Next Article in Journal
Arachidonic Acid as an Early Indicator of Inflammation during Non-Alcoholic Fatty Liver Disease Development
Previous Article in Journal
Structural Characterization of an S-enantioselective Imine Reductase from Mycobacterium Smegmatis
 
 
Font Type:
Arial Georgia Verdana
Font Size:
Aa Aa Aa
Line Spacing:
Column Width:
Background:
Article

Structural Features Defining NF-κB Inhibition by Lignan-Inspired Benzofurans and Benzothiophenes

1
Institute of Applied Synthetic Chemistry, TU Wien, Getreidemarkt 9/163, 1060 Vienna, Austria
2
Department of Pharmaceutical and Pesticide Technology, School of Chemical Engineering, Hanoi University of Science and Technology, Dai Co Viet 1, Hai Ba Trung dist., Hanoi 10000, Vietnam
3
Department of Pharmacognosy, University of Vienna, Althanstraße 14, 1090 Vienna, Austria
4
Institute of Pharmacy/Pharmacognosy, Center for Molecular Biosciences Innsbruck, University of Innsbruck, Innrain 80/82, 6020 Innsbruck, Austria
*
Authors to whom correspondence should be addressed.
Biomolecules 2020, 10(8), 1131; https://doi.org/10.3390/biom10081131
Submission received: 7 July 2020 / Revised: 24 July 2020 / Accepted: 27 July 2020 / Published: 31 July 2020
(This article belongs to the Section Natural and Bio-derived Molecules)

Abstract

A series of 2-arylbenzofurans and 2-arylbenzothiophenes was synthesized carrying three different side chains in position five. The synthesized compounds were tested for NF-κB inhibition to establish a structure activity relationship. It was found that both, the side chain in position five and the substitution pattern of the aryl moiety in position two have a significant influence on the inhibitory activity.

Graphical Abstract

1. Introduction

Inflammation is a protective host response to infection or tissue damage (including stress or dyshomeostasis) [1,2]. Whereas an acute response resulting in the elimination of the noxious agent is beneficial, long lasting chronic inflammatory states contribute to the development of many pathologies like autoimmune, metabolic, cardiovascular and neurodegenerative diseases or cancer [2,3], PAMPs (pathogen-associated molecular patterns) as well as DAMPs (damage-associated molecular patterns) activate pattern recognition receptors (PRR) that transduce signals to NF-κB signaling pathways [2], which play a pivotal role in chronic and acute inflammation [4]. Thus, dampen NF-κB signaling will interfere with an inflammatory response.
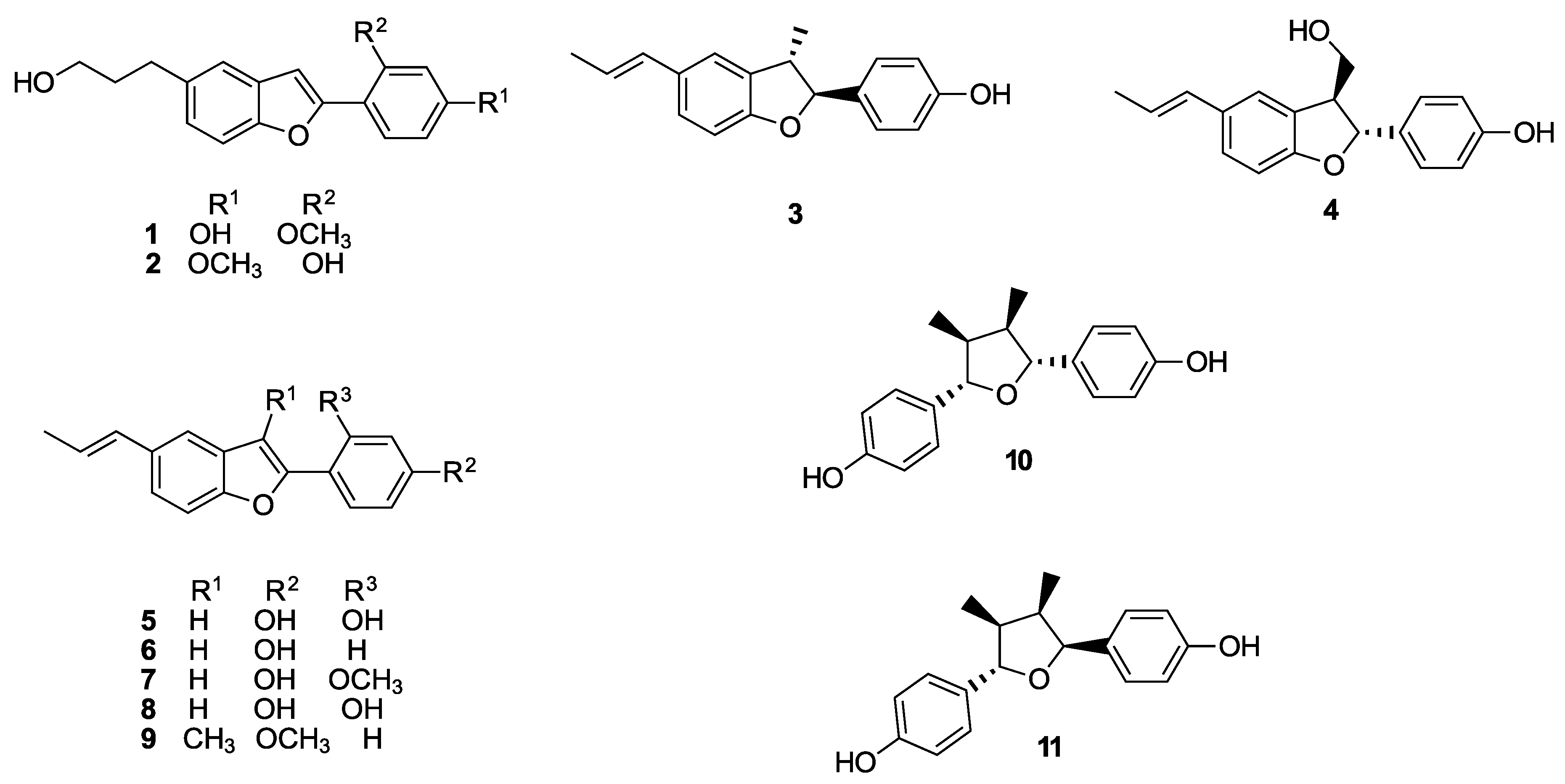
Krameria lappacea (Dombey), Krameriaceae, is a tropical perennial shrub growing across South America. The extract of the Rhatany root was introduced into European medicine over 200 years ago as a remedy against stomach aches, diarrhea, menstrual problems, nose bleeds and oropharyngeal inflammation [5,6]. In a study on constituents of the Rhatany root, the group of Stuppner isolated eleven lignans from the dichloromethane extract of the root (Figure 1) [7].
These isolated lignan derivatives were pharmacologically characterized in topical anti-inflammatory in vivo experiments [8]. Two of the most potent compounds, 2-(2-hydroxy-4-methoxyphenyl)-5-(3-hydroxypropyl)benzofuran 1 and (+)-conocarpan 3 (Figure 1) inhibited edema development and infiltration by neutrophils time-dependently and comparably to indomethacin. In addition, all lignans were tested in vitro for their potential to inhibit the activation of the NF-κB signaling pathway and the activity of the pro-inflammatory enzymes COX-1, COX-2, 5-LO and mPGES-1. Determination of the IC50 values for all compounds showed that inhibition of NF-κB is the most relevant mechanism likely contributing to the observed in vivo activity [8].

2. Materials and Methods

2.1. Chemical Synthesis

2.1.1. Synthesis of 5-Allylbenzo[b]furan (14)

From 5-bromobenzo[b]furan 12: Compound 12 (98 mg, 0.5 mmol), allyl-B(pin) (140 µL, 0.75 mmol, 1.5 equiv.), K2CO3 (138 mg, 1.0 mmol, 2.0 equiv.) and Pd(PPh3)2Cl2 (18 mg, 0.025 mmol, 5 mol %) was mixed in 1 mL DMAc at 100 °C and stirred for 24 h. The reaction mixture was then cooled to room temperature and filtered through celite, washed with EtOAc. The product was washed with saturated aq. NH4Cl and a last time with 10 mL brine then dried over Na2SO4 and the solvent was evaporated under reduced pressure to obtain coupling product 14 (67 mg, colorless oil), 85% yield.
From 5-chlorobenzo[b]furan 17: Compound 17 (76 mg, 0.5 mmol), allyl-B(pin) (126 mg, 140 µL, 0.75 mmol, 1.5 equiv.), Cs2CO3 (326 mg, 1.0 mmol, 2.0 equiv.), SPhos (21 mg, 0.05 mmol, 10 mol %) and Pd2(dba)3 (23 mg, 0.025 mmol, 5 mol %) was mixed in 2 mL DMAc and at 100 °C and stirred for 6 h. The reaction mixture was then cooled to room temperature and filtered through celite and washed with EtOAc. The product was washed with saturated aq. NH4Cl and a last time with 10 mL brine then dried over Na2SO4 and the solvent was evaporated under reduced pressure to obtain coupling product 14 (54 mg, colorless oil), 68% yield.
1H-NMR (200 MHz, CDCl3) δ (ppm) 3.51 (d, J = 6.7 Hz, 2H), 5.08–5.17 (m, 2H), 5.95–6.15 (m, 1H), 6.73–6.75 (m, 1H), 7.16 (d, J = 8.6 Hz, 1H), 7.44–7.48 (m, 2H), 7.62 (d, J = 2.1 Hz, 1H). 13C-NMR (50 MHz, CDCl3) δ (ppm) 40.1, 106.4, 111.1, 115.6, 120.7, 125.1, 127.6, 134.5, 138.0, 145.1, 153.7. MS analyst, m/z (Int.) 158(100), 157(46), 129(82), 128(50), 115(18), 102(10), 89(10), 77(22), 63(15).

2.1.2. General Procedure of C-H Activation Reaction on 5-Chlorobenzo[b]furan (17)

Procedure A: Benzo-fused starting material (1.0 mmol, 1.0 equiv.), aryl bromide (1.5 mmol, 1.5 equiv.), cesium pivalate (350 mg, 1.5 mmol, 1.5 equiv.), Pd(OAc)2 (9 mg, 0.04 mmol, 0.04 equiv.) and SPhos (16.4 mg, 0.08 mmol, 0.08 equiv.) was mixed in 2 mL of degassed DMAc. The mixture was stirred at 140 °C for 24 h in argon atmosphere. The reaction mixture was cooled to room temperature and then diluted with 15 mL diethyl ether or ethyl acetate (depending on the polarity of the product) and filtered through a pad of celite. The organic phase was washed with saturated NH4Cl solution, once with brine and then dried over Na2SO4. The solvent was removed under reduced pressure. Purification was performed on silica gel eluting with LP or LP/EtOAc mixtures (depending on the polarity of the product).

2.1.3. 5-Chloro-2-(4-(methoxymethoxy)phenyl)benzo[b]furan (18a)

Prepared according to the general procedure A. mp 138–141 °C. 1H-NMR (400 MHz, CDCl3) δ (ppm) = 3.50 (s, 3H), 5.22 (s, 2H), 6.82 (s, 1H), 7.09–7.13 (m, 2H), 7.19 (dd, J = 8.7, 2.1 Hz, 1H), 7.39 (d, J = 8.7 Hz, 1H), 7.50 (d, J = 2.1 Hz, 1H), 7.76 (m, 2H). 13C-NMR (100 MHz, CDCl3) δ (ppm) = 56.1, 94.3, 99.5, 111.9, 116.5 (2C), 120.1, 123.8, 123.9, 126.5 (2C), 128.4, 130.8, 153.1, 157.4, 157.9. HR-MS analyst [M + H]+ m/z (predicted) = 289.0631, m/z (measured) = 289.0636, difference = −1.90 ppm.

