Abstract
Unmanned aerial vehicles (UAVs) are promising tools in mobile communication due to their flexibility. However, the rapid development of mobile communications further intensifies the challenge of spectrum scarcity, necessitating spectrum sharing with other systems. We suggest a Spectrum Sharing Algorithm for a UAV-Assisted Relay System. The utility function of secondary users (SUs) is defined by their communication rate, rewards from relay primary users (PUs), and spectrum leasing expenses. The utility function of PUs consists of their communication rate and revenue from spectrum leasing. We propose a joint optimization algorithm for the positioning and power allocation of UAVs, maximizing the frequency spectrum utilization rate of users. Spectrum trading between PUs and SUs is modeled as a Stackelberg game, and the problem is solved by using Lagrange multipliers and KKT conditions. To enhance the security of spectrum trading, a reputation-based spectrum sharing blockchain consensus algorithm is designed. We utilize Shamir’s secret sharing method to reduce computational complexity. Additionally, we design a smart contract to optimize the functionality of transaction transfers. The findings demonstrate that the proposed algorithm enhances the benefits for both participants in spectrum sharing, while safeguarding the security of spectrum transactions.
1. Introduction
With the rapid development of mobile communications, unmanned aerial vehicles (UAVs) are increasingly becoming an essential tool in the field of communication, bringing about new possibilities and opportunities for the traditional communication infrastructure. The application of drones in agriculture, logistics, surveying, and environmental monitoring is gradually increasing. For instance, agricultural drones have been used for precision farming and crop monitoring, while logistics drones have been employed for package delivery. The drone market has seen continuous growth in recent years and is expected to maintain a robust growth in the coming years. According to market research reports, the Compound Annual Growth Rate (CAGR) of the drone market has reached over 20% [1].
The rapid development of mobile communications has made spectrum resources scarce. Therefore, in the context of widespread UAV application, the spectrum demand for UAV communication has surged. Spectrum resource scarcity may lead to network congestion, especially in densely populated areas and regions with high traffic volume, resulting in a decline in user experience quality. The limitations of spectrum resources may prevent operators from supporting more users and services, restricting the expansion of network services.
The scarcity of spectrum resources results in limited allocation for UAVs. Cognitive radio technology enables radio devices to intelligently adjust their operating parameters according to environmental changes, optimizing the utilization of radio spectrum resources. Spectrum sharing is a crucial technique in cognitive radio networks that can effectively address UAV spectrum issues [2,3,4].
Researchers have studied spectrum sharing techniques in UAV communication scenarios and proposed some effective sharing methods. A UAV communication strategy featuring a spectrum sharing mechanism was introduced and was aimed at delivering vital services like disaster recovery and public safety in [5]. A cognitive relay network spectrum sharing scheme was introduced in [6], where UAVs in the secondary user (SU) system received information from the ground secondary base station (BS) and would transmit it to the ground SUs, sharing the same wireless frequency band with primary users (PUs) while maintaining coexistence. Ref. [7] investigated the spectrum sharing issues in UAV networks based on three-dimensional Poisson point processes and the underlying spectrum sharing between three-dimensional UAV networks and traditional cellular networks. Ref. [8] utilized spectrum sharing to alleviate spectrum scarcity in dense UAV-assisted vehicular networks with numerous users. While ensuring Quality of Service (QoS) for users, it optimized key factors affecting energy efficiency and service quality. However, the aforementioned study did not consider the security issues of spectrum sharing, including secure spectrum transactions and information privacy.
Blockchain is a distributed ledger technology with decentralization, immutability, and transparency properties, which plays an essential role in information security. In spectrum trading, the transfer of spectrum usage rights must be conducted securely and transparently to prevent fraud or tampering. Unauthorized participants might manipulate the transaction process, leading to the illegal transfer of spectrum rights or financial loss. Blockchain technology provides security guarantees for spectrum sharing and transactions through its unique distributed ledger and consensus mechanisms. A dynamic spectrum sharing framework utilizing blockchain and artificial intelligence was suggested in [9], utilizing blockchain to realize dynamic spectrum sharing and enhance its distribution, security, and automation, while leveraging artificial intelligence to improve pattern recognition and decision-making performance in dynamic spectrum sharing. Ref. [10] suggested a novel blockchain-supported dynamic spectrum management model, drawing from the established license-free spectrum radio business frameworks. This model harnesses blockchain technology to amplify efficiency in user spectrum management and elevate service quality. Ref. [11] transitioned 6G spectrum sharing systems to hybrid blockchains, subdividing spectrum resources for Ultra Internet of Things (UIoT) devices. This establishes dependable and secure random access for various UIoT terminal data, ensuring the seamless compatibility of extensive data via cloud computing and smart contract technology, while validating the authenticity of external perceptual data. Ref. [12] introduced an innovative consensus mechanism tailored for blockchain-based Dynamic Spectrum Access (DSA) systems, inspired by Shamir’s secret sharing scheme. Ref. [13] presented a novel secure spectrum trading and sharing approach leveraging blockchain technology to safeguard privacy. In blockchain network spectrum sharing, the incorporation of a reputation mechanism effectively discerns malicious nodes from honest ones. Ref. [14] suggested a privacy-preserving blockchain system centered around trust for dynamic spectrum sharing within IoT networks, ensuring system security via the incorporation of a trust knowledge mechanism.
While numerous research studies have explored the application of blockchain technology to ensure secure spectrum sharing, research on using blockchain for spectrum sharing in UAV communication scenarios is limited. Ref. [15] introduced a spectrum sharing mechanism based on blockchain to tackle incentive and security concerns in collaborative spectrum sharing between UAVs and cellular networks. However, there are still some limitations in using blockchain technology for spectrum sharing in the UAV communication system. On the one hand, the computing power of UAVs cannot reach the level of servers as high computational power consensus algorithms cannot be performed thus requiring lightweight consensus algorithms. On the other hand, a reasonable and secure spectrum sharing mechanism is needed, including the process of spectrum leasing, bandwidth allocation, and fair pricing. We propose a blockchain-based spectrum sharing algorithm for the UAV cooperative communication system. In this algorithm, the UAV in the SU system shares communication spectrum with the cellular system, while acting as a relay to address cellular system coverage issues. UAVs engage in spectrum sharing by leasing and purchasing spectrum from the BS, and spectrum transactions between the PU system and the SU system are realized through Stackelberg games, constructing a blockchain-based transaction model to ensure the security of spectrum transactions, as well as designing a lightweight consensus algorithm and smart contract based on reputation values. The specific innovations and contributions are as follows:
- (1)
- In reference [5], the cooperation between the primary user and the secondary user is not considered, and the utility issues of both parties are not taken into account. Thus, we construct a spectrum sharing communication system model for UAV cooperative relays. The system consists of a PU system and an SU system, where the PU system includes a BS and ground PUs, and the SU system includes the UAVs and ground SUs. UAVs lease spectrum from the base station, communicate with the ground SUs, and provide relay services to the PUs. While communicating with an SU, the UAV uses NOMA to relay messages from the BS to the PU. Considering both user communication quality and spectrum transactions, the utility function of the UAV is defined by the communication rate of the ground SUs, rewards for relaying to the ground PUs, and expenditures on leased spectrum, while the utility function of the BS consists of the communication rate of the ground PUs and revenue from the leased spectrum, with costs associated with rewarding the UAVs.
- (2)
- An optimization algorithm for UAV positioning and power allocation is proposed. Since the position and power of UAVs affect the utilization rate of frequency spectrum of PUs and SUs, we optimize the positioning and power allocation of UAV to maximize the utilization rate of the frequency spectrum for PUs and SUs. After obtaining optimal UAV deployment positions and power allocations, the spectrum trading problem is solved, and UAVs are rewarded based on the transmission rates of the PU. We divide the non-convex optimization problem into two distinct sub-problems. We employ greedy algorithms to address the power allocation optimization sub-problem and the Nelder–Mead algorithm to address the UAV positioning optimization sub-problem.
