Dibenzocyclooctadiene Lignans in Plant Parts and Fermented Beverages of Schisandra chinensis
Abstract
1. Introduction
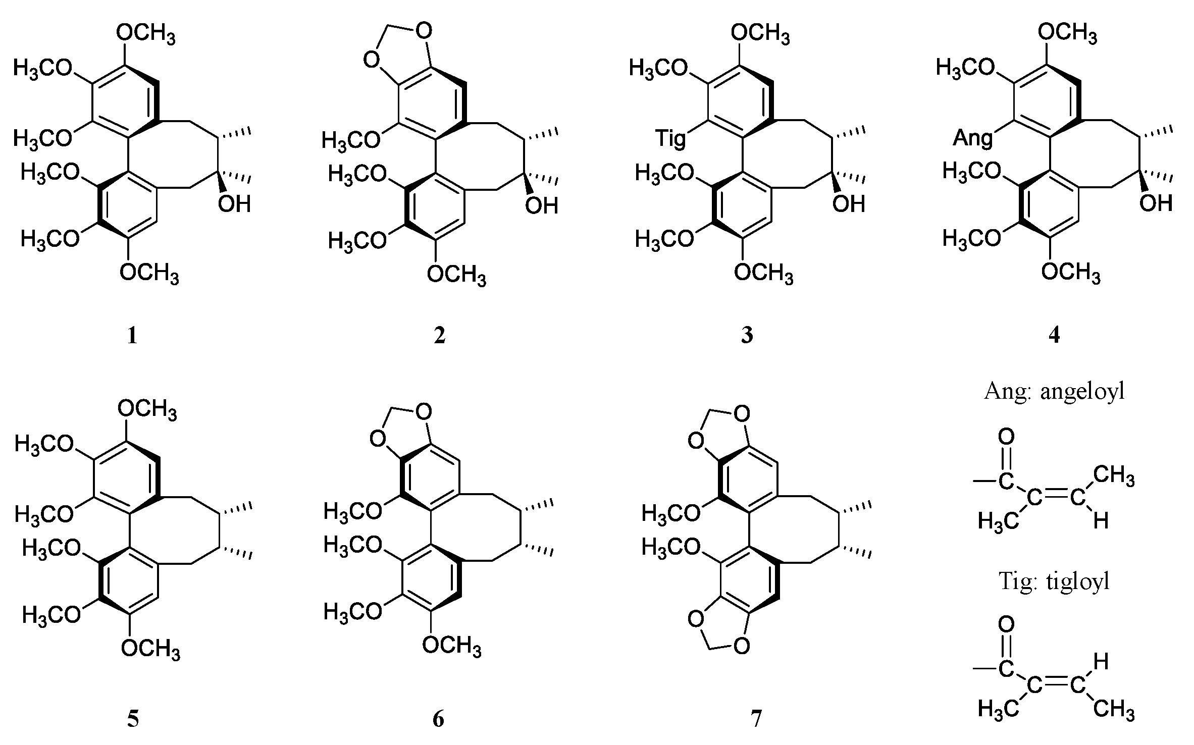
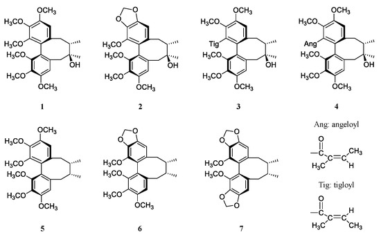
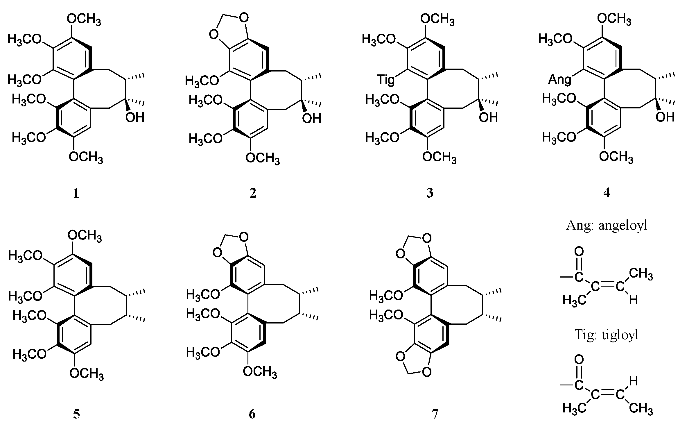
2. Results and Discussion
2.1. Lignan Content in Plant Parts of S. chinensis
2.2. Lignan Content of Omija Beverage during Fermentation Process
2.3. Lignan Content in Omija Beverages and Drink from S. chinensis and Sugars
3. Materials and Methods
3.1. Plant Materials
3.2. Chemicals and Materials
3.3. Fermentation of the Omija Fruit with Sugars and Alcohol
3.4. Sample Preparation
3.5. Lignan Analysis
3.6. Statistical Analysis
4. Conclusions
Author Contributions
Funding
Institutional Review Board Statement
Informed Consent Statement
Data Availability Statement
Acknowledgments
Conflicts of Interest
References
- Kim, S.-H.; Joo, M.H.; Yoo, S.H. Structural identification and antioxidant properties of major anthocyanin extracted from Omija (Schizandra chinensis) fruit. J. Food Sci. 2009, 74, 134–140. [Google Scholar] [CrossRef]
- Panossian, A.; Wikman, G. Pharmacology of Schisandra chinensis Bail.: An overview of Russian research and uses in medicine. J. Ethnopharmacol. 2008, 118, 183–212. [Google Scholar] [CrossRef]
- Nowak, A.; Zakłos-Szyda, M.; Błasiak, J.; Nowak, A.; Zhang, Z.; Zhang, B. Potential of Schisandra chinensis (Turcz.) Baill. in human health and nutrition: A review of current knowledge and therapeutic perspectives. Nutrients 2019, 11, 333. [Google Scholar] [CrossRef]
- Nagappan, A.; Jung, D.Y.; Kim, J.-H.; Lee, H.; Jung, M.H. Gomisin N alleviates ethanol-induced liver injury through ameliorating lipid metabolism and oxidative stress. Int. J. Mol. Sci. 2018, 19, 2601. [Google Scholar] [CrossRef]
- Park, S.Y.; Choung, S.Y. Inhibitory effect of schizandrin on nephrotoxicity of cisplatin. Korean J. Environ. Toxicol. 1998, 13, 125–131. [Google Scholar]
- Szopa, A.; Ekiert, R.; Ekiert, H. Current knowledge of Schisandra chinensis (Turcz.) Baill. (Chinese magnolia vine) as a medicinal plant species: A review on bioactive components, pharmacological properties, analytical and biotechnological studies. Phytochem. Rev. 2017, 16, 195–218. [Google Scholar] [CrossRef]
- Liu, H.; Lai, H.; Jia, X.; Zhang, Z.; Qi, Y.; Zhang, J.; Song, J.; Wu, C.; Zhang, B.; Xiao, P. Comprehensive chemical analysis of Schisandra chinensis by HPLC-DAD-MS combined with chemometrics. Phytomedicine 2013, 20, 1135–1143. [Google Scholar] [CrossRef]