2.1.4. 5-Chloro-2-(4-methoxyphenyl)benzo[b]furan (18c)

Prepared according to the general procedure A. mp 144–146 °C. 1H-NMR (200 MHz, CDCl3) δ (ppm) = 3.86 (s, 3H), 6.81 (s, 1H), 6.95–7.00 (m, 2H), 7.18 (dd, J = 8.7, 2.1 Hz, 1H), 7.39 (d, J = 8.4 Hz, 1H), 7.50 (d, J = 2.1 Hz, 1H), 7.76–7.80 (m, 2H). 13C-NMR (50 MHz, CDCl3) δ (ppm) = 55.4, 99.2, 111.9, 114.3 (2C), 120.1, 122.8, 123.8, 126.6 (2C), 128.3, 130.9, 153.1, 157.5, 160.3.

2.1.5. 5-Chloro-2-(3,5-dimethoxyphenyl)benzo[b]furan (18d)

Prepared according to the general procedure A. 1H-NMR (400 MHz, CDCl3) δ (ppm) = 3.86 (s, 6H), 6.48 (t, J = 2.3 Hz, 1H), 6.93 (d, J = 0.8 Hz, 1H), 6.99 (d, J = 2.3 Hz, 2H), 7.23 (dd, J = 8.7, 2.1 Hz, 1H), 7.42 (d, J = 8.7 Hz, 1H), 7.53 (d, J = 2.1 Hz, 1H). 13C-NMR (100 MHz, CDCl3) δ (ppm) = 55.5 (2C), 101.3, 101.4 (2C), 103.2, 112.1, 120.5, 124.5, 128.5, 130.5, 131.7, 153.2, 157.2, 161.2 (2C).

2.1.6. 5-Chloro-2-phenylbenzo[b]furan (18e)

Prepared according to the general procedure A. mp 125–128 °C. 1H-NMR (200 MHz, CDCl3) δ (ppm) = 6.96 (s, 1H), 7.20–7.55 (m, 6H), 7.81–7.87 (m, 2H). 13C-NMR (50 MHz, CDCl3) δ (ppm) = 100.8, 112.1, 120.4, 124.4, 125.0 (2C), 128.5, 128.8 (2C), 129.0, 130.0, 130.6, 153.2, 157.4.

2.1.7. 5-Chloro-2-(4-fluorophenyl)benzo[b]furan (18f)

Prepared according to the general procedure A. mp 119–122 °C. 1H-NMR (200 MHz, CDCl3) δ (ppm) = 6.86 (s, 1H), 7.09–7.24 (m, 3H), 7.38–7.52 (m, 2H), 7.76–7.83 (m, 2H). 13C-NMR (50 MHz, CDCl3) δ (ppm) = 100.5, 112.1, 116.0 (d, 2JC-F = 21.9 Hz), 120.4, 124.4, 126.3 (d, 4JC-F = 3.4 Hz), 126.9 (d, 3JC-F = 8.3 Hz, 2C), 128.6, 130.5, 153.2, 156.5, 163.1 (d, 1JC-F = 247.9 Hz).

2.1.8. 5-Chloro-2-(4-(difluoromethyl)phenyl)benzo[b]furan (18g)

Prepared according to the general procedure A. mp 121–124 °C. 1H-NMR (200 MHz, CDCl3) δ (ppm) = 6.69 (t, JH-F = 56.4 Hz, 1H), 7.02 (s, 1H), 7.26 (dd, J = 8.7, 2.1 Hz, 1H), 7.44 (d, J = 8.7 Hz, 1H), 7.55–7.62 (m, 3H), 7.90–7.93 (m, 2H). 13C-NMR (50 MHz, CDCl3) δ (ppm) = 102.1, 112.2, 114.4 (t, 1JC-F = 237.6 Hz), 120.7, 125.0, 125.2 (2C), 126.1 (t, 3JC-F = 6.1 Hz), 128.7, 130.3, 132.2, 134.6 (t, 2JC-F = 22.5 Hz), 153.4, 156.1. HR-MS analyst [M + H]+ m/z (predicted) = 279.0388, m/z (measured) = 279.0392, difference = −1.62 ppm.

2.1.9. 5-Chloro-2-(2-chlorophenyl)benzo[b]furan (18h)

Prepared according to the general procedure A. 1H-NMR (200 MHz, CDCl3) δ (ppm) = 7.26–7.54 (m, 6H), 7.61 (d, J = 1.9 Hz, 1H), 8.04 (dd, J = 7.7, 1.8 Hz, 1H). 13C-NMR (50 MHz, CDCl3) δ (ppm) = 106.8, 112.0, 120.9, 125.1, 127.0, 128.4, 128.5, 129.0, 129.5, 130.4, 130.9, 131.5, 152.5, 153.4.

2.1.10. 5-Chloro-2-(4-(methoxymethoxy)phenyl)benzo[b]thiophene (22a)

Prepared according to the general procedure A. mp 175–177 °C. 1H-NMR (400 MHz, CDCl3) δ (ppm) = 3.51 (s, 3H), 5.22 (s, 2H), 7.09–7.12 (m, 2H), 7.25 (dd, J = 8.7, 2.0 Hz, 1H), 7.34 (s, 1H), 7.60–7.63 (m, 2H), 7.69–7.71 (m, 2H). 13C-NMR (100 MHz, CDCl3) δ (ppm) = 56.1, 94.4, 116.7 (2C), 117.7, 122.8, 123.2, 124.4, 127.7, 127.8 (2C), 130.7, 137.3, 142.0, 146.1, 157.7. HR-MS analyst [M + H]+ m/z (predicted) = 305.0403, m/z (measured) = 305.0396, difference = 2.02 ppm.

2.1.11. 5-Chloro-2-(4-methoxyphenyl)benzo[b]thiophene (22c)

Prepared according to the general procedure A. mp 163–165 °C. 1H-NMR (200 MHz, CDCl3) δ (ppm) = 3.86 (s, 3H), 6.96 (d, J = 8.8 Hz, 2H), 7.21–7.26 (m, 1H), 7.34 (s, 1H), 7.63 (d, J = 8.7 Hz, 2H), 7.68–7.72 (m, 2H). 13C-NMR (100 MHz, benzene-d6) δ (ppm) = 54.6, 114.5 (2C), 118.6, 122.3, 123.4, 124.5, 127.7, 127.9 (2C), 130.6, 137.4, 141.3, 146.4, 160.1. HR-MS analyst [M + H]+ m/z (predicted) = 275.0297, m/z (measured) = 275.0300, difference = −1.04 ppm.

2.1.12. General Procedure of the Suzuki-Miyaura Coupling of Chloro Benzo-Fused Derivatives

Procedure B: 5-chloro benzo-fused (1.0 mmol, 1.0 equiv.), allylboronic acid pinacol ester (1.5 mmol, 1.5 equiv.), cesium carbonate (486 mg, 1.5 mmol, 1.5 equiv.), Pd2(dba)3 (45 mg, 0.05 mmol, 0.05 equiv.) and SPhos (41 mg, 0.1 mmol, 0.1 equiv.) was mixed in 2 mL of dried dioxane. The mixture was stirred at 100 °C for 5 h in argon atmosphere. The reaction mixture was cooled to room temperature and then diluted with 15 mL diethyl ether or ethyl acetate (depending on the polarity of the product) and filtered through a pad of celite. The organic phase was washed with saturated NH4Cl solution, once with brine and then dried over Na2SO4. The solvent was removed under reduced pressure. Purification was performed on silica gel eluting with LP or LP/EtOAc mixtures (depending on the polarity of the product).

2.1.13. 5-Allyl-2-(4-(methoxymethoxy)phenyl)benzo[b]furan (16a)

Prepared according to the general procedure B. mp 126–129 °C. 1H-NMR (400 MHz, CDCl3) δ (ppm) = 3.47–3.51 (m, 5H), 5.07–5.23 (m, 4H), 6.04 (ddt, J = 16.8, 10.1, 6.7 Hz, 1H), 6.85 (s, 1H), 7.07–7.14 (m, 3H), 7.36–7.44 (m, 2H), 7.76–7.81 (m, 2H). 13C-NMR (100 MHz, CDCl3) δ (ppm) = 40.2, 56.1, 94.4, 99.9, 110.8, 115.5, 116.5 (2C), 120.2, 124.5, 124.7, 126.3 (2C), 129.6, 134.6, 138.1, 153.6, 156.1, 157.5. HR-MS analyst [M + H]+ m/z (predicted) = 295.1329, m/z (measured) = 295.1323, difference = 2.1 ppm.

2.1.14. 5-Allyl-2-(4-methoxyphenyl)benzo[b]furan (16c)

Prepared according to the general procedure B. mp 130–132 °C. 1H-NMR (400 MHz, CDCl3) δ (ppm) = 3.49 (d, J = 6.6 Hz, 2H), 3.86 (s, 3H), 5.07–5.17 (m, 2H), 6.05 (ddt, J = 16.8, 10.1, 6.7 Hz, 1H), 6.84 (s, 1H), 6.93–7.00 (m, 2H), 7.09 (dd, J = 8.4, 1.7 Hz, 1H), 7.36–7.45 (m, 2H), 7.77–7.82 (m, 2H). 13C-NMR (100 MHz, CDCl3) δ (ppm) = 40.2, 55.4, 99.6, 110.7, 114.3 (2C), 115.5, 120.2, 123.5, 124.6, 126.4 (2C), 129.7, 134.6, 138.1, 153.5, 156.3, 160.0. HR-MS analyst [M + H]+ m/z (predicted) = 265.1223, m/z (measured) = 265.1221, difference = 0.93 ppm.

2.1.15. 5-Allyl-2-(3,5-dimethoxyphenyl)benzo[b]furan (16d)

Prepared according to the general procedure B. 1H-NMR (400 MHz, CDCl3) δ (ppm) = 3.37 (d, J = 6.7 Hz, 2H), 3.76 (s, 6H), 4.98–5.03 (m, 2H), 5.92 (ddt, J = 16.8, 10.1, 6.7 Hz, 1H), 6.37 (t, J = 2.3 Hz, 1H), 6.84 (d, J = 0.8 Hz, 1H), 6.91 (d, J = 2.3 Hz, 2H), 7.01 (dd, J = 8.4, 1.7 Hz, 1H), 7.27–7.34 (m, 2H). 13C-NMR (100 MHz, CDCl3) δ (ppm) = 40.2, 55.5, 101.2, 101.8, 103.0 (2C), 110.9, 115.6, 120.5, 125.3, 129.3, 132.3, 134.8, 138.0, 153.7, 155.0, 161.1 (2C). HR-MS analyst [M + H]+ m/z (predicted) = 295.1329, m/z (measured) = 295.1328, difference = 0.17 ppm.

2.1.16. 5-Allyl-2-phenylbenzo[b]furan (16e)

Prepared according to the general procedure B. mp 118–120 °C. 1H-NMR (200 MHz, CDCl3) δ (ppm) = 3.37 (d, J = 6.5 Hz, 2H), 4.96–5.04 (m, 2H), 5.92 (ddt, J = 16.8, 10.1, 6.7 Hz, 1H), 6.83 (s, 1H), 7.00 (d, J = 8.4 Hz, 1H), 7.21–7.35 (m, 5H), 7.72–7.75 (d, J = 7.2 Hz, 2H). 13C-NMR (50 MHz, CDCl3) δ (ppm) = 40.2, 101.2, 110.9, 115.6, 120.5, 124.9 (2C), 125.1, 128.5, 128.8 (2C), 129.5, 130.6, 134.7, 138.1, 153.8, 156.2. HR-MS analyst [M + H]+ m/z (predicted) = 235.1117, m/z (measured) = 235.1119, difference = −0.8 ppm.