- (3)
- A spectrum trading algorithm for UAV relay systems based on the Stackelberg game is proposed. Since UAV communication requires spectrum, UAVs engage in spectrum sharing with the PU system to address the spectrum usage issues of UAVs. The dynamics of spectrum trading between PUs and SUs are modeled as a Stackelberg game, where the leader is the PU and the follower is the SU. This scenario is addressed using the Lagrange multiplier method alongside KKT conditions to derive the equilibrium prices and quantities of spectrum transactions.
- (4)
- A blockchain consensus algorithm and smart contract based on reputation for spectrum sharing is designed. We use Shamir’s secret sharing method to reduce the computational complexity of the blockchain consensus algorithm. Miners calculate the keys required for blockchain on-chain based on random series, with the dimensions of the keys required for each miner being related to their reputation values. The higher the reputation, the lower the dimensions of the keys, resulting in shorter mining times. Additionally, this paper designs a reputation-based smart contract, where the registration function includes reputation value judgment to prevent low-reputation UAVs from participating in spectrum sharing. For the transaction transfer function, two functions are designed—the UAV transfer function and the BS return function. The UAV transfer function calculates lease payments and deposits based on the equilibrium solution of spectrum trading games, while the BS return function provides rewards to the UAV relays according to the spectrum trading strategy and can choose to return or deduct deposits based on the UAV’s behavior.
The remainder of this paper is structured as follows: Section 2 outlines the system model of spectrum sharing, while Section 3 introduces a spectrum sharing algorithm based on Stackelberg games. Section 4 presents the blockchain network for spectrum sharing. Section 5 conducts a simulation analysis, and Section 6 concludes with the conclusions and outlook.
2. System Model
The collaborative communication system assisted by UAV relays is illustrated in Figure 1. This system consists of one BS, N PUs located at the edge of the BS coverage, M UAVs, and K SUs. The PU system comprises the BS and cellular users, while the SU system comprises the UAVs and ground secondary users. In the SU system, the UAVs need to lease spectrum resources from the BS to transmit data to ground secondary users and provide relay services to the nearby PUs. The UAV communicates with a PU and an SU using NOMA, where the PU receives relayed messages from the BS and the SU receives data from the UAV.
Figure 1.
System Model.
Establishing space as a three-dimensional coordinate system. The geographical locations of the BS, UAV, SU, and PU are set as , , , . The communication channel between the UAV and the ground adopts the air-to-ground channel model based on probability, as described in reference [16], which incorporates both line-of-sight (LoS) and non-line-of-sight (NLoS) transmission. The path loss of the communication link between the UAV and the ground is represented as follows:
where and are the average additional losses for LoS and NLoS links, respectively, and represents the distance-dependent loss. The probability of the communication link being LoS is as follows:
where and are constants related to the environment, is the horizontal distance between the UAV and the user, is the altitude of the UAV, and is the angle between the UAV and the user with respect to the horizontal line [16].
In the UAV-assisted relay communication system, the transmission process is divided into two separate time slots. In the first time slot, the BS broadcasts information to the UAVs. Different UAVs use FDMA to receive information from the BS. Then, in the second time slot, the UAVs employ NOMA to simultaneously transmit their respective information to the PU and SU. Assuming UAVm is the m-th UAV. The transmission rate of UAVm is as follows:
where is the spectrum bandwidth used for UAV, is the transmission power from the BS to the UAVm, is the channel gain from the BS to the UAVm, and is the Gaussian white noise.
During the second time slot, UAVm plays a dual role by transmitting data to the SU and relaying messages from the BS to the PU. Assuming UAVm acts as the near-end for the PU and the far-end for the SU, the transmission rates for both users are determined as follows:
where is the transmission power allocated by UAVm to the PU, and is the transmission power allocated by UAVm to the SU. represents the maximum transmission power of the UAVm, and are the channel power gains from UAVm to its associated PU and SU, respectively. In the downlink scenario of NOMA, the users with poorer channel conditions are generally allocated more power, while those with slightly better channels are allocated less power, and then both signals are transmitted together. After receiving the signal at the user end, the signal with the higher signal-to-noise ratio is first demodulated, and then the interference of this signal on other signals is eliminated through SIC [17,18].
Communicating with the SU requires spectrum resources thus necessitating spectrum trading with the BS. In this study, the BS does not uniformly price the spectrum. The UAV provides relay services to the PU, so the spectrum price is related to the transmission rate when the UAV provides relay services for the PU. Optimizing the position and transmission power of the UAV is crucial as it directly impacts the frequency spectrum utilization rate of users. To maximize the utility of both users, we employ greedy and Nelder-Mead algorithms to optimize the UAV’s position and transmission power. Under the premise of maximizing frequency spectrum utilization rate of users under each UAV, we employ the Stackelberg game for spectrum trading to determine the spectrum leasing price for the PU’s BS and the spectrum quantity for the SU’s UAV.
We employ blockchain technology to enhance the security of spectrum sharing in the UAV cooperative communication system. As shown in Figure 1, the UAVs and BS serve as full nodes of the blockchain, with the UAVs also acting as mining nodes in the system. Due to the limited storage and computing capabilities of the users, they serve as light nodes of the blockchain. In the system, when there are transactions and state updates, the generated messages are packaged into blocks. After consensus by mining nodes, the blocks are added to the blockchain, which then undergoes updating. The workflow is automated using smart contracts. Initially, the SU broadcasts its request to UAVs via smart contracts, and then the UAV selects the communicating SU and selects the relay PU near the SU. The UAV pays spectrum leasing fees and starts working. After a round of work is completed, the system updates the UAV’s reputation based on its violations and relay quality during this round of work, while the BS provides relay rewards to UAVs.
3. Spectrum Sharing Algorithm Based on Stackelberg Game
To enhance the efficacy of spectrum resource utilization, the SU system leases spectrum from the BS for communication. We construct utility functions for the BS and UAVs. First, we optimize the position and transmission power allocation of UAVs to maximize the utilization rate of frequency spectrum. We then adopt a Stackelberg game model to determine the spectrum leasing price and quantity for UAVs. The Stackelberg game consists of a leader and followers, where the leader is the cellular BS, and the followers are the UAVs. UAVs make decisions on the quantity of spectrum to purchase to maximize their own interests based on the pricing set by the BS. The BS adjusts pricing based on the quantity purchased by UAVs to maximize its own interests, ultimately obtaining the optimal spectrum trading strategy, including pricing and bandwidth allocation [19].
3.1. Utility Function
In reference [13], the utility function of the leadership layer is composed solely of the profits from the sale of spectrum resources, without considering the benefits brought by the primary user’s rate. This paper has added the primary user’s rate to the utility function of the leadership layer. The follower layer did not consider the benefits brought by the rates of the relay primary user and the secondary user; this paper also takes into account the impact of both the primary user’s rate and the secondary user’s rate on utility.
To encourage the UAVs in the SU system to act as relays for PUs, the BS provides relay rewards to the UAVs. The reward is proportional to the relay transmission rate. Taking into account both the ground PUs and the revenue generated from leasing spectrum, the utility function of the leader is defined as follows:
where is the weighting coefficient, represents the transmission rate of the PU, is the weighting coefficient, denotes the price of leasing unit bandwidth for UAVm, and is the bandwidth leased by UAVm. Here, , , . The first term in the leader’s utility function represents the revenue generated by the PUs. A higher transmission rate of the PU implies greater communication revenue, but it may also indicate that UAVs are utilizing a larger bandwidth from the BS. Therefore, is defined as the communication revenue brought by the PUs. The second term represents the revenue generated from leasing spectrum resources, where is the reward obtained by UAVs acting as relays.
The follower’s utility function is as follows:
where the first term represents the communication revenue between UAVm and the SU, is the weighting coefficient, and the second term represents the reward obtained by the UAVm as a relay for the PU, where is the cost of leasing spectrum for the UAV.
From (6) and (7), it can be observed that improving the spectrum efficiency and for the SU and PU can enhance the utilities. However, spectrum pricing and leasing bandwidth require a game-theoretic approach. Hence, maximizing the utilities of the BS and UAVs entails two distinct components—optimizing spectrum efficiency and optimizing spectrum pricing while leasing bandwidth.
