Abstract
Malware attacks have a cascading effect, causing financial harm, compromising privacy, operations and interrupting. By preventing these attacks, individuals and organizations can safeguard the valuable assets of their operations, and gain more trust. In this paper, we propose a dual convolutional neural network (DCNN) based architecture for malware classification. It consists first of converting malware binary files into 2D grayscale images and then training a customized dual CNN for malware multi-classification. This paper proposes an efficient approach for malware classification using dual CNNs. The model leverages the complementary strengths of a custom structure extraction branch and a pre-trained ResNet-50 model for malware image classification. By combining features extracted from both branches, the model achieved superior performance compared to a single-branch approach.
1. Introduction
In cybersecurity, malware detection and classification are paramount. Signature-based detection methods are effective against known malware, but they are considered ineffective when faced with zero-day attacks (previously unseen malware). In addition, malware authors employ various techniques, such as obfuscation, encryption, and packing, to evade detection [1,2].
Traditional malware classifiers typically extract features from these files and train a machine learning model to distinguish between malware and benign software. Unfortunately, techniques like obfuscation, packing, and other modifications can render the extracted features useless, leading to detection failures. This limitation is inherent to many machine learning-based approaches [3].
There is a pressing need for feature extraction methods that are robust against these modifications. Ideally, such methods should be able to identify malware regardless of changes in the code and also detect variants of existing malware [4].
Malware visualization presents a promising alternative approach for malware analysis. It consists of converting malware binary files into 2D gray-level images, as will be detailed in Section 2.
In this approach, the malware is transformed into 8-bit vectors, essentially strings of zeros and ones. These vectors are then arranged into two-dimensional matrices, resulting in grayscale images. Figure 1 showcases some examples of these image patterns for malware families across three datasets. As the figure illustrates, malware belonging to the same family often exhibit similar textures in their visualizations. For example, Figure 1a,b depict sample images of Adialer.C and Autorun.K families from the Malimg dataset [5], demonstrating their shared visual characteristics. Similarly, Figure 1c,d show sample images of Obfuscator.ACY and Ramnit families in the Microsoft BIG 2015 dataset [6], highlighting their textural resemblance. Finally, Figure 1e,f display sample images of Dinwod and Regrun families in the MaleVis dataset [7], further emphasizing the consistency in texture patterns within a family. This approach leverages the visual similarities observed in malware visualizations to aid in the detection and classification of malicious code [4].
Figure 1.
Some malware sample images belonging to distinct families of three malware datasets [4].
This method bypasses the need for in-depth analysis and focuses on identifying similarities in the visual representation of malicious code variants. Each malware family often exhibits a distinct “texture” in its visualization. These textures exhibit significant visual similarities amongst malware belonging to the same class. Unlike traditional analysis techniques, vision-based analysis does not necessitate static disassembly or dynamic execution of binaries.
Texture features extracted from malware visualizations can be used to train classifiers. These features remain robust even with the application of obfuscation, packing, or reassembly techniques. This is because the underlying texture will simply appear at a different location in the image, regardless of the obfuscation method. This method offers superior performance for classifying malware and is resilient to obfuscation and other modification techniques [3,4].
Based on the above converted malware images, various machine learning and deep learning techniques have been actively explored for developing intelligent malware detection and classification systems [8,9,10,11]. To enhance these systems, we propose adopting a dual CNN approach with transfer learning. This approach offers several advantages over existing methods, as it utilizes two separate CNN branches for extracting complementary features. First, each branch focuses on learning a distinct set of features from the input data. These features are complementary, meaning they capture different but important aspects of the data. This extracts both high-level structures (coarse structures and shapes) and fine-grained details (detailed textures and patterns) separately. Then, these two sets of features are concatenated for further learning and multi-classification using nonlinear activation functions. Our experiments showed improvements in detection accuracy, precision, and computational efficiency compared to using a single CNN architecture.
The rest of this paper is organized as follows: Section 2 presents the background on malware visualization. The literature review for this work is displayed in Section 3. Section 4 is devoted to describing the proposed model. Section 5, the evaluation and comparison, presents the tests that are conducted to evaluate the proposed model followed by the results and their analysis. Section 6 is the concluding section. We also suggest future research topics and work plans.
2. Background on Malware Visualization
As illustrated in Figure 2, the process of converting malware into grayscale image begins by reading a malware binary as a vector of 8-bit unsigned integers. This vector is then converted into a two-dimensional array, essentially creating a grayscale image. The intensity values in the image range from 0 (black) to 255 (white). The width of this image is fixed, while the height can vary depending on the size of the malware file.
Figure 2.
Visualizing malware as an Image.
Figure 3 showcases an example image of a typical Trojan downloader, Dontovo.A, known for downloading and executing arbitrary files [5]. Notably, different sections of the malware (binary fragments) often exhibit distinct textures within the image, as seen in Figure 3. A more detailed classification of these binary fragments and their visualization as grayscale images is available in [5].
Figure 3.
Various sections of Trojan: Dontovo.A.
