Influence of Bulk Doping and Halos on the TID Response of I/O and Core 150 nm nMOSFETs
Abstract
1. Introduction
2. Devices and Experiments
2.1. Test Structures
2.2. Exposure Conditions and Measurement Details
3. Experimental Results and Discussion
3.1. Bulk Doping
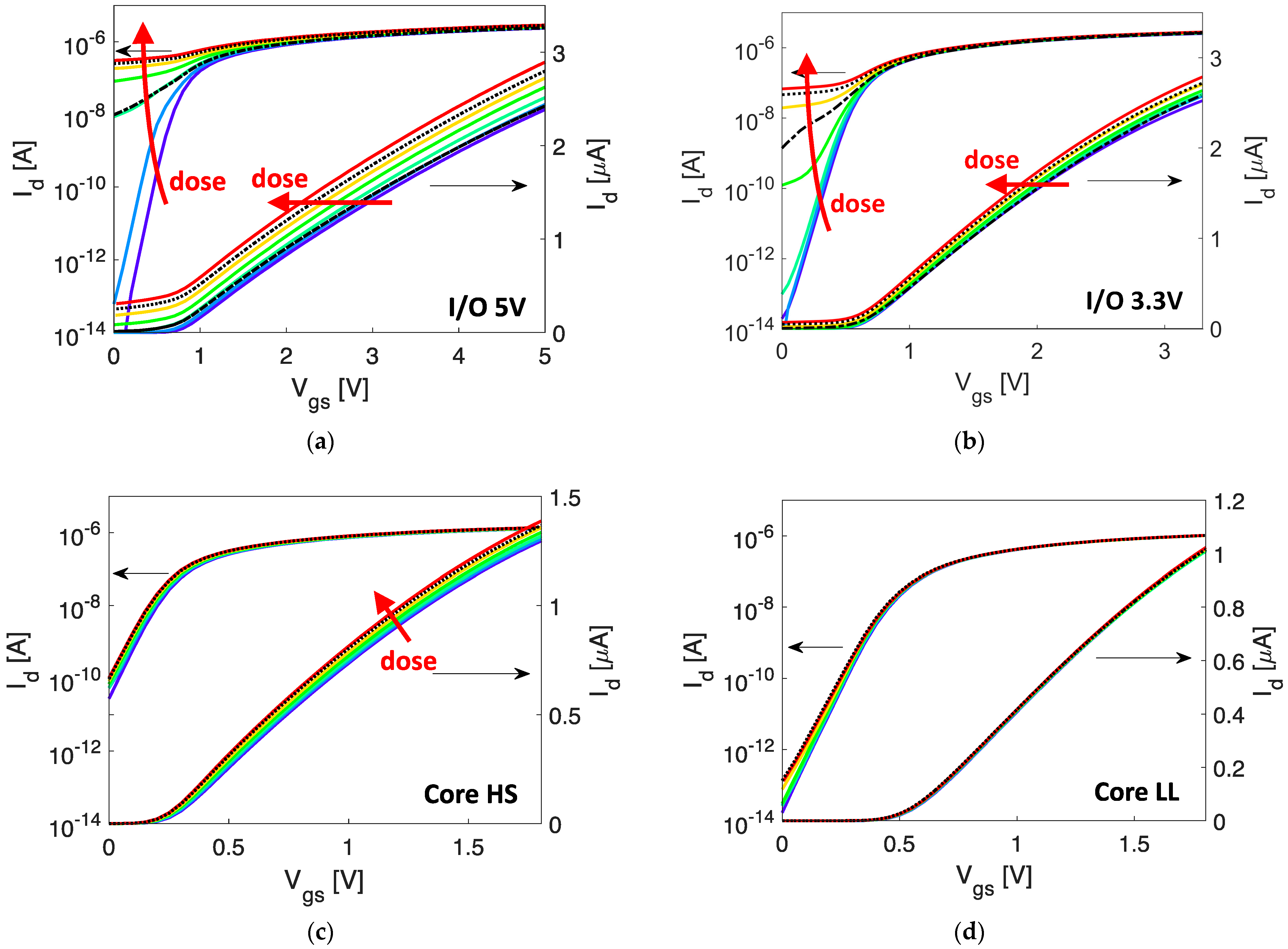
3.2. TID Effects on I/O and Core nMOSFETs
- -
- I/O transistors degrade more than core devices, mainly due to a large negative Vth shift and an increase in the subthreshold leakage current Ioff.
