, M.B. Role of the proteasome in rat indomethacin-induced gastropathy. Gastroenterology 1999, 116, 865–873. [Google Scholar] [CrossRef]
- Prempeh, A.; Mensah-Attipoe, J. Crude aqueous extract of the root bark of Zanthoxylum xanthoxyloides inhibits white blood cells migration in acute inflammation. Ghana Med. J. 2008, 42, 117–119. [Google Scholar] [PubMed]
- Chandran, R.; George, B.P.; Abrahamse, H. Anti-Proliferative, Analgesic and Anti-Inflammatory Properties of Syzygium mundagam Bark Methanol Extract. Molecules 2020, 25, 2900. [Google Scholar] [CrossRef]
- Sun, K.; Song, X.; Jia, R.; Yin, Z.; Zou, Y.; Li, L.; Yin, L.; He, C.; Liang, X.; Yue, G.; et al. Evaluation of Analgesic and Anti-Inflammatory Activities of Water Extract of Galla chinensis In Vivo Models. Evid. Based Complement. Altern. Med. 2018, 2018, 6784032. [Google Scholar] [CrossRef]
- Antonisamy, P.; Dhanasekaran, M.; Kim, H.R.; Jo, S.G.; Agastian, P.; Kwon, K.B. Anti-inflammatory and analgesic activity of ononitol monohydrate isolated from Cassia tora L. in animal models. Saudi J. Biol. Sci. 2017, 24, 1933–1938. [Google Scholar] [CrossRef]
- Xiang, Y.; Haixia, W.; Zenggen, L.; Yanduo, T. Anti-inflammatory activity of compounds isolated from Swertia mussotii. Nat. Prod. Res. 2019, 33, 598–601. [Google Scholar] [CrossRef]
- Dey, P.; Roy Chowdhuri, S.; Sarkar, M.P.; Chaudhuri, T.K. Evaluation of anti-inflammatory activity and standardisation of hydro-methanol extract of underground tuber of Dioscorea alata. Pharm. Biol. 2016, 54, 1474–1482. [Google Scholar] [CrossRef] [PubMed]
- Karbab, A.; Mokhnache, K.; Ouhida, S.; Charef, N.; Djabi, F.; Arrar, L.; Mubarak, M.S. Anti-inflammatory, analgesic activity, and toxicity of Pituranthos scoparius stem extract: An ethnopharmacological study in rat and mouse models. J. Ethnopharmacol. 2020, 258, 112936. [Google Scholar] [CrossRef] [PubMed]
- Arul, B.; Kothai, R.; Jacob, P.; Sangameswaran, B.; Sureshkumar, K. Anti-inflammatory activity of Sapindus trifoliatus Linn. J. Herb. Pharmacother. 2004, 4, 43–50. [Google Scholar] [CrossRef] [PubMed]
- das Chagas Pereira de Andrade, F.; Mendes, A.N. Computational analysis of eugenol inhibitory activity in lipoxygenase and cyclooxygenase pathways. Sci. Rep. 2020, 10, 16204. [Google Scholar] [CrossRef]
- Guo, C.G.; Leung, W.K. Potential Strategies in the Prevention of Nonsteroidal Anti-inflammatory Drugs-Associated Adverse Effects in the Lower Gastrointestinal Tract. Gut Liver 2020, 14, 179–189. [Google Scholar] [CrossRef]
- Fuloria, N.K.; Fuloria, S.; Sharma, V.K.; Ali, M.; Singh, A.; Sharma, P.K. Isolation of new diterpene from methanolic extract of Capsicum annuum Linn. fruits. Pharmacogn. Mag. 2020, 16, 730–732. [Google Scholar]
