DC Gate Leakage Current Model Accounting for Trapping Effects in AlGaN/GaN HEMTs
Abstract
1. Introduction
2. Device Description
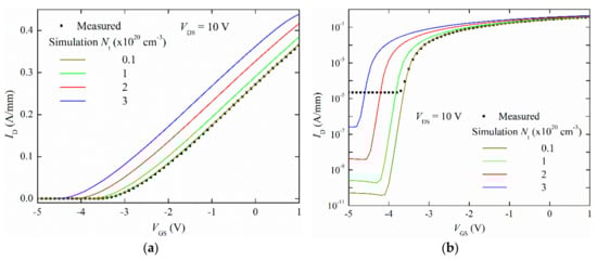
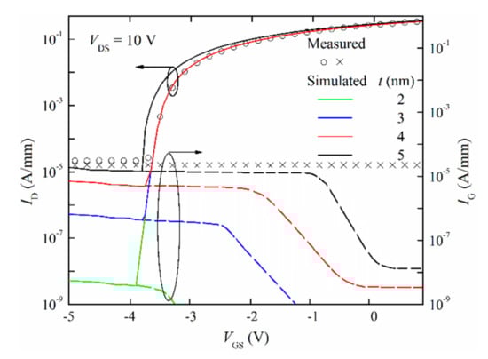
3. Numerical Simulation
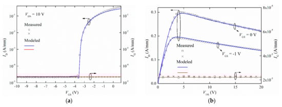
4. Modeling
5. Conclusions
Author Contributions
Funding
Conflicts of Interest
References
- Chander, S.; Ajay; Nirmal, D.; Gupta, M. 30 nm Normally off enhancement mode AlGaN/GaN HEMT on SiC substrate for future high speed nanoscale power applications. In Proceedings of the 2017 International Conference on Innovations in Electrical, Electronics, Instrumentation and Media Technology (ICEEIMT), Coimbatore, India, 3–4 February 2017; pp. 293–296. [Google Scholar]
- Chung, J.W.; Kim, T.-W.; Palacios, T. Advanced gate technologies for state-of-the-art fT in AlGaN/GaN HEMTs. In Proceedings of the 2010 International Electron Devices Meeting, San Francisco, CA, USA, 6–8 December 2010; pp. 30.2.1–30.2.4. [Google Scholar]
- Meneghesso, G.; Verzellesi, G.; Danesin, F.; Rampazzo, F.; Zanon, F.; Tazzoli, A.; Meneghini, M.; Zanoni, E. Reliability of GaN high-electron-mobility transistors: State of the art and perspectives. IEEE Trans. Device Mater. Reliab. 2008, 8, 332–343. [Google Scholar] [CrossRef]
- Mukherjee, K.; Darracq, F.; Curutchet, A.; Malbert, N.; Labat, N. TCAD simulation capabilities towards gate leakage current analysis of advanced AlGaN/GaN HEMT devices. Microelectron. Reliab. 2017, 76–77, 350–356. [Google Scholar] [CrossRef]
- Bisi, D.; Meneghini, M.; de Santi, C.; Chini, A.; Damman, M.; Brückner, P.; Mikulla, M.; Meneghesso, G.; Zanoni, E. Deep-Level Characterization in GaN HEMTs—Part I: Advantages and Limitations of Drain Current Transient Measurements. IEEE Trans. Electron Devices 2013, 60, 3166–3175. [Google Scholar] [CrossRef]
- Chini, A.; Soci, F.; Meneghini, M.; Meneghesso, G.; Zanoni, E. Deep Levels Characterization in GaN HEMTs—Part II: Experimental and Numerical Evaluation of Self-Heating Effects on the Extraction of Traps Activation Energy. IEEE Trans. Electron Devices 2013, 60, 3176–3182. [Google Scholar] [CrossRef]
- Cornigli, D.; Reggiani, S.; Gnani, E.; Gnudi, A.; Baccarani, G.; Moens, P.; Vanmeerbeek, P.; Banerjee, A.; Meneghesso, G. Numerical investigation of the lateral and vertical leakage currents and breakdown regimes in GaN-on-Silicon vertical structures. In Proceedings of the 2015 IEEE International Electron Devices Meeting (IEDM), Washington, DC, USA, 7–9 December 2015; pp. 5.3.1–5.3.4. [Google Scholar]
- Lenzlinger, M.; Snow, E.H. Fowler-Nordheim Tunneling into Thermally Grown SiO2. J. Appl. Phys. 1969, 40, 278. [Google Scholar] [CrossRef]
- Schroeder, D. Modelling of Interface Carrier Transport for Device Simulation, 1st ed.; Springer: Wien, Austria, 1994; ISBN 978-3-7091-7368-8. [Google Scholar]
- Colalongo, L.; Valdinoci, M.; Baccarani, G.; Migliorato, P.; Tallarida, G.; Reita, C. Numerical Analysis of Poly-TFTs Under Off Conditions. Solid-State Electron. 1997, 41, 627–633. [Google Scholar] [CrossRef]
- Schenk, A. A Model for the Field and Temperature Dependence of Shockley–Read–Hall Lifetimes in Silicon. Solid-State Electron. 1992, 35, 1585–1596. [Google Scholar] [CrossRef]