- -
- The TID degradation of core devices is modest and related to variations in gm.
- -
- Low-leakage (LL) core devices show a higher TID tolerance than that of high-speed (HS) core devices.
3.3. Channel-Width-Dependent Effects
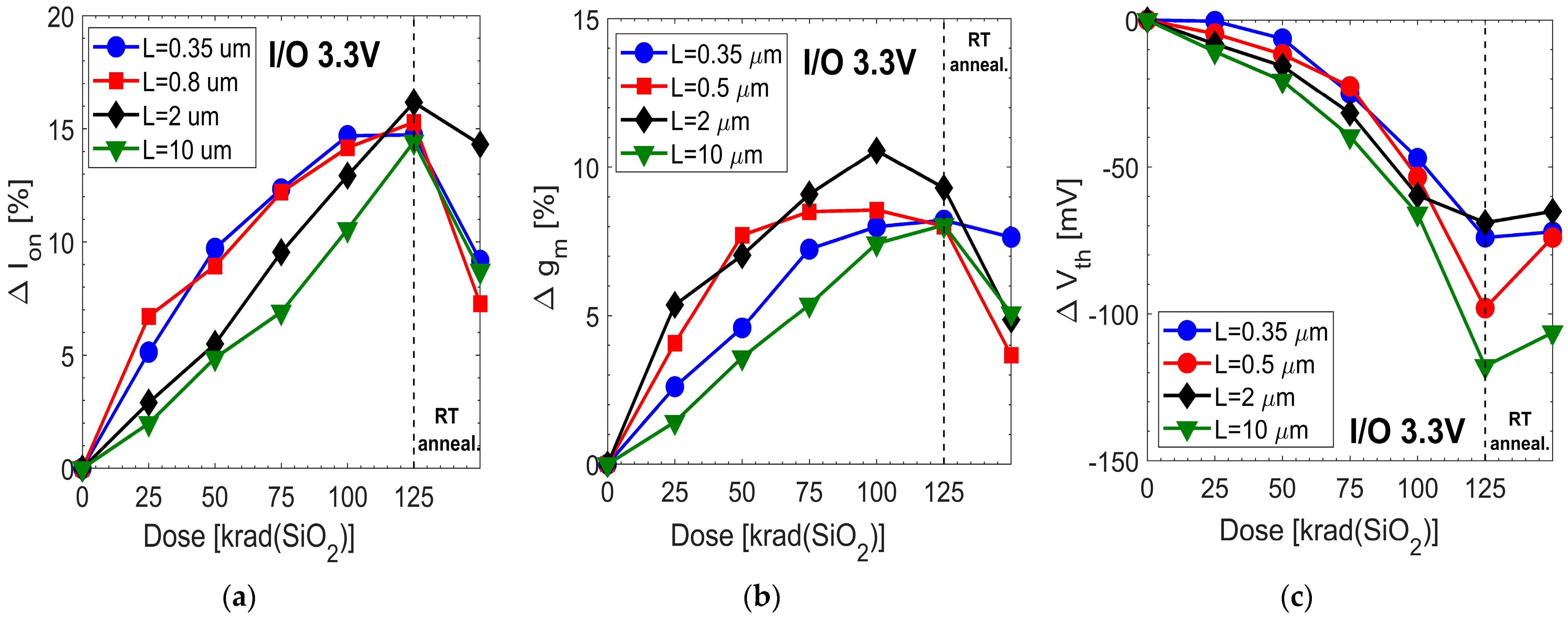
3.4. Channel-Length-Dependent Effects
4. Interpretation of Experimental Results
5. Conclusions
Author Contributions
Funding
Data Availability Statement
Acknowledgments
Conflicts of Interest
References
- Barth, J.L.; Dyer, C.S.; Stassinopoulos, E.G. Space, atmospheric, and terrestrial radiation environments. IEEE Trans. Nucl. Sci. 2003, 50, 466–482. [Google Scholar] [CrossRef]
- Schwank, J.R.; Shaneyfelt, M.R.; Dodd, P.E. Radiation hardness assurance testing of microelectronic devices and integrated circuits: Radiation environments, physical mechanisms, and foundations for hardness assurance. IEEE Trans. Nucl. Sci. 2013, 60, 2074–2100. [Google Scholar] [CrossRef]
- Barnaby, H.J. Total-ionizing-dose effects in modern CMOS technologies. IEEE Trans. Nucl. Sci. 2006, 53, 3103–3121. [Google Scholar] [CrossRef]
- Schwank, J.R. Radiation effects in MOS oxides. IEEE Trans. Nucl. Sci. 2008, 55, 1833–1853. [Google Scholar] [CrossRef]
- Fleetwood, D.M. Radiation Effects in a post-Moore word. IEEE Trans. Nucl. Sci. 2021, 68, 509–545. [Google Scholar] [CrossRef]
- Manghisoni, M.; Ratti, L.; Re, V.; Speziali, V.; Traversi, G.; Candelori, A. Comparison of ionizing radiation effects in 0.18 and 0.25 μm CMOS technologies for analog applications. IEEE Trans. Nucl. Sci. 2003, 50, 1827–1833. [Google Scholar] [CrossRef]
- Seo, D.; Trang, L.D.; Han, J.-W.; Kim, J.; Lee, J.; Lee, S.; Chang, I.-J. Total Ionizing Dose Effect on Ring Oscillator Frequency in 28-nm FD-SOI Technology. IEEE Electron. Device Lett. 2018, 39, 1728–1731. [Google Scholar] [CrossRef]
- Ma, T.; Bonaldo, S.; Mattiazzo, S.; Baschirotto, A.; Enz, C.; Paccagnella, A.; Gerardin, S. TID degradation mechanisms in 16-nm bulk FinFETs irradiated to ultrahigh doses. IEEE Trans. Nucl. Sci. 2021, 68, 1571–1578. [Google Scholar] [CrossRef]
- Gorchichko, M.; Zhang, E.X.; Wang, P.; Bonaldo, S.; Schrimpf, R.D.; Reed, R.A.; Linten, D.; Mitard, J.; Fleetwood, D.M. Total-ionizing-dose response of highly scaled gate-all-around Si nanowire CMOS transistors. IEEE Trans. Nucl. Sci. 2021, 68, 687–696. [Google Scholar] [CrossRef]