- Herrera-Salgado, Y.; Garduno-Ramirez, M.L.; Vazquez, L.; Rios, M.Y.; Alvarez, L. Myo-Inositol-Derived Glycolipids with Anti-Inflammatory Activity from Solanum anceolatum. J. Nat. Prod. 2005, 68, 1031–1036. [Google Scholar] [CrossRef]
- Szewczuk, L.M.; Forti, L.; Stivala, L.A.; Penning, T.M. Resveratrol is a peroxidase-mediated inactivator of COX-1 but not COX-2: A mechanistic approach to the design of COX-1 selective agents. J. Biol. Chem. 2004, 279, 22727–22737. [Google Scholar] [CrossRef]
- Winter, C.A.; Risley, E.A.; Nuss, G.W. Carrageenin-Induced Edema in Hind Paw of the Rat as an Assay for Antiinflammatory Drugs. Proc. Soc. Exp. Biol. Med. 1962, 111, 544–547. [Google Scholar] [CrossRef] [PubMed]
- Cioli, V.; Putzolu, S.; Rossi, V.; Barcellona, P.S.; Corradino, C. The Role of Direct Tissue Contact in the Production of Gastrointestinal Ulcers by Anti-Inflammatory Drugs in Rats. Toxicol. Appl. Pharmacol. 1979, 50, 283–289. [Google Scholar] [CrossRef]




| Position | 1H NMR | 13C NMR |
|---|---|---|
| 1 | 1.18, m, 2H | 29.26 |
| 2 | 1.79, m, 2H | 29.61 |
| 3 | 3.56, m, 1H | 29.38 |
| 4 | -- | 77.02 |
| 5 | 1.18, m, 1H | 29.26 |
| 6 | 1.42, m, 2H | 29.38 |
| 7 | 1.18, t, 2H (J = 7.22) | 29.26 |
| 8 | -- | 33.75 |
| 9 | 2.13, t, 1H (J = 7.19) | 35.24 |
| 10 | -- | 29.61 |
| 11 | 2.30, d, 2H (J = 7.19) | 35.32 |
| 12 | 5.21, t, 1H (J = 15.12) | 125.77 |
| 13 | -- | 127.28 |
| 14 | -- | 35.46 |
| 15 | 1.89, t, 2H (J = 7.26) | 29.61 |
| 16 | 2.5, t, 2H (J = 7.26) | 24.71 |
| 17 | -- | 35.52 |
| 18 | 2.27, t, 1H (J = 7.12) | 35.62 |
| 19 | 1.18, t, 2H (J = 7.12) | 29.26 |
| 20 | -- | 31.94 |
| 21 | 1.18, m, 2H | 29.26 |
| 22 | 2.13, t, 2H (J = 7.25) | 23.76 |
| 23 | 0.4, s, 3H | 14.1 |
| 24 | 0.45, s, 3H | 14.1 |
| 25 | 0.52, s, 3H | 22.71 |
| 26 | 0.78, s, 3H | 29.06 |
| 27 | 0.81, s, 3H | 29.06 |
| 28 | -- | 178.33 |
| 29 | 0.47, s, 3H | 24.71 |
| 30 | 0.47, s, 3H | 24.71 |
| Position | 1H NMR | 13CNMR |
|---|---|---|
| 1 | 1.18, m, 2H | 27.2 |
| 2 | 1.70, m, 2H | 27.96 |
| 3 | 3.72, m, 1H | 72.53 |
| 4 | -- | 27.82 |
| 5 | 1.18, m, 1H | 27.2 |
| 6 | 1.45, m, 2H | 27.82 |
| 7 | 1.18, m, 2H | 27.2 |
| 8 | -- | 33.25 |
| 9 | 1.18, m, 1H | 35.28 |
| 10 | -- | 27.96 |
| 11 | 2.13, t, 2H (J = 7.6) | 35.32 |
| 12 | 5.20, t, 1H (J = 15.1) | 125.42 |
| 13 | -- | 127.35 |
| 14 | -- | 35.46 |
| 15 | 1.18, m, 2H | 27.96 |
| 16 | 1.70, m, 2H | 24.97 |
| 17 | -- | 35.52 |
| 18 | 2.23, d, 1H (J = 7.2) | 35.62 |
| 19 | 1.56, m, 1H | 51.63 |
| 20 | 1.90, d 2H, (J = 12.2) | 35.62 |
| 21 | 1.96, d, 2H, (J = 12.2) | 35.92 |
| 22 | 0.81, s, 3H | 17.97 |