The grayscale image representation allows to analyze different sections of the malware. The .text section, containing the executable code, appears in the figure. The initial portion of the .text section has a fine-grained texture, indicating code. The remaining area appears black, suggesting zero padding used to fill out the section. This padding is added during image creation process. The following section, .data, contains a mix of uninitialized data (black areas) and initialized data (appearing with fine-grained texture). Finally, the .rsrc section holds the module’s resources, which may include icons used by the application.
Fu et al. [12] proposed a novel method for generating RGB-colored images from malware binary files. Instead of directly converting grayscale images to RGB, they focused on populating the red, green, and blue channels with more informative data.
The core steps of their method involve section division and feature computation. Initially, malicious code was filtered to ensure compliance with the PE format and the preservation of its original structure. Figure 4 illustrates the PE file structure and the necessary field information for filtering malware.
Figure 4.
The structure of PE file.
Subsequently, the malware was divided into multiple sections based on the PE format, and these sections were characterized using entropy, byte value, and relative size. The red, green, and blue channels of each pixel were then populated with these values, resulting in a combined RGB-colored image. Figure 5 provides a visual representation of this detailed process. For further information on this method, please refer to reference [12].
Figure 5.
The process of malware visualization.
Grayscale malware images offer several advantages. First, they require less storage space and processing power compared to RGB images, leading to faster training and inference times. Second, the single channel in grayscale images simplifies feature extraction, potentially improving the performance of certain machine learning algorithms. Finally, grayscale images are not affected by color variations, which can be beneficial for malware classification tasks where color differences are irrelevant.
While grayscale images have their advantages, they may require more sophisticated feature extraction techniques to capture relevant information, especially if color-related features are important for distinguishing malware families. This could potentially limit the discriminative power of the model.
In conclusion, the choice between grayscale and RGB malware images depends on the specific characteristics of the malware dataset and the classification task at hand. If color information is not crucial and computational efficiency is a priority, grayscale images may be a suitable choice. However, if color-related features are important for distinguishing malware families, RGB images may provide better performance.
3. Literature Review
As introduced in the previous section, malware binary files belonging to the same family exhibit visual similarity when converted to images, while those belonging to different families display dissimilarity. Based on this fact, CNNs have become a prominent tool in recent years for malware detection and classification. Yeo et al. [13] proposed an automated approach that used CNNs alongside several traditional machine learning algorithms. This technique, instead of relying on traditional network signatures, utilized 35 distinct features extracted from packet flow data. Their study, using data from the Stratosphere IPS project [14], demonstrated that both CNNs and random forests (RFs) achieved outstanding performance, exceeding 85% accuracy, precision, and recall for all malware classes.
Building on this success, Sharma et al. [15] introduced a highly accurate and efficient malware detection system based on one-dimensional CNNs. This system classifies binary files as malicious or benign with minimal preprocessing, allowing the network to learn the necessary features during training. The use of one-dimensional convolutions differentiates this approach from previous CNN-based methods, resulting in improved accuracy and training times compared to existing techniques.
For cloud-based environments, Abdelsalam et al. [16] presented an effective virus detection solution using CNNs. Their study compared a standard 2D CNN trained on metadata from virtual machine processes to a unique 3D CNN that considered samples across a time window. Experiments on randomly chosen malware samples revealed that the 2D CNN model achieved an accuracy of around 79%, while the 3D CNN model significantly boosted accuracy to over 90%.
Beyond CNNs, Tobiyama et al. [17] proposed a malware detection method based on process behavior that utilizes deep neural networks (DNNs). This method involves training a Recurrent Neural Network (RNN) to extract features from process activity and a CNN to classify feature images created from the extracted features. Evaluation results demonstrated high accuracy, achieving an Area Under the Curve (AUC) of 0.96 in the best-case scenario.
Another approach, called IRMD, was introduced by Zhang et al. [18] for malware variant detection. IRMD relies on opcode image recognition. In this method, binary executables are broken down into opcode sequences and then converted into images. A CNN is then used to compare the opcode images of target binaries with known malware samples to identify malicious executables. Theoretical analysis and real-world testing showed that this visualization-based approach improves detection accuracy by 15%, particularly when dealing with a large number of unknown binaries and a limited training set.
Aslan et al. [19] proposed a novel hybrid architecture that integrates two pre-trained networks by applying equal weights to create a feature vector. The system initially undergoes a pre-training phase where ResNet-50 and AlexNet architectures are trained using the ImageNet dataset [20]. Subsequently, features extracted from ResNet-50 and AlexNet are combined to generate a feature vector. Finally, this combined feature vector is fed into softmax and fully connected layers for normalization. When tested on the Malimg dataset, their method achieved an accuracy of 97.78%.
Hemalatha et al. [21] proposed an efficient deep learning-based malware detection system. This system utilizes a reweighted class-balanced loss function in the final classification layer of the DenseNet model. This approach addresses imbalanced data issues and achieves significant performance improvements. Their method achieved an accuracy of 98.23% on the Malimg dataset.