- Bonaldo, S.; Gorchichko, M.; Zhang, E.X.; Ma, T.; Matiazzo, S.; Bagatin, M.; Paccagnella, A.; Gerardin, S.; Schrimpf, R.D.; Reed, R.A.; et al. TID effects in highly scaled gate-all-around Si nanowire CMOS transistors irradiated to ultrahigh doses. IEEE Trans. Nucl. Sci. 2022, 69, 1444–1452. [Google Scholar] [CrossRef]
- Benedetto, J.M.; Boesch, H.E.; McLean, F.B.; Mize, J.P. Hole removal in thin-gate MOSFETs by tunneling. IEEE Trans. Nucl. Sci. 1985, 2, 3916–3920. [Google Scholar] [CrossRef]
- Fleetwood, D.M. ’Border traps’ in MOS devices. IEEE Trans. Nucl. Sci. 1992, 39, 269–271. [Google Scholar] [CrossRef]
- Fleetwood, D.M.; Winokur, P.S.; Reber, R.A., Jr.; Meisenheimer, T.L.; Schwank, J.R.; Shaneyfelt, M.R.; Riewe, L.C. Effects of oxide traps, interface traps, and “border traps” on metal-oxide-semiconductor devices. J. Appl. Phys. 1993, 73, 5058. [Google Scholar] [CrossRef]
- Ajayan, J.; Nirmal, D.; Tayal, S.; Bhattacharya, S.; Arivazhagan, L.; Augustine Fletcher, A.S.; Murugapandiyan, P.; Ajitha, D. Nanosheet field effect transistors-A next generation device to keep Moore’s law alive: An intensive study. Microelectron. J. 2021, 114, 105141. [Google Scholar] [CrossRef]
- Gaillardin, M.; Goiffon, V.; Girard, S.; Martinez, M.; Magnan, P.; Paillet, P. Enhanced radiation-induced narrow channel effects in commercial 0.18 μm bulk technology. IEEE Trans. Nucl. Sci. 2011, 58, 2807–2815. [Google Scholar] [CrossRef]
- Faccio, F.; Michelis, S.; Cornale, D.; Paccagnella, A.; Gerardin, S. Radiation-induced short channel (RISCE) and narrow channel (RINCE) effects in 65 and 130 nm MOSFETs. IEEE Trans. Nucl. Sci. 2015, 62, 2933–2940. [Google Scholar] [CrossRef]
- Chatterjee, I.; Zhang, E.X.; Bhuva, B.L.; Reed, R.A.; Alles, M.L.; Mahatme, N.N.; Ball, D.R.; Schrimpf, R.D.; Fleetwood, D.M.; Linten, D.; et al. Geometry Dependence of Total-Dose Effects in Bulk FinFETs. IEEE Trans. Nucl. Sci. 2014, 61, 2951–2958. [Google Scholar] [CrossRef]
