A Broadband Mode Converter Antenna for Terahertz Communications
Abstract
1. Introduction
2. Related Work
3. Modes of Propagation in SIW
4. Investigation of the RWG TE10 to SIW TE20 Mode Converter
4.1. Designing the Mode Converter
4.2. Simulated E-Field Results
4.3. Back-to-Back RWG to RWG Converter
4.4. Equivalent Circuit Model and Design Guidelines for the Mode Converter
5. THz On-Chip Antenna Based on SIW Mode
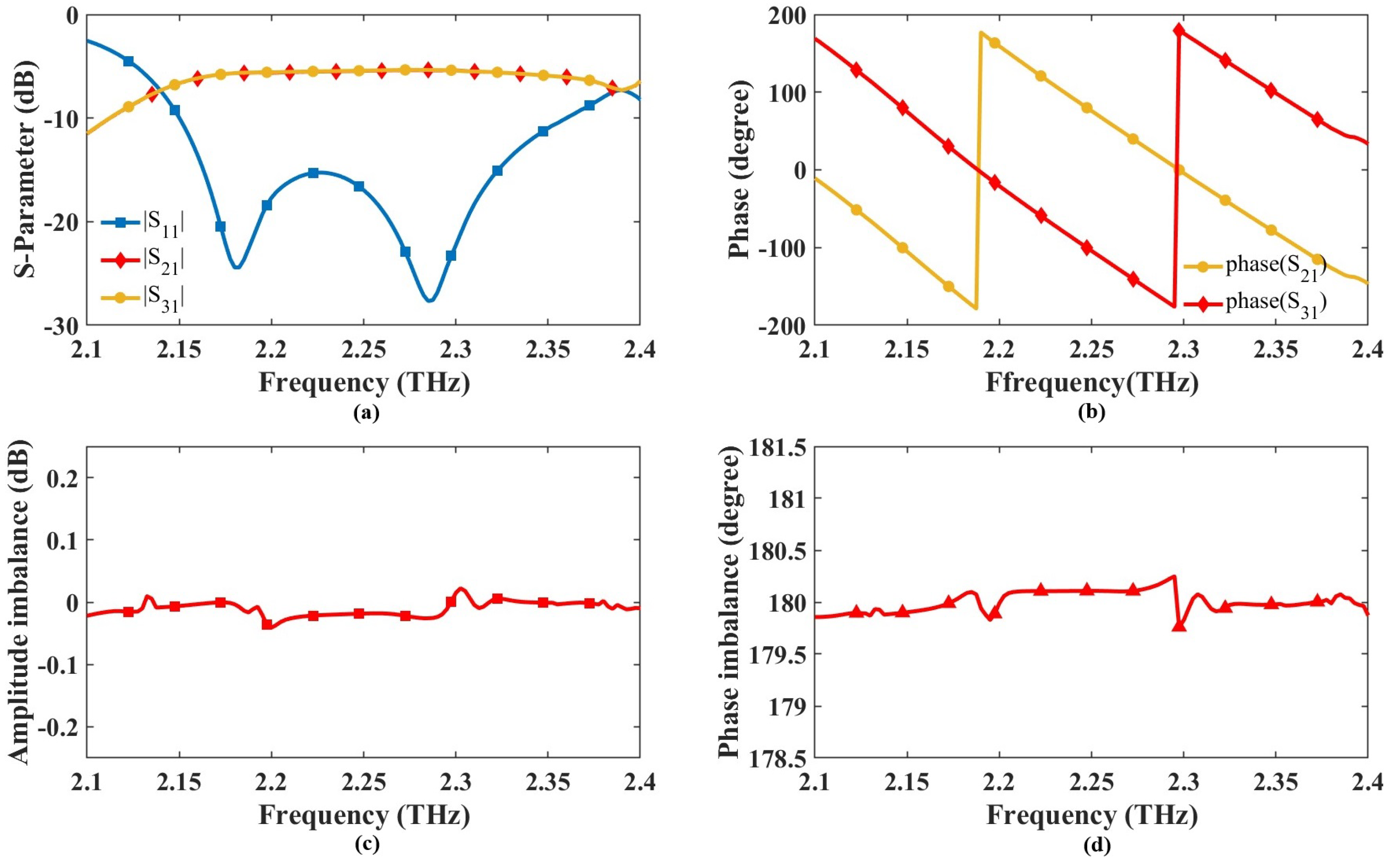
6. THz SIW Balun Based on Mode
7. Conclusions
Author Contributions
Funding
Data Availability Statement
Conflicts of Interest
References
- Paudel, B.; Li, X.J.; Seet, B.C. Design and Modeling of a Terahertz Transceiver for Intra-and Inter-Chip Communications in Wireless Network-on-Chip Architectures. Sensors 2024, 24, 3220. [Google Scholar] [CrossRef] [PubMed]
- Jiang, W.; Zhou, Q.; He, J.; Habibi, M.A.; Melnyk, S.; El-Absi, M.; Han, B.; Di Renzo, M.; Schotten, H.D.; Luo, F.L.; et al. Terahertz communications and sensing for 6G and beyond: A comprehensive review. IEEE Commun. Surv. Tutorials 2024, 26, 2326–2381. [Google Scholar] [CrossRef]
- Chakraborty, D.; Boni, R.; Mills, B.N.; Cheng, J.; Komissarov, I.; Gerber, S.A.; Sobolewski, R. High-Density Polyethylene Custom Focusing Lenses for High-Resolution Transient Terahertz Biomedical Imaging Sensors. Sensors 2024, 24, 2066. [Google Scholar] [CrossRef]
- Cano, J.; Mediavilla, A.; Perez, A. Full-Band Air-Filled Waveguide-to-Substrate Integrated Waveguide (SIW) Direct Transition. IEEE Microw. Wirel. Components Lett. 2015, 25, 79–81. [Google Scholar] [CrossRef]
- Wu, K.; Deslandes, D.; Cassivi, Y. The substrate integrated circuits-a new concept for high-frequency electronics and optoelectronics. In Proceedings of the 6th International Conference on Telecommunications in Modern Satellite, Cable and Broadcasting Service, TELSIKS, Nis, Serbia, 1–3 October 2003; IEEE: Piscataway, NJ, USA, 2003; Volume 1, pp. P–III. [Google Scholar]
- Sun, L.; Zhang, Y.; Cai, Y.; Qian, Z. Wideband excitation technology of substrate integrated waveguide TE30 mode and its antenna application. Electron. Lett. 2017, 53, 828–830. [Google Scholar] [CrossRef]
- Paudel, B.; Li, X.J.; Seet, B.C. Using Terahertz On-Chip Antennas for Intra-Chip Wireless Communications within a Multi-core Processor. In Proceedings of the 2024 49th International Conference on Infrared, Millimeter, and Terahertz Waves (IRMMW-THz), Espoo, Finland,, 1–6 September 2024; IEEE: Piscataway, NJ, USA, 2024; pp. 1–2. [Google Scholar]