2.1.17. 5-Allyl-2-(4-fluorophenyl)benzo[b]furan (16f)

Prepared according to the general procedure B. mp 113–115 °C. 1H-NMR (400 MHz, CDCl3) δ (ppm) = 3.50 (d, J = 6.7 Hz, 2H), 5.09–5.16 (m, 2H), 6.05 (ddt, J = 16.8, 10.1, 6.7 Hz, 1H), 6.90 (s, 1H), 7.11–7.16 (m, 3H), 7.39–7.45 (m, 2H), 7.81–7.84 (m, 2H). 13C-NMR (100 MHz, CDCl3) δ (ppm) = 40.2, 100.9, 110.9, 115.6, 115.9 (d, 2JC-F = 21.9 Hz), 120.5, 125.2, 126.7 (d, 3JC-F = 8.5 Hz), 126.9 (d, 4JC-F = 3.0), 129.4, 134.8, 138.0, 153.7, 155.3, 162.9 (d, 1JC-F = 248.7). HR-MS analyst [M + H]+ m/z (predicted) = 253.1023, m/z (measured) = 253.1034, difference = −4.4 ppm.

2.1.18. 5-Allyl-2-(4-(difluoromethyl)phenyl)benzo[b]furan (16g)

Prepared according to the general procedure B. mp 116–118 °C. 1H-NMR (400 MHz, CDCl3) δ (ppm) = 3.50 (d, J = 6.6 Hz, 2H), 5.08–5.17 (m, 2H), 6.04 (ddt, J = 17.0, 10.4, 6.7 Hz, 1H), 6.68 (t, JH-F = 56.4 Hz, 1H), 7.04 (s, 1H), 7.15 (dd, J = 8.4, 1.6 Hz, 1H), 7.41–7.60 (m, 4H), 7.90–7.94 (m, 2H). 13C-NMR (100 MHz, CDCl3) δ (ppm) = 40.1, 102.6, 111.0, 114.5 (t, 1JC-F = 238.8 Hz), 115.7, 120.7, 125.0 (2C), 125.8, 126.1 (t, 3JC-F = 6.1 Hz), 129.2, 132.8, 134.1 (t, 2JC-F = 22.4 Hz), 135.0, 137.9, 153.9, 154.9. HR-MS analyst [M + H]+ m/z (predicted) = 285.1091, m/z (measured) = 285.1088, difference = 1.08 ppm.

2.1.19. 5-Allyl-2-(2-chlorophenyl)benzo[b]furan (16h)

Prepared according to the general procedure B. 1H-NMR (200 MHz, CDCl3) δ (ppm) = 3.57 (d, J = 6.2 Hz, 2H), 4.90–5.03 (m, 2H), 5.95 (ddt, J = 17.0, 10.4, 6.7 Hz, 1H), 6.74 (d, J = 0.7 Hz, 1H), 7.17–7.67 (m, 6H), 7.76 (d, J = 8.1. Hz, 1H). 13C-NMR (50 MHz, CDCl3) δ (ppm) = 38.3, 104.5, 112.1, 116.3, 120.5, 124.4, 126.6, 129.1, 129.2, 129.5 (2C), 130.4, 130.7, 136.8, 138.0, 153.0, 157.1. HR-MS analyst [M + H]+ m/z (predicted) = 269.0733, m/z (measured) = 269.0730, difference = 1.11 ppm.

2.1.20. 5-Allyl-2-(4-(methoxymethoxy)phenyl)benzo[b]thiophene (23a)

Prepared according to the general procedure B. mp 164–166 °C. 1H-NMR (400 MHz, CDCl3) δ (ppm) = 3.46–3.48 (m, 5H), 5.07–5.13 (m, 2H), 5.19 (s, 2H), 6.01 (ddt, J = 16.8, 10.1, 6.7 Hz, 1H), 7.06–7.13 (m, 3H), 7.35 (s, 1H), 7.53 (d, J = 0.7 Hz, 1H), 7.59–7.61 (m, 2H), 7.70 (d, J = 8.2 Hz, 1H). 13C-NMR (100 MHz, CDCl3) δ (ppm) = 40.2, 56.1, 94.4, 115.8, 116.7 (2C), 118.4, 122.1, 123.0, 125.3, 127.7 (2C), 128.3, 136.5, 137.2, 137.7, 141.3, 144.3, 157.4. HR-MS analyst [M + H]+ m/z (predicted) = 311.1100, m/z (measured) = 311.1108, difference = −2.62 ppm.

2.1.21. 5-Allyl-2-(4-methoxyphenyl)benzo[b]thiophene (23c)

Prepared according to the general procedure B. mp 146–147 °C. 1H-NMR (200 MHz, CDCl3) δ (ppm) = 3.49 (d, J = 6.7 Hz, 2H), 3.80 (s, 3H), 5.06–5.16 (m, 2H), 6.02 (ddt, J = 16.8, 10.2, 6.7 Hz, 1H), 6.90–6.98 (m, 2H), 7.13 (dd, J = 8.2, 1.6 Hz, 1H), 7.36 (s, 1H), 7.54 (s, 1H), 7.63 (d, J = 8.8 Hz, 2H), 7.71 (d, J = 8.2 Hz, 1H). 13C-NMR (50 MHz, CDCl3) δ (ppm) = 40.2, 55.4, 114.3 (2C), 115.8, 118.0, 122.0, 122.9, 125.1, 127.2, 127.7 (2C), 136.4, 137.1, 137.7, 141.3, 144.4, 159.8. HR-MS analyst [M + H]+ m/z (predicted) = 281.0995, m/z (measured) = 281.1000, difference = −1.98 ppm.

2.1.22. General Procedure for Hydroboration-Oxidation on Allyl Benzo-Fused Heterocycles

Procedure C: 5-allyl benzo-fused derivatives (0.5 mmol, 1.0 equiv.) was dissolved in 0.5 mL dry THF then the solution was cooled to 0 °C. A 1M solution of BH3.THF (0.5 mL, 0.5 mmol, 1.0 equiv.) was added slowly. Afterwards, the reaction solution was warmed to room temperature and stirred for 24 h. On the other hand, a solution of 3M NaOH and H2O2 30% was mixed in ratio of 2:3 and then cooled to 0 °C. After 24 h of reaction time, the reaction was cooled again to 0 °C and then the prepared solution of NaOH and H2O2 (1.20 mL, 1.2 mmol NaOH and 7.8 mmol H2O2) was added slowly. The reaction mixture was stirred at room temperature for 4 more hours, then diluted with 5 mL diethyl ether. The organic phase was washed with a saturated NH4Cl solution for 3 times, once with brine and dried over Na2SO4. The solvent was removed under reduced pressure. Purification was performed on silica gel eluting with LP/EtOAc mixtures.

2.1.23. 3-(2-(4-(Methoxymethoxy)phenyl)benzo[b]furan-5-yl)propan-1-ol (19a)

Prepared according to the general procedure C. mp 155–156 °C. 1H-NMR (200 MHz, CDCl3) δ (ppm) = 1.33 (s, 1H), 1.88–2.01 (m, 2H), 2.81 (t, J = 7.3 Hz, 2H), 3.51 (s, 3H), 3.70 (t, J = 6.4 Hz, 2H), 5.23 (s, 2H), 6.85 (s, 1H), 7.08–7.13 (m, 3H), 7.38–7.43 (m, 2H), 7.78 (d, J = 8.7 Hz, 2H). 13C-NMR (50 MHz, CDCl3) δ (ppm) = 32.0, 34.8, 56.1, 62.3, 94.4, 99.8 110.7, 116.5 (2C), 120.0, 124.4, 124.5, 126.3 (2C), 129.6, 136.3, 153.4, 156.1, 157.5. HR-MS analyst [M + H]+ m/z (predicted) = 313.1434, m/z (measured) = 313.1431, difference = 0.93 ppm.

2.1.24. 3-(2-(4-Methoxyphenyl)benzo[b]furan-5-yl)propan-1-ol (19c)

Prepared according to the general procedure C. mp 150–152 °C. 1H-NMR (400 MHz, CDCl3) δ (ppm) = 1.41 (s, 1H), 1.94 (ddt, J = 12.9, 8.9, 6.4 Hz, 2H), 2.80 (t, J = 7.2 Hz, 2H), 3.70 (t, J = 6.4 Hz, 2H), 3.86 (s, 3H), 6.83 (d, J = 0.8 Hz, 1H), 6.95–7.00 (m, 2H), 7.09 (dd, J = 8.4, 1.8 Hz, 1H), 7.36–7.41 (m, 2H), 7.76–7.80 (m, 2H). 13C-NMR (100 MHz, CDCl3) δ (ppm) = 32.0, 34.8, 55.4, 62.3, 99.5, 110.7, 114.2 (2C), 119.9, 123.5, 124.4, 126.4 (2C), 129.7, 136.3, 153.4, 156.3, 159.9. HR-MS analyst [M + H]+ m/z (predicted) = 283.1329, m/z (measured) = 283.1339, difference = −3.63 ppm.

2.1.25. 3-(2-(3,5-Dimethoxyphenyl)benzo[b]furan-5-yl)propan-1-ol (19d)

Prepared according to the general procedure C. mp 66–68 °C. 1H-NMR (400 MHz, CDCl3) δ (ppm) = 1.43 (s, 1H), 1.94 (ddt, J = 12.9, 8.9, 6.4 Hz, 2H), 2.80 (t, J = 7.4 Hz, 2H), 3.70 (t, J = 6.4 Hz, 2H), 3.87 (s, 6H), 6.47 (t, J = 2.2 Hz, 1H), 6.95 (s, 1H), 7.01 (d, J = 2.2 Hz, 2H), 7.12 (dd, J = 8.4, 1.6 Hz, 1H), 7.39–7.44 (m, 2H). 13C-NMR (100 MHz, CDCl3) δ (ppm) = 32.0, 34.7, 55.5 (2C), 62.2, 101.0, 101.7, 103.0 (2C), 110.9, 120.3, 125.1, 129.5, 132.3, 136.5, 153.5, 155.9, 161.1 (2C). HR-MS analyst [M + H]+ m/z (predicted) = 313.1434, m/z (measured) = 313.1430, difference = 1.32 ppm.

2.1.26. 3-(2-Phenylbenzo[b]furan-5-yl)propan-1-ol (19e)

Prepared according to the general procedure C. mp 128–129 °C. 1H-NMR (400 MHz, CDCl3) δ (ppm) = 1.39 (s, 1H), 1.95 (ddt, J = 12.9, 8.9, 6.4 Hz, 2H), 2.81 (t, J = 7.6 Hz, 2H), 3.71 (t, J = 6.4 Hz, 2H), 6.97 (d, J = 0.8 Hz, 1H), 7.13 (dd, J = 8.4, 1.8 Hz, 1H), 7.33–7.47 (m, 5H), 7.84–7.87 (m, 2H). 13C-NMR (100 MHz, CDCl3) δ (ppm) = 32.0, 34.8, 62.3, 101.1, 110.9, 120.2, 124.9 (2C), 125.0, 128.5, 128.8 (2C), 129.4, 130.6, 136.5, 153.6, 156.2. HR-MS analyst [M + H]+ m/z (predicted) = 253.1223, m/z (measured) = 253.1220, difference = 1.05 ppm.