Awan et al. [22] proposed a deep learning framework called Spatial Attention and convolutional neural network (SACNN) for image-based classification of 25 well-known malware families. This work explores the integration of attention mechanisms with convolutional neural networks (CNNs) for image-based malware detection. It investigates how this specific type of spatial attention, which has shown remarkable success in computer vision tasks, can be applied effectively in this domain. The performance of SACNN is evaluated with and without class balancing on the Malimg benchmark dataset. The model achieved an accuracy of 97.38% and 97.62% with and without class balancing, respectively.
Asam et al. [23] introduced a novel malware classification framework named deep boosted feature space-based malware classification (DFS-MC). This framework combines the strengths of multiple customized CNN architectures by fusing their feature spaces. An SVM classifier is then employed to enhance the discriminative power of the combined features. Evaluated on the Malimg dataset, the model achieved an accuracy of 98.61%.
Kim et al. [24] introduced a novel CNN-based malware classification model that utilizes raw malware files (binary files). Their approach combines two modalities: “malware images” and “structural entropies”, both derived from the binary files. These modalities offer complementary perspectives due to their varying granularities of bytes and chunks. To integrate the strengths of both modalities, the model employs a cross-modal attention mechanism that mitigates their individual limitations. Experimental results on the Malimg dataset demonstrate the model’s effectiveness, achieving an accuracy of 99.09%.
Duraibi et al. [25] proposed a novel snake optimization algorithm combined with deep convolutional neural networks for image-based malware classification. The primary objective of this approach is to employ a hyperparameter-tuned deep learning method for identifying and classifying malware images. Initially, the ShuffleNet method is utilized to extract feature vectors. Subsequently, the snake optimization algorithm is applied to optimize the hyperparameters of the ShuffleNet algorithm. An attention-based bidirectional long short-term memory model is then employed for malware image recognition and classification. The performance of this algorithm was evaluated using the Malimg malware dataset, achieving an accuracy of 98.42%.
To evaluate the time consumption, accuracy, and overall performance of various techniques, we present the following studies: Mauro et al. [26] provided a comprehensive overview of several promising neural networks applicable to machine learning-based intrusion detection systems (ML-IDS). For their experimental evaluation, they implemented convolutional neural networks (CNNs), Multilayer Perceptrons (MLPs), Recurrent Neural Networks (RNNs), Wilkes Stonham and Aleksander Recognition Devices (WiSARDs), Learning Vector Quantization (LVQ), and Self-Organizing Maps (SOMs), using the CIC-IDS-2017/2018 dataset released by the Canadian Institute for Cybersecurity. According to their experimental analysis, MLPs, while exhibiting strong detection performance, were notably slower than other neural networks due to the backpropagation algorithm. LVQ performed less effectively than the other models. In contrast, WiSARD demonstrated the most favorable balance between performance and computational efficiency.
Charlotte et al. [27] conducted a comparative analysis of random forests against two deep learning algorithms: Recurrent Neural Networks (RNNs) and convolutional neural networks (CNNs). Their experiments utilized Sentinel-2 time series data. Upon evaluating the algorithms, they concluded that CNNs achieved the highest accuracy. Furthermore, they noted that RNNs exhibited greater computational complexity and lower accuracy.
Dong et al. [28] explored the application of Semi-Supervised Deep Reinforcement Learning (SSDDQN) to intrusion detection. Their approach involves a two-step process: initially, an autoencoder is employed to reconstruct the attributes, followed by a deep neural network. The NSL-KDD and AWID datasets were utilized for training and testing. The authors reported promising results for detecting abnormal traffic. However, the SSDDQN model’s optimization potential is limited, and it exhibits virtually no detection capability for the smallest quantity of U2R anomalous attack traffic.
Gustavo et al. [29] proposed the AB-TRAP framework to facilitate the deployment of intrusion detection systems. They developed a methodology involving dataset creation, model training, implementation, and evaluation. While their decision tree model outperformed others, it needs further testing on diverse datasets.
Maonan et al. [30] focused on improving the interpretability of intrusion detection systems. Their SHAP-based approach provides both local and global explanations for model decisions. Using the NSL-KDD dataset, they demonstrated the framework’s effectiveness in generating understandable explanations consistent with attack characteristics.
4. Proposed Method
This section outlines the proposed Dual Convolutional Malware Network (DCMN) architecture and its implementation details. The DCMN is designed to leverage the strengths of dual convolutional neural networks (CNNs) to effectively classify malware based on their visual representations.
4.1. Dual Convolutional Malware Network (DCMN) Architecture Overview
As illustrated in Figure 6, our proposed framework consists of multiple components. First, the input binary file is pre-processed and converted into a pre-fixed size (224 × 224) grayscale image. Then, the image is fed into a dual CNN [31] to extract two sets of features. These latter are then concatenated and fed into a non linear activation function for a multi-classification. In the next section, we detail each of these steps.
Figure 6.
Proposed method architecture overview.
4.2. Image Preprocessing
The proposed DCMN model initially processes input images by resizing them to a standardized 224 × 224 pixel format. Subsequently, pixel values are normalized to a 0–1 range. Following this, image labels are converted into a sparse format. The model then constructs batches of images and corresponding labels for training and testing purposes. To prevent overfitting, the dataset is shuffled for each training epoch. This preprocessing step ensures all images are compatible with the network’s architecture.