- Choi, Y.W.; Takamatsu, S.; Khan, S.I.; Srinivas, P.V.; Ferreira, D.; Zhao, J.; Khan, I.A. Schisandrene, a dibenzocyclooctadiene lignan from Schisandra chinensis: Structure-antioxidant activity relationships of dibenzocyclooctadiene lignans. J. Nat. Prod. 2006, 69, 356–359. [Google Scholar] [CrossRef]
- Deng, Y.; Lim, J.; Nguyen, T.T.H.; Mok, I.K.; Piao, M.; Kim, D. Composition and biochemical properties of ale beer enriched with lignans from Schisandra chinensis Baillon (omija) fruits. Food Sci. Biotechnol. 2019, 29, 609–617. [Google Scholar] [CrossRef]
- Ding, P.; Wang, B.; Song, X.; Li, X.-K.; Chen, T.; Liu, C. HPLC determination of six lignans in different parts of Schisandra chinensis. China J. Chin. Mater. Med. 2013, 38, 2078–2081. [Google Scholar]
- Ekiert, R.J.; Szopa, A.; Ekiert, H.; Krzek, J.; Dzik, E. Analysis of lignans in Schisandra chinensis fruits, leaves, biomasses from in vitro cultures and food supplements. J. Funct. Foods 2013, 5, 1576–1581. [Google Scholar] [CrossRef]
- Lee, K.S.; Lee, B.H.; Seong, B.J.; Kim, S.I.; Han, S.H.; Kim, G.H.; Park, S.B.; Kim, H.H.; Choi, T.Y. Chemical components composition on different parts of fruit in Schisandra chinensis Baillon. J. Korean Soc. Food Sci. Nutr. 2016, 45, 851–858. [Google Scholar] [CrossRef]
- Slanina, J.; Táborská, E.; Lojkoá, E. Lignans in the seeds and fruits of Schisandra chinensis cultured in Europe. Planta Med. 1997, 63, 277–280. [Google Scholar] [CrossRef] [PubMed]
- Nakajima, K.; Taguchi, H.; Ikeya, Y.; Endo, T.; Yosioka, I. Constituents of Schizandra chinensis Baill. XIII. Quantitative analysis of lignans in the fruits of Schizandra chinensis Baill. by high performance liquid chromatography. Yakugaku Zasshi 1983, 103, 743–749. [Google Scholar] [CrossRef]
- Tvrdá, E.; Michalko, J.; Árvay, J.; Vukovic, N.L.; Ivanišová, E.; Ďuračka, M.; Matušíková, I.; Kačániová, M. Characterization of the Omija (Schisandra chinensis) extract and its effects on the bovine sperm vitality and oxidative profile during in vitro storage. Evid. Based. Complement. Alternat. Med. 2020, 7123780. [Google Scholar] [CrossRef]
- Guo, Y.; Chi, H.; Liu, X.; Sun, X.; Wang, Y.; Liu, S. Rapid characterization of Schisandra species by using direct analysis in real time mass spectrometry. J. Pharm. Biomed. Anal. 2021, 192, 113648. [Google Scholar] [CrossRef]
- Cho, E.K.; Cho, H.E.; Choi, Y.J. Antioxidant and antibacterial activities, and tyrosinase and elastase inhibitory effect of fermented omija (Schizandra chinensis Baillon.) beverage. J. Appl. Biol. Chem. 2010, 53, 212–218. [Google Scholar] [CrossRef]