2.1.27. 3-(2-(4-Fluorophenyl)benzo[b]furan-5-yl)propan-1-ol (19f)

Prepared according to the general procedure C. mp 124–126 °C. 1H-NMR (400 MHz, CDCl3) δ (ppm) = 1.41 (s, 1H), 1.94 (ddt, J = 12.9, 8.9, 6.4 Hz, 2H), 2.81 (t, J = 7.6 Hz, 2H), 3.72 (t, J = 6.4 Hz, 2H), 6.89 (d, J = 0.4 Hz, 1H), 7.11–7.15 (m, 3H), 7.33 (m, 2H), 7.80–7.84 (m, 2H). 13C-NMR (100 MHz, CDCl3) δ (ppm) = 32.0, 34.8, 62.3, 100.9, 110.9, 115.9 (d, 2JC-F = 22.0 Hz, 2C), 120.2, 125.0, 126.7 (d, 3JC-F = 8.2 Hz, 2C), 126.9 (d, 4JC-F = 3.4 Hz), 129.4, 136.6, 153.6, 155.3, 162.9 (d, 1JC-F = 248.6 Hz). HR-MS analyst [M + H]+ m/z (predicted) = 295.1329, m/z (measured) = 295.1327, difference = 0.69 ppm.

2.1.28. 3-(2-(4-(Difluoromethyl)phenyl)benzo[b]furan-5-yl)propan-1-ol (19g)

Prepared according to the general procedure C. mp 127–129 °C. 1H-NMR (400 MHz, CDCl3) δ (ppm) = 1.59 (s, 1H), 1.95 (ddt, J = 12.9, 8.9, 6.4 Hz, 2H), 2.82 (t, J = 7.6 Hz, 2H), 3.71 (t, J = 6.4 Hz, 2H), 6.68 (t, J = 56.4 Hz, 1H), 7.04 (s, 1H), 7.16 (dd, J = 8.4, 1.8 Hz, 1H), 7.41–7.45 (m, 2H), 7.58 (d, J = 8.2 Hz, 2H), 7.92 (d, J = 8.5 Hz, 2H). 13C-NMR (100 MHz, CDCl3) δ (ppm) = 32.0, 34.7, 62.2, 102.5, 111.0, 114.5 (t, 1JC-F = 238.8 Hz), 120.5, 125.0 (2C), 125.6, 126.1 (t, 3JC-F = 6.1 Hz), 129.1, 132.8, 134.1 (t, 2JC-F = 22.4 Hz), 136.8, 153.8, 154.9. HR-MS analyst [M + H]+ m/z (predicted) = 303.1191, m/z (measured) = 303.1185, difference = 2.17 ppm.

2.1.29. 3-(2-(2-Chlorophenyl)benzo[b]furan-5-yl)propan-1-ol (19h)

Prepared according to the general procedure C. 1H-NMR (400 MHz, CDCl3) δ (ppm) = 1.39 (s, 1H), 1.95 (ddt, J = 12.9, 8.9, 6.4 Hz, 2H), 2.81 (t, J = 7.6 Hz, 2H), 3.71 (t, J = 6.4 Hz, 2H), 6.61 (d, J = 1.9 Hz, 1H), 7.26–7.54 (m, 6H), 7.83 (dd, J = 7.7, 1.8 Hz, 1H). 13C-NMR (100 MHz, CDCl3) δ (ppm) = 31.8, 36.0, 64.2, 104.1, 113.3, 120.4, 124.0, 127.4, 127.8, 128.4, 129.1, 129.1, 131.9, 132.5, 134.3, 151.8, 153.5. HR-MS analyst [M + H]+ m/z (predicted) = 287.0833, m/z (measured) = 287.0826, difference = 2.71 ppm.

2.1.30. 3-(2-(4-(Methoxymethoxy)phenyl)benzo[b]thiophen-5-yl)propan-1-ol (24a)

Prepared according to the general procedure C. mp 170–172 °C. 1H-NMR (400 MHz, CDCl3) δ (ppm) = 1.44 (s, 1H), 1.95 (ddt, J = 12.9, 8.9, 6.4 Hz, 2H), 2.82 (t, J = 7.4 Hz, 2H), 3.50 (s, 3H), 3.71 (t, J = 6.4 Hz, 2H), 5.22 (s, 2H), 7.07–7.16 (m, 3H), 7.38 (s, 1H), 7.57 (d, J = 0.9 Hz, 1H), 7.57–7.64 (m, 2H), 7.72 (d, J = 8.2 Hz, 1H). 13C-NMR (100 MHz, CDCl3) δ (ppm) = 32.0, 34.5, 56.1, 62.2, 94.4, 116.6 (2C), 118.3, 122.1, 122.8, 125.1, 127.7 (2C), 128.3, 137.0, 138.2, 141.2, 144.3, 157.4. HR-MS analyst [M + H]+ m/z (predicted) = 329.1206, m/z (measured) = 329.1211, difference = −1.91 ppm.

2.1.31. 3-(2-(4-Methoxyphenyl)benzo[b]thiophen-5-yl)propan-1-ol (24c)

Prepared according to the general procedure C. mp 151–153 °C. 1H-NMR (200 MHz, CDCl3) δ (ppm) = 1.29 (s, 1H), 1.96 (ddt, J = 12.9, 8.9, 6.4 Hz, 2H, H-2″), 2.82 (t, J = 7.4 Hz, 2H, H-1″), 3.71 (t, J = 6.4 Hz, 2H), 3.85 (s, 3H), 6.94–6.96 (m, 2H), 7.08–7.16 (m, 1H), 7.36–7.38 (m, 1H), 7.57 (s, 1H), 7.62–7.64 (m, 2H), 7.71 (d, J = 8.2 Hz, 1H). 13C-NMR (50 MHz, C′DCl3) δ (ppm) = 32.0, 34.5, 55.4, 62.3 (C-3″), 114.4 (2C), 118.0, 122.1, 122.7, 125.0, 127.71, 127.72 (2C), 136.9, 138.2, 141.2, 144.4, 159.8. HR-MS analyst [M + H]+ m/z (predicted) = 299.1100, m/z (measured) = 299.1072, difference = 9.57 ppm.

2.1.32. General Procedure for Isomerization on Allyl Benzo-Fused Heterocycles

Procedure D: 5-allyl benzo-fused derivatives (0.5 mmol, 1.0 equiv.), Pd(dba)2 (5.8 mg, 0.01 mmol, 0.02 equiv.), P(tBu3).HBF4 (5.8 mg, 0.02 mmol, 0.04 equiv.) and iPrCOCl (10 µL, 10.6 mg, 0.1 mmol, 0.2 equiv.) was mixed in 1 mL of degassed DMAc. The mixture was stirred at 100 °C for 6 h in argon atmosphere. The reaction mixture was cooled to room temperature and then diluted with 15 mL ethylacetate and filtered through a pad of celite. The organic phase was washed with a saturated NH4Cl solution for 3 times, once with brine and dried over Na2SO4. The solvent was removed under reduced pressure. Purification was performed on silica gel eluting with LP or LP/EtOAc mixtures (depending on the polarity of the product).

2.1.33. (E)-2-(4-(Methoxymethoxy)phenyl)-5-(prop-1-en-1-yl)benzo[b]furan (20a)

Prepared according to the general procedure D. mp 151–153 °C. 1H-NMR (200 MHz, CDCl3) δ (ppm) = 1.90 (dd, J = 6.6, 1.5 Hz, 3H), 3.50 (s, 3H), 5.22 (s, 2H), 6.20 (dq, J = 15.6, 6.5 Hz, 1H), 6.48 (dd, J = 15.7, 1.3 Hz, 1H), 6.85 (s, 1H), 7.09–7.12 (m, 2H), 7.25–7.27 (m, 1H), 7.39–7.47 (m, 2H), 7.76–7.79 (m, 2H). 13C-NMR (50 MHz, CDCl3) δ (ppm) = 18.5, 56.1, 94.4, 100.1, 110.9, 116.5 (2C), 117.7, 122.1, 124.4, 124.5, 126.3 (2C), 129.7, 131.2, 133.2, 154.1, 156.3, 157.6. HR-MS analyst [M + H]+ m/z (predicted) = 295.1329, m/z (measured) = 295.1328, difference = 0.22 ppm.

2.1.34. (E)-2-(4-Methoxyphenyl)-5-(prop-1-en-1-yl)benzo[b]furan (20c)

Prepared according to the general procedure D. mp 145–147 °C. 1H-NMR (400 MHz, CDCl3) δ (ppm) = 1.91 (dd, J = 6.6, 1.5 Hz, 3H), 3.86 (s, 3H), 6.22 (dq, J = 15.6, 6.5 Hz, 1H), 6.50 (dd, J = 15.7, 1.3 Hz, 1H), 6.83 (d, J = 0.6 Hz, 1H), 6.96–6.99 (m, 2H), 7.25–7.28 (m, 1H), 7.40–7.47 (m, 2H), 7.77–7.79 (m, 2H). 13C-NMR (100 MHz, CDCl3) δ (ppm) = 18.5, 55.4, 99.7, 110.9, 114.3 (2C), 117.7, 122.0, 123.4, 124.3, 126.4 (2C), 129.8, 131.2, 133.2, 154.1, 156.4, 160.0. HR-MS analyst [M + H]+ m/z (predicted) = 265.1223, m/z (measured) = 265.1223, difference = −0.01 ppm.

2.1.35. (E)-2-(3,5-Dimethoxyphenyl)-5-(prop-1-en-1-yl)benzo[b]furan (20d)

Prepared according to the general procedure D. 1H-NMR (200 MHz, CDCl3) δ (ppm) = 1.91 (d, J = 6.4 Hz, 3H), 3.88 (s, 6H), 6.22 (dq, J = 15.9, 6.5 Hz, 1H), 6.47–6.55 (m, 2H), 6.97–7.03 (m, 3H), 7.27–7.50 (m, 3H). 13C-NMR (50 MHz, CDCl3) δ (ppm) = 18.5, 55.5 (2C), 101.0, 101.9, 102.9 (2C), 111.0, 118.0, 122.6, 124.6, 129.4, 131.1, 132.2, 133.3, 154.1, 156.1, 161.1 (2C). HR-MS analyst [M + H]+ m/z (predicted) = 313.1434, m/z (measured) = 313.1430, difference = 1.32 ppm.

2.1.36. (E)-2-Phenyl-5-(prop-1-en-1-yl)benzo[b]furan (20e)

Prepared according to the general procedure D. mp 126–128 °C. 1H-NMR (200 MHz, CDCl3) δ (ppm) = 1.92 (dd, J = 6.4, 1.8 Hz, 3H), 6.22 (dq, J = 15.9, 6.5 Hz, 1H), 6.51 (d, J = 15.9 Hz, 1H), 7.00 (s, 1H), 7.27–7.52 (m, 6H), 7.87 (m, 2H). 13C-NMR (50 MHz, CDCl3) δ (ppm) =18.5, 101.3, 111.0, 118.0, 122.5, 124.5, 124.9 (2C), 128.5, 128.8 (2C), 129.5, 130.5, 131.1, 133.3, 154.2, 156.3. HR-MS analyst [M + H]+ m/z (predicted) = 235.1117, m/z (measured) = 235.1123, difference = −2.28 ppm.

2.1.37. (E)-2-(4-Fluorophenyl)-5-(prop-1-en-1-yl)benzo[b]furan (20f)

Prepared according to the general procedure D. mp 123–125 °C. 1H-NMR (400 MHz, CDCl3) δ (ppm) = 1.91 (dd, J = 6.6, 1.5 Hz, 3H), 6.22 (dq, J = 15.6, 6.5 Hz, 1H), 6.50 (dd, J = 15.7, 1.3 Hz, 1H), 6.89 (s, 1H), 7.11–7.16 (m, 2H), 7.29–7.31 (dd, J = 8.6, 1.7 Hz, 1H), 7.41–7.49 (m, 2H), 7.80–7.83 (m, 2H). 13C-NMR (100 MHz, CDCl3) δ (ppm) = 18.5, 101.1, 111.0, 115.9 (d, 2JC-F = 21.8 Hz), 118.0, 122.6, 124.6, 126.7 (d, 3JC-F = 8.3 Hz), 126.8 (d, 4JC-F = 3.2 Hz), 129.5, 133.4, 136.5, 154.2, 155.4, 161.3 (d, 1JC-F = 247.2 Hz, 1C). HR-MS analyst [M + H]+ m/z (predicted) = 253.1023, m/z (measured) = 253.1027, difference = −1.41 ppm.