- Bonaldo, S.; Ma, T.; Mattiazzo, S.; Baschirotto, A.; Enz, C.; Fleetwood, D.M.; Paccagnella, A.; Gerardin, S. DC response, low-frequency noise, and TID-induced mechanisms in 16-nm FinFETs for high-energy physics experiments. Nucl. Instrum. Methods. Phys. Res. B. 2022, 1033, 166727. [Google Scholar] [CrossRef]
- Bonaldo, S.; Zhao, S.E.; O’Hara, A.; Gorchichko, M.; Zhang, E.X.; Gerardin, S.; Paccagnella, A.; Waldron, N.; Collaert, N.; Putcha, V.; et al. Total-ionizing-dose effects and low-frequency noise in 16-nm InGaAs FinFETs with HfO2/Al2O3 dielectrics. IEEE Trans. Nucl. Sci. 2019, 67, 210–220. [Google Scholar] [CrossRef]
- Zhao, S.E.; Bonaldo, S.; Wang, P.; Zhang, E.X.; Waldron, N.; Collaert, N.; Putcha, V.; Linten, D.; Gerardin, S.; Paccagnella, A.; et al. Total-ionizing-dose effects on InGaAs FinFETs with modified gate-stack. IEEE Trans. Nucl. Sci. 2019, 67, 253–259. [Google Scholar] [CrossRef]
- Duan, G.X.; Zhang, C.X.; Zhang, E.X.; Hachtel, J.; Fleetwood, D.M.; Schrimpf, R.D.; Reed, R.A.; Alles, M.L.; Pantelides, S.T.; Bersuker, G.; et al. Bias Dependence of Total Ionizing Dose Effects in SiGe-MOS FinFETs. IEEE Trans. Nucl. Sci. 2014, 61, 2834–2838. [Google Scholar] [CrossRef]
- Faccio, F.; Cervelli, G. Radiation-induced edge effects in deep submicron CMOS transistors. IEEE Trans. Nucl. Sci. 2005, 52, 2413–2420. [Google Scholar] [CrossRef]
- Xi, S.; Zheng, Q.; Lu, W.; Cui, J.; Wei, Y.; Guo, Q. Modelling of TID-induced leakage current in ultra-deep submicron SOI NMOSFETs. Microelectron. J. 2020, 102, 104829. [Google Scholar] [CrossRef]
- Shaneyfelt, M.R.; Dodd, P.E.; Draper, B.L.; Flores, R.S. Challenges in hardening technologies using shallow-trench isolation. IEEE Trans. Nucl. Sci. 1998, 45, 2584–2592. [Google Scholar] [CrossRef]
- McLain, M.L.; Barnaby, H.J.; Schlenvogt, G. Effects of channel implant variation on radiation-induced edge leakage currents in n-Channel MOSFETs. IEEE Trans. Nucl. Sci. 2017, 64, 2235–2241. [Google Scholar] [CrossRef]
- Gerardin, S.; Gasperin, A.; Cester, A.; Paccagnella, A.; Ghidini, G.; Candelori, A.; Bacchetta, N.; Bisello, D.; Glaser, M. Impact of 24-GeV proton irradiation on m CMOS devices. IEEE Trans. Nucl. Sci. 2006, 53, 1917–1922. [Google Scholar] [CrossRef]