- Paudel, B.; Li, X.J. A Terahertz On-Chip Antenna for Intra-chip Wireless Communications. In Proceedings of the 2022 IEEE Conference on Antenna Measurements and Applications (CAMA), Guangzhou, China, 14–17 December 2022; pp. 1–3. [Google Scholar] [CrossRef]
- Yu, B.; Wang, Z.; Zhu, H.; Yan, B.; Xu, R.; Xu, Y. A Broadband 220-GHz Converter From Rectangular Waveguide TE10 Mode to SIW TE20 Mode for Terahertz Planar Integration. IEEE Trans. Microw. Theory Tech. 2024, 72, 6956–6967. [Google Scholar] [CrossRef]
- Wu, P.; Liu, J.; Xue, Q. Wideband Excitation Technology of TE20 Mode Substrate Integrated Waveguide (SIW) and Its Applications. IEEE Trans. Microw. Theory Tech. 2015, 63, 1863–1874. [Google Scholar] [CrossRef]
- Shu, G.; Qian, Z.; He, W. Design and measurement of an H-band rectangular TE 10 to TE 20 mode converter. IEEE Access 2020, 8, 37242–37249. [Google Scholar] [CrossRef]
- Li, T.; Meng, H.; Dou, W. Broadband transition between substrate integrated waveguide and rectangular waveguide based on ridged steps. IEICE Electron. Express 2014, 11, 20140434. [Google Scholar] [CrossRef][Green Version]
- Deng, X.D.; Li, Y.; Liu, C.; Wu, W.; Xiong, Y.Z. 340 GHz on-chip 3-D antenna with 10 dBi gain and 80% radiation efficiency. IEEE Trans. Terahertz Sci. Technol. 2015, 5, 619–627. [Google Scholar] [CrossRef]
- Wu, P.; Liu, K.; Yu, Z. 220 GHz high-gain substrate integrated antennas with low fabrication cost based on higher order mode and PCB technology. IEEE Trans. Antennas Propag. 2022, 71, 18–28. [Google Scholar] [CrossRef]
- Wu, P.; Liao, S.; Xue, Q. Wideband excitations of higher-order mode substrate integrated waveguides and their applications to antenna array design. IEEE Trans. Antennas Propag. 2017, 65, 4038–4047. [Google Scholar] [CrossRef]
- Dong, J.; Liu, Y.; Yang, Z.; Peng, H.; Yang, T. Broadband millimeter-wave power combiner using compact SIW to waveguide transition. IEEE Microw. Wirel. Components Lett. 2015, 25, 567–569. [Google Scholar] [CrossRef]
- Wong, S.W.; Wang, K.; Chen, Z.N.; Chu, Q.X. Design of millimeter-wave bandpass filter using electric coupling of substrate integrated waveguide (SIW). IEEE Microw. Wirel. Components Lett. 2013, 24, 26–28. [Google Scholar] [CrossRef]
- Abdel-Wahab, W.M.; Safavi-Naeini, S. H-plane metallic RWG-to-SIW transition using aperture coupling. In Proceedings of the 2019 IEEE International Symposium on Antennas and Propagation and USNC-URSI Radio Science Meeting, Atlanta, GA, USA, 7–12 July 2019; IEEE: Piscataway, NJ, USA, 2019; pp. 963–964. [Google Scholar]