- Hwang, K.-A.; Hwang, Y.-J.; Hwang, H.-J.; Hwang, I.-G.; Kim, Y.J. Evaluation of biological activities of fermented Schisandra chinensis extracts by Streptococcus thermophiles. J. Korean Soc. Food Sci. Nutr. 2018, 47, 1338–1343. [Google Scholar] [CrossRef]
- Park, S.-C. Characteristics of fermented omija (Schizandra chinensis Baillon) sugar treatment extracts by Lactobacillus sp. Korean J. Microbiol. 2014, 50, 60–66. [Google Scholar] [CrossRef]
- Jeong, J.H.; Jung, H.; Lee, S.R.; Lee, H.J.; Hwang, K.T.; Kim, T.Y. Anti-oxidant, antiproliferative and anti-inflammatory activities of the extracts from black raspberry fruits and wine. Food Chem. 2010, 123, 338–344. [Google Scholar] [CrossRef]
- Hwa, S.-H.; Yeon, S.-J.; Hong, G.-E.; Cho, W.-Y.; Lee, H.-J.; Kim, J.-H.; Lee, C.-H. Evaluation of lignan compound content and bioactivity of raw omija and sugared omija in serum of Sprague Dawley rat. Foods 2019, 8, 373. [Google Scholar] [CrossRef]
- Yu, J.S.; Wu, Y.H.; Tseng, C.K.; Lin, C.K.; Hsu, Y.C.; Chen, Y.H.; Lee, J.C. Schisandrin A inhibits dengue viral replication via upregulating antiviral interferon responses through STAT signaling pathway. Sci. Rep. 2017, 7, 45171. [Google Scholar] [CrossRef] [PubMed]
- Yang, J.; IP, S.P.; Yeung, H.J.; Che, C. HPLC-MS analysis of Schisandra lignans and their metabolites in Caco-2 cell monolayer and rat everted gut sac models and in rat plasma. Acta Pharm. Sin. B 2011, 1, 46–55. [Google Scholar] [CrossRef]
- Dai, Y.; van Spronsen, J.; Witkamp, G.J.; Verpoorte, R.; Choi, Y.H. Natural deep eutectic solvents as new potential media for green technology. Anal. Chim. Acta 2013, 766, 61–68. [Google Scholar] [CrossRef]
- Dai, Y.; Verpoorte, R.; Choi, Y.H. Natural deep eutectic solvents providing enhanced stability of natural colorants from safflower (Carthamus tinctorius). Food Chem. 2014, 159, 116–121. [Google Scholar] [CrossRef]
- Bartkiene, E.; Juodeikiene, G.; Basinskiene, L. In vitro fermentative production of plant lignans from cereal products in relationship with constituents of non-starch polysaccharides. Food Technol. Biotechnol. 2012, 50, 237–245. [Google Scholar]
- Jan, K.C.; Hwang, L.S.; Ho, C.T. Biotransformation of sesaminol triglucoside to mammalian lignans by intestinal microbiota. J. Agric. Food Chem. 2009, 57, 6101–6106. [Google Scholar] [CrossRef]
- Liu, Z.; Saarinen, N.M.; Thompson, L.U. Sesamin is one of the major precursors of mammalian lignans in sesame seed (Sesamum indicum) as observed in vitro and in rats. Nutrition 2006, 136, 906–912. [Google Scholar] [CrossRef]
- Osama, O.I. Functional oligosaccharides: Chemicals structure, manufacturing, health benefits, applications and regulations. J. Food Chem. Nanotechnol. 2018, 4, 65–76. [Google Scholar] [CrossRef]