- Faccio, F.; Borghello, G.; Lerario, E.; Fleetwood, D.M.; Schrimpf, R.D.; Gong, H.; Zhang, E.X.; Wag, P.; Michelis, S.; Geradin, S.; et al. Influence of LDD spacers and H+ transport on the total-ionizing-dose response of 65-nm MOSFETs irradiated to ultrahigh doses. IEEE Trans. Nucl. Sci. 2018, 65, 164–174. [Google Scholar] [CrossRef]
- Bonaldo, S.; Gerardin, S.; Jin, X.; Paccagnella, A.; Faccio, F.; Borghello, G.; Fleetwood, D. Charge buildup and spatial distribution of interface traps in 65 nm pMOSFETs irradiated to ultra-high Doses. IEEE Trans. Nucl. Sci. 2019, 66, 1574–1583. [Google Scholar] [CrossRef]
- Arora, R.; Simoen, E.; Zhang, E.X.; Fleetwood, D.M.; Schrimpf, R.D.; Galloway, K.F.; Choi, B.K.; Mitard, J.; Meuris, M.; Claeys, C.; et al. Effects of halo doping and Si capping layer thickness on total-dose effects in Ge p-MOSFETs. IEEE Trans. Nucl. Sci. 2010, 57, 1933–1939. [Google Scholar] [CrossRef]
- Esqueda, I.S.; Barnaby, H.J.; Alles, M.L. Two-dimensional methodology for modeling radiation-induced off-state leakage in CMOS technologies. IEEE Trans. Nucl. Sci. 2005, 52, 2259–2264. [Google Scholar] [CrossRef]
- Bonaldo, S.; Mattiazzo, S.; Enz, C.; Baschirotto, A.; Fleetwood, D.M.; Paccagnella, A.; Gerardin, S. Ionizing-radiation response and low-frequency noise of 28-nm MOSFETs at ultrahigh doses. IEEE Trans. Nucl. Sci. 2020, 67, 1302–1311. [Google Scholar] [CrossRef]
- Rezzak, N.; Alles, M.L.; Schrimpf, R.D.; Kalemeris, S.; Massengill, L.W.; Sochacki, J.; Barnaby, H.J. The sensitivity of radiation-induced leakage to STI topology and sidewall doping. Microel. Rel. 2011, 51, 889–894. [Google Scholar] [CrossRef]
- Bonaldo, S.; Mattiazzo, S.; Enz, C.; Baschirotto, A.; Paccagnella, A.; Jin, X.; Gerardin, S. Influence of halo implantations on the total ionizing dose response of 28-nm pMOSFETs irradiated to ultrahigh doses. IEEE Trans. Nucl. Sci. 2019, 66, 82–90. [Google Scholar] [CrossRef]
- Bisello, D.; Candelori, A.; Kaminski, A.; Litovchenko, A.; Noah, E.; Stefanutti, L. X-ray radiation source for total dose radiation studies. Rad. Phys. Chem. 2004, 71, 713–715. [Google Scholar] [CrossRef]
- Total Dose Steady-State Irradiation Test Method. ESCC Basic Specification No. 22900, No. 5, European Space Agency. June 2016. Available online: http://escies.org/escc-specs/published/22900.pdf (accessed on 28 December 2022).