3.2. UAV Positioning and Power Allocation Optimization
Optimizing the position and transmission power of the UAVs is essential to maximize spectrum utilization for both PUs and SUs, considering the impact of their locations and transmission power. The optimization problem can be formulated as follows:
where the optimization variable is the two-dimensional coordinates of the UAV, and represent the transmission power allocated by the UAV to the SU and PU. (9) represents the constraints of the UAV’s workspace, where the deployment position of the UAV cannot be far from this workspace; (10) represents the power constraints, ensuring that the combined power allocated to PU and SU remains below the maximum transmission power of the UAV; (11) represents the power allocation constraints, where, in the downlink, due to the decoding successive interference cancellation (SIC) of NOMA, the near-end user should be allocated less power, and the far-end user should be allocated more power; (12) represents the near-end and far-end constraints, where the UAV’s position deployment considers the PU as the near end and the SU as the far end; (13) represents the threshold constraint of the SNR of the PU’s communication; and (14) represents that the distance between drones should satisfy the safety distance requirement, in which .
As problem P1 presents a non-convex nature, a direct solution becomes impractical. Hence, we divide P1 into the following two sub-problems: the sub-problem of optimizing UAV transmission power and the UAV spatial position optimization sub-problem. A greedy algorithm is employed to resolve the sub-problem of optimizing UAV transmission power, while the Nelder–Mead algorithm is utilized for solving the UAV spatial position optimization sub-problem.
3.2.1. UAV Power Optimization Sub-Problem
The sub-problem of optimizing UAV transmission power involves optimizing the allocation of transmission power given the UAV positions. This sub-problem can be represented as follows:
It can be observed that for (10), it is always possible to find larger power values and to make the objective function value larger. Therefore, (10) can be changed to an equality like (16). Setting and , the power optimization is transformed into the optimization of power allocation factors . Problem P2 is reformulated as follows:
In this, a restriction is introduced to limit the power allocation factor, .
The problem and constraints in question are non-convex, hence they cannot be solved using traditional convex optimization methods. When solving with the gradient descent method, the outcome is highly dependent on the choice of the initial point, which is related to the tendency of the gradient descent method to fall into local optima. This also means that when using the gradient descent method to solve functions with multiple extremum points, it is necessary to have an approximate range of the optimal solution. We employ a greedy algorithm for optimization. The greedy algorithm aims to find the overall optimal solution of the problem by iteratively making local optimal selections. Starting from an initial value, a relatively small step size is fixed and, within the step size range, local optimality is sought, while the initial value is adjusted towards the direction of local optimality. After obtaining optimal solutions for all the local cases, the global optimal solution is derived from aggregating all the local optimal solutions.
3.2.2. UAV Spatial Position Sub-Problem
The UAV spatial position optimization sub-problem involves optimizing the three-dimensional position of the UAV given the power. This sub-problem can be represented as follows:
This problem utilizes the Nelder–Mead algorithm for optimization. For multi-dimensional and multi-extreme problems, solving the issue using deterministic methods is challenging due to the non-linear and non-convex nature of the objective function. The Nelder–Mead simplex algorithm is a direct search algorithm that does not require gradient information of the objective function, making it an effective and fast optimization algorithm for functions with complex analytical forms and difficult derivative calculations. After the convergence of optimization for both sub-problems, the optimal position of the UAV and power allocation can be obtained to maximize user frequency spectrum utilization rate. The specific steps for UAV optimization problem are shown in Algorithm 1.
| Algorithm 1 Position and Power Optimization Algorithm. |
| Initialization: : the transmission power allocation factors of the UAV; : threshold of SNR for PU communication; : set the step size for the greedy algorithm; : set the precision for termination condition; L: maximum number of iterations; 1. For = 1:L 2. 3. Calculate the value of the objective function 4. if 5. 6. else 7. 8. Obtain the power allocation factors that maximize the objective function 9. Select an initial set of points 10. Calculate the objective function value for each vertex 11. Sort the vertices of the simplex according to their objective function values 12. Remove the worst point 13. Calculate the value of the objective function at the point of reflection. 14. if the value of the objective function at the reflection point is larger 15. Expand to find points 16. else 17. Contract to find points 18. Update the vertices of the simplex until the function value converges 19. Until the change in the objective function value is less than 20. Obtain the transmission power and spatial position of the UAV |
3.3. Spectrum Trading Strategies in Stackelberg Games
We introduce the Stackelberg game problem to determine the spectrum trading strategies between the BS and UAVs. The game consists of two stages, where the BS has the right to determine the spectrum price, and the pricing by the BS affects the bandwidth of the UAVs. Conversely, the quantity of bandwidth purchased by the UAVs also affects the pricing by the BS. Both parties engage in the game based on spectrum pricing and bandwidth purchase. Below, the optimization problems for the leader and follower are described separately [20,21].
For the BS, when the quantity of UAV purchases is fixed, higher spectrum pricing leads to greater revenue. However, higher spectrum pricing will inevitably affect the purchase quantity decisions of the following layer of UAVs. Therefore, during the game, the BS’s pricing for the spectrum will be influenced by the quantity of UAV purchases. The optimization problem for the leader is as follows:
Here, represents the spectrum pricing for UAV. Constraint C1 ensures that the total bandwidth purchased by all UAVs does not exceed the total bandwidth of the base station, while constraint C2 ensures that spectrum pricing must be positive.
The variable that UAVm needs to optimize is the purchased bandwidth. The optimization problem for UAVm is as follows:
Here, represents the bandwidth purchased by UAVm. Constraint C3 states that in order for UAV to utilize the spectrum, the quantity of purchased bandwidth must be greater than or equal to 0 and less than .
3.4. Stackelberg Game Equilibrium Solution
The problem described above represents a Stackelberg game aiming to identify the equilibrium point between the leader and the follower. The Stackelberg equilibrium is defined as follows:
If represents the solution to the spectrum pricing problem and represents the solution to the spectrum purchasing problem of UAVm, then the point is considered an equilibrium point of the proposed Stackelberg game. This equilibrium point adheres to the following conditions for any :
Equation (26) indicates that, given the optimal solution of the follower, maximizes the utility of the leader. Equation (27) indicates that, given the optimal solution of the leader, maximizes the utility of the follower.
3.5. Solving the Stackelberg Game Problem
After the leader layer sets a pricing , the follower seeks to maximize its utility function. In this paper, the Lagrange multiplier method is employed to solve the utility function of the follower. The Lagrange function is constructed as follows:
According to the KKT conditions, the relationship between UAV bandwidth purchase and BS spectrum pricing can be obtained as follows:
From (29), based on the pricing set by the BS, the number of bandwidth leases for UAVs can be determined. When the pricing exceeds a certain value, some UAVs will no longer purchase spectrum. Substituting (29) into (24), we get the following:
where is used to ensure that the quantity of bandwidth purchased by UAVs is greater than 0, the initial pricing set by the BS cannot be too high, that is, . Problem P7 is rewritten as follows:
Similarly, by using the Lagrange multiplier method to solve the problem, we can obtain the pricing as follows:
Substituting (32) into (29), we can obtain the bandwidth purchased by UAVm as in the following:
From the solving process, it is easy to see that for any pricing , when the bandwidth purchased by UAVm satisfies (31), it also satisfies Equation (29). When UAVm purchases bandwidth , if the BS’s pricing is given by (34), it satisfies Equation (28). Ultimately, satisfying (28) and (29), we reach the Stackelberg equilibrium point. The specific algorithm is shown in Algorithm 2.
