Due to scheduled maintenance work on our servers, there may be short service disruptions on this website between 11:00 and 12:00 CEST on March 28th.
Sign in to use this feature.

Years

Between: -

Subjects

remove_circle_outline
remove_circle_outline
remove_circle_outline
remove_circle_outline
remove_circle_outline
remove_circle_outline
remove_circle_outline
remove_circle_outline
remove_circle_outline

Journals

remove_circle_outline
remove_circle_outline
remove_circle_outline
remove_circle_outline
remove_circle_outline
remove_circle_outline
remove_circle_outline
remove_circle_outline

Article Types

Countries / Regions

remove_circle_outline
remove_circle_outline
remove_circle_outline
remove_circle_outline
remove_circle_outline
remove_circle_outline
remove_circle_outline

Search Results (905)

Search Parameters:
Keywords = lignans

Order results
Result details
Results per page
Select all
Export citation of selected articles as:
17 pages, 931 KB  
Article
Effects of Gingerbread Cookie Enrichment with Native and Supercritical CO2-Defatted Burdock Seeds
by Katarina Šavikin, Jelena Živković, Dejan Pljevljakušić, Olivera Šimurina, Bojana Filipčev, Vesna Vujasinović, Elizabeta Dimitrieska Stojkovikj and Sanja Kostadinović Veličkovska
Foods 2026, 15(7), 1115; https://doi.org/10.3390/foods15071115 - 24 Mar 2026
Viewed by 86
Abstract
Burdock (Arctium lappa L., Asteraceae) seeds, a rich source of dietary fibre, proteins, essential and fatty acids, also contain high levels of polyphenols and lignans, especially arctigenin and arctiin. This study investigated the incorporation of native and supercritical CO2-defatted burdock [...] Read more.
Burdock (Arctium lappa L., Asteraceae) seeds, a rich source of dietary fibre, proteins, essential and fatty acids, also contain high levels of polyphenols and lignans, especially arctigenin and arctiin. This study investigated the incorporation of native and supercritical CO2-defatted burdock seed flour into gingerbread cookies formulated with sweetener xylitol compared to burdock seeds’ free sugar-based and xylitol-based cookies as a control. Arctiin was the dominant lignan in both native and defatted seed flours (68.30 and 75.16 mg/g, respectively), while isochlorogenic acid was the most abundant phenolic acid (7.01 and 7.86 mg/g, respectively). Among enriched formulations, xylitol cookies with defatted burdock seed flour exhibited the highest soluble dietary fibre content (0.29 g/100 g) and reduced hardness, comparable to the xylitol control. All samples achieved “good” sensory quality (18.33–19.65 points), with no significant differences among formulations (p > 0.05). Storage studies (60 days) under varying temperature and light conditions revealed a significant decline in sensory quality only for sucrose-based control cookies stored at 40 °C. The concentrations of major phenolic compounds remained stable under all storage conditions. These results demonstrate the technological and nutritional potential of defatted burdock seed flour as a functional ingredient in bakery products. Full article
Show Figures

Figure 1

27 pages, 423 KB  
Review
The Wild Plants from the Family Asteraceae That Are Traditionally Used for Food in Sicily and Bulgaria and Their Health Benefits
by Ekaterina Kozuharova, Giuseppe Antonio Malfa, Rosaria Acquaviva, Vivienne Spadaro, Iliana Ionkova, Giancarlo Statti and Francesco M. Raimondo
Foods 2026, 15(6), 988; https://doi.org/10.3390/foods15060988 - 11 Mar 2026
Viewed by 212
Abstract
This study examines 36 wild Asteraceae species that are traditionally used as food in Sicily and Bulgaria, highlighting their ethnobotanical, nutritional, and pharmacological relevance. Some taxa, such as Cichorium intybus, Silybum marianum, Artemisia vulgaris, Taraxacum officinale, and Tussilago farfara [...] Read more.
This study examines 36 wild Asteraceae species that are traditionally used as food in Sicily and Bulgaria, highlighting their ethnobotanical, nutritional, and pharmacological relevance. Some taxa, such as Cichorium intybus, Silybum marianum, Artemisia vulgaris, Taraxacum officinale, and Tussilago farfara, are integral to the Mediterranean and Balkan diets, enhancing nutrition through their fiber, minerals, and bioactive compounds. This ethnobotanical survey revealed a clear geographic pattern in species usage: 13 species were found to be consumed solely in Bulgaria, 18 solely in Sicily, and five species in both regions. The distribution highlights the existence of shared culinary traditions that have been distinctly adapted to the unique ecological conditions present in each locale. The main metabolite classes identified include flavonoids, phenolic acids, lignans, and sesquiterpene lactones, all of which are associated with antioxidant, anti-inflammatory, hypolipidemic, and anticancer properties. Specific taxa within the investigated group were found to contain alkaloids that warrant toxicological attention. Some species within the studied group contain alkaloids that may pose toxicity risks. T. farfara is known to accumulate pyrrolizidine alkaloids, which are associated with liver damage and potential genotoxic effects, highlighting the importance of thorough toxicological evaluations before recommending these plants for consumption. This study also demonstrates how common culinary processes, such as boiling and blanching, significantly impact the concentration, stability, and safety profile of these bioactive compounds. Overall, the research supports the promotion of wild Asteraceae species as valuable and sustainable nutritional and nutraceutical resources. This approach aligns with efforts to preserve biodiversity and maintain traditional Mediterranean and Balkan food practices, integrating both ecological and cultural sustainability. Full article
(This article belongs to the Section Plant Foods)
Show Figures