To address the issue of imbalanced class distribution in the training dataset, a balancing process was applied before model training. This involved calculating the average number of samples across all classes. Subsequently, the dataset was adjusted by undersampling the majority class and oversampling the minority class to match the calculated average.
To assess the impact of dataset balancing on model performance, the proposed model was trained under two conditions: with and without the balanced dataset.
4.3. Dual CNN Architecture
The preprocessed 224 × 224 image is then fed to our customized dual CNN (DCMN). This latter DCMN comprises two key components: a pre-trained ResNet-50 and a custom CNN, each one of them processing the input image independently. The custom branch captures structural details, while the pre-trained ResNet50 extracts high-level features.
ResNet-50 is a deep convolutional neural network architecture introduced by Microsoft Research in 2015, containing 50 layers and 26 million parameters. Unlike traditional models that learn features directly, residual networks focus on learning the “residuals”—the difference between the input features and the output features of a layer. This approach allows ResNet to leverage skip connections, which directly propagate information from earlier layers (nth layer) to later layers (n + xth layer). This enables stacking additional layers and building deeper networks. Notably, ResNet-50 excels at feature extraction due to its training on the massive ImageNet dataset, containing millions of images categorized into 1000 classes. Figure 7 illustrates the architecture of ResNet-50.
Figure 7.
ResNet-50 model architecture [32].
The custom CNN branch consists of 4 layers and has approximately 34 million parameters. This branch focuses on extracting structural features from the input image through convolutional and pooling operations. The max pooling layers with a stride of 2 effectively downsample the feature maps, which can help the network focus on more global structural information. Subsequently, the use of 3 × 3 kernels in convolutional layers after the max pooling layers is a good choice for capturing structural details, as it allows the network to extract features from a relatively large region of the input image. The effectiveness of this method has been validated in [33]. The authors proposed a multi-branch deep learning framework that combines global contextual features with multi-scale features to identify complex land scenes. Their work shows that a series of traditional pooling and convolution techniques allows the model to effectively extract global features.
The resulting flattened output is then combined with features extracted from the ResNet-50 branch for image classification. Table 1 provides a detailed breakdown of the model’s layers. It includes the input size for each layer, the number of filters used in the convolutional layers, and the kernel size. The kernel size refers to the dimensions of the sliding window used during convolution. A 3 × 3 kernel, for example, indicates that a 3 × 3 grid of weights slides across the input to extract features.
Table 1.
Summary of the custom CNN architecture.
In the following section, we will provide a detailed overview of the dual convolutional neural network (dual CNN) architecture employed in our proposed DCMN. The dual CNN consists of three primary components: convolutional layers, pooling layers, and a softmax layer.
4.3.1. Convolutional Layers
The core component of a convolutional neural network (CNN) is the convolution layer. It extracts features from the input image, capturing both low-level (e.g., edges, colors) and high-level (e.g., objects, scenes) information. Low-level features are processed at the pixel level, while high-level features are derived from combinations of low-level features. The DCMN model utilizes 2D convolutions with a kernel size of 3 × 3, a stride of 1, and padded borders (Keras implementation). The mathematical operation of 2D convolution is shown in Equation (1):
where O(i, j) represents the output for a specific location (i, j) in the feature map, I is the input image, and F is the filter (kernel). Following each convolution layer is an activation function, which introduces non-linearity into the network. This allows the network to learn complex patterns in the data. The ReLU (Rectified Linear Unit) activation function is used in the DCMN model. ReLU sets negative values to zero while preserving positive values. The mathematical formula for ReLU and other common activation functions are provided in Equations (2) to (4):
4.3.2. Pooling Layer
The pooling layer down-samples the output from the convolution layer, reducing its dimensionality and computational cost. This layer retains the most important features while discarding redundant information. The DCMN model employs max pooling with a 2 × 2 filter size. Equation (5) illustrates the max pooling operation:
where h represents the output of the convolution layer, and n and m represent its height and width, respectively.
4.3.3. Softmax Layer
For multi-class classification problems, the Softmax activation function is employed. It takes the output from the fully connected layer and converts it into a probability distribution across all possible classes. Each class probability ranges between 0 and 1, and the sum of all probabilities equals 1. The mathematical formula for the Softmax function is shown in Equation (7):
where represents the weighted sum of the input values with their corresponding weights and biases (X, W, and b, respectively), and represents the predicted probability for each class.
4.3.4. Callback Function
Callbacks are objects that perform actions at specific points during the training process. These functions provide insights into the model’s internal state and training statistics. A common example is the ReduceLROnPlateau callback. This callback monitors a specified metric (quantity) during training. If the metric fails to improve for a predefined number of epochs (patience), the callback reduces the learning rate. This helps to prevent the model from overfitting and potentially improve convergence.