- Dressendorfer, P.V.; Soden, J.M.; Harrington, J.J.; Nordstrom, T.V. The effects of test conditions on MOS radiation-hardness results. IEEE Trans. Nucl. Sci. 1981, 28, 4281–4287. [Google Scholar] [CrossRef]
- Winokur, P.S.; Schwank, J.R.; McWhorter, P.J.; Dressendorfer, P.V.; Turpin, D.C. Correlating the Radiation Response of MOS Capacitors and Transistors. IEEE Trans. Nucl. Sci. 1984, 31, 1453–1460. [Google Scholar] [CrossRef]
- Johnson, A.H.; Swimm, R.T.; Thorbourn, D.O.; Adell, P.C.; Rax, B.G. Field dependence of charge yield in silicon dioxide. IEEE Trans. Nucl. Sci. 2014, 61, 2818–2825. [Google Scholar] [CrossRef]
- Borse, D.G.; Rani KN, M.; Jha, N.K.; Chandorkar, A.N.; Vasi, J.; Ramgopal Rao, V.; Cheng, B.; Woo, J.C.S. Optimization and realization of sub-100-nm channel length single halo p-MOSFETs. IEEE Trans. Nucl. Sci. 2002, 49, 1077–1079. [Google Scholar] [CrossRef]
- Rios, R.; Shih, W.K.; Shah, A.; Mudanai, S.; Packan, P.; Sandford, T.; Mistry, K. A three-transistor threshold voltage model for halo processes. In Proceedings of the International Electron Devices Meeting, San Francisco, CA, USA, 8–11 December 2002; pp. 113–116. [Google Scholar]
- Meer, H.; Henson, K.; Lyu, J.; Rosmeulen, M.; Kubicek, S.; Collaert, N.; De Meyer, K. Limitations of shift-and-ratio based Leff extraction techniques for MOS transistors with halo or pocket implants. IEEE Elec. Dev. Let. 2000, 21, 133–136. [Google Scholar] [CrossRef]
- Kunikiyo, T.; Mitsui, K.; Fujinaga, M.; Uchida, T.; Kotani, N. Reverse short-channel effect due to lateral diffusion of point-defect induced by source/drain ion implantation. IEEE Trans. Comput. Aided Des. Integr. Circuits Syst. 1994, 13, 507–514. [Google Scholar] [CrossRef]
- Turowski, M.; Raman, A.; Schrimpf, R. Nonuniform total-dose induced charge distribution in shallow-trench isolation oxides. IEEE Trans. Nucl. Sci. A 2004, 51, 3166–3171. [Google Scholar] [CrossRef]








| MOSFET Type | #1 Narrow/Short W/L [μm] | #2 Narrow/Long W/L [μm] | #3 Large/Long W/L [μm] |
|---|---|---|---|
| I/O 5V nMOSFET | 0.8/0.8 | 0.8/10 | 10/10 |
| I/O 3.3V nMOSFET | 0.8/0.35 | 0.8/10 | 10/10 |
| Core HS 1.8V nMOSFET | 0.32/0.15 | 0.32/10 | 10/10 |
| Core LL 1.8V nMOSFET | 0.32/0.15 | 0.32/10 | 10/10 |
Disclaimer/Publisher’s Note: The statements, opinions and data contained in all publications are solely those of the individual author(s) and contributor(s) and not of MDPI and/or the editor(s). MDPI and/or the editor(s) disclaim responsibility for any injury to people or property resulting from any ideas, methods, instructions or products referred to in the content. |
© 2023 by the authors. Licensee MDPI, Basel, Switzerland. This article is an open access article distributed under the terms and conditions of the Creative Commons Attribution (CC BY) license (https://creativecommons.org/licenses/by/4.0/).
Share and Cite
Bonaldo, S.; Mattiazzo, S.; Bagatin, M.; Paccagnella, A.; Margutti, G.; Gerardin, S. Influence of Bulk Doping and Halos on the TID Response of I/O and Core 150 nm nMOSFETs. Electronics 2023, 12, 543. https://doi.org/10.3390/electronics12030543
Bonaldo S, Mattiazzo S, Bagatin M, Paccagnella A, Margutti G, Gerardin S. Influence of Bulk Doping and Halos on the TID Response of I/O and Core 150 nm nMOSFETs. Electronics. 2023; 12