2.1.38. (E)-2-(4-(Difluoromethyl)phenyl)-5-(prop-1-en-1-yl)benzo[b]furan (20g)

Prepared according to the general procedure D. mp 125–128 °C. 1H-NMR (200 MHz, CDCl3) δ (ppm) = 1.91 (dd, J = 6.6, 1.5 Hz, 3H), 6.23 (dq, J = 15.6, 6.5 Hz, 1H), 6.50 (dd, J = 15.7, 1.3 Hz, 1H), 6.68 (t, JH-F = 56.4 Hz, 1H), 7.05 (s, 1H), 7.32–7.34 (m, 2H), 7.51–7.59 (m, 3H), 7.92 (d, J = 8.4 Hz, 2H). 13C-NMR (50 MHz, CDCl3) δ (ppm) = 18.5, 102.7, 111.2, 114.5 (t, 1JC-F = 237.3 Hz), 118.2, 123.1, 124.8, 125.0 (2C), 126.1 (t, 3JC-F = 6.2 Hz), 129.2, 131.0, 132.7, 133.5, 134.1 (t, 2JC-F = 22.4 Hz), 154.4, 155.1. HR-MS analyst [M + H]+ m/z (predicted) = 285.1091, m/z (measured) = 285.1084, difference = 2.13 ppm.

2.1.39. (E)-2-(2-Chlorophenyl)-5-(prop-1-en-1-yl)benzo[b]furan (20h)

Prepared according to the general procedure D. mp 66–68 °C. 1H-NMR (200 MHz, CDCl3) δ (ppm) = 1.94 (d, J = 6.5 Hz, 3H), 6.33 (dq, J = 15.6, 6.5 Hz, 1H), 6.55 (dd, J = 15.7, 1.3 Hz, 1H), 6.67–6.77 (m, 2H), 7.42–7.54 (m, 5H), 7.77–7.83 (m, 1H). 13C-NMR (50 MHz, CDCl3) δ (ppm) = 18.7, 105.6, 112.1, 120.4, 124.4, 125.1, 127.0, 127.4, 128.3, 128.5, 128.9, 129.0, 129.1, 130.0, 130.6, 153.0, 153.3. HR-MS analyst [M + H]+ m/z (predicted) = 269.0728, m/z (measured) = 269.0730, difference = −0.88 ppm.

2.1.40. (E)-2-(4-(Methoxymethoxy)phenyl)-5-(prop-1-en-1-yl)benzo[b]thiophene (25a)

Prepared according to the general procedure D. mp 173–174 °C. 1H-NMR (400 MHz, CDCl3) δ (ppm) = 1.91 (dd, J = 6.6, 1.5 Hz, 3H), 3.50 (s, 3H), 5.21 (s, 2H), 6.28 (dq, J = 15.6, 6.5 Hz, 1H), 6.50 (dd, J = 15.8, 1.5 Hz, 1H), 7.08–7.10 (m, 2H), 7.32 (dd, J = 8.4, 2.6 Hz, 1H), 7.39 (s, 1H), 7.61–7.64 (m, 3H), 7.70 (d, J = 8.4 Hz, 1H). 13C-NMR (100 MHz, CDCl3) δ (ppm) = 18.5, 56.1, 94.4, 116.6 (2C), 118.5, 120.6, 122.1 (2C), 125.3, 127.7 (2C), 128.2, 131.1, 134.7, 137.7, 141.3, 144.4, 157.4. HR-MS analyst [M + H]+ m/z (predicted) = 310.1022, m/z (measured) = 310.1025, difference = −1.01 ppm.

2.1.41. (E)-2-(4-Methoxyphenyl)-5-(prop-1-en-1-yl)benzo[b]thiophene (25c)

Prepared according to the general procedure D. mp 154–156 °C. 1H-NMR (200 MHz, CDCl3) δ (ppm) = 1.93 (d, J = 6.5 Hz, 3H), 3.86 (s, 3H), 6.29 (dq, J = 15.6, 6.5 Hz, 1H), 6.51 (d, J = 15.6 Hz, 1H), 6.96 (d, J = 8.6 Hz, 2H), 7.27–7.39 (m, 2H), 7.62–7.74 (m, 4H). 13C-NMR (50 MHz, CDCl3) δ (ppm) = 18.5, 55.4, 114.3 (2C), 118.2, 120.6, 122.0, 122.1, 125.2, 127.1, 127.7 (2C), 131.1, 134.6, 137.6, 141.3, 144.5, 159.8. HR-MS analyst [M + H]+ m/z (predicted) = 281.0995, m/z (measured) = 281.1004, difference = −3.48 ppm.

2.1.42. General Procedure for De-Protection of MOM Group

Procedure D: MOM protected substrate (0.1 mmol, 1.0 equiv.) was dissolved in 0.5 mL MeOH. A 1N solution of HCl (50 µL, 0.05 mol, 0.5 equiv.) was added subsequently. The mixture was stirred at 65 °C for 30 min. The reaction mixture was cooled to room temperature and then diluted with 15 mL Et2O. The organic phase was washed with a saturated NH4Cl solution for 3 times, once with brine and dried over Na2SO4. The solvent was removed under reduced pressure. Purification was performed on silica gel eluting with LP/EtOAc 3:1 to obtain the desired product.

2.1.43. 4-(5-Allylbenzo[b]furan-2-yl)phenol (16b)

Prepared according to the general procedure E. mp 165–168 °C. 1H-NMR (400 MHz, acetone-d6) δ (ppm) = 3.33 (d, J = 6.7 Hz, 2H, H-1″), 4.88–4.99 (m, 2H, H-3″), 5.88 (ddt, J = 16.8, 10.4, 6.7 Hz, 1H, H-2″), 6.82–6.84 (m, 2H), 6.89 (s, 1H), 6.96 (dd, J = 8.5, 1.2 Hz, 1H), 7.26–7.31 (m, 2H), 7.63–7.65 (m, 2H), 8.60 (s, 1H, ArOH). 13C-NMR (100 MHz, acetone-d6) δ (ppm) = 39.8 (C-1″), 99.1, 110.4, 114.7, 115.8 (2C), 120.2, 122.2, 124.5, 126.4 (2C), 129.9, 134.8, 138.3, 153.4, 156.6, 158.2. HR-MS analyst [M + H]+ m/z (predicted) = 251.1067, m/z (measured) = 251.1062, difference = 1.82 ppm.

2.1.44. 4-(5-(3-Hydroxypropyl)benzo[b]furan-2-yl)phenol (19b)

Prepared according to the general procedure E. mp 194–196 °C. 1H-NMR (200 MHz, acetone-d6) δ (ppm) = 1.89 (ddt, J = 12.9, 8.9, 6.4 Hz, 2H), 2.80 (t, J = 7.2 Hz, 2H), 2.95 (s, 1H), 3.62 (t, J = 6.4 Hz, 2H), 6.95–6.97 (m, 3H), 7.10–7.13 (m, 1H), 7.39–7.40 (m, 2H), 7.75–7.77 (m, 2H), 8.66 (s, 1H). 13C-NMR (50 MHz, acetone-d6) δ (ppm) = 31.9, 35.1, 61.0, 99.1, 110.3, 115.7 (2C), 119.9, 122.2, 124.4, 126.3 (2C), 129.7, 137.0, 153.2, 156.5, 158.0. HR-MS analyst [M + H]+ m/z (predicted) = 269.1172, m/z (measured) = 269.1183, difference = −3.87 ppm.

2.1.45. (E)-4-(5-(Prop-1-en-1-yl)benzo[b]furan-2-yl)phenol (6)

Prepared according to the general procedure E. mp 198–199 °C. 1H-NMR (200 MHz, acetone-d6) δ (ppm) = 1.87 (dd, J = 6.6, 1.2 Hz, 3H), 6.26 (dq, J = 15.6, 6.6 Hz, 1H), 6.51 (d, J = 15.8 Hz, 1H), 6.98–7.02 (m, 3H), 7.32 (dd, J = 8.6, 1.1 Hz, 1H), 7.44 (d, J = 8.5 Hz, 1H), 7.54 (s, 1H), 7.78–7.80 (m, 2H), 8.76 (s, 1H). 13C-NMR (50 MHz, acetone-d6) δ (ppm) = 17.7, 99.3, 110.6, 115.8 (2C), 117.7, 121.9, 122.1, 123.9, 126.5 (2C), 130.0, 131.2, 133.3, 153.9, 156.8, 158.2. HR-MS analyst [M + H]+ m/z (predicted) = 251.1067, m/z (measured) = 251.1057, difference = 3.71 ppm.

2.1.46. 4-(5-(3-Hydroxypropyl)benzo[b]thiophen-2-yl)phenol (24b)

Prepared according to the general procedure E. mp 217–219 °C. 1H-NMR (400 MHz, acetone-d6) δ (ppm) = 1.74 (tt, J = 7.5, 6.2 Hz, 2H), 2.67 (t, J = 7.6 Hz, 2H), 2.73 (s, 1H), 3.46 (t, J = 5.8 Hz, 2H), 6.79–6.81 (m, 2H), 7.06 (dd, J = 8.2, 1.6 Hz, 1H), 7.38 (s, 1H), 7.47–7.65 (m, 4H), 8.54 (s, 1H). 13C-NMR (100 MHz, acetone-d6) δ (ppm) = 31.9, 34.9, 60.8, 115.9, 117.8, 121.8, 122.7, 125.1, 125.9, 127.6 (2C), 136.3, 139.0, 141.5, 144.4, 157.9. HR-MS analyst [M + H]+ m/z (predicted) = 285.0944, m/z (measured) = 285.0934, difference = 3.56 ppm.

2.1.47. (E)-4-(5-(Prop-1-en-1-yl)benzo[b]thiophen-2-yl)phenol (25b)

Prepared according to the general procedure E. mp 212–213 °C. 1H-NMR (200 MHz, CDCl3) δ (ppm) = 1.74 (dd, J = 6.6, 1.6 Hz, 3H), 6.21 (dq, J = 15.7, 6.6 Hz, 1H), 6.38 (dd, J = 15.8, 1.5 Hz, 1H), 6.79–6.81 (m, 2H), 7.23 (dd, J = 8.4, 1.7 Hz, 1H), 7.37 (s, 1H), 7.47–7.49 (m, 2H), 7.56 (d, J = 1.2 Hz, 1H), 7.63 (d, J = 8.4 Hz, 1H), 8.54 (s, 1H). 13C-NMR (50 MHz, CDCl3) δ (ppm) = 17.8, 115.9 (2C), 117.9, 120.6, 122.0, 124.8, 125.7, 127.6 (2C), 127.6, 131.1, 134.8, 137.3, 141.6, 144.8, 158.0. HR-MS analyst [M + H]+ m/z (predicted) = 267.0838, m/z (measured) = 267.0830, difference = 3.22 ppm.