- Liu, K.; Wu, P.; Zhang, J. Wideband RWG-SIW interconnection with improved integration for millimeter-wave/terahertz application. IEEE Microw. Wirel. Components Lett. 2022, 32, 835–838. [Google Scholar] [CrossRef]
- Li, Y.; Luk, K.M. A broadband V-band rectangular waveguide to substrate integrated waveguide transition. IEEE Microw. Wirel. Components Lett. 2014, 24, 590–592. [Google Scholar] [CrossRef]
- Li, T.; Dou, W.; Meng, H. Wideband transition between substrate integrated waveguide (SIW) and rectangular waveguide (RWG) based on bend waveguide. In Proceedings of the 2014 Asia-Pacific Microwave Conference, Sendai, Japan, 4–7 November 2014; IEEE: Piscataway, NJ, USA, 2014; pp. 438–440. [Google Scholar]
- Sarkar, A.; Sharma, A.; Biswas, A.; Akhtar, M.J. Compact CRLH leaky-wave antenna using TE 20-mode substrate-integrated waveguide for broad space radiation coverage. IEEE Trans. Antennas Propag. 2020, 68, 7202–7207. [Google Scholar] [CrossRef]
- Zhang, Y.; Wang, G.; Hong, W. Design and verification of broadband substrate integrated waveguide TE10-TE30 mode converter. IEEE Trans. Microw. Theory Tech. 2023, 72, 1176–1186. [Google Scholar] [CrossRef]
- Wang, G.; Zang, H.; Dong, Z.; Zhu, X.; Zhang, Y. Systematic Design of Substrate Integrated Waveguide TE 10-TE N0-Mode Converter. In Proceedings of the 2023 IEEE MTT-S International Microwave Workshop Series on Advanced Materials and Processes for RF and THz Applications (IMWS-AMP), Chengdu, China, 13–15 November 2023; IEEE: Piscataway, NJ, USA, 2023; pp. 1–3. [Google Scholar]
- Passi, D.; Leggieri, A.; Citroni, R.; Di Paolo, F. Broadband TE10 to TE20 mode transformer for X band. Adv. Electromagn. 2016, 5, 69–72. [Google Scholar] [CrossRef]
- Bozzi, M.; Pasian, M.; Perregrini, L. Modeling of losses in substrate integrated waveguide components. In Proceedings of the 2014 International Conference on Numerical Electromagnetic Modeling and Optimization for RF, Microwave, and Terahertz Applications (NEMO), Pavia, Italy, 14–16 May 2014; IEEE: Piscataway, NJ, USA, 2014; pp. 1–4. [Google Scholar]
- Kordiboroujeni, Z.; Bornemann, J. Designing the width of substrate integrated waveguide structures. IEEE Microw. Wirel. Components Lett. 2013, 23, 518–520. [Google Scholar] [CrossRef]
- Jia, M.; Zhang, J.; Dong, Y. A compact and broadband balun based on multilayer SIW. IEEE Microw. Wirel. Components Lett. 2021, 32, 105–108. [Google Scholar] [CrossRef]
- Pozar, D.M. Microwave Engineering: Theory and Techniques; John Wiley & Sons: Hoboken, NJ, USA, 2021. [Google Scholar]