4.3.5. Loss Function
The loss function measures the difference between the model’s predictions and the actual labels. In the DCMN model, the sparse categorical cross-entropy loss function is used. This function is commonly employed for multi-class classification tasks in deep learning models like CNNs. Equation (8) depicts the loss function:
where y represents the true label and f(x) represents the predicted probability distribution.
5. Evaluation and Comparison
In this section, we focus on the evaluation and comparative analysis of our proposed method. We start by describing the dataset used for training, validation, and testing. Next, we outline the evaluation metrics employed to assess the performance of our method. We then present and discuss the results, highlighting key observations and insights. Finally, we compare our approach with existing methods, analyzing their strengths and weaknesses to demonstrate the effectiveness and potential benefits of our technique.
5.1. Dataset
We utilized the Malimg dataset [5], a collection of images specifically designed for training and evaluating machine learning models in malware detection using computer vision techniques [34]. The Malimg dataset is a popular choice alongside MaleVis for this task [7]. It comprises 9339 grayscale images converted from malware executables, representing 25 distinct malware families. We augmented the Malimg dataset by adding a new class: a benign class containing 931 grayscale images [22]. Figure 8 shows samples of this benign class. Details regarding the class distribution of original Malimg dataset are provided in Figure 9. The dataset is split into training (60%), validation (20%), and testing (20%) sets. This resulted in 6162 samples for training and 2054 samples each for validation and testing.
Figure 8.
Samples of the benign class.
Figure 9.
The class distribution of original Malimg dataset.
Given the widespread popularity of the Malimg dataset, it has been adopted in numerous existing and emerging research endeavors. This widespread usage facilitates the comparison of the proposed model’s results with those of various previous and contemporary models. Furthermore, the dataset’s classification as imbalanced presents an opportunity to investigate the impact of training our proposed model on an imbalanced dataset, both before and after applying techniques to balance the dataset.
5.2. Evaluation Metrics
We employed a confusion matrix, a tabular representation, to assess the performance of the classification model. This matrix summarizes the number of correct and incorrect predictions made, categorized by class. Rows represent the actual classes, while columns represent the predicted ones. Diagonal elements indicate correct predictions, while off-diagonal elements showcase misclassifications. Several metrics, including accuracy, precision, recall, and F1 score, can be derived from the confusion matrix.
Accuracy, as shown in Equation (9), measures the proportion of correctly classified instances. Precision and recall, on the other hand, measure different aspects of a model’s performance. Precision focuses on the proportion of true positives among all positive predictions (Equation (10)), while recall focuses on the proportion of true positives out of all actual positive cases (Equation (11)). The F1 score (Equation (12)) balances precision and recall, providing a more comprehensive measure of a model’s effectiveness. The proposed DCMN model is evaluated using the macro average of precision, recall, and F1 score, as defined in Equations (13) to (15):
5.3. Experimental Setup
The proposed model was trained for seven epochs each, both with and without the benign class, using a batch size of 28. Experiments were conducted using TensorFlow (version 2.17.0) and Keras libraries (version 3.4.1) in Python (version 3.10.12). These experiments were executed on a Google Colab T4 GPU, a powerful graphics processing unit (GPU) offered by Google Colaboratory, a cloud-based platform for machine learning research. The T4 is a high-performance GPU designed specifically for deep learning and other computationally intensive tasks. The model was compiled with the Adam optimizer, employing categorical cross-entropy as the loss function. Accuracy was selected as the metric for evaluating performance. The model was trained with a learning rate of . To dynamically adjust the learning rate during training, the ReduceLROnPlateau callback was utilized. This callback reduces the learning rate by a factor of 0.2 if the validation loss plateaus, with a minimum learning rate of . The custom CNN consisted of four layers, as illustrated in Table 1. The ReLU activation function and max pooling were incorporated into the custom CNN to enhance its performance.
5.4. Performance Evaluation
The proposed DCMN model achieved perfect accuracy (99.98%) on the training data excluding the benign class and 99.13% accuracy on the validation dataset within 570.5 s. When the benign class was included, the model attained 99.88% training accuracy and 99.65% validation accuracy in 561.88 s. These results were obtained using a balanced training dataset.
In contrast, without dataset balancing, the model achieved 99.97% training accuracy and 96.40% validation accuracy in 517.62 s when the benign class was excluded. With the benign class included, the model reached 100% training accuracy but only 97.00% validation accuracy in 570.80 s.
For comparative analysis, standard CNN, VGG-16, pre-trained ResNet-50, dual CNN, and dual CNN with VGG-16 models were trained using transfer learning for 15 epochs with a batch size of 28 on the same dataset. Our proposed model consistently outperformed these baseline models across all evaluation metrics on the Malimg dataset, both with and without the benign class. Table 2 and Table 3 provide a detailed comparison of these results.
Table 2.
Comparison of the proposed model with state-of-the-art models on the Malimg dataset without Benign class.
Table 3.
Comparison of the proposed model with state-of-the-art models on the Malimg dataset with Benign class.