- Jackson, R.S. Stuck and sluggish fermentation in Wine science principles and applications, a volume in Food Science and Technology. Chapter 7: Fermentation. In Wine Science, 3rd ed.; Academic Press/Elsevier Inc.: Cambridge, MA, USA, 2008; pp. 332–417. [Google Scholar]
- Brahmachari, G. Design of organic transformations at ambient conditions: Our sincere efforts to the cause of green chemistry practice. Chem. Rec. 2016, 16, 98–123. [Google Scholar] [CrossRef]
- Lee, H.J.; Kim, C.Y. Simultaneous determination of nine lignans using pressurized liquid extraction and HPLC-DAD in the fruits of Schisandra chinensis. Food Chem. 2010, 120, 1224–1228. [Google Scholar] [CrossRef]


| Lignans | Range (μg/mL) | Slope (a) a | Intercept (b) b | Regression (r2) | Limits of Detection (LOD) (ng) |
|---|---|---|---|---|---|
| Schisandrol A (1) | 0.05–50 | 226.12 | −65.534 | 0.9974 | ~0.3 |
| Schisandrol B (2) | 0.05–12.5 | 241.27 | −23.306 | 0.9982 | ~0.3 |
| Tigloylgomisin H (3) | 0.05–25 | 174.57 | −22.081 | 0.9995 | ~0.3 |
| Angeloylgomisin H (4) | 0.05–25 | 179.53 | −22.650 | 0.9993 | ~0.3 |
| Schisandrin A (5) | 0.05–50 | 195.70 | −74.614 | 0.9986 | ~0.3 |
| Schisandrin B (6) | 0.05–50 | 251.32 | −96.463 | 0.9985 | ~0.3 |
| Schisandrin C (7) | 0.05–12.5 | 520.59 | 39.137 | 0.9986 | ~0.3 |
| Parts | 1 | 2 | 3 | 4 | 5 | 6 | 7 | Total |
|---|---|---|---|---|---|---|---|---|
| Stem | 0.28 ± 0.05 f | 0.57 ± 0.04 c | 0.28 ± 0.02 c | 0.15 ± 0.02 e | 0.36 ± 0.04 f | 0.47 ± 0.03 f | 0.12 ± 0.00 f | 2.22 ± 0.19 e |
| Leaf | 0.73 ± 0.06 e | 0.38 ± 0.02 d | 0.27 ± 0.01 c | 0.18 ± 0.01 e | 0.78 ± 0.04 d | 0.91 ± 0.05 c | 0.43 ± 0.02 c | 3.67 ± 0.21 b |
| Flower | 1.85 ± 0.12 c | 0.57 ± 0.02 c | 0.29 ± 0.01 c | 0.36 ± 0.02 c | 1.08 ± 0.07 c | 1.09 ± 0.06 d | 0.39 ± 0.03 d | 5.62 ± 0.33 c |
| Pulp | 1.33 ± 0.24 d | 0.26 ± 0.05 e | ND | 0.28 ± 0.04 d | 0.46 ± 0.03 e | 0.66 ± 0.04 e | 0.23 ± 0.03 e | 3.20 ± 0.44 d |
| Seed | 21.0 ± 1.00 a | 4.02 ± 0.36 a | 1.66 ± 0.28 a | 3.96 ± 0.32 a | 4.43 ± 0.24 a | 10.6 ± 0.52 a | 1.74 ± 0.09 a | 47.42 ± 2.81 a |
| Fruit | 11.9 ± 0.54 b | 2.27 ± 0.23 b | 0.89 ± 0.18 b | 2.26 ± 0.18 b | 2.60 ± 0.18 b | 6.02 ± 0.36 b | 1.04 ± 0.05 b | 26.99 ± 1.7 b |
| Period (Month, m) | 1 | 2 | 3 | 4 | 5 | 6 | 7 | Total |
|---|---|---|---|---|---|---|---|---|
| 3 m | 7.01 ± 1.30 c | 1.65 ± 0.29 c | 1.03 ± 0.13 c | 2.34 ± 0.44 bc | 0.90 ± 0.16 b | 51.71 ± 5.14 b | 0.65 ± 0.10 a | 65.30 ± 7.55 b |
| 7 m | 10.42 ± 1.10 b | 2.39 ± 0.07 b | 1.63 ± 0.14 b | 4.33 ± 0.40 a | 1.64 ± 0.11 a | 126.43 ± 19.53 a | 0.69 ± 0.07 a | 147.53 ± 21.42 a |