- Lee, S.; Mei, K. Analysis of zigzag antennas. IEEE Trans. Antennas Propag. 1970, 18, 760–764. [Google Scholar]
- Narde, R.S.; Venkataraman, J.; Ganguly, A.; Puchades, I. Intra-and inter-chip transmission of millimeter-wave interconnects in NoC-based multi-chip systems. IEEE Access 2019, 7, 112200–112215. [Google Scholar] [CrossRef]
- Lindell, I.V.; Sihvola, A. Boundary Conditions in Electromagnetics; John Wiley & Sons: Hoboken, NJ, USA, 2019. [Google Scholar]
- Zehentner, J.; Machac, J.; Mrkvica, J. Even and odd modes on a conductor-backed slotline. In Proceedings of the 2002 32nd European Microwave Conference, Milan, Italy, 23–26 September 2002; IEEE: Piscataway, NJ, USA, 2002; pp. 1–4. [Google Scholar]
- Herhil, Y.; Piltyay, S.; Bulashenko, A.; Bulashenko, O. Characteristic impedances of rectangular and circular waveguides for fundamental modes. In Proceedings of the 2021 IEEE 3rd Ukraine Conference on Electrical and Computer Engineering (UKRCON), Lviv, Ukraine, 26–28 August 2021; IEEE: Piscataway, NJ, USA, 2021; pp. 46–51. [Google Scholar]
- Jin, J.M. Theory and Computation of Electromagnetic Fields; John Wiley & Sons: Hoboken, NJ, USA, 2015. [Google Scholar]
- Sangam, R.S.; Kshetrimayum, R.S. Linear tapers: Analysis, design and applications. In Proceedings of the 2018 IEEE MTT-S International Microwave and RF Conference (IMaRC), Kolkata, India, 28–30 November 2018; IEEE: Piscataway, NJ, USA, 2018; pp. 1–4. [Google Scholar]
- Deslandes, D. Design equations for tapered microstrip-to-substrate integrated waveguide transitions. In Proceedings of the 2010 IEEE MTT-S International Microwave Symposium, Anaheim, CA, USA, 23–28 May 2010; IEEE: Piscataway, NJ, USA, 2010; pp. 704–707. [Google Scholar]
- Alam, A.; Alam, M.S.; AlMuhanna, K.; Zhang, H.; Shamim, A.; Shamsan, Z.A. A wideband transition design technique from RWG to SIW technologies. IEEE Access 2023, 11, 109539–109552. [Google Scholar] [CrossRef]
- Huang, X.; Wu, K.L. A broadband U-slot coupled microstrip-to-waveguide transition. IEEE Trans. Microw. Theory Tech. 2012, 60, 1210–1217. [Google Scholar] [CrossRef]
- Feng, W.; Xue, Q.; Che, W. Compact planar magic-T based on the double-sided parallel-strip line and the slotline coupling. IEEE Trans. Microw. Theory Tech. 2010, 58, 2915–2923. [Google Scholar] [CrossRef]
- IEEE Standard for Rectangular Metallic Waveguides and Their Interfaces for Frequencies of 110 GHz and Above—Part 1: Frequency Bands and Waveguide Dimensions. IEEE STD 2013, 2013, 1–22. [CrossRef]