Figure 1

13 pages, 3177 KB  
Article
Intake of the Total, Classes, and Subclasses of (Poly)phenols and Breast Cancer Risk: A Prospective Analysis of the EPIC Study
by María Fernanda López-Padilla, David Seoane-Miraz, Daniel Guiñón-Fort, Enrique Almanza-Aguilera, Christina C. Dahm, Mariem Louati-Hajji, Claire Cadeau, Francesca Mancini, Rashmita Bajracharya, Verena Katzke, Matthias B. Schulze, Giovanna Masala, Claudia Agnoli, Simona Signoriello, Lisa Padroni, Cristina Lasheras, María-José Sánchez, Amaia Aizpurua Atxega, Sandra M. Colorado-Yohar, Alba Gasque, Wing Ching Chan, Yahya Mahamat Saleh, Anne Tjønneland, Christina M. Lill, Marta Farràs and Raul Zamora-Rosadd Show full author list remove Hide full author list
Antioxidants 2026, 15(3), 342; https://doi.org/10.3390/antiox15030342 - 9 Mar 2026
Viewed by 375
Abstract
Polyphenols represent the largest and most diverse class of dietary antioxidants. Epidemiological evidence linking specific (poly)phenol classes, such as flavonoids and lignans, to breast cancer (BC) risk remains limited and largely inconclusive in prospective studies. The aim of this study is to examine [...] Read more.
Polyphenols represent the largest and most diverse class of dietary antioxidants. Epidemiological evidence linking specific (poly)phenol classes, such as flavonoids and lignans, to breast cancer (BC) risk remains limited and largely inconclusive in prospective studies. The aim of this study is to examine the association between the intake of total (poly)phenols—and its classes and subclasses—and BC risk—overall and by subtypes (estrogen, progesterone, and human epidermal growth factor receptor 2 (HER2))—in the European Prospective Investigation into Cancer and Nutrition (EPIC) cohort. The EPIC cohort includes 257,960 adult women from seven European countries. During a mean follow-up of 14 years, there were 10,722 incident overall BC cases. Associations were computed using Cox regression models adjusted for potential confounders. No significant associations were found between total (poly)phenol intake and overall BC risk (HRQ5 vs. Q1 = 1.02; 95% CI: 0.95–1.11). In addition, null associations were mostly found between classes and subclasses of (poly)phenols and BC subtypes. After stratifying by menopausal status, no significant associations were observed. In conclusion, this study found no evidence of associations between the intake of any class or subclass of (poly)phenols and BC risk in the European population. Full article
(This article belongs to the Section Health Outcomes of Antioxidants and Oxidative Stress)
Show Figures