| Algorithm 2 Spectrum Trading Algorithm. |
| Input: Initialize the initial pricing of the base station. Output: Spectrum pricing and bandwidth purchase . 1. Repeat: 2. for UAVm 3. Based on , construct the Lagrange multiplier expression 4. To solve for the optimal purchase quantity of UAVm 5. end for 6. Obtain the set of quantities for purchasing UAVs, denoted as set 7. for BS 8. Construct the Lagrange multiplier expression based on set 9. Seeking the optimal spectrum pricing under set 10. end for 11. if obtain the equilibrium solution 12. Obtain the utility of BS and UAVs 13. End repeat 14. end if 15. else return to step 1 |
4. Blockchain Network for Spectrum Sharing
In the process of implementing spectrum sharing, malicious nodes pose threats to the security and fairness of spectrum transactions. We construct a blockchain-based transaction model and utilize a smart contract to enhance the security of spectrum transactions. Both the UAVs and BS involved in the spectrum leasing serve as full nodes in the blockchain network, while the ground users act as light nodes. The following three issues need to be considered in the blockchain network proposed in this paper: (1) The ease with which malicious nodes can infiltrate the blockchain network poses a threat to the reliability of spectrum sharing, necessitating the implementation of a reputation mechanism. (2) Given the insufficient computing and storage capabilities of UAV devices to uphold and preserve the entire blockchain ledger, lightweight algorithms are indispensable. (3) Due to the selfishness of UAVs, it is possible that the relay service quality for PUs may not meet the threshold after leasing spectrum. Therefore, consensus algorithms are associated with reputation mechanisms to reduce mining rewards for low-reputation UAVs, thereby implementing rewards and penalties. In summary, the design of the blockchain network in this paper mainly includes two parts—a lightweight consensus algorithm relying on reputation metrics, and smart contracts.
4.1. Lightweight Consensus Algorithm Based on Reputation
In the blockchain network, malicious users can create multiple accounts to launch attacks. Therefore, a reputation mechanism is needed to evaluate the trustworthiness of the nodes and identify malicious nodes based on their reputation values. When a node commits a violation, its reputation value decreases. When it reaches a certain threshold, the node will be excluded from the system. In the transaction system proposed in this paper, if a UAV violates the rules of spectrum sharing or fails to meet the relay service quality threshold for PUs, its reputation value will decrease. Assuming the UAVi is currently operating in the round n, its reputation value is as follows:
where represents the reputation value of the UAVi in the round of (n − 1), and denotes the minimum unit for updating the UAV’s reputation value, which depends on the behavior of the UAV, being either positive or negative.
For the lightweight consensus algorithm, this paper refers to Shamir’s secret sharing method proposed in reference [22], which introduces the concept of key sharing through thresholds, and its model is based on polynomial interpolation. For a sequence of elements , there exists only one degree polynomial such that for all . Here, is calculated as follows:
To meet for all , the Equation (35) can be written as follows:
For the lightweight consensus algorithm, the key is , and it is the coefficient sequence of the polynomial . When miners want to add a block to the blockchain, they need to solve a mathematical problem, where the difficulty threshold is . In other words, they need to solve equations constructed. To simplify the problem, we assume , reducing the equation-solving task to the following:
Based on this consensus algorithm, improvements need to be made to the block structure, as shown in Figure 2. The block header contains essential information including the Merkel root of transactions, the hash value of the preceding block header (acting as the chain structure’s hash pointer), the miner’s reputation value, the corresponding mining difficulty threshold, the miner’s signature, a random sequence, a key, and the timestamp of block mining.
Figure 2.
Block Structure.
Due to the reputation mechanism in our blockchain system, we associate reputation values with mining difficulty. In this scenario, nodes with higher reputation values will find it easier to successfully mine blocks and receive block rewards, whereas nodes with lower reputation values will face higher mining difficulty and have a smaller chance of receiving block rewards. Specifically, the relationship between mining difficulty and reputation values is defined as follows:
Here, represents the initial mining difficulty, while represents the difficulty threshold for UAVm to solve mathematical problems in the consensus algorithm.
The specific process of the lightweight consensus algorithm based on reputation values and punishment mechanisms is illustrated in Algorithm 3.
| Algorithm 3 Lightweight Consensus Algorithm. |
| 1. BS broadcasts a sequence of elements to all UAVs 2. do 3. Verify Message 4. if verify {} = legal 5. The message is packaged into 6. else 7. The message is discarded 8. for , do 9. if 10. Set illegal 11. Calculate using Equation (41) 12. Calculate using Equation (37) 13. if , , of satisfies the mapping relationship 14. Set legal 15. else 16. Set illegal 17. UAV broadcasts the valid block, and all UAVs synchronize the blockchain ledger 18. The UAV that successfully mined the block receives the mining reward |
4.2. Spectrum Sharing Smart Contract
We present a smart contract for spectrum sharing, describing the parameters and functionalities of the smart contract below. The initialization parameters of the spectrum sharing contract mainly include and . Here, represents the initial reputation value assigned by the system to UAVs, while represents the SNR threshold for PU’s communication. As for the main functionalities of the smart contract, they are designed as follows:
- : This function takes the address and type of the calling node as input. It serves as the registration function for spectrum sharing, verifying node identities and allowing users to participate in spectrum sharing through registration. UAVs with reputation values below the threshold cannot register for spectrum sharing.
- : This function takes the address of the calling node as input. It serves as the request function, where ground users call this function to request UAV communication.
- and : This function takes the address and transfer amount as input. It primarily serves to facilitate transactions between the BS and UAVs. UAVs can use the function to transfer funds to the BS. The transfer amount includes spectrum leasing fees. At the end of this round of work, the BS returns the amount to UAVs based on the performance of UAV relays through the function, including relay rewards.
- : This function can only be called by the PUs. It takes the PU’s address, the address of the communicating UAV, and the relay transmission rate as input. This function is used to evaluate the relay quality of UAVs and update their reputation values accordingly. It includes increasing or decreasing the UAV reputation values based on the comparison between transmission rates and communication thresholds.
- : This function takes the UAV’s address, location, and transmission power as input. It serves to obtain work-related information for UAV participation in spectrum sharing. Only the UAVs have permission to call this function.
- : This function is mainly designed for the BS to view the UAV information. The caller of this function is the BS. The BS can input addresses to obtain relevant information about address accounts.
Based on the parameters and functions designed for the smart contract, the spectrum sharing process based on the smart contract includes four stages, initialization, registration request, transaction, and reputation value update, as follows:
- Initialization Stage: The BS publishes the smart contract, which undergoes verification by network nodes. Broadcasting the smart contract generates transactions SC = {BSaddr|SCaddr|TV0|}, including the BS’s address BSaddr, the smart contract address SCaddr, and the initialization parameters of the smart contract. When the smart contract verification passes, it will be deployed on the blockchain as a special node. Here, SCaddr is the smart contract’s account address, serving as the address for interaction between nodes and the smart contract.
- Registration Request Stage: The UAVs and ground users register through the function, generating transactions register = {useraddr|SCaddr|register|type}. The users in this stage obtain permissions to call other functionalities of the smart contract. After registration, ground users can broadcast requests request = {useraddr|SCaddr| request|type } using the function.
- Transaction Stage: The UAVs engage in transactions with the BS using the function, transferring funds to the base station as expenditure for spectrum leasing and spectrum deposit transfer = {UAVaddr|BSaddr|SCaddr|count}. The transaction will include the addresses and amounts of both parties. After the transaction is complete, the function will broadcast relevant information uavinfo = {UAVaddr|(x,y,H)| α|TV|(Nw,Nr)} about the UAV, including its location, power, reputation value, and number of violations.
- Reputation Value Update Stage: In this stage, PUs can broadcast UAV service quality using the function and system updates the reputation value of UAVs according to formula (36). Subsequently, the BS refunds relay rewards based on the performance of UAVs in this round of work.
The designed spectrum trading process based on smart contracts is illustrated in Algorithm 4.
| Algorithm 4 Spectrum Trading Smart Contract. |
| 1. Initialize Smart Contract Parameters 2. function 3. register== 4. bool(register)==1; 5. emit event (“registration success!”) 6. end function 7. function 8. SU requests communication with the UAV 9. PU requests relay service 10. end function 11. function 12. require the calling address is the UAV’s address 13. require the input amount quantity is a positive integer value 14. end function 15. function 16. require the calling address is the UAV’s address 17. UAVs upload location and power information 18. end function 19. function 20. require the calling address is the PU’s address 21. the PU uploads the reception rate 22. if 23. 24. else 25. 26. end if 27. end function 28. function 29. require the calling address is the BS’s address 30. the BS refunds the amount according to the spectrum trading strategy 31. end function |
4.3. Analysis of Blockchain Latency and Computational Load
The spectrum sharing in this paper is based on smart contracts within the blockchain. When executing a step, the smart contract broadcasts the information and, after the miners package the information onto the chain, the next step is executed. According to the simulation calculations, the average delay caused by the blockchain architecture used in this paper is around 100 ms. This is permissible in scenarios where immediacy and strong synchronicity are not required. The specific delay is related to the computing power of each miner and, generally, the shortest mining time of each miner node is the delay caused. Therefore, the blockchain brings a certain computational burden and, in practical use, it is necessary to consider whether the scenario and model support the delay caused by the blockchain comprehensively.