2.2. NF-κB Transactivation Activity

Measurement of the NF-κB transactivation activity was essentially performed as described previously [9]. Briefly, HEK-293 cells stably transfected with a NF-κB luciferase reporter (HEK293/NF-κB-luc cells, Panomics, RC0014) were loaded with CTG CMFDA (5-chloromethylfluorescein diacetate, Invitrogen) to stain living cells. 4 × 104 cells were seeded in 96-well plates and incubated at 37 °C and 5% CO2 overnight. On the next day, the medium was exchanged with a serum-free DMEM and cells were treated with the respective test compounds dissolved in dimethyl sulfoxide (DMSO). To avoid nonspecific effects of the solvent, the final concentration of DMSO was always adjusted to 0.1%. One hour after the treatment, cells were stimulated with 2 ng/mL human recombinant TNF-α for 4 h. Then cells were lysed by a reporter lysis buffer (Promega, Madison, WI, USA). The luminescence of the firefly luciferase and the CTG fluorescence were quantified on a GeniosPro plate reader (Tecan, Grödig, Austria). The luciferase signal derived from the NF-κB reporter was normalized by the CTG-derived fluorescence to account for differences in the cell number or transfection efficiency.

3. Results and Discussion

Based on the results presented in the introduction, we were interested to synthesize and evaluate benzofuran-based lignans of general structure I (Figure 2). The synthetic strategy should be modular, efficient, and applicable to the synthesis of a wide range of derivatives, ideally from common intermediates. Breaking the strategic bonds as indicated in Figure 2, three fragments A, B, and C, are obtained which suggest the application of a direct arylation/cross coupling strategy, which introduces the aryl moiety in position two of general structure II via direct arylation and the alkyl or alkenyl chain in position five of the same fragment via a cross-coupling methodology, e.g., with an allyl boronic acid ester such as IV. For the direct arylation protocol we had previously developed an efficient protocol optimized for benzo-fused heterocyclic systems [10]. Hence, the main synthetic task was developing a suitable cross-coupling method introducing the desired residues in position five of building block II and subsequent elaboration of the olefin function towards the substituents identified for the naturally occurring compounds. Naturally, there are many ways to synthesize substituted benzofurans [11], and also the type of structure we are aiming for has been synthesized previously. For example, Duan et al. used a strategy in which the benzofuran core was constructed individually for each derivative synthesized [12]. This strategy is conveniently applicable for a small set of compounds, however, when a larger library of derivatives is targeted, it is lacking the modularity we were aiming for.
Consequently, fragment B was designed as a 5-halo-benzo[b]furan (general structure II, Figure 2). This building block offers two possibilities: Initial allylation at C5 and subsequent C2 arylation, or, alternatively, initial C2 arylation followed by C5-allylation. Since the direct arylation protocol uses aryl bromides as coupling partners, the allylation reaction should be carried out first to avoid homo-coupling between two 5-bromobenzofuran entities. The resulting 5-allyl benzofuran should then be arylated in position two, however it has to be considered that the terminal double bond could react in an undesired Mizoroki-Heck reaction. In case the order of events should be reversed, 5-chlorobenzofuran would need to be applied to avoid or at least suppress the aforementioned problem. To develop the most efficient protocol, it was decided to investigate both approaches. For introducing the side chain in position five, introduction of an allyl substituent is the ideal option, since the allyl substituent can be further transformed into 3-hydroxyl-propyl by a hydroboration-oxidation sequence [13,14,15] or to a 2-propenyl residue by an isomerization reaction [16,17,18,19,20,21,22,23].
Initially, 5-bromobenzo[b]furan 12 was tested as starting material (Scheme 1) [24,25,26,27]. The subsequent allylation reaction with 13 worked well using a Suzuki-Miyaura protocol with Pd(PPh3)2Cl2 as catalyst, K2CO3 as base and in DMAc solvent. Product 14 was obtained in 58% yield. Next, a direct arylation should introduce the aryl residue in position two, giving rise to 16. Unfortunately, the direct arylation reaction did not take place and only product 15 derived from competing Mizoroki-Heck coupling was found, instead.
Hence, the alternative approach using 5-chlorobenzo[b]furan 17 as starting material was investigated (Scheme 2) [24,28]. In our previous publication [10], it was observed that aryl chlorides were unreactive as coupling partners under the reaction conditions and, hence, homo-coupling of the benzofuran starting material should not be an issue.
Before direct arylation was tested on this substrate, the allylation in position five had to be established. Using the same allylation conditions as for 5-bromobenzofuran 12 did not lead to any conversion towards 14 and, hence, the Suzuki-Miyaura reaction had to be optimized. Several conditions for Suzuki-Miyaura reactions on chloride substrates have been reported [29,30,31,32], mainly using elaborate catalyst/ligand systems. However, the method of Thimmaiah et al. used common catalysts and ligands and was therefore very appealing for our purposes of an efficient and simple protocol [30]. After a quick optimization, 5-allylbenzo[b]furan 14 could be synthesized using Pd2 (dba)3 as catalyst, SPhos as ligand, Cs2CO3 as base in dioxane, 100 °C and for 5 h giving an isolated yield of 14 of 68% (Scheme 2).
Subsequently, the direct arylation protocol was tested on 5-chlorobenzofuran 17 using our previously developed protocol [10]. Gratifyingly, 17 reacted selectively with 1-bromo-4-(methoxymethoxy) benzene giving product 18a as sole compound in 60% yield after only three hours reaction time. Compound 18a was subsequently submitted to the optimized Suzuki-Miyaura conditions to obtain product 16a in 69% yield (Scheme 2).
Product 16a represents a key compound for the synthetic route. From 16a, a hydroboration-oxidation sequence [13,14,15] using BH3.THF 1M for the first step and NaOH, H2O2 in THF for the second step was utilized in situ to obtain alcohol 19a with 42% isolated yield. The MOM protecting group was cleaved in methanol with traces of concentrated HCl subsequently to obtain the final product 19b (Scheme 3).
For the isomerization of 16a several different methods are reported using transition metal catalyst [16,17,18,19,20,21,22,23]. Only Gauthier et al. [23] used palladium catalyst with bulky ligand [23] to migrate the double bond into conjugation with the aryl ring with very good stereoselectivity. Using Pd(dba)2 as catalyst and P(tBu)3.HBF4 as ligand product 20a was obtained in E configuration with 75% yield. De-protection by concentrated HCl in methanol removed the MOM protective group to get final product 6 (Scheme 3).
For structure activity relationship studies, the developed synthetic sequence should also be applied for the synthesis of bioisosteric benzo[b]thiophene derivatives. Required 5-chlorobenzo[b]thiophene 21 was synthesized according to a literature protocol [33]. The direct arylation reaction on 21 was also selective giving 22a in 58% yield. Allylation via Suzuki-Miyaura coupling on 22a worked under the identical conditions as developed for the benzofuran series, albeit in somewhat lower yield giving 23a in 46% (Scheme 4).
The reactions for side chain modification were carried out again under identical conditions as in the benzofuran series. The hydroboration-oxidation sequence of 23a gave 46% isolated yield of 24a while isomerization to 25a gave 71% yield. De-protection reaction on 24a and 25a proceeded in very good yield of 89% toward 24b and 90% towards 25b, respectively (Scheme 5).
With a practical synthesis route for benzo[b]furan and benzo[b]thiophene compounds at hand, a group of lignan-like compounds based on those heterocyclic rings was prepared to evaluate their biological properties as anti-inflammatory agents.
Initially, a series of direct arylation reactions was conducted (Table 1) with aryl moieties carrying electron donating and electron withdrawing substituents. The nature of the substituent had only a minor influence on the yield of this transformation. In the benzofuran series, aryl bromides carrying electron donating substituents such as OMOM or methoxy gave 10–15% higher yields in the arylation step (see Table 1 examples 18a, 18c and 18d) as compared to substituents with no or an electron withdrawing effect (see Table 1 examples 18eh). In the benzothiophene series only two examples were synthesized and hence a general trend cannot be deduced.
The subsequent allylation reactions worked well on all benzofuran substrates giving yields in the range of 66–74%. Only the 2-Cl product 16h was obtained in somewhat lower yield of 51%. Important to note: compound 16b was obtained via MOM-deprotection of 16a in 91% yield rather than via allylation of the corresponding 4-OH-aryl precursor 18b. The direct arylation procedure turned out not to tolerate a free OH group, hence, requiring this alternate approach to 18b.
The hydroboration-oxidation sequence towards the terminal alcohol products 19ah (benzofuran series) and 24ac (benzothiophene series) proceeded with similar efficiency (40–53% yield) independent of the substituents present on the aryl ring (Table 2, left). Again, it should be noted that the 4-OH products 19b and 24b were obtained in excellent yield via MOM-deprotection of 19a and 24a respectively. The same is true for the double bond isomerization (Table 2, right). Benzofuran products 20ah and benzothiophene compounds 25ac were obtained in yields between 57–77% yield. Also, in this case the 4-OH products 6 and 25b were obtained in excellent yield via MOM-deprotection of 20a and 25a, respectively.
Since the pharmacological characterization of the lignan derivatives isolated from Krameria lappaceae revealed as most relevant in vitro anti-inflammatory activity inhibition of the NF-κB signaling pathway, we decided to use again a luciferase reporter model to quantify the transactivation activity of NF-κB [8]. For this, we used HEK293 cells stably transfected with a NF-κB-driven luciferase reporter gene that were loaded with fluorescent Cell Tracker Green to allow luciferase-derived signal normalization to the amount of viable cells. Cells were then treated with test compounds at the indicated concentration or vehicle for 30 min and then stimulated with TNF-α (2 ng/mL) for four hours. Luminescence and fluorescence was quantified in cell lysates by a Genios Pro plate reader (Tecan) [34].