Figure 1

21 pages, 1620 KB  
Review
Polyphenols as Adjuvant Treatment for Heart Failure with Preserved Ejection Fraction (HFpEF): A Review
by Selma Guimarães Ferreira Medeiros, Rita de Cássia Avellaneda Guimarães, Aline Carla Inada, Carolina Di Pietro Fernandes, Rosângela dos Santos Ferreira, Karine de Cássia Freitas, Juliana Rodrigues Donadon, Valter Aragão do Nascimento and Priscila Aiko Hiane
Antioxidants 2026, 15(3), 322; https://doi.org/10.3390/antiox15030322 - 4 Mar 2026
Viewed by 417
Abstract
Heart failure with preserved ejection fraction (HFpEF) is a complex clinical syndrome driven by systemic inflammation, persistent oxidative stress, endothelial dysfunction, and impaired mitochondrial bioenergetics. Despite recent therapeutic advances, the management of these specific pathophysiological mechanisms remains a challenge. Polyphenols, bioactive compounds found [...] Read more.
Heart failure with preserved ejection fraction (HFpEF) is a complex clinical syndrome driven by systemic inflammation, persistent oxidative stress, endothelial dysfunction, and impaired mitochondrial bioenergetics. Despite recent therapeutic advances, the management of these specific pathophysiological mechanisms remains a challenge. Polyphenols, bioactive compounds found in plants, have emerged as potential modulators of these pathways. Objective: This review critically summarizes the pathophysiological and molecular evidence supporting the role of polyphenols—specifically phenolic acids, flavonoids, and lignans—in attenuating key pathways implicated in the progression of HFpEF, while also addressing the current limitations in clinical translation. Results: Preclinical evidence indicates that polyphenols regulate cellular homeostasis by activating the Keap1/Nrf2 antioxidant axis and AMPK/SIRT1 metabolic pathways, while inhibiting NF-κB-mediated pro-inflammatory signals and TGF-β fibrotic pathways. These molecular actions collectively preserve endothelial function via PI3K/Akt/eNOS, reduce interstitial fibrosis, and improve myocardial metabolic efficiency. Furthermore, the modulation of gut microbiota amplifies these systemic effects, particularly in obesity-related phenotypes. However, direct clinical application is currently hindered by low bioavailability and a scarcity of randomized trials specifically in HFpEF populations. Polyphenols represent a promising and biologically plausible nutritional therapeutic axis for the multidimensional management of HFpEF. While the molecular rationale is strong, future research should focus on improving bioavailability and conducting high-quality clinical trials to validate efficacy as an adjuvant therapy. Full article
Show Figures

Graphical abstract

54 pages, 4059 KB  
Review
Chemical Composition and Biological Activities of Diverse Products from Commiphora gileadensis: A Comparative Review
by Fawaz K. Alanazi, Nashwa Hashad, Asmaa A. Ahmed, Haitham A. Ibrahim, Reham R. Ibrahim, Mohamed I. S. Abdelhady, Eman G. Haggag and Fatma M. Abdel Bar
Pharmaceuticals 2026, 19(3), 391; https://doi.org/10.3390/ph19030391 - 28 Feb 2026
Viewed by 333
Abstract
Background/Objectives: Commiphora gileadensis (Balm of Gilead) is an aromatic medicinal plant with a history of traditional use in ancient and Arabic medicine. It has been used traditionally to treat inflammation, infections, and wounds. Despite its long-standing cultural and economic importance, modern pharmacological [...] Read more.
Background/Objectives: Commiphora gileadensis (Balm of Gilead) is an aromatic medicinal plant with a history of traditional use in ancient and Arabic medicine. It has been used traditionally to treat inflammation, infections, and wounds. Despite its long-standing cultural and economic importance, modern pharmacological validation requires a comprehensive synthesis of current scientific data. This review aims to provide a thorough comparative summary of the phytochemical composition and biological activities of its diverse products. Methods: An updated literature search was conducted using databases such as ScienceDirect, PubMed, Scopus, and Google Scholar, covering publications from approximately 2000 to 2025. The review included English-language peer-reviewed articles, books, and reports providing phytochemical analyses or biological evaluations. Data were manually extracted and categorized by plant parts (resin, leaves, bark, stems), major constituents, and specific pharmacological activities. Results: The review identified ten diverse chemical groups, mainly terpenoids (mono-, sesqui-, di-, and triterpenes) and flavonoids. Other remarkable classes included phenolic acids, phytosterols, lignans, coumarins, and fatty acids. However, the essential oil chemical profile is highly variable, influenced by geographical origin and preparation technique. Pharmacological studies demonstrated a wide spectrum of bioactivities, in particular antioxidant, anti-inflammatory, antimicrobial, anticancer, antidiabetic, and wound-healing properties. Toxicological studies classified the plant as generally non-toxic; however, there is a notable lack of clinical and pharmacokinetic data. Conclusions:C. gileadensis possesses a rich and diverse secondary metabolite profile, validating its traditional ethnobotanical applications. Future research should prioritize pre-clinical and clinical trials to establish its safety, bioavailability, and metabolic fate for its successful integration into modern medicine. Full article
(This article belongs to the Special Issue Natural Products as an Alternative for Treatment of Human Diseases)
Show Figures