5. Simulation Analysis
5.1. Spectrum Sharing Algorithm Simulation Analysis
This paper employs Python to simulate the proposed spectrum sharing algorithm. The simulation scenario is depicted in Figure 1, with channel loss , where the unit distance is and the parameters related to the environment are denoted by , , , . The relevant parameters are presented in Table 1 [23,24].
Table 1.
Simulation parameters.
To evaluate the performance of the proposed algorithm, we compare it with four other algorithms. The first comparative algorithm is Algorithm 1 from reference [15], which utilizes time-division multiple access, allocating different time slots to users for transmitting information. In this paper, Algorithm 1 assigns multiple time slots to UAVs to transmit information to PU and SU. The second comparative algorithm is Bandwidth Average, where each UAV purchases bandwidth on average according to optimized pricing. The position and power of UAV are optimized based on the proposed algorithm in this paper. The third comparative algorithm is Position Not Optimized, which fixes the UAV positions while optimizing bandwidth and power according to the proposed algorithm in this paper. The fourth comparative algorithm is Power Not Optimized, which fixes the UAV power allocation while optimizing bandwidth and UAV positions according to the proposed algorithm in this paper.
Figure 3 illustrates the correlation between the utility of the UAVs and base stations and the quantity of SUs. As depicted in Figure 3a, the total utility of UAVs escalates with the growing number of SUs, attributed to the increased participation of UAVs in the operation. Algorithm 1 employs a time-division transmission scheme while optimizing UAV positions, transmit power, and user time slot allocation. It is evident from the figure that as the number of SUs rises, the utility of the UAVs utilizing Algorithm 1 lags behind other algorithms. This phenomenon stems from the limitation imposed by the distance from the base station, affecting the transmission rate of the PUs through the first-hop relay. During position optimization, it is imperative that the transmission rate of the PU remains lower than the SU’s reception rate. Therefore, in optimizing the time-division multiple access transmission slots to maximize the total user transmission rate while meeting the communication requirements of the PU, more slots should be allocated to the SU. This leads to slightly higher reception rates for the SU and lower reception rates for the PU when using Algorithm 1. Consequently, with an increasing number of users, the increase in the SU communication benefits cannot compensate for the loss of UAV relay benefits. Algorithms 3 and 4 result in decreased UAV utility due to the decline in user reception rates. Algorithm 4, when power optimization is not performed, fixes power allocation for position optimization. In this case, the transmission rate of the PU slightly increases while the SU’s transmission rate decreases, resulting in lower overall utility compared to Algorithms 2–4.
Figure 3.
Comparison of the utility of different algorithms: (a) Description of utility of UAVs; (b) Description of utility of BS.
The utility of the base station is shown in Figure 3b. Due to the increase in SUs, the revenue from spectrum trading increases, and the communication revenue obtained by the PU also increases. Therefore, with the increase in the number of SU, the utility function of the base station also increases. As described earlier, the base station’s revenue includes communication revenue from PU, revenue from spectrum trading, and costs such as the fee for utilizing UAV relays by PU. The pricing of spectrum trading and the revenue obtained from the use of spectrum resources by UAVs are related to the base station. Specifically, when the transmission rate of SU is relatively high, the base station will set a higher price for this UAV. UAVs that obtain a higher revenue from leasing spectrum resources will be priced higher. In Algorithm 2, when UAVs purchase bandwidth on average, the utility is lower than that of this paper’s algorithm due to differences in bandwidth. However, since the PU’s spectrum utilization rate is the same, the utility of the base station is similar to that of this paper’s algorithm. Due to the restriction of relay transmission rates, the PU’s transmission rates in Algorithms 3 and 4 are similar to those in this paper’s algorithm, while the bandwidth and pricing are the same, resulting in similar utilities.