4. Discussion

The biological data are compiled in Table 3. With the current synthetic route towards target compounds, structural diversity at position five of the benzo-heteroaromatic core could be further extended regarding the location of the olefinic system. Initially, 2-phenyl benzofurans were tested carrying an allyl group (entry 1, 16e), a 1-propenyl group (entry 2, 20e), or a 1-hydroxy-propan-3-yl group (entry 3, 19e) in position five of the benzofuran scaffold. NF-κB inhibition was measured initially at concentrations of 10 μM and/or at 20 μM. IC50 values were determined for compounds with a significant and concentration-dependent inhibitory activity at these concentrations. Within this initial series, it was found that the propanol substituted derivative 19e (entry 3) showed the highest inhibition (0.1-fold activation at 10 μM and 0.03-fold activation at 20 μM) and already a low IC50 value of 1.42 μM. The 5-allyl substituted derivative 16e as well as the 5-(1-propenyl) derivative 20e showed significantly lower inhibition, whereas the latter one gave the lowest activity (0.36 at 10 μM entry 1 vs. 0.66 at 10 μM entry 2).
Naturally occurring benzofuran lignans contain at least one oxygen functionality (OH or OMe) in the aryl ring in position two, compounds 16b, 19b, and 6 with a 4-hydroxyphenyl group in that position and the three different side chains in position five were tested (entries 4–6). Obviously, the hydroxyl group is very important for NF-κB inhibition since all three derivatives show significant inhibition at both, 10 and 20 μM concentration. Due to the small differences in the inhibitory effect, a trend between the three derivatives cannot be deduced, however, again the propanol substituted derivative 19b (entry 6) showed the lowest IC50 value with 1.24 μM, which is also the lowest value of all tested compounds.
When a methoxy group is placed in position four of the phenyl ring instead of a hydroxy group, the trend that the highest inhibition is found with 5-propanol substituted benzofurans (entry 9, compound 19c) followed by 5-allyl (entry 7, compound 16c) and 5-propenyl (entry 8, compound 20c) is clearly reestablished. Compound 19c (entry 9) shows a similar inhibitory effect as the other two propanol substituted derivatives (entries 3 and 6 compounds 19e and 19b) but with a significantly higher IC50 value of 3.82 μM (vs. 1.42 entry 3, and 1.24 entry 6). Naturally, the methoxy group in 19c is significantly larger than a proton (as in 19e) or a hydroxy group (as in 19b) and it was speculated that this size difference might have an influence on the IC50 values. Hence, in a next set of compounds, the methoxy group was substituted for a MOM group, which further increases the steric bulk.
In this set of compounds (entries 10–12, compounds 16a, 20a, and 19a respectively), significant inhibitory effects were found with the 5-allyl- and 5-propanol substituted derivatives 16a and 19a, but only at the higher concentration of 20 µM. The 0.03-fold NF-κB activation of 19a matches however the best values obtained so far. However, as hypothesized, the IC50 value is significantly higher with 9.22 μM (entry 12). Interestingly, 16a gave a very low IC50 value of 1.31 μM. This supports the argument that steric bulk in the phenyl ring influences the IC50 values.
Since naturally occurring benzofuran lignans often carry two oxygen functionalities (OH, OMe), it was tried to access such compounds synthetically. Unfortunately, our synthetic method allowed us only access to 3,5-dimethoxy substituted derivatives 16d, 20d, and 19d (entries 13–15). Again, the 5-propanol substituted derivative 19d (entry 15) showed highest NF-κB inhibition (0.20 at 10 μM) and the overall highest NF-κB inhibition of 0.003 at 20 μM. The IC50 value for this compound was surprisingly low (1.92 μM, entry 15), which is contradicting the steric argument previously considered. However, this compound is the only one carrying a 3,5-disubstituted phenyl ring and additional derivatives incorporation this substitution pattern would be required to further establish structure-activity relationship. The two oxygen moieties might lead to favorable interactions, which predominate over steric effects.
At this point it is safe to say that a propanol substituent in position five usually gives highest NF-κB inhibition, which is sometimes matched by 5-allyl substituted derivatives. The propenyl derivatives are largely inactive and were excluded in further biological evaluation.
So far only electron donating substituents on the phenyl ring were considered, in line with the substitution pattern of the natural products. Since fluorine substituents often beneficially influence factors such as lipophilicity and hence also biological activity, two fluorine containing derivatives were tested as well (19g entry 16 and 19f entry 17), both carrying the 5-propanol residue. NF-κB inhibition was mediocre in both compounds (entries 16 and 17) at 10 μM concentration, however at 20 μm, especially 19f showed significant inhibition. The IC50 values again showed the trend that the larger 4-CHF2 substituent gave a significantly higher IC50 value (19g, entry 16, 8.52 μM) as compared to the 4-F substituted derivative (19f, entry 17, 2.20 μM).
In one example (19h), ortho substitution in the phenyl ring was tested as well, but no significant NF-κB inhibition was obtained (entry 18).
In a next series of compounds, we tested whether the benzofuran core could be substituted by other benzothiophene. Hence, several benzothiophene derivatives were synthesized and the 4-hydroxyphenyl- (24b, entry 19), 4-methoxyphenyl- (24c, entry 20) and 4-MOM-phenyl- (24a, entry 21) derivatives were tested. In all three examples position five was substituted by the propanol side-chain. The MOM substituted derivative did not show NF-κB inhibition (entry 21), which is surprising since the corresponding benzofuran derivative (entry 9) was amongst the most active ones. The 4-OH (entry 19) and 4-MeO (entry 20) derivative showed NF-κB inhibition, especially at the higher concentration of 20 μM, however the corresponding IC50 values were significantly higher as compared to their benzofuran counterparts (see entry 6 vs entry 19 and entry 9 vs. entry 20).
A comparison of the pharmacological data of our synthesized compounds and the benzofuran lignans isolated from krameria lappacea roots (Figure 1, compounds 1, 2, and 59) shows that the IC50 values of several compounds are in the same range (or even lower) as the most active natural product 6. For compound 6 an IC50 of 1.4 μM was reported in literature for the natural product isolate and we measured a similar value of 2.86 μM in our assay with a synthetic sample of 6. Compound 19b, which differs from 6 only in the sidechain (19b: 3-hydroxypropyl, 6: prop-1-en-1-yl) gave an IC50 value of 1.24 μM. The difference between synthetic and natural 6 should not be overinterpreted, since the values stem from different measurement series carried out by different researchers.

5. Conclusions

It was found that the propanol side chain in position five is required for good inhibitory activity, independent of the underlying scaffold (benzofuran or benzothiophene). Some 5-allyl compounds do show activity as well, however those are the exception, and 5-propenyl derivatives are basically inactive. The IC50 values seem to correlate with steric bulk in the aryl-moiety in position two, a finding which we want to confirm further in subsequent studies. The larger the substituents get in this ring, the higher the IC50 values become. It can be speculated that there is a certain size restriction in the active site in this position. One examples does not follow this trend, however, in comparison to other compounds, the aryl ring is disubstituted in this example: the 3,5-dimethoxy compounds shows a low IC50 value, but other interactions induced by the two methoxy groups might be responsible for this. Here, more examples with different substitution patterns are required to complete the picture. With the established synthetic route towards this compound class, further elaboration of this scaffold has been enabled and additional studies to establish refined structure activity relationship will be conducted in our laboratories. The focus will lie on benzofurans carrying multiple oxygen-functionalities in the aromatic ring in position two. Additionally, further substitution in the benzofuran system besides a side chain in position five is not explored yet and will be investigated.

Author Contributions

Conceptualization, V.M.D., M.D.M., H.S., and M.S.; methodology, V.M.D., M.D.M., and M.S.; formal analysis, T.D.-H., S.L., A.P., and J.B.; investigation, T.D.-H., S.L., and J.B.; resources, V.M.D., and M.D.M.; data curation, T.D.-H., S.L., and J.B.; writing—original draft preparation, M.S. and V.M.D.; writing—review and editing, M.D.M., M.S., and V.M.D.; supervision, V.M.D., M.D.M. and M.S.; project administration, V.M.D., and M.D.M.; funding acquisition, V.M.D., and M.D.M. All authors have read and agreed to the published version of the manuscript.

Funding

The authors thank the Austrian Science Fund (FWF) for supporting this work within the framework of an NFN project (Drugs from Nature Targeting Inflammation, grant number S 10710)

Acknowledgments

T.D.H. expresses his gratitude to the Austrian Exchange Service OeAD for a Ph. D. fellowship. We also acknowledge the technical assistance of Scarlet Hummelbrunner (Department of Pharmacognosy, University of Vienna). The authors acknowledge TU Wien Bibliothek for financial support through its Open Access Funding Program.

Conflicts of Interest

The authors declare no conflict of interest. The funders had no role in the design of the study; in the collection, analyses, or interpretation of data; in the writing of the manuscript, or in the decision to publish the results.