Graphical abstract

18 pages, 3738 KB  
Article
Sesamin Protects Against Polystyrene Microplastics-Induced Lung Injury via Attenuating Bcl2-Mediated Apoptosis
by Yadong Zhang, Zhenao Zhang, Huanting Pei, Chongyue Zhang, Xiaolong Zhang, Simeng Qiao, Siqi Zhu, Ziyi Wang, Jingyi Ren and Yuxia Ma
Antioxidants 2026, 15(3), 279; https://doi.org/10.3390/antiox15030279 - 24 Feb 2026
Viewed by 355
Abstract
Studies show microplastics (MPs) impair lung function directly and indirectly, yet effective solutions are lacking. In light of this, sesamin (Ses), a natural lignan-like compound with diverse pharmacological properties, may offer protection. The study aims to investigate whether Ses pretreatment can mitigate MPs-induced [...] Read more.
Studies show microplastics (MPs) impair lung function directly and indirectly, yet effective solutions are lacking. In light of this, sesamin (Ses), a natural lignan-like compound with diverse pharmacological properties, may offer protection. The study aims to investigate whether Ses pretreatment can mitigate MPs-induced lung damage and to elucidate the underlying mechanisms. Male C57BL/6 mice received MPs (10,000 μg/L) in drinking water, with varying Ses doses gavaged daily for 28 days. Computational pharmacology and in vivo/in vitro experiments, including histology, immunofluorescence, and western blot, were used to elucidate Ses’s protective mechanisms. In vivo experiments showed Ses can alleviate MPs-induced histopathological alterations, inflammatory responses, and oxidative stress in lung tissue. Computational pharmacology suggested that the protective mechanism of Ses may be associated with the apoptotic signaling pathway, with Bcl2 as its potential target. Both in vivo and in vitro studies demonstrated that Ses significantly upregulates Bcl2 expression while downregulating Bax and Casp3. Notably, a Bcl2 inhibitor substantially attenuated Ses’s protective effects. Our research suggests that Ses can mitigate MPs-induced lung injury by modulating the apoptotic signaling pathway, with Bcl2 identified as a key target. Dietary supplementation may represent a promising intervention strategy for preventing and managing food safety risks associated with MPs. Full article
Show Figures

Graphical abstract

23 pages, 55337 KB  
Article
UPLC-Q-TOF-MS/MS and Network Pharmacology Approaches to Explore the Active Compounds and Mechanisms of Kadsura coccinea for Treating Rheumatoid Arthritis
by Liya Qiao, Jiashui Liao, Yongchun Huang, Ping Li, Hairong Long, Lu Chen, Tingting Tong, Xiaowen Ji, Mengli Zhang, Yude Peng, Yu Pan and Xianghua Xia
Int. J. Mol. Sci. 2026, 27(5), 2097; https://doi.org/10.3390/ijms27052097 - 24 Feb 2026
Viewed by 337
Abstract
This study aimed to systematically identify the active constituents of Kadsura coccinea (Lem.) A. C. Smith (KC) and elucidate their potential mechanisms in treating rheumatoid arthritis (RA) using an integrated analytical and computational approach. Chemical profiling of KC root extract was performed by [...] Read more.
This study aimed to systematically identify the active constituents of Kadsura coccinea (Lem.) A. C. Smith (KC) and elucidate their potential mechanisms in treating rheumatoid arthritis (RA) using an integrated analytical and computational approach. Chemical profiling of KC root extract was performed by UPLC-Q-TOF-MS/MS. Active compounds and their targets were predicted using the SwissTargetPrediction database, while RA-related genes were retrieved from OMIM, GeneCards, and DisGeNET. A compound–target network was constructed and analyzed via Cytoscape. Functional enrichment analyses and protein–protein interaction (PPI) clustering were conducted to identify key pathways. Molecular docking was employed to validate interactions between core compounds and key RA targets. A total of 90 compounds were identified, primarily 36 lignans and 29 triterpenoids. Network analysis revealed 145 overlapping targets between KC and RA. These targets were further associated with 65 compounds derived from KC. Key compounds such as kadcoccinone F, kadsuralignan I and schisantherin M were linked to hub targets including MAPK14, MMPs, and JAKs, which are involved in inflammatory signaling, matrix degradation, and immune regulation. Molecular docking confirmed strong binding affinities (ΔG < −5.0 kcal/mol) between representative KC compounds and targets like MMP1, MMP2, JAK2 and JAK3, supported by analyses of hydrogen bonding, hydrophobic, and π-interactions. These results suggest that KC exerts anti-RA effects through multi-component, multi-target mechanisms, primarily modulating inflammatory signaling, immune cell recruitment, and tissue-destructive pathways. This study provides a pharmacological basis for the traditional use of KC in RA management and supports its potential as a complementary therapeutic agent. Full article
Show Figures