| 10 m | 11.96 ± 0.65 a | 2.79 ± 0.29 a | 1.68 ± 0.16 ab | 2.49 ± 0.11 b | 1.73 ± 0.20 a | 133.58 ± 19.30 a | 0.75 ± 0.07 a | 154.97 ± 20.78 a |
| 12 m | 13.24 ± 2.27 a | 2.87 ± 0.52 a | 1.95 ± 0.30 a | 1.96 ± 0.36 c | 2.00 ± 0.47 a | 147.23 ± 33.09 a | 0.89 ± 0.23 a | 170.14 ± 37.23 a |
| Sugars | 1 | 2 | 3 | 4 | 5 | 6 | 7 | Total |
|---|---|---|---|---|---|---|---|---|
| White sugar | 10.34 ± 1.44 c | 2.80 ± 0.21 b | 1.78 ± 0.35 c | 4.69 ± 0.23 b | 1.93 ± 0.05 c | 151.78 ± 14.89 b | 0.89 ± 0.03 b | 174.50 ± 16.00 c |
| Brown sugar | 6.24 ± 0.11 d | 1.74 ± 0.20 c | 0.94 ± 0.01 c | 3.52 ± 0.12 c | 2.60 ± 0.03 b | 112.09 ± 5.15 c | 0.63 ± 0.07 c | 127.76 ± 3.81 d |
| Oligosaccharide/white sugar (1:1) | 16.58 ± 1.07 b | 3.38 ± 0.60 b | 4.03 ± 0.76 b | 3.85 ± 0.49 c | 2.49 ± 0.42 b | 183.01 ± 23.89 a | 1.01 ± 0.13 a | 214.14 ± 18.69 b |
| Alcohol | 36.66 ± 1.57 a | 6.13 ± 0.67 a | 5.16 ± 0.90 a | 6.69 ± 0.42 a | 2.76 ± 0.12 a | 199.02 ± 16.23 a | 0.95 ± 0.02 a | 257.37 ± 13.31 a |
Publisher’s Note: MDPI stays neutral with regard to jurisdictional claims in published maps and institutional affiliations. |
© 2021 by the authors. Licensee MDPI, Basel, Switzerland. This article is an open access article distributed under the terms and conditions of the Creative Commons Attribution (CC BY) license (http://creativecommons.org/licenses/by/4.0/).
Share and Cite
Park, W.S.; Koo, K.A.; Bae, J.-Y.; Kim, H.-J.; Kang, D.-M.; Kwon, J.-M.; Paek, S.-M.; Lee, M.K.; Kim, C.Y.; Ahn, M.-J. Dibenzocyclooctadiene Lignans in Plant Parts and Fermented Beverages of Schisandra chinensis. Plants 2021, 10, 361. https://doi.org/10.3390/plants10020361
Park WS, Koo KA, Bae J-Y, Kim H-J, Kang D-M, Kwon J-M, Paek S-M, Lee MK, Kim CY, Ahn M-J. Dibenzocyclooctadiene Lignans in Plant Parts and Fermented Beverages of Schisandra chinensis. Plants. 2021; 10(2):361. https://doi.org/10.3390/plants10020361
Chicago/Turabian StylePark, Woo Sung, Kyung Ah Koo, Ji-Yeong Bae, Hye-Jin Kim, Dong-Min Kang, Ji-Min Kwon, Seung-Mann Paek, Mi Kyeong Lee, Chul Young Kim, and Mi-Jeong Ahn. 2021. "Dibenzocyclooctadiene Lignans in Plant Parts and Fermented Beverages of Schisandra chinensis" Plants 10, no. 2: 361. https://doi.org/10.3390/plants10020361
APA StylePark, W. S., Koo, K. A., Bae, J.-Y., Kim, H.-J., Kang, D.-M., Kwon, J.-M., Paek, S.-M., Lee, M. K., Kim, C. Y., & Ahn, M.-J. (2021). Dibenzocyclooctadiene Lignans in Plant Parts and Fermented Beverages of Schisandra chinensis. Plants, 10(2), 361. https://doi.org/10.3390/plants10020361