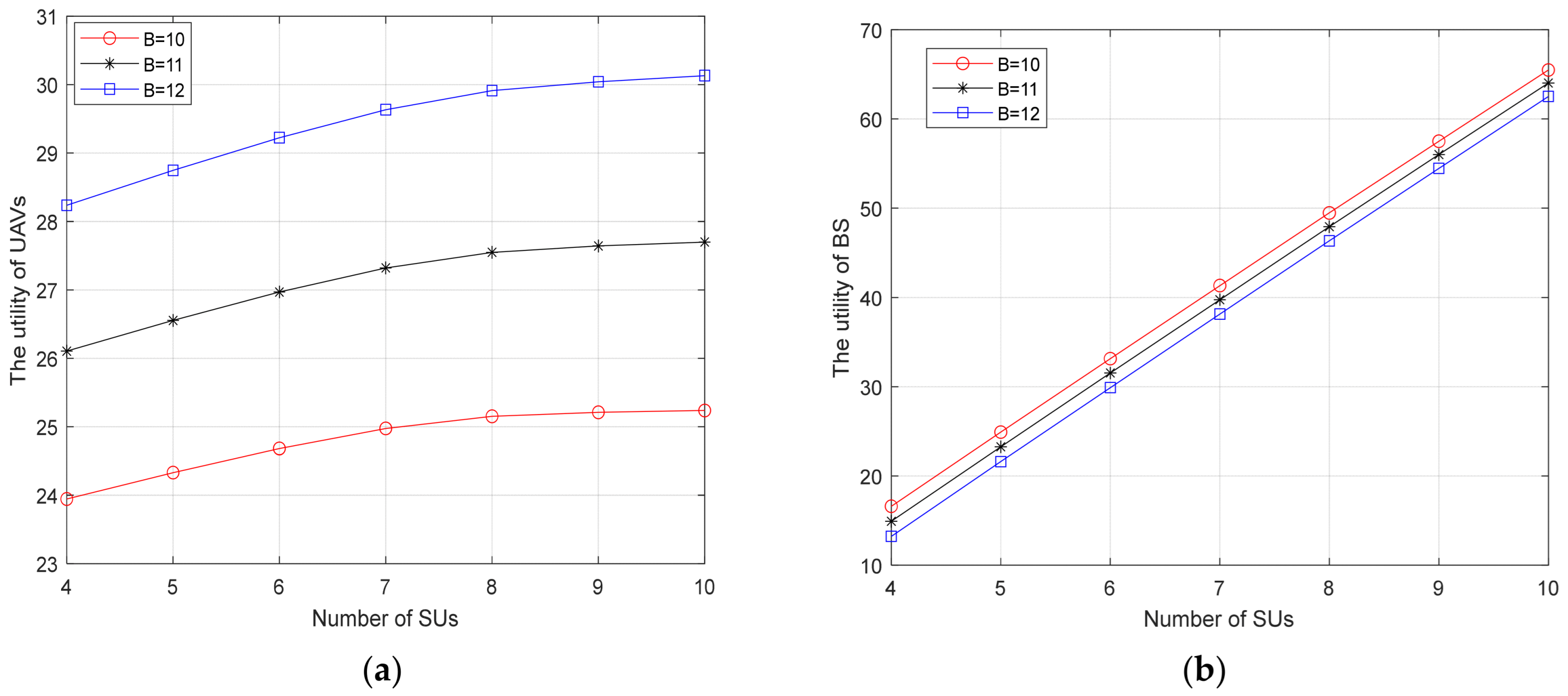
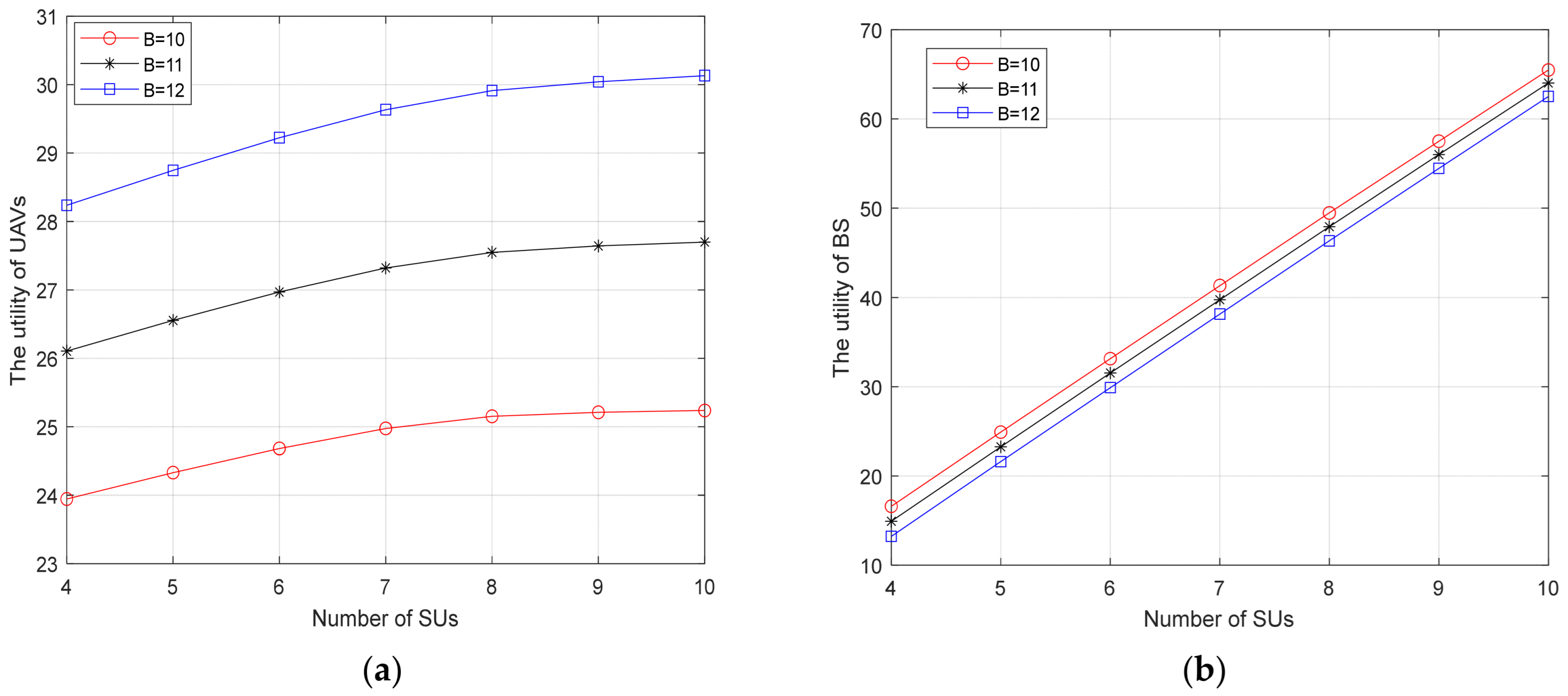
Figure 4 analyzes the impact of bandwidth B on the utility of UAVs and base station. Figure 4a depicts the utility of UAVs under different base station bandwidths. From the figure, it is evident that the overall utility of UAVs rises as the total bandwidth increases. This is because the size of the bandwidth leased by the UAVs is associated with pricing. When pricing is low, the UAVs lease more bandwidth. As the base station’s bandwidth increases, the spectrum price decreases to allow the UAVs to lease more bandwidth and share a larger spectrum. Additionally, increasing the bandwidth enhances the communication benefits of the SU and the price discounts brought by relays, resulting in increased revenue that outweighs the increased cost of leasing spectrum. Figure 4b illustrates the utility of the base station. It can be seen that as the bandwidth of base station increases, the utility decreases. This is because increasing the bandwidth enhances the price discounts brought by the UAV relays, leading to lower revenue from the selling of spectrum resources by the base station.
Figure 4.
Comparison of utility of different bandwidths: (a) Description of utility of UAVs; (b) Description of utility of BS.
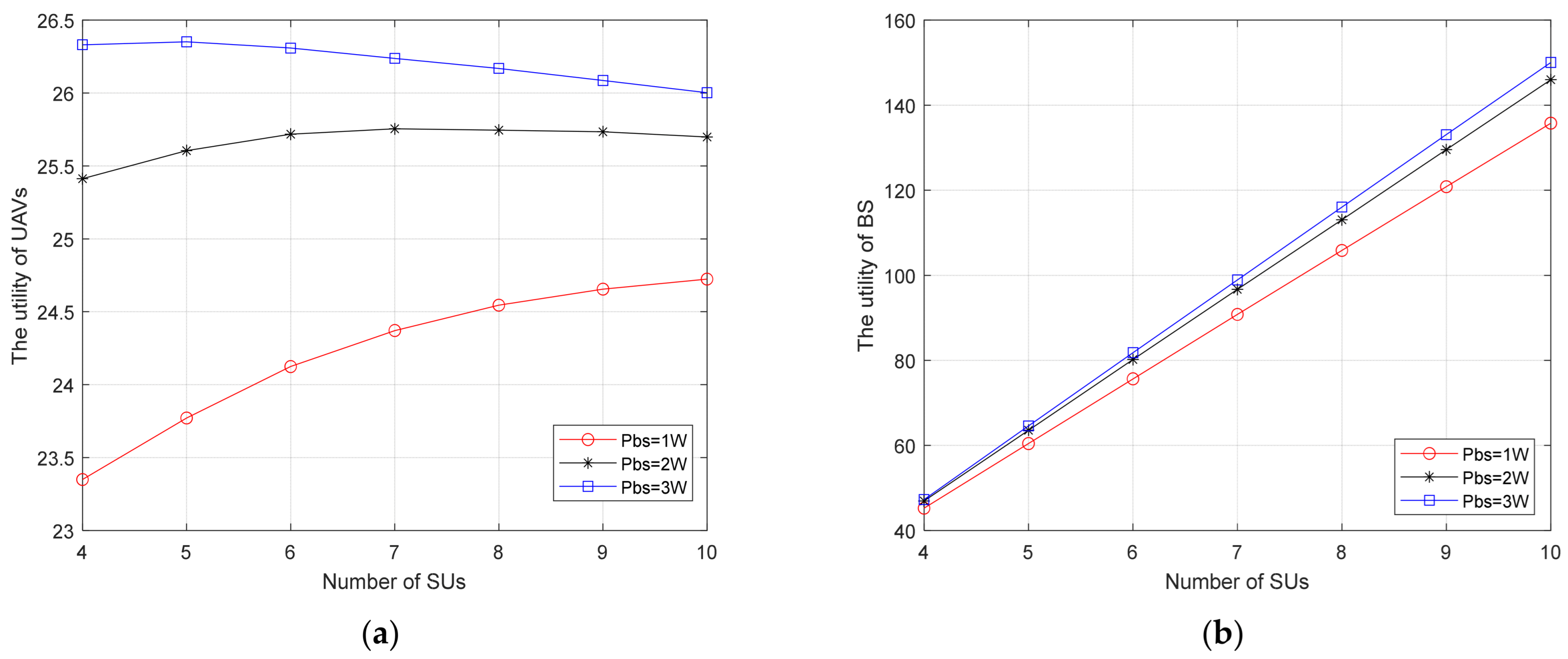
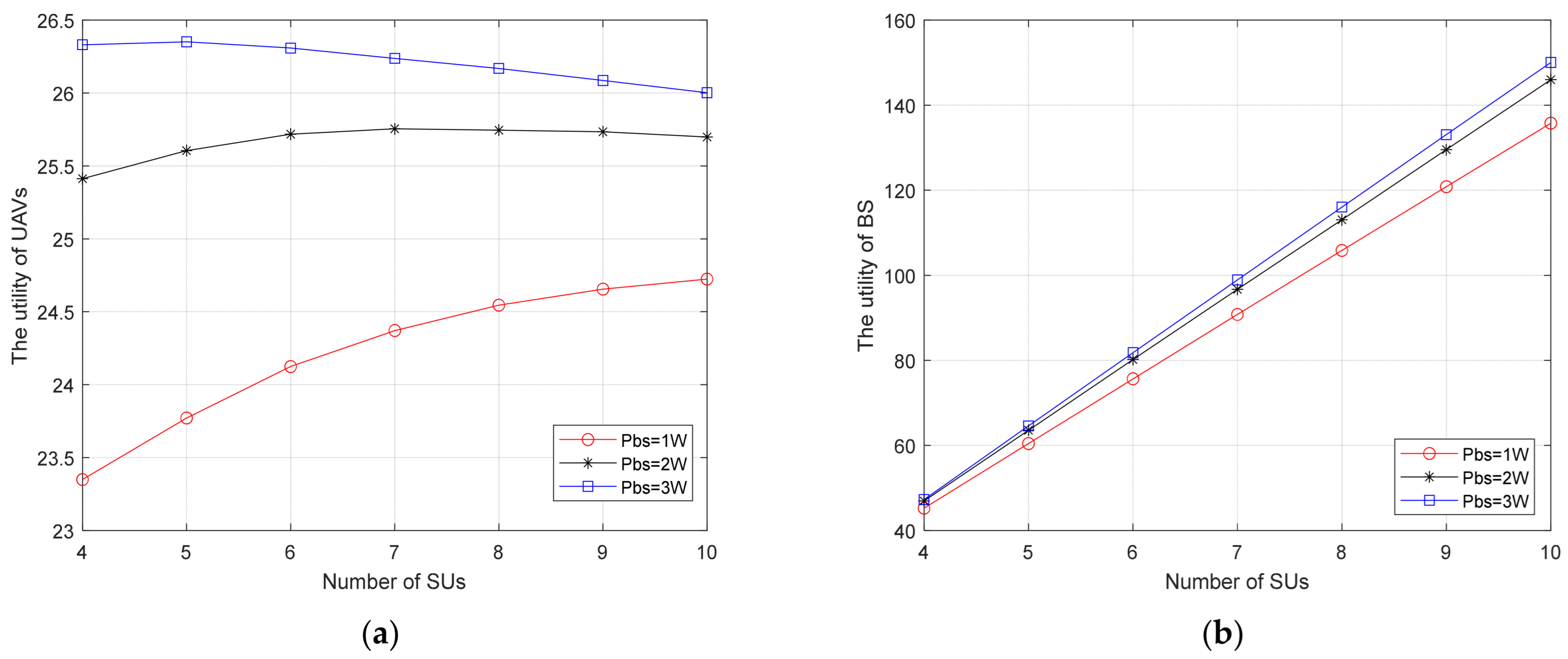
Figure 5 examines the influence of the base station’s transmit power on the utility of both the UAVs and the base station. In Figure 5a, the utility of UAVs is depicted. As the transmit power of the base station increases, it becomes evident that the overall utility of UAVs rises. However, when the base station’s transmit power reaches a high level, the utility of UAVs experiences a slight decline with an increase in the amount of SU. This phenomenon arises due to the heightened first-hop relay rate resulting from elevated base station transmit power. Subsequently, after optimizing UAV positions and power, this leads to an augmentation in the transmission rate of the PU and a reduction in the transmission rate of the SU. The reduction in SU communication benefits outweighs the marginal increase in price discounts, thereby causing a dip in the total utility of the UAVs.
Figure 5.
Comparison of utility between different transmission power of BS: (a) Description of utility of UAVs; (b) Description of utility of BS.
In Figure 5b, the utility of the base station is presented. It is evident that as the transmit power of the base station escalates, the communication revenue of the PU experiences growth, thereby enhancing the base station’s utility. However, as the communication rate of the PU increases, so does the price discount. Consequently, the rise in the base station’s utility diminishes with the increase in the base station’s transmit power.
5.2. Implementation and Performance Analysis of Smart Contracts
The implementation of the proposed smart contract was carried out using Solidity within the Ethereum Virtual Machine (EVM). The smart contract was compiled and deployed for testing using the Remix IDE. Seven blockchain nodes were considered in the blockchain network, including the PU, SU, UAVs, and the BS. The account information for the blockchain network is presented in Table 2. Due to the current lack of support for floating-point numbers in Solidity, the reputation values were multiplied by 100. The initial reputation value for UAVs was set at 20. Table 2 and Figure 6 and Figure 7 explain the process of implementing the smart contract as follows:
Table 2.
Node account information.
Figure 6.
Spectrum trading.
Figure 7.
Reputation value update and related information.
- Smart Contract Initialization: The smart contract is created and deployed by the BS, which corresponds to the first account in Table 2.
- User Registration: UAVs and the ground PU and SU send registration requests to the smart contract. Only registered users can make service requests or share spectrum. As shown in Table 2, two UAVs and four users were registered in this study.