Figure 1

21 pages, 674 KB  
Review
Bioactive Compounds from Dandelion (Taraxacum officinale): Advances in Extraction Techniques and Applications
by Lynn Rhayem, Nadia Boussetta, Mirian T. K. Kubo, Franck Merlier, Eugene Vorobiev and Nikolai Lebovka
Foods 2026, 15(4), 782; https://doi.org/10.3390/foods15040782 - 21 Feb 2026
Viewed by 782
Abstract
Taraxacum is a genus of flowering plants comprising species commonly known as dandelions. All parts of the dandelion (flowers, stems, roots, and leaves) contain valuable bioactive compounds, including flavonoids, amino, fatty, organic, and phenolic acids, coumarins, lignans, polysaccharides, phytosterols, terpenes, glycoproteins, oligosaccharides, and [...] Read more.
Taraxacum is a genus of flowering plants comprising species commonly known as dandelions. All parts of the dandelion (flowers, stems, roots, and leaves) contain valuable bioactive compounds, including flavonoids, amino, fatty, organic, and phenolic acids, coumarins, lignans, polysaccharides, phytosterols, terpenes, glycoproteins, oligosaccharides, and alkaloids. Dandelion extracts represent a promising feedstock for diverse applications across the food, biomedical, and pharmaceutical industries. The extraction of bioactive compounds from dandelion is essential to access its therapeutic properties, with different techniques used to isolate its various phytochemicals. This review provides a comprehensive overview of recent advances in the application of various techniques for the extraction of bioactive compounds from dandelion. Both conventional and innovative extraction techniques are discussed, with particular emphasis on their respective advantages and limitations. Full article
Show Figures

Graphical abstract

19 pages, 2373 KB  
Article
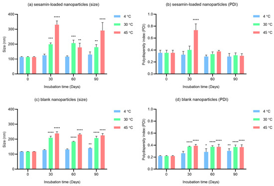
Anti-Inflammatory Effects of Sesamin-Loaded Nanoparticles in LPS-Stimulated RAW 264.7 Macrophages
by Kantamanee Jantadee, Kantaporn Kheawfu, Supachoke Mangmool, Takron Chantadee, Siriporn Okonogi and Chuda Chittasupho
Pharmaceutics 2026, 18(2), 226; https://doi.org/10.3390/pharmaceutics18020226 - 10 Feb 2026
Viewed by 463
Abstract
Background/Objectives: Sesamin is a bioactive lignan with well-documented anti-inflammatory activity but limited therapeutic application due to poor aqueous solubility and low bioavailability. This study developed phosphatidylcholine-based sesamin-loaded nanoparticles (NSM) to enhance sesamin dispersibility, stability, and anti-inflammatory efficacy. Methods: NSM were prepared by solvent [...] Read more.
Background/Objectives: Sesamin is a bioactive lignan with well-documented anti-inflammatory activity but limited therapeutic application due to poor aqueous solubility and low bioavailability. This study developed phosphatidylcholine-based sesamin-loaded nanoparticles (NSM) to enhance sesamin dispersibility, stability, and anti-inflammatory efficacy. Methods: NSM were prepared by solvent displacement. In vitro release was evaluated. Cytotoxicity testing in RAW 264.7 macrophages identified non-toxic concentration ranges for subsequent assays. Anti-inflammatory activity was assessed in lipopolysaccharide (LPS)-stimulated macrophages. Results: NSM exhibited a hydrodynamic diameter of 113.6 ± 3.6 nm with an acceptable PDI, remaining physically and chemically stable for 90 days at 4 °C. In vitro release revealed rapid and complete sesamin liberation from NSM within 2 h, whereas pure sesamin showed negligible release due to poor solubility. In LPS-stimulated macrophages, NSM significantly enhanced nitric oxide (NO) inhibition with an IC50 of 4.92 ± 0.40 µg/mL, markedly lower than sesamin (21.11 ± 3.42 µg/mL) and blank nanoparticles. NSM also strongly suppressed LPS-induced secretion of PGE2, TNF-α, IL-1β, and IL-6 in a dose-dependent manner, demonstrating superior inhibitory effects compared with pure sesamin. Conclusions: These findings indicate that phosphatidylcholine-based nanoparticles substantially enhance the anti-inflammatory potency of sesamin by increasing its solubility, cellular uptake, and biological activity. NSM represents a promising delivery platform for natural anti-inflammatory agents and warrants further investigation for therapeutic applications. Full article
(This article belongs to the Special Issue Novel Drug Delivery Systems for Natural Extracts)
Show Figures