| 23 | 0.85, s, 3H | 17.97 |
| 24 | 0.95, m, 3H | 24.97 |
| 25 | 0.95, m, 3H | 18.01 |
| 26 | 0.95, m, 3H | 27.2 |
| 27 | -- | 27.2 |
| 28 | 1.56, m, 1H | |
| 29 | 0.65, d, 3H (J = 7.22) | 17.97 |
| 30 | 0.65, d, 3H (J = 7.22) | 17.97 |
| Position | IC50 (µM) | |
|---|---|---|
| COX-1 | COX-2 | |
| SA-1 | 128.4 | 87.25 |
| SA-4 | 104 | 61.68 |
| Indomethacin | 53 | 36.56 |
| Compound | Increase in Paw Edema (mL) a,b (Mean ± SEM) | |
|---|---|---|
| SA-1 | 2 mg/kg | 0.29 ± 0.00 |
| 4 mg/kg | 0.27 ± 0.22 | |
| 8 mg/kg | 0.23 ± 0.01 | |
| SA-4 | 2 mg/kg | 0.28 ± 0.00 |
| 4 mg/kg | 0.26 ± 0.22 | |
| 8 mg/kg | 0.17 ± 0.01 | |
| Control | 0.44 ± 0.04 | |
| Indomethacin | 0.15 ± 0.02 | |
| Compound | Ulcerogenic Activity a (Severity Index) b,c (Mean ± SD) | |
|---|---|---|
| SA-1 | 6 mg/kg | 0.0 ± 0.00 |
| 12 mg/kg | 0.0 ± 0.00 | |
| 24 mg/kg | 2.5 ± 0.61 | |
| SA-4 | 6 mg/kg | 0.0 ± 0.00 |
| 12 mg/kg | 1.8 ± 0.44 | |
| 24 mg/kg | 2.1 ± 0.44 | |
| Control | 0.0 ± 0.00 | |
| Indomethacin | 2.7 ± 0.27 | |
Publisher’s Note: MDPI stays neutral with regard to jurisdictional claims in published maps and institutional affiliations. |
© 2021 by the authors. Licensee MDPI, Basel, Switzerland. This article is an open access article distributed under the terms and conditions of the Creative Commons Attribution (CC BY) license (https://creativecommons.org/licenses/by/4.0/).
Share and Cite
Bajaj, S.; Fuloria, S.; Subramaniyan, V.; Meenakshi, D.U.; Wakode, S.; Kaur, A.; Bansal, H.; Manchanda, S.; Kumar, S.; Fuloria, N.K. Chemical Characterization and Anti-Inflammatory Activity of Phytoconstituents from Swertia alata. Plants 2021, 10, 1109. https://doi.org/10.3390/plants10061109
Bajaj S, Fuloria S, Subramaniyan V, Meenakshi DU, Wakode S, Kaur A, Bansal H, Manchanda S, Kumar S, Fuloria NK. Chemical Characterization and Anti-Inflammatory Activity of Phytoconstituents from Swertia alata. Plants. 2021; 10(6):1109. https://doi.org/10.3390/plants10061109
Chicago/Turabian StyleBajaj, Sakshi, Shivkanya Fuloria, Vetriselvan Subramaniyan, Dhanalekshmi Unnikrishnan Meenakshi, Sharad Wakode, Avneet Kaur, Himangini Bansal, Satish Manchanda, Sachin Kumar, and Neeraj Kumar Fuloria. 2021. "Chemical Characterization and Anti-Inflammatory Activity of Phytoconstituents from Swertia alata" Plants 10, no. 6: 1109. https://doi.org/10.3390/plants10061109
APA StyleBajaj, S., Fuloria, S., Subramaniyan, V., Meenakshi, D. U., Wakode, S., Kaur, A., Bansal, H., Manchanda, S., Kumar, S., & Fuloria, N. K. (2021). Chemical Characterization and Anti-Inflammatory Activity of Phytoconstituents from Swertia alata. Plants, 10(6), 1109. https://doi.org/10.3390/plants10061109