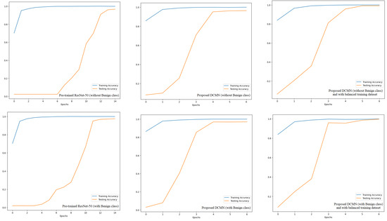
Figure 10 presents a comparative accuracy graph of our DCMN model and the pre-trained ResNet-50 model. When using a dataset without the benign class, our proposed DCMN achieved a testing accuracy gain of 1.77% compared to the pre-trained ResNet-50. This gain was 1.52% when the benign class was included. In addition to this improvement in detection performance, the DCMN’s superior learning speed during training is a significant advantage. For example, when using a dataset without the benign class, the pre-trained ResNet-50 took 1037.38 s to reach 96.70% validation accuracy, whereas our DCMN achieved 99.13% validation accuracy in only 570.5 s. In a similar vein, the pre-trained ResNet-50 took 1125.52 s to reach 97.44% validation accuracy, whereas our DCMN achieved 99.65% validation accuracy in only 561.88 s.
Figure 10.
Accuracy graph of pre-trained ResNet-50 and proposed DCMN models.
Our model surpasses all state-of-the-art models across all evaluation metrics on both Malimg datasets, with and without the benign class. Specifically, there is a 0.8% accuracy gain, and 0.0192 increase in precision, recall, and F1 score on the dataset without the benign class and a 1.52% accuracy gain, 0.0151 increase in precision, 0.0197 improvement in recall, and a 0.0192 F1 score gain when the benign class is included, following the details outlined in Table 2 and Table 3.
To assess the contribution of each component within the proposed DCMN model, we conducted ablation studies by evaluating the custom CNN (regular CNN) and the pre-trained ResNet-50 separately. The results demonstrated that the pre-trained ResNet-50 significantly outperformed the custom CNN. When using the dataset without the Benign class, the training, validation, and testing accuracies of the custom CNN were 85.25%, 74.93%, and 85.30%, respectively, whereas the pre-trained ResNet-50 achieved accuracies of 99.97%, 96.70%, and 98.12%, respectively, (see Table 2).
Upon adding the Benign class, the results exhibited minimal change from the previous experiment. The training, validation, and testing accuracies of the custom CNN were 85.67%, 80.62%, and 87.28%, respectively, while the pre-trained ResNet-50 achieved accuracies of 99.84%, 97.44%, and 97.89%, respectively, (see Table 3).
Figure 11, the confusion matrix revealed a low number of misclassified instances, with off-diagonal elements representing errors. This aligns with the model’s overall high accuracy of 99.89%.
Figure 11.
Confusion matrix of proposed DCMN on the Malimg dataset with balanced training dataset. The rows (from top to bottom) and columns (from left to right) represent the same classes.
Despite its overall accuracy, the model exhibited some misclassifications among certain malware families. For instance, a malware image belonging to the Fakerean family was erroneously classified as belonging to the Wintrim.BX family, suggesting potential similarities or overlaps in their behavioral patterns. Additionally, the model struggled to distinguish between specific malware families, such as Lolyda.AA1 and Lolyda.AA2.
6. Conclusions and Future Work
In our work, we presented a novel approach for malware classification using a dual deep convolutional neural network (DCNN). Our method leverages both pre-trained ResNet-50 and a custom convolutional neural network to enhance feature extraction and improve classification performance. The evaluation was conducted on the Malimg dataset, which contains a diverse set of malware images from 25 families, plus a benign class.
Our proposed method achieved an accuracy of 99.89%, which is comparable to existing state-of-the-art methods. The precision, recall, and F1 score metrics also demonstrated the robustness and reliability of our model.
Future research in this area could benefit from utilizing larger datasets, such as the BIG 2015 Microsoft malware classification [6], to further improve model accuracy and evaluation metrics. Additionally, developing techniques to classify encrypted malware files without compromising their integrity could be a promising research direction. One potential approach in this area involves analyzing metadata. Examining the embedded metadata within the encrypted file, such as file headers, footers, or timestamps, might provide clues about the malware’s type, behavior, or origin. Additionally, analyzing the network traffic generated by the encrypted malware can reveal patterns and behaviors that are indicative of specific types of malware [35].
Author Contributions
Conceptualization, N.B. and B.A.-M.; methodology, N.B. and B.A.-M.; software, B.A.-M.; validation, N.B., A.E.-Z. and K.S.; formal analysis, N.B., A.E.-Z. and K.S.; investigation, K.S. and N.B.; resources, B.A.-M.; data curation, B.A.-M.; writing—original draft preparation, B.A.-M. and N.B.; writing—review and editing, N.B. and K.S.; visualization, A.E.-Z.; supervision, A.E.-Z. and N.B.; project administration, A.E.-Z. and N.B.; funding acquisition, B.A.-M. All authors have read and agreed to the published version of the manuscript.
Funding
This research received no external funding.
Data Availability Statement
The Malimg dataset [5] used in this study is openly available from: https://www.kaggle.com/datasets/ikrambenabd/malimg-original, accessed on 10 January 2024.
Conflicts of Interest
The authors declare no conflicts of interest.