- Paudel, B.; Li, X.J.; Seet, B.C. A 254–276 GHz On-Chip THz Antenna Using Substrate Integrated Waveguide and Metamaterials for Short-Range Wireless Communications. In Proceedings of the 2023 IEEE Region 10 Symposium (TENSYMP), Canberra, Australia, 6–8 September 2023; pp. 1–6. [Google Scholar] [CrossRef]
- Khan, M.A.K.; Ullah, M.I.; Kabir, R.; Alim, M.A. High-performance graphene patch antenna with superstrate cover for terahertz band application. Plasmonics 2020, 15, 1719–1727. [Google Scholar] [CrossRef]
- Althuwayb, A.A.; Alibakhshikenari, M.; Virdee, B.S.; Benetatos, H.; Falcone, F.; Limiti, E. Antenna on chip (AoC) design using metasurface and SIW technologies for THz wireless applications. Electronics 2021, 10, 1120. [Google Scholar] [CrossRef]
- Jin, H.; Che, W.; Chin, K.S.; Yang, W.; Xue, Q. Millimeter-wave TE 20-mode SIW dual-slot-fed patch antenna array with a compact differential feeding network. IEEE Trans. Antennas Propag. 2017, 66, 456–461. [Google Scholar] [CrossRef]
- Suntives, A.; Abhari, R. Design and application of multimode substrate integrated waveguides in parallel multichannel signaling systems. IEEE Trans. Microw. Theory Tech. 2009, 57, 1563–1571. [Google Scholar] [CrossRef]
- Keyrouz, S.; Caratelli, D. Dielectric resonator antennas: Basic concepts, design guidelines, and recent developments at millimeter-wave frequencies. Int. J. Antennas Propag. 2016, 2016, 6075680. [Google Scholar] [CrossRef]
- Petosa, A. Dielectric Resonator Antenna Handbook; Artech: Morristown, NJ, USA, 2007. [Google Scholar]
- Wu, P.; Chen, Y.; Ren, Y.; Yu, Z. Terahertz Antenna on Chip (AoC) Solutions with Improved Structure Using Higher-Order Modes. In Proceedings of the 2024 49th International Conference on Infrared, Millimeter, and Terahertz Waves (IRMMW-THz), Perth, Australia,, 1–6 September 2024; IEEE: Piscataway, NJ, USA, 2024; pp. 1–4. [Google Scholar]
- Cai, Z.; Weng, Z.; Qi, Y.; Fan, J.; Zhuang, W. A high-performance standard dipole antenna suitable for antenna calibration. IEEE Trans. Antennas Propag. 2021, 69, 8878–8883. [Google Scholar] [CrossRef]
- Lou, J.; Jin, X.; Wang, J.; Zhou, Y.; Liu, S. 0.9 to 11.9 GHz Ultrabroadband Phased Array Antenna Feeding by Double-Y Balun. In Proceedings of the 2024 International Conference on Microwave and Millimeter Wave Technology (ICMMT), Qingdao, China, 14–17 May 2024; IEEE: Piscataway, NJ, USA, 2024; Volume 1, pp. 1–3. [Google Scholar]
- Zhao, P.; Wang, Q.; Deng, J. A novel broadband rectangular waveguide TE 01–TE 20 mode converter. IEEE Microw. Wirel. Components Lett. 2018, 28, 747–749. [Google Scholar] [CrossRef]
