Figure 1

13 pages, 3997 KB  
Article
Kimchi Fermentation-Driven Detoxification of Flaxseed: Impact on Physicochemical Quality and Antioxidant Potential
by Song Chan Oh, Sung-Jin Lee, Ke Ding, Jianheng Shen, Chao Huang, Suk Nam Kang, Martin J. T. Reaney, Young Jun Kim and Youn Young Shim
Foods 2026, 15(4), 632; https://doi.org/10.3390/foods15040632 - 10 Feb 2026
Viewed by 293
Abstract
Flaxseed (Linum usitatissimum L.) is a rich source of α-linolenic acid (ALA) and lignans but contains toxic cyanogenic glycosides (CGs) that limit its application in foods. This study investigated the efficacy of a specialized Lactobacillaceae consortium in detoxifying flaxseed and the [...] Read more.
Flaxseed (Linum usitatissimum L.) is a rich source of α-linolenic acid (ALA) and lignans but contains toxic cyanogenic glycosides (CGs) that limit its application in foods. This study investigated the efficacy of a specialized Lactobacillaceae consortium in detoxifying flaxseed and the subsequent effects of adding this cyanogenic glycoside-depleted flaxseed (CGDF) to a kimchi matrix. Ground flaxseed and CGDF were added to the kimchi seasoning mixture at concentrations of 0.5%, 1.0%, and 2.0% (w/w) and fermented at 4 °C for 8 weeks. Analytical results confirmed that the fermentation process reduced linustatin and neolinustatin to undetectable levels (<500 mg/kg) and reduced total hydrogen cyanide (HCN) to below the Japanese regulatory limit of 10 mg/kg established under the Food Sanitation Act. During fermentation, CGDF-supplemented groups exhibited a delayed decrease in pH and higher retention of free sugars and vitamin C compared to the control and raw flaxseed groups. Notably, the 2.0% CGDF group maintained high oxidative stability of ALA, which we attribute to a putative antioxidant protection mechanism driven by the bioconversion of lignan glycosides into bioactive aglycones. These findings suggest that incorporating biologically detoxified flaxseed into kimchi creates a functional food system that ensures safety while enhancing nutritional stability. Overall, this work provides foundational evidence for developing safe, nutritionally enhanced functional foods within the One Health framework, integrating food safety, microbial ecology, and improved bioactive compound availability. Full article
(This article belongs to the Special Issue Lactic Acid Bacteria: The Functions and Applications in Foods)
Show Figures

Graphical abstract

19 pages, 1241 KB  
Article
Rhizomicrobiomes from Drought-Adapted Mediterranean Species Differently Alter Leaf Metabolome of Rosmarinus officinalis L. Under Reduced Water Availability
by Renée Abou Jaoudé, Francesca Luziatelli, Anna Grazia Ficca and Maurizio Ruzzi
Plants 2026, 15(4), 529; https://doi.org/10.3390/plants15040529 - 8 Feb 2026
Viewed by 403
Abstract
Rosmarinus officinalis L. is known for its drought tolerance; however, its growth is adversely affected by both mild and severe water stress. This study investigates the potential of rhizomicrobiome (RM) transplantation to strengthen water stress resilience. Three RMs derived from native plants—R. [...] Read more.
Rosmarinus officinalis L. is known for its drought tolerance; however, its growth is adversely affected by both mild and severe water stress. This study investigates the potential of rhizomicrobiome (RM) transplantation to strengthen water stress resilience. Three RMs derived from native plants—R. officinalis (RO), Pistacia lentiscus L. (PL), and Juniperus phoenicea L. (JP)—collected from a semi-arid Mediterranean garrigue were inoculated into R. officinalis subjected to severe drought stress for 30 days. Although RM transplantation did not result in an increase in biomass, it led to the accumulation of intermediates within the phenylpropanoid/coumarin pathway and significant source-specific alterations in other leaf metabolites. Specifically, PL-RM increased the abundance of lignans and stress signaling metabolites. JP-RM improved the root-to-shoot ratio and the sugar and sugar-alcohol accumulation in leaves. Both JP-RM and RO-RM treatments reduced the abundance of abscisic acid, cyclic GMP, and purine recycling pathways. Additionally, RO-RM decreased the abundance of fifteen defense-related metabolites, indicating a direct interference of the inoculum with the plant immune system. In conclusion, these findings suggest that targeted RM manipulation can be an effective strategy to modulate R. officinalis leaf metabolism. Full article
(This article belongs to the Special Issue Effects of Plant–Microbe Interactions on Crop Stress Resistance)
Show Figures