References
- Ponnuru, M.D.S.; Amasala, L.; Bhimavarapu, T.S.; Garikipati, G.C. A Malware Classification Survey on Adversarial Attacks and Defences. arXiv 2023, arXiv:2312.09636. [Google Scholar]
- Yan, H.; Zhou, H.; Zhang, H. Automatic malware classification via PRICoLBP. Chin. J. Electron. 2018, 27, 852–859. [Google Scholar] [CrossRef]
- Jain, M.; Andreopoulos, W.; Stamp, M. CNN vs. ELM for image-based malware classification. arXiv 2021, arXiv:2103.13820. [Google Scholar]
- Roseline, S.A.; Geetha, S.; Kadry, S.; Nam, Y. Intelligent vision-based malware detection and classification using deep random forest paradigm. IEEE Access 2020, 8, 206303–206324. [Google Scholar] [CrossRef]
- Nataraj, L.; Karthikeyan, S.; Jacob, G.; Manjunath, B.S. Malware images: Visualization and automatic classification. In Proceedings of the 8th International Symposium on Visualization for Cyber Security, Pittsburgh, PA, USA, 20 July 2011; pp. 1–7. [Google Scholar]
- Ahmadi, M.; Ulyanov, D.; Semenov, S.; Trofimov, M.; Giacinto, G. Novel feature extraction, selection and fusion for effective malware family classification. In Proceedings of the Sixth ACM Conference on Data and Application Security and Privacy, New Orleans, LA, USA, 9–11 March 2016; pp. 183–194. [Google Scholar]
- Bozkir, A.S.; Cankaya, A.O.; Aydos, M. Utilization and comparision of convolutional neural networks in malware recognition. In Proceedings of the 2019 27th Signal Processing and Communications Applications Conference (SIU), Sivas, Turkey, 24–26 April 2019; pp. 1–4. [Google Scholar]
- Narayanan, B.N.; Davuluru, V.S.P. Ensemble malware classification system using deep neural networks. Electronics 2020, 9, 721. [Google Scholar] [CrossRef]
- Damaševičius, R.; Venčkauskas, A.; Toldinas, J.; Grigaliūnas, Š. Ensemble-based classification using neural networks and machine learning models for windows pe malware detection. Electronics 2021, 10, 485. [Google Scholar] [CrossRef]
- Goyal, M.; Kumar, R. A survey on malware classification using machine learning and deep learning. Int. J. Comput. Netw. Appl. 2021, 8, 758–775. [Google Scholar] [CrossRef]
- Ravi, V.; Alazab, M. Attention-based convolutional neural network deep learning approach for robust malware classification. Comput. Intell. 2023, 39, 145–168. [Google Scholar] [CrossRef]
- Fu, J.; Xue, J.; Wang, Y.; Liu, Z.; Shan, C. Malware visualization for fine-grained classification. IEEE Access 2018, 6, 14510–14523. [Google Scholar] [CrossRef]
- Yeo, M.; Koo, Y.; Yoon, Y.; Hwang, T.; Ryu, J.; Song, J.; Park, C. Flow-based malware detection using convolutional neural network. In Proceedings of the 2018 International Conference on Information Networking (ICOIN), Chiang Mai, Thailand, 10–12 January 2018; pp. 910–913. [Google Scholar]
- Garcia, S. Modelling the network behaviour of malware to block malicious patterns. The stratosphere project: A behavioural ips. In Proceedings of the VirusBulletin, Prague, Czech Republic, 30 September–2 October 2015; pp. 1–8. [Google Scholar]
- Sharma, A.; Malacaria, P.; Khouzani, M. Malware detection using 1-dimensional convolutional neural networks. In Proceedings of the 2019 IEEE European Symposium on Security and Privacy Workshops (EuroS & PW), Stockholm, Sweden, 17–19 June 2019; pp. 247–256. [Google Scholar]
- Abdelsalam, M.; Krishnan, R.; Huang, Y.; Sandhu, R. Malware detection in cloud infrastructures using convolutional neural networks. In Proceedings of the 2018 IEEE 11th International Conference on Cloud Computing (CLOUD), San Francisco, CA, USA, 2–7 July 2018; pp. 162–169. [Google Scholar]
- Tobiyama, S.; Yamaguchi, Y.; Shimada, H.; Ikuse, T.; Yagi, T. Malware detection with deep neural network using process behavior. In Proceedings of the 2016 IEEE 40th Annual Computer Software and Applications Conference (COMPSAC), Atlanta, GA, USA, 10–14 June 2016; Volume 2, pp. 577–582. [Google Scholar]
- Zhang, J.; Qin, Z.; Yin, H.; Ou, L.; Hu, Y. IRMD: Malware variant detection using opcode image recognition. In Proceedings of the 2016 IEEE 22nd International Conference on Parallel and Distributed Systems (ICPADS), Wuhan, China, 13–16 December 2016; pp. 1175–1180. [Google Scholar]
- Aslan, Ö.; Yilmaz, A.A. A new malware classification framework based on deep learning algorithms. IEEE Access 2021, 9, 87936–87951. [Google Scholar] [CrossRef]