| Parameters | ||||||
| Values (m) | 53 | 106 | 130 | 100 | 57.5 | 29 |
| Parameters | ||||||
| Values (m) | 20 | 25 | 14 | 5 | 95 | 120 |
| Parameters | ||||||
| Values (m) | 17 | 53 | 2 | 10 | 57 |
| Reference | Frequency (GHz) | Method | Type | Mode | Layers | || dB | || dB |
|---|---|---|---|---|---|---|---|
| [9] | 198–238 | Dipole antenna slotline | RWG to SIW | to | single | <−6 | 1.1–2.5 |
| [10] | 7.3–11.6 8.34–12.58 | Slotline aperture and MS-line | Slotline to SIW MS-line to SIW | TEM to | single double | <−10 | 1.5–2.6 2.1 |
| [12] | 23.83–40 | Stepped RWG and multi-section SIW | RWG to SIW | to | single | <−15 | <2.45 |
| [4] | 32–50 | Height-stepped RWG | RWG to SIW | to | single | <−15 | 0.68 |
| [19] | 180–240 | Stepped dielectric coupling aperture | RWG to SIW | to | double | <−10 | <0.9 |
| [11] | 228–293 | T-junction power divider | RWG to RWG | to | single | <−15 | <1 |
| [52] | 28–38 | Right-angled waveguide coupling | RWG to RWG | to | single | <−19 | 3 |
| [23] | 11.28–14.8 | Power divider and phase shifter | RWG to RWG | to | single | <−10 | 3 |
| This work | 2.15–2.36 THz | Zigzag antenna aperture slot | RWG to SIW | to | single | <−10 | 5 |
Disclaimer/Publisher’s Note: The statements, opinions and data contained in all publications are solely those of the individual author(s) and contributor(s) and not of MDPI and/or the editor(s). MDPI and/or the editor(s) disclaim responsibility for any injury to people or property resulting from any ideas, methods, instructions or products referred to in the content. |
© 2025 by the authors. Licensee MDPI, Basel, Switzerland. This article is an open access article distributed under the terms and conditions of the Creative Commons Attribution (CC BY) license (https://creativecommons.org/licenses/by/4.0/).
Share and Cite
Paudel, B.; Li, X.J.; Seet, B.-C. A Broadband Mode Converter Antenna for Terahertz Communications. Electronics 2025, 14, 551. https://doi.org/10.3390/electronics14030551
Paudel B, Li XJ, Seet B-C. A Broadband Mode Converter Antenna for Terahertz Communications. Electronics. 2025; 14(3):551. https://doi.org/10.3390/electronics14030551
Chicago/Turabian StylePaudel, Biswash, Xue Jun Li, and Boon-Chong Seet. 2025. "A Broadband Mode Converter Antenna for Terahertz Communications" Electronics 14, no. 3: 551. https://doi.org/10.3390/electronics14030551
APA StylePaudel, B., Li, X. J., & Seet, B.-C. (2025). A Broadband Mode Converter Antenna for Terahertz Communications. Electronics, 14(3), 551. https://doi.org/10.3390/electronics14030551