Figure 1

17 pages, 1821 KB  
Article
LC-MS Profiling and Biological Activity of Unexplored Leucas nubica Benth. (Lamiaceae)
by Dimitrina Zheleva-Dimitrova, Gokhan Zengin, Sakina Yagi, Solafa Suliman and Reneta Gevrenova
Plants 2026, 15(4), 522; https://doi.org/10.3390/plants15040522 - 7 Feb 2026
Viewed by 367
Abstract
Leucas nubica Benth. (Lamiaceae) is an annual herbaceous plant, native to east and northeast tropical Africa. The whole plant is renowned for the treatment of jaundice. The present study aimed at an in-depth phytochemical profiling and evaluation of in vitro antioxidant and enzyme [...] Read more.
Leucas nubica Benth. (Lamiaceae) is an annual herbaceous plant, native to east and northeast tropical Africa. The whole plant is renowned for the treatment of jaundice. The present study aimed at an in-depth phytochemical profiling and evaluation of in vitro antioxidant and enzyme inhibitory potential of methanol–aqueous extract from L. nubica aerial parts. The liquid chromatography–high-resolution mass spectrometry (LC-HRMS) experiment revealed more than 70 secondary metabolites, including carboxylic and phenolic acids, phenylethanoid, iridoid, and lignan glycosides, and flavonoids. The L. nubica extract profile was dominated by the phenylethanoid glycoside verbascoside. All annotated compounds are reported for the first time in the species. The extract actively scavenged DPPH and ABTS radicals (38.8 ± 0.1 and 36.8 ± 0.4 mg TE/g) and showed high CUPRAC (71.1 ± 1.1 mg TE/g) and moderate FRAP (44.9 ± 2.6 mg TE/g) reducing power. The L. nubica extract exhibited high inhibition towards acetylcholinesterase (2.23 ± 0.02 mg GALAE/g), butyrylcholinesterase (2.38 ± 0.04 mg GALAE/g), and tyrosinase (60.7 ± 0.6 mg KAE/g). The obtained results highlight L. nubica extract as a rich source of phenylethanoid glycosides and flavonoids with significant bioactivity and shed light into the phytochemical composition and pharmacological potential of the plant. Full article
Show Figures

Figure 1

11 pages, 1022 KB  
Article
Linking Phytochemical Diversity to Aflatoxin Suppression: LC-MS/MS Metabolomics of Trichilia dregeana Bark Extracts
by Martha Cebile Jobe, Babra Moyo, Ntakadzeni Edwin Madala and Mulunda Mwanza
Molecules 2026, 31(3), 578; https://doi.org/10.3390/molecules31030578 - 6 Feb 2026
Viewed by 450
Abstract
Trichilia dregeana has a rich phytochemical diversity and biological activity; however, information on its metabolomic profile and antimycotoxigenic potential is limited. This study investigated different extracts of T. dregeana bark obtained with various solvents (water, ethanol, ethyl acetate, and methanol), assessing their chemical [...] Read more.
Trichilia dregeana has a rich phytochemical diversity and biological activity; however, information on its metabolomic profile and antimycotoxigenic potential is limited. This study investigated different extracts of T. dregeana bark obtained with various solvents (water, ethanol, ethyl acetate, and methanol), assessing their chemical composition using LC-MS and their inhibitory activity against the aflatoxin produced by Aspergillus fungi. LC-MS analysis identified metabolites belonging to several secondary metabolite classes, including flavonoids, phenolic acids, lignan glycosides, cardiac glycosides, coumarins, cinnamic acids, and limonoids. Solvent polarity strongly influenced metabolite distribution, with water and methanol enriching polar antioxidant compounds, while ethanol and ethyl acetate extracted semipolar antimicrobial constituents. The antimycotoxigenic efficacy of T. dregeana bark extracts was evaluated against Aspergillus flavus in maize, rice, and flour matrices. Among the tested extracts, only the methanolic extract exhibited a statistically significant reduction in aflatoxin levels (µg/kg), while the water, ethanol, and ethyl acetate extracts showed no significant inhibition. Fungal inoculation significantly increased aflatoxin levels, with maize showing the highest contamination (673.32 µg/kg). At 50 µg/mL extract, aflatoxin concentrations were reduced to 230.39 µg/kg maize, 129.93 µg/kg rice, and 143.89 µg/kg flour, with efficacy comparable to or exceeding the commercial fungicide tenazole. Associations between solvent-dependent metabolite class distribution and aflatoxin suppression were observed; however, bioactivity was demonstrated exclusively at the crude extract level. These findings suggest that methanolic extracts of T. dregeana bark may represent a promising natural alternative to antimycotoxin agents, warranting further fractionation and mechanistic validation. Full article
Show Figures