- Deng, J.; Dong, W.; Socher, R.; Li, L.J.; Li, K.; Li, F.-F. Imagenet: A large-scale hierarchical image database. In Proceedings of the 2009 IEEE Conference on Computer Vision and Pattern Recognition, Miami, FL, USA, 20–25 June 2009; pp. 248–255. [Google Scholar]
- Hemalatha, J.; Roseline, S.A.; Geetha, S.; Kadry, S.; Damaševičius, R. An efficient densenet-based deep learning model for malware detection. Entropy 2021, 23, 344. [Google Scholar] [CrossRef] [PubMed]
- Awan, M.J.; Masood, O.A.; Mohammed, M.A.; Yasin, A.; Zain, A.M.; Damaševičius, R.; Abdulkareem, K.H. Image-based malware classification using VGG19 network and spatial convolutional attention. Electronics 2021, 10, 2444. [Google Scholar] [CrossRef]
- Asam, M.; Khan, S.H.; Jamal, T.; Zahoora, U.; Khan, A. Malware classification using deep boosted learning. arXiv 2021, arXiv:2107.04008. [Google Scholar]
- Kim, J.; Paik, J.Y.; Cho, E.S. Attention-Based Cross-Modal CNN Using Non-Disassembled Files for Malware Classification. IEEE Access 2023, 11, 22889–22903. [Google Scholar] [CrossRef]
- Duraibi, S. Enhanced Image-Based Malware Classification using Snake Optimization Algorithm with Deep Convolutional Neural Network. IEEE Access 2024, 12, 95047–95057. [Google Scholar] [CrossRef]
- Di Mauro, M.; Galatro, G.; Liotta, A. Experimental review of neural-based approaches for network intrusion management. IEEE Trans. Netw. Serv. Manag. 2020, 17, 2480–2495. [Google Scholar] [CrossRef]
- Pelletier, C.; Webb, G.I.; Petitjean, F. Deep learning for the classification of Sentinel-2 image time series. In Proceedings of the IGARSS 2019—2019 IEEE International Geoscience and Remote Sensing Symposium, Yokohama, Japan, 28 July–2 August 2019; pp. 461–464. [Google Scholar]
- Dong, S.; Xia, Y.; Peng, T. Network abnormal traffic detection model based on semi-supervised deep reinforcement learning. IEEE Trans. Netw. Serv. Manag. 2021, 18, 4197–4212. [Google Scholar] [CrossRef]
- Bertoli, G.D.C.; Júnior, L.A.P.; Saotome, O.; Dos Santos, A.L.; Verri, F.A.N.; Marcondes, C.A.C.; Barbieri, S.; Rodrigues, M.S.; De Oliveira, J.M.P. An end-to-end framework for machine learning-based network intrusion detection system. IEEE Access 2021, 9, 106790–106805. [Google Scholar] [CrossRef]
- Wang, M.; Zheng, K.; Yang, Y.; Wang, X. An explainable machine learning framework for intrusion detection systems. IEEE Access 2020, 8, 73127–73141. [Google Scholar] [CrossRef]
- Pan, J.; Liu, S.; Sun, D.; Zhang, J.; Liu, Y.; Ren, J.; Li, Z.; Tang, J.; Lu, H.; Tai, Y.W.; et al. Learning dual convolutional neural networks for low-level vision. In Proceedings of the IEEE Conference on Computer Vision and Pattern Recognition, Salt Lake City, UT, USA, 18–22 June 2018; pp. 3070–3079. [Google Scholar]
- He, K.; Zhang, X.; Ren, S.; Sun, J. Deep residual learning for image recognition. In Proceedings of the IEEE Conference on Computer Vision and Pattern Recognition, Las Vegas, NV, USA, 27–30 June 2016; pp. 770–778. [Google Scholar]
- Khan, S.D.; Basalamah, S. Multi-branch deep learning framework for land scene classification in satellite imagery. Remote Sens. 2023, 15, 3408. [Google Scholar] [CrossRef]
- Shaik, A.; Pendharkar, G.; Kumar, S.; Balaji, S. Comparative analysis of imbalanced malware byteplot image classification using transfer learning. arXiv 2023, arXiv:2310.02742. [Google Scholar]
- Ayoub, H.G.; Suhail, A.T. Review of Encrypted Virus: Detection analyses Methods. In Proceedings of the 2021 7th International Conference on Advanced Computing and Communication Systems (ICACCS), Coimbatore, India, 19–20 March 2021; Volume 1, pp. 1946–1952. [Google Scholar]
Disclaimer/Publisher’s Note: The statements, opinions and data contained in all publications are solely those of the individual author(s) and contributor(s) and not of MDPI and/or the editor(s). MDPI and/or the editor(s) disclaim responsibility for any injury to people or property resulting from any ideas, methods, instructions or products referred to in the content. |
© 2024 by the authors. Licensee MDPI, Basel, Switzerland. This article is an open access article distributed under the terms and conditions of the Creative Commons Attribution (CC BY) license (https://creativecommons.org/licenses/by/4.0/).