References

  1. Medzhitov, R. Origin and physiological roles of inflammation. Nature 2008, 454, 428–435. [Google Scholar] [CrossRef] [PubMed]
  2. Gong, T.; Liu, L.; Jiang, W.; Zhou, R. DAMP-sensing receptors in sterile inflammation and inflammatory diseases. Nat. Rev. Immunol. 2019. [Google Scholar] [CrossRef] [PubMed]
  3. Nathan, C.; Ding, A. Nonresolving Inflammation. Cell 2010, 140, 871–882. [Google Scholar] [CrossRef] [PubMed]
  4. Karin, M.; Yamamoto, Y.; Wang, Q.M. The IKK NF-κB system: A treasure trove for drug development. Nat. Rev. Drug Discov. 2004, 3, 17–26. [Google Scholar] [CrossRef]
  5. Simpson, B.B. The past and present uses of rhatany (Krameria, Krameriaceae). Econ. Bot. 1991, 45, 397–409. [Google Scholar] [CrossRef]
  6. Christenhusz, M.J.M.; Byng, J.W. The number of known plants species in the world and its annual increase. Phytotaxa 2016, 261, 201–217. [Google Scholar] [CrossRef]
  7. Baumgartner, L.; Schwaiger, S.; Stuppner, H. Quantitative analysis of anti-inflammatory lignan derivatives in Ratanhiae radix and its tincture by HPLC–PDA and HPLC–MS. J. Pharm. Biomed. Anal. 2011, 56, 546–552. [Google Scholar] [CrossRef]
  8. Baumgartner, L.; Sosa, S.; Atanasov, A.G.; Bodensieck, A.; Fakhrudin, N.; Bauer, J.; Del Favero, G.; Ponti, C.; Heiss, E.H.; Schwaiger, S.; et al. Lignan Derivatives from Krameria lappacea Roots Inhibit Acute Inflammation in Vivo and Pro-inflammatory Mediators in Vitro. J. Nat. Prod. 2011, 74, 1779–1786. [Google Scholar] [CrossRef]
  9. Fakhrudin, N.; Waltenberger, B.; Cabaravdic, M.; Atanasov, A.G.; Malainer, C.; Schachner, D.; Heiss, E.H.; Liu, R.; Noha, S.M.; Grzywacz, A.M.; et al. Identification of plumericin as a potent new inhibitor of the NF-κB pathway with anti-inflammatory activity in vitro and in vivo. Br. J. Pharm. 2014, 171, 1676–1686. [Google Scholar] [CrossRef]
  10. Dao-Huy, T.; Haider, M.; Glatz, F.; Schnürch, M.; Mihovilovic, M.D. Direct Arylation of Benzo[b]furan and Other Benzo-Fused Heterocycles. Eur. J. Org. Chem. 2014, 2014, 8119–8125. [Google Scholar] [CrossRef]
  11. Chiummiento, L.; D’Orsi, R.; Funicello, M.; Lupattelli, P. Last Decade of Unconventional Methodologies for the Synthesis of Substituted Benzofurans. Molecules 2020, 25, 2327. [Google Scholar] [CrossRef] [PubMed]
  12. Duan, X.-F.; Shen, G.; Zhang, Z.-B. A Concise Synthesis of Natural Benzofuran Neolignans and Analogues. Synthesis 2010, 2010, 2547–2552. [Google Scholar] [CrossRef]
  13. Clay, J.M.; Vedejs, E. Hydroboration with Pyridine Borane at Room Temperature. J. Am. Chem. Soc. 2005, 127, 5766–5767. [Google Scholar] [CrossRef] [PubMed]
  14. Smith, M.B.; March, J. Chapter 18: Rearrangement. In March’s Advanced Organic Chemistry:  Reactions, Mechanisms and Structure, 6th ed.; Wiley Interscience: New York, NY, USA, 2007; pp. 1559–1702. [Google Scholar]
  15. Klement, I.; Knochel, P. Direct Oxidation of Organoboranes with Oxygen in Perfluoroalkanes. Synlett 1996, 1996, 1004–1006. [Google Scholar] [CrossRef]
  16. Kita Matthew, R.; Miller Alexander, J.M. An Ion-Responsive Pincer-Crown Ether Catalyst System for Rapid and Switchable Olefin Isomerization. Angew. Chem. Int. Ed. 2017, 56, 5498–5502. [Google Scholar] [CrossRef]
  17. Larsen, C.R.; Grotjahn, D.B. Stereoselective Alkene Isomerization over One Position. J. Am. Chem. Soc. 2012, 134, 10357–10360. [Google Scholar] [CrossRef]
  18. Lastra-Barreira, B.; Francos, J.; Crochet, P.; Cadierno, V. Ruthenium(iv) catalysts for the selective estragole to trans-anethole isomerization in environmentally friendly media. Green Chem. 2011, 13, 307–313. [Google Scholar] [CrossRef]
  19. Lucia, M.-R.; Pascale, C.; Victorio, C. A Catalytic System for the Estragole to Anethole Isomerization Based on [{RuCl(µ-Cl)(η6-p-cymene)}2]. Curr. Green Chem. 2014, 1, 128–135. [Google Scholar] [CrossRef]
  20. Scarso, A.; Colladon, M.; Sgarbossa, P.; Santo, C.; Michelin, R.A.; Strukul, G. Highly Active and Selective Platinum(II)-Catalyzed Isomerization of Allylbenzenes: Efficient Access to (E)-Anethole and Other Fragrances via Unusual Agostic Intermediates. Organomet 2010, 29, 1487–1497. [Google Scholar] [CrossRef]
  21. Wang, Y.; Qin, C.; Jia, X.; Leng, X.; Huang, Z. An Agostic Iridium Pincer Complex as a Highly Efficient and Selective Catalyst for Monoisomerization of 1-Alkenes to trans-2-Alkenes. Angew. Chem. Int. Ed. 2017, 56, 1614–1618. [Google Scholar] [CrossRef]
  22. Ken, M.; Kohei, N.; Akimitsu, M.; Toshihide, B. “Ligand-Consuming” Formation of Rhodium-Hydride Species from [Rh(OH)(cod)]2 Without any Additional Hydride Sources for Catalytic Olefin Isomerizations and Cyclobutene Synthesis. ChemCatChem 2011, 3, 1419–1421. [Google Scholar] [CrossRef]
  23. Gauthier, D.; Lindhardt, A.T.; Olsen, E.P.K.; Overgaard, J.; Skrydstrup, T. In Situ Generated Bulky Palladium Hydride Complexes as Catalysts for the Efficient Isomerization of Olefins. Selective Transformation of Terminal Alkenes to 2-Alkenes. J. Am. Chem. Soc. 2010, 132, 7998–8009. [Google Scholar] [CrossRef]
  24. Taveras, A.G.; Aki, C.J.; Bond, R.W.; Chao, J.; Dwyer, M.; Ferreira, J.A.; Chao, J.; Yu, Y.; Baldwin, J.J.; Kaiser, B.; et al. Preparation of 3,4-Di-Substituted Cyclobutene-1,2-Diones as Cxc-Chemokine Receptor Ligands. WO2002083624, 2002. [Google Scholar]
  25. Van Otterlo, W.A.L.; Morgans, G.L.; Madeley, L.G.; Kuzvidza, S.; Moleele, S.S.; Thornton, N.; de Koning, C.B. An isomerization-ring-closing metathesis strategy for the synthesis of substituted benzofurans. Tetrahedron 2005, 61, 7746–7755. [Google Scholar] [CrossRef]
  26. Zhang, B.-L.; Wang, F.-D.; Yue, J.-M. A New Efficient Method for the Total Synthesis of Linear Furocoumarins. Synlett 2006, 2006, 0567–0570. [Google Scholar] [CrossRef]
  27. Kwiecien, H.; Szychowska, M. Synthesis and reduction of 5-halo-and 5-nitro-1-(benzofuran-3-yl)-2-phenylethanones. Chem. Heterocycl. Compd. 2006, 42, 1002–1009. [Google Scholar] [CrossRef]
  28. Tsai, T.-W.; Wang, E.-C.; Li, S.-R.; Chen, Y.-H.; Lin, Y.-L.; Wang, Y.-F.; Huang, K.-S. A New Synthesis of Benzofurans from Phenols via Claisen Rearrangement and Ring-Closing Metathesis. J. Chin. Chem. Soc. 2004, 51, 1307–1318. [Google Scholar] [CrossRef]
  29. Zhang, J.; Zhao, L.; Song, M.; Mak, T.C.W.; Wu, Y. Highly efficient cyclopalladated ferrocenylimine catalyst for Suzuki cross-coupling reaction of 3-pyridylboronic pinacol ester with aryl halides. J. Organomet. Chem. 2006, 691, 1301–1306. [Google Scholar] [CrossRef]
  30. Thimmaiah, M.; Fang, S. Efficient palladium-catalyzed Suzuki–Miyaura coupling of aryl chlorides with arylboronic acids using benzoferrocenyl phosphines as supporting ligands. Tetrahedron 2007, 63, 6879–6886. [Google Scholar] [CrossRef]
  31. Crowley, B.M.; Potteiger, C.M.; Deng, J.Z.; Prier, C.K.; Paone, D.V.; Burgey, C.S. Expanding the scope of the Cu assisted Suzuki–Miyaura reaction. Tetrahedron Lett. 2011, 52, 5055–5059. [Google Scholar] [CrossRef]
  32. Pascanu, V.; Yao, Q.; Bermejo Gómez, A.; Gustafsson, M.; Yun, Y.; Wan, W.; Samain, L.; Zou, X.; Martín-Matute, B. Sustainable Catalysis: Rational Pd Loading on MIL-101Cr-NH2 for More Efficient and Recyclable Suzuki–Miyaura Reactions. Chem. Eur. J. 2013, 19, 17483–17493. [Google Scholar] [CrossRef]
  33. Pérez-Silanes, S.; Martínez-Esparza, J.; Oficialdegui, A.M.; Villanueva, H.; Orúas, L.; Monge, A. Synthesis of new 5-substitutedbenzo[b]thiophene derivatives. J. Heterocycl. Chem. 2009, 38, 1025–1030. [Google Scholar] [CrossRef]
  34. Tran, T.V.A.; Malainer, C.; Schwaiger, S.; Atanasov, A.G.; Heiss, E.H.; Dirsch, V.M.; Stuppner, H. NF-κB Inhibitors from Eurycoma longifolia. J. Nat. Prod. 2014, 77, 483–488. [Google Scholar] [CrossRef] [PubMed]
Figure 1. Lignan derivatives found in DCM extract of Rhatani root.
Figure 1. Lignan derivatives found in DCM extract of Rhatani root.
Biomolecules 10 01131 g001
Figure 2. Retrosynthetic analysis.
Figure 2. Retrosynthetic analysis.
Biomolecules 10 01131 g002
Scheme 1. Allylation and attempted direct arylation of 5-bromobenzo[b]furan 12.
Scheme 1. Allylation and attempted direct arylation of 5-bromobenzo[b]furan 12.
Biomolecules 10 01131 sch001
Scheme 2. Allylation and attempted direct arylation of 5-chlorobenzo[b]furan 14.
Scheme 2. Allylation and attempted direct arylation of 5-chlorobenzo[b]furan 14.
Biomolecules 10 01131 sch002
Scheme 3. Overview of double bond isomerization, hydroboration–oxidation, and MOM-deprotection of 16a.
Scheme 3. Overview of double bond isomerization, hydroboration–oxidation, and MOM-deprotection of 16a.
Biomolecules 10 01131 sch003
Scheme 4. Direct arylation and allylation of 5-chlorobenzo[b]thiophene 21.
Scheme 4. Direct arylation and allylation of 5-chlorobenzo[b]thiophene 21.
Biomolecules 10 01131 sch004
Scheme 5. Overview of double bond isomerization, hydroboration–oxidation, and MOM-deprotection of 23a.
Scheme 5. Overview of double bond isomerization, hydroboration–oxidation, and MOM-deprotection of 23a.
Biomolecules 10 01131 sch005
Table 1. Direct arylation and subsequent allylation.
Table 1. Direct arylation and subsequent allylation.
Biomolecules 10 01131 i001
EntryXR1ProductYield (%)ProductYield (%)
1O4-OMOM18a60%16a69%
2O4-OH18bn.s.16b91% 1
3O4-OMe18c58%16c70%
4O3,5-dimethoxy18d51%16d66%
5OH18e44%16e74%
6O4-F18f41%16f72%
7O4-CHF218g45%16g69%
8O2-Cl18h44%16h51%
9S4-OMOM22a58%23a46%
10S4-OMe22c31%23c58%
n.s. not synthesized; 1 via MOM-deprotection from 16a, the yield refers only to the deprotection step.
Table 2. Hydroboration-oxidation and isomerization.
Table 2. Hydroboration-oxidation and isomerization.
Biomolecules 10 01131 i002
EntryXR1ProductYield (%)ProductYield (%)
1O4-OMOM19a42%20a75%
2O4-OH19b89%1693%3
3O4-OMe19c46%20c62%
4O3,5-dimethoxy19d40%20d77%
5OH19e52%20e75%
6O4-F19f53%20f77%
7O4-CHF219g49%20g74%
8O2-Cl19h50%20h65%
9S4-OMOM24a46%25a71%
10S4-OH24b89%225b90%4
11S4-OMe24c45%25c57%
1 the yield refers to the MOM-deprotection step of 19a; 2 the yield refers to the MOM-deprotection step of 24a; 3 the yield refers to the MOM-deprotection step of 20a; 4 the yield refers to the MOM-deprotection step of 25a.
Table 3. Pharmacological data.
Table 3. Pharmacological data.
EntryCompoundStructureFold Activation NF-κB (10 µM)Fold Activation NF-κB (20 µM)IC50 (NF-κB, µM)
116eBiomolecules 10 01131 i0030.360.27n.d.
220eBiomolecules 10 01131 i0040.660.68n.d.
319eBiomolecules 10 01131 i0050.100.031.46
416bBiomolecules 10 01131 i0060.060.022.12
56Biomolecules 10 01131 i0070.150.042.86
619bBiomolecules 10 01131 i0080.120.0071.24
716cBiomolecules 10 01131 i0090.600.283.60
820cBiomolecules 10 01131 i010n.d.0.78n.d.
919cBiomolecules 10 01131 i0110.120.043.82
1016aBiomolecules 10 01131 i0120.310.1471.31
1120aBiomolecules 10 01131 i0130.770.83n.d.
1219aBiomolecules 10 01131 i0140.570.039.22
1316dBiomolecules 10 01131 i0150.54n.d.n.d.
1420dBiomolecules 10 01131 i0160.94n.d.n.d.
1519dBiomolecules 10 01131 i0170.200.0031.92
1619gBiomolecules 10 01131 i0180.520.088.52
1719fBiomolecules 10 01131 i0190.320.022.20
1819hBiomolecules 10 01131 i0201.080.61n.d.
1924bBiomolecules 10 01131 i0210.210.054.74
2024cBiomolecules 10 01131 i0220.370.126.59
2124aBiomolecules 10 01131 i0230.961.08n.d.
Compounds were tested at 10 µM and/or at 20 µM in a luciferase-based cell model (HEK293/NF-κB-luc cells) for NF-κB Inhibition. Values display residual fold activation after treatment with the indicated compounds (n = 3; with TNF-α-induced activation set to 1); for selected compounds an IC50 value was determined; n.d.: not determined.

Share and Cite

MDPI and ACS Style

Dao-Huy, T.; Latkolik, S.; Bräuer, J.; Pfeil, A.; Stuppner, H.; Schnürch, M.; Dirsch, V.M.; Mihovilovic, M.D. Structural Features Defining NF-κB Inhibition by Lignan-Inspired Benzofurans and Benzothiophenes. Biomolecules 2020, 10, 1131. https://doi.org/10.3390/biom10081131

AMA Style

Dao-Huy T, Latkolik S, Bräuer J, Pfeil A, Stuppner H, Schnürch M, Dirsch VM, Mihovilovic MD. Structural Features Defining NF-κB Inhibition by Lignan-Inspired Benzofurans and Benzothiophenes. Biomolecules. 2020; 10(8):1131. https://doi.org/10.3390/biom10081131

Chicago/Turabian Style

Dao-Huy, Toan, Simone Latkolik, Julia Bräuer, Andreas Pfeil, Hermann Stuppner, Michael Schnürch, Verena M. Dirsch, and Marko D. Mihovilovic. 2020. "Structural Features Defining NF-κB Inhibition by Lignan-Inspired Benzofurans and Benzothiophenes" Biomolecules 10, no. 8: 1131. https://doi.org/10.3390/biom10081131

APA Style

Dao-Huy, T., Latkolik, S., Bräuer, J., Pfeil, A., Stuppner, H., Schnürch, M., Dirsch, V. M., & Mihovilovic, M. D. (2020). Structural Features Defining NF-κB Inhibition by Lignan-Inspired Benzofurans and Benzothiophenes. Biomolecules, 10(8), 1131. https://doi.org/10.3390/biom10081131

Note that from the first issue of 2016, this journal uses article numbers instead of page numbers. See further details here.

Article Metrics

Back to TopTop