- Kotani, J.; Tajima, M.; Kasai, S.; Hashizume, T. Mechanism of surface conduction in the vicinity of Schottky gates on heterostructures. Appl. Phys. Lett. 2007, 91, 093501. [Google Scholar] [CrossRef]
- Mojaver, H.R.; Valizadeh, P. Reverse Gate-Current of AlGaN/GaN HFETs: Evidence of Leakage at Mesa Sidewalls. IEEE Trans. Electron Devices 2016, 63, 1444–1449. [Google Scholar] [CrossRef]
- Hamady, S.; Morancho, F.; Beydoun, B.; Austin, P.; Gavelle, M. Scalable normally-off AlGaN/GaN HEMT using fluorine implantation below the channel. In Proceedings of the Symposium de Gènie Electrique (SGE 2014), ENS Cachan, France, 8–10 July 2014. [Google Scholar]
- Fang, Z.Q.; Look, D.C.; Wang, X.L.; Han, J.; Khan, F.A.; Adesida, I. Plasma-etching-enhanced deep centers in n-GaN grown by metalorganic chemical-vapor deposition. Appl. Phys. Lett. 2003, 82, 1562–1564. [Google Scholar] [CrossRef]
- Bouzid-Driad, S.; Maher, H.; Renvoise, M. Optimization of AlGaN/GaN HEMT Schottky contact for microwave applications. In Proceedings of the 2012 7th European Microwave Integrated Circuit Conference, Amsterdam, The Netherlands, 29–30 October 2012; pp. 119–122. [Google Scholar]
- Joh, J.; del Alamo, J.A. Impact of electrical degradation on trapping characteristics of GaN high electron mobility transistors. In Proceedings of the 2008 IEEE International Electron Devices Meeting, San Francisco, CA, USA, 15–17 December 2008; pp. 1–4. [Google Scholar] [CrossRef]
- Joh, J.; del Alamo, J.A. Mechanisms for Electrical Degradation of GaN High-electron Mobility Transistors. In Proceedings of the 2006 IEEE International Electron Devices Meeting, San Francisco, CA, USA, 11–13 December 2006; pp. 1–4. [Google Scholar] [CrossRef]
- Jungwoo, J. Physics of electrical degradation in GaN high electron mobility transistors. Ph.D. Thesis, Massachusetts Institute of Technology, Cambridge, MA, USA, 2009. [Google Scholar]
- Synopsys Inc. Sentaurus device user guide, Version N-2017.09. 2017. [Google Scholar]
- Rodríguez, R.; González, B.; García, J.; Nunez, A. Electrothermal DC characterization of GaN on Si MOS-HEMTs. Solid-State Electron. 2017, 137, 44–51. [Google Scholar] [CrossRef]
- Ambacher, O.; Smart, J.; Shealy, J.R.; Weinmann, N.G.; Chu, K.; Murphy, M.; Sierakowski, A.J.; Schaff, W.J.; Eastman, L.F. Two dimensional electron gases induced by spontaneous and piezoelectric polarization in undoped and doped AlGaN/GaN heterostructures. J. Appl. Phys. 2000, 87, 334–344. [Google Scholar] [CrossRef]
- Turuvekere, S.; Karumuri, A.; Rahman, A.; Bhattacharya, A.; DasGupta, A.; DasGupta, N. Gate Leakage Mechanisms in AlGaN/GaN and AlInN/GaN HEMTs: Comparison and Modeling. IEEE Trans. Electron Devices 2013, 60, 3157–3165. [Google Scholar] [CrossRef]
- Sze, S.M. MOSFET. In Physics of Semiconductor Devices; Wiley: New York, NY, USA, 1981. [Google Scholar]
- Ghosh, S.; Dasgupta, A.; Khandelwal, S.; Agnihotri, S.; Chauhan, Y.S. Surface-Potential-Based Compact Modeling of Gate Current in AlGaN/GaN HEMTs. IEEE Trans. Electron Devices 2015, 62, 443–448. [Google Scholar] [CrossRef]