Figure 1

31 pages, 3208 KB  
Article
Integrative LC-HR-QTOF-MS and Computational Metabolomics Approaches for Compound Annotation, Chemometric Profiling and In Silico Antibacterial Evaluation of Ugandan Propolis
by Ivan Kahwa, Christina Seel, Ronnie Tumwesigye, Patrick Onen, Ramona Oehme, Susan Billig, Rapheal Wangalwa, Jonans Tusiimire, Claudia Wiesner and Leonard Kaysser
Metabolites 2026, 16(2), 109; https://doi.org/10.3390/metabo16020109 - 3 Feb 2026
Viewed by 979
Abstract
Background/Objectives: Propolis is a complex bee product with a composition that varies according to local vegetation, environmental conditions, and bee foraging behaviours. Recently, gas chromatography–mass spectrometry (GC–MS) has been employed in Uganda to analyse its volatile components. This study examined Ugandan propolis [...] Read more.
Background/Objectives: Propolis is a complex bee product with a composition that varies according to local vegetation, environmental conditions, and bee foraging behaviours. Recently, gas chromatography–mass spectrometry (GC–MS) has been employed in Uganda to analyse its volatile components. This study examined Ugandan propolis non-volatile metabolites to determine chemotypes and identify antibacterial compounds. Methods: Ethanolic extracts were analysed using liquid chromatography–high-resolution quadrupole time-of-flight mass spectrometry (LC-HR-QTOF-MS) in an untargeted MS/MS mode. Data processing was carried out using MZmine, then annotated with Global Natural Products Social Molecular Networking (GNPS) and SIRIUS. Chemometric methods assisted in identifying regional chemical signatures. Metabolites highlighted by the heatmap were evaluated for antibacterial activity using molecular docking against bacterial targets, followed by ADMET (absorption, distribution, metabolism, excretion, and toxicity) assessments. Results: Out of 3252 features, 234 and 52 putative compounds were annotated in GNPS and SIRIUS, respectively, as indicated by molecular networking, suggesting high chemical complexity. The chemical space mainly comprises flavonoids (including glycosides, aglycones, methylated, and prenylated derivatives), phenolic acids, amides, hydroxycinnamate derivatives, lignans, megastigmanes, and various diterpenoid skeletons. Multivariate analyses clearly distinguish geographical chemotypes, separating flavonoid-rich regions from diterpenoid-rich regions. Docking studies revealed flavonoids, diterpenoids, and lignans with strong predicted antibacterial activities and favourable ADMET profiles. Conclusions: This study provides the first LC–MS characterisation of the non-volatile metabolome of Ugandan propolis, thereby expanding its chemical diversity. Metabolomics and computational approaches lay a foundation for future ecological, chemotaxonomic, and pharmacological research. Full article
Show Figures

Figure 1

31 pages, 3394 KB  
Review
Collagen-Inducing Compounds from Chihuahuan Desert Plants for Potential Skin Bioink 3D Printing Applications: A Narrative Review
by Andrea I. Morales Cardona, René Gerardo Escobedo-Gonzalez, Alma Angelica Vazquez-Flores, Edgar Daniel Moyers-Montoya and Carlos Alberto Martinez Pérez
J. Funct. Biomater. 2026, 17(2), 74; https://doi.org/10.3390/jfb17020074 - 2 Feb 2026
Viewed by 627
Abstract
This review synthetizes experimental evidence on collagen-related bioactivity and the biomaterial potential of plant species native to the Chihuahuan Desert, aiming to identify natural compounds that could enhance next-generation dermal bioinks for 3D bioprinting. A structured search across major databases included studies characterizing [...] Read more.
This review synthetizes experimental evidence on collagen-related bioactivity and the biomaterial potential of plant species native to the Chihuahuan Desert, aiming to identify natural compounds that could enhance next-generation dermal bioinks for 3D bioprinting. A structured search across major databases included studies characterizing plant extracts or metabolites, with reported effects on collagen synthesis, fibroblast activity, inflammation, oxidative balance, or interactions with polymers commonly used in skin-engineering materials being developed. Evidence was organized thematically to reveal mechanistic patterns despite methodological heterogeneity. Several species, among them Larrea tridentata, Opuntia spp., Aloe spp., Matricaria chamomilla, Simmondsia chinensis, Prosopis glandulosa, and Artemisia ludoviciana, repeatedly demonstrated the presence of bioactive metabolites such as lignans, flavonoids, phenolic acids, terpenoids, and polysaccharides. These compounds support pathways central to extracellular matrix repair, including stimulation of fibroblast migration and collagen I/III expression, modulation of inflammatory cascades, antioxidant protection, and stabilization of ECM structures. Notably, several metabolites also influence viscoelastic and crosslinking behaviors, suggesting that they may enhance the printability, mechanical stability, and cell-supportive properties of collagen-, GelMA-, and hyaluronic acid-based bioinks. The review also reflects on the bioethical and sustainability considerations regarding endemic floral resources, highlighting the importance of responsible sourcing, conservation extraction practices, and alignment with international biodiversity and access to benefit/sharing frameworks. Taken together, these findings point to a promising, yet largely unexplored, opportunity: integrating regionally derived phytochemicals into bioinks to create biologically active, environmentally conscious, and clinically relevant materials capable of improving collagen remodeling and regenerative outcomes in 3D-printed skin. Full article
(This article belongs to the Special Issue Scaffold for Tissue Engineering)
Show Figures

Figure 1

Back to TopTop