- Spectrum Trading: Figure 6 illustrates the specific process of the UAVs leasing the spectrum. The “from” field represents the account address of UAV 1, indicating that the transaction was initiated by UAV 1, while the “to” field represents the transfer function to the smart contract. “Gas” measures the computational workload and resource consumption required to execute the smart contract, representing the cost of executing the smart contract. Each operation consumes a certain amount of gas. Since miners provide computational resources and security to the network, transaction initiators need to pay a certain amount of gas fees to miners to incentivize them to verify and package their transactions. “Logs” are the logs of the smart contract, recording specific information about the execution process. In Ethereum smart contracts, developers can define events and trigger these events in the contract. Events represent important state changes or actions during contract execution and can be listened to by external applications or other smart contracts to capture these changes. When an event is triggered, the relevant parameter values can be recorded in the log, and these parameter values are the “args”. The “args” is an object containing the event parameters, including all parameters listed in the event definition and their corresponding values. Thus, when external applications or other smart contracts listen to this event, they can obtain detailed information about the event by reading the “args” from the log. In Figure 8, the “args” has four parameters, where 0 and 1 are parameter lists for spectrum trading, where 0 is the address and 1 is the integer amount. “From” represents the transfer from the UAV address, and “amount” represents the transfer amount.
Figure 8. Comparison of average mining time. - Reputation Value Update: Figure 7 shows the update of the reputation value for UAV1 and related information at the end of this round of transactions. “From” is the address of the BS, and “to” is the address of the smart contract function, indicating that the BS checks UAV-related information through the smart contract function. Parameter 0 is the registration information for the UAV, where “type2” indicates the user type as a UAV, “1” indicates that it is registered, parameters 2, 3, and 4 are the UAV’s location information, parameter 5 is the UAV’s transmission power distribution coefficient, parameter 6 is the UAV’s reputation value, and parameters 7 and 8 are the UAV’s violation and legal count. It can be seen that, due to the good performance of the UAV in this round, the reputation value has increased from the initial value of 20 to 21.
Figure 8 illustrates the relationship between the user reputation and mining time, with the initial mining difficulty set to . From the graph, it can be observed that a higher reputation corresponds to a shorter average mining time. This is attributed to the incentive mechanism employed in this study, where reputation is linked to mining difficulty, resulting in lower difficulty for nodes with higher reputation. In practical mining scenarios, nodes with higher reputation have a greater likelihood of successfully mining blocks and thereby receiving block rewards. Conversely, nodes with poor reputation face a lower probability of successful mining and thus struggle to obtain mining rewards. Consequently, this study implements a reward and punishment mechanism for nodes with different reputation levels, making it difficult for malicious nodes to receive block rewards.
6. Conclusions
This paper proposes a blockchain-based spectrum sharing algorithm for collaborative communication systems involving UAVs. It consists of two main components as follows: (1) Spectrum Sharing Algorithm: Optimization of UAV positions and transmission power is conducted to maximize user frequency spectrum utilization rate. Through Stackelberg game, pricing and bandwidth are determined under the premise of rate maximization. (2) Blockchain System: A reputation-based lightweight consensus algorithm is designed as the system’s incentive mechanism, where nodes with different reputation values have varying mining difficulties. Transactions and information updates are established on smart contracts. Comprehensive analysis demonstrates that the proposed system can achieve secure spectrum sharing, maximizing the utility for both UAVs and BSs.