- Yigletu, F.M.; Khandelwal, S.; Fjeldly, T.A.; Iñiguez, B. Compact Charge-Based Physical Models for Current and Capacitances in AlGaN/GaN HEMTs. IEEE Trans. Electron Devices 2013, 60, 3746–3752. [Google Scholar] [CrossRef]
- Rodríguez, R.; González, B.; García, J.; Yigletu, F.M.; Tirado, J.M.; Iñiguez, B.; Núñez, A. Numerical simulation and compact modelling of AlGaN/GaN HEMTs with mitigation of self-heating effects by substrate materials. Phys. Status Solidi A Appl. Mater. 2015, 212, 1130–1136. [Google Scholar] [CrossRef]
- Kuzmík, J.; Javorka, P.; Alam, A.; Marso, M.; Heuken, M.; Kordos, P. Determination of channel temperature in AlGaN/GaN HEMTs grown on sapphire and silicon substrates using DC characterization method. IEEE Trans. Electron Devices 2002, 49, 1496–1498. [Google Scholar] [CrossRef]
- Hamady, S. New Concepts for Normally-Off Power Gallium Nitride (GaN) High Electron Mobility Transistor (HEMT). Ph.D. Thesis, Université Toulouse, Toulouse, France, 2014. [Google Scholar]
- Efthymiou, L.; Longobardi, G.; Camuso, G.; Hsieh, A.P.S.; Udrea, F. Modelling of an AlGaN/GaN Schottky diode and extraction of main parameters. In Proceedings of the 2015 International Semiconductor Conference (CAS), Sinaia, Romania, 12–14 October 2015; pp. 211–214. [Google Scholar] [CrossRef]
- Mimouni, A.; Fernández, T.; Rodriguez-Tellez, J.; Tazon, A.; Baudrand, H.; Boussuis, M. Gate Leakage Current in GaN HEMT’s: A Degradation Modeling Approach. Electr. Electron. Eng. 2012, 2, 397–402. [Google Scholar] [CrossRef]
- Ahmed, N.; Dutta, A.K. Analytical models for the 2DEG concentration and gate leakage current in AlGaN/GaN HEMTs. Solid-State Electron. 2017, 132, 64–72. [Google Scholar] [CrossRef]








| Parameter | Value | Unit |
|---|---|---|
| d | 30 | nm |
| VT | −3.8 | V |
| γ0 | 2.12 × 10−12 | Vcm4/3 |
| RTH | 52 | K/W |
| RS | RD | |
|---|---|---|
| a (Ω) | 8.1 | 56.4 |
| b (Ω/K) | 0.03 | 0.13 |
| c (Ω/K2) | - | 1.4 × 10−4 |
© 2018 by the authors. Licensee MDPI, Basel, Switzerland. This article is an open access article distributed under the terms and conditions of the Creative Commons Attribution (CC BY) license (http://creativecommons.org/licenses/by/4.0/).
Share and Cite
Rodríguez, R.; González, B.; García, J.; Toulon, G.; Morancho, F.; Núñez, A. DC Gate Leakage Current Model Accounting for Trapping Effects in AlGaN/GaN HEMTs. Electronics 2018, 7, 210. https://doi.org/10.3390/electronics7100210
Rodríguez R, González B, García J, Toulon G, Morancho F, Núñez A. DC Gate Leakage Current Model Accounting for Trapping Effects in AlGaN/GaN HEMTs. Electronics. 2018; 7(10):210. https://doi.org/10.3390/electronics7100210
Chicago/Turabian StyleRodríguez, Raúl, Benito González, Javier García, Gaetan Toulon, Frédéric Morancho, and Antonio Núñez. 2018. "DC Gate Leakage Current Model Accounting for Trapping Effects in AlGaN/GaN HEMTs" Electronics 7, no. 10: 210. https://doi.org/10.3390/electronics7100210
APA StyleRodríguez, R., González, B., García, J., Toulon, G., Morancho, F., & Núñez, A. (2018). DC Gate Leakage Current Model Accounting for Trapping Effects in AlGaN/GaN HEMTs. Electronics, 7(10), 210. https://doi.org/10.3390/electronics7100210