Author Contributions
Conceptualization, F.H. and Q.Z.; methodology, F.H. and Q.Z.; software, F.H.; validation, F.H. and Q.Z.; formal analysis, F.H. and Q.Z.; investigation, F.H. and Q.Z.; resources, Q.Z.; data curation, F.H.; writing—original draft preparation, F.H.; writing—review and editing, Q.Z.; visualization, F.H. and Q.Z.; supervision, Q.Z.; project administration, Q.Z.; funding acquisition, Q.Z. All authors have read and agreed to the published version of the manuscript.
Funding
This work is supported by Jiangsu Provincial Key Research and Development Program, grant number BE2022068-2, and the National Natural Science Foundation of China, grant number 92367302.
Data Availability Statement
The study data are contained within the article.
Conflicts of Interest
The authors declare no conflicts of interest.
References
- Patel, A.; Thompson, S.N. The Role of Drones in Logistics and Delivery Systems. Logist. Manag. J. 2022, 22, 112–130. [Google Scholar]
- Shang, B.; Liu, L.; Rao, R.M. 3D Spectrum Sharing for Hybrid D2D and UAV Networks. IEEE Trans. Commun. 2020, 68, 5375–5388. [Google Scholar] [CrossRef]
- Park, J.; Pawelczak, P.; Cabric, D. Performance of Joint Spectrum Sensing and MAC Algorithms for Multichannel Opportunistic Spectrum Access Ad Hoc Networks. IEEE Trans. Mob. Comput. 2011, 10, 1011–1027. [Google Scholar] [CrossRef]
- Fu, Y.; Shan, Y.; Zhu, Q.; Hung, K.; Wu, Y.; Quek, T.Q.S. A Distributed Microservice-aware Paradigm for 6G: Challenges, Principles, and Research Opportunities. IEEE Netw. 2023, 38, 163–170. [Google Scholar] [CrossRef]
- Nguyen, M.H.T.; Garcia-Palacios, E.; Do-Duy, T.; Nguyen, L.D.; Mai, S.T.; Duong, T.Q. Spectrum-Sharing UAV-Assisted Mission-Critical Communication: Learning-Aided Real-Time Optimisation. IEEE Access 2021, 9, 11622–11632. [Google Scholar] [CrossRef]
- Wang, Z.; Zhou, F.; Wang, Y.; Wu, Q. Joint 3D Trajectory and Resource Optimization for A UAV Relay-Assisted Cognitive Radio Network. China Commun. 2021, 18, 184–200. [Google Scholar] [CrossRef]
- Zhang, C.; Zhang, W. Spectrum Sharing for UAV Networks. IEEE J. Sel. Areas Commun. 2017, 35, 136–144. [Google Scholar]
- Qi, W.; Song, Q. Energy-Efficient Resource Allocation for UAV-Assisted Vehicular Networks with Spectrum Sharing. IEEE Trans. Veh. Technol. 2022, 71, 7691–7702. [Google Scholar] [CrossRef]
- Hu, S.; Liang, Y.C.; Xiong, Z.; Niyato, D. Blockchain and Artificial Intelligence for Dynamic Resource Sharing in 6G and Beyond. IEEE Wirel. Commun. 2021, 28, 145–151. [Google Scholar] [CrossRef]
- Li, Z.; Wang, W.; Guo, J.; Zhu, Y.; Han, L.; Wu, Q. Blockchain-Assisted Dynamic Spectrum Sharing in the CBRS Band. In Proceedings of the International Conference on Communications, Xiamen, China, 28–30 July 2021. [Google Scholar]
- Sun, Z.; Liang, W.; Qi, F.; Dong, Z.; Cai, Y. Blockchain-Based Dynamic Spectrum Sharing for 6G UIoT Networks. IEEE Netw. 2021, 35, 143–149. [Google Scholar] [CrossRef]
- Fernando, P.; Dadallage, K. Proof of Sense: A Novel Consensus Mechanism for Spectrum Misuse Detection. IEEE Trans. Ind. Inform. 2022, 18, 9206–9216. [Google Scholar] [CrossRef]
- Qiu, J.; Grace, D.; Ding, G.; Yao, J.; Wu, Q. Blockchain-Based Secure Spectrum Trading for Unmanned Aerial Vehicle Assisted Cellular Networks: An Operator’s Perspective. IEEE Internet Things J. 2019, 7, 451–466. [Google Scholar] [CrossRef]
- Ye, J.; Kang, X.; Liang, Y.-C. A Trust-Centric Privacy-Preserving Blockchain for Dynamic Spectrum Management in IoT Networks. IEEE Internet Things J. 2022, 9, 13263–13278. [Google Scholar] [CrossRef]
- Ping, Z.; Jiang, Z. Spectrum Sharing Mechanism Based on Blockchain in Unmanned Aerial Vehicle Cooperative Communication Systems. Telecommun. Eng. 2021, 62, 1029–1036. [Google Scholar]
- Alzenad, M.; El-Keyi, A.; Yanikomeroglu, H. Unmanned Aerial Vehicle Base Station for Maximum Coverage of Users with Different QoS Requirements. IEEE Wirel. Commun. Lett. 2018, 7, 38–41. [Google Scholar] [CrossRef]
- Chen, B.; Chen, Y.; Chen, Y. A Novel Spectrum Sharing Scheme Assisted by Secondary NOMA Relay. IEEE Wirel. Commun. Lett. 2018, 7, 732–735. [Google Scholar] [CrossRef]
- Dhanasekaran, S.; Sushma, T.R. Performance Analysis of Cell-Center Users in NOMA Based-Spectrum Sharing Protocol. IEEE Commun. Lett. 2020, 24, 52–56. [Google Scholar] [CrossRef]
- Zheng, S.; Han, T.; Jiang, Y.; Ge, X. Smart Contract-Based Spectrum Sharing Transactions for Multi-Operators Wireless Communication Networks. IEEE Access 2020, 8, 88547–88557. [Google Scholar] [CrossRef]
- Han, Z.; Niyato, D.; Saad, W.; Başar, T.; Hjørungnes, A. Game Theory in Wireless and Communication Networks: Theory, Models, and Applications; Cambridge University Press: Cambridge, UK, 2012; pp. 1–552. [Google Scholar]
- Kang, X.; Zhang, R.; Motani, M. Price-based resource allocation for spectrum-sharing femtocell networks: A Stackelberg game approach. IEEE J. Sel. Areas Commun. 2012, 30, 538–549. [Google Scholar] [CrossRef]
- Shamir, A. How to share a secret. Commun. ACM 1979, 22, 612–613. [Google Scholar] [CrossRef]
- Bor-Yaliniz, R.I.; El-Keyi, A.; Yanikomeroglu, H. Efficient 3-D Placement of an Aerial Base Station in Next Generation Cellular Networks. In Proceedings of the International Conference on Communications (ICC), Kuala Lumpur, Malaysia, 22–27 May 2016. [Google Scholar]
- Nguyen, L.D.; Duong, T.Q.; Dobre, O.A. Downlink Beamforming for Energy-Efficient Heterogeneous Networks with Massive MIMO and Small Cells. IEEE Trans. Wirel. Commun. 2018, 17, 3386–3400. [Google Scholar] [CrossRef]
Disclaimer/Publisher’s Note: The statements, opinions and data contained in all publications are solely those of the individual author(s) and contributor(s) and not of MDPI and/or the editor(s). MDPI and/or the editor(s) disclaim responsibility for any injury to people or property resulting from any ideas, methods, instructions or products referred to in the content. |
© 2024 by the authors. Licensee MDPI, Basel, Switzerland. This article is an open access article distributed under the terms and conditions of the Creative Commons Attribution (CC BY) license (https://creativecommons.org/licenses/by/4.0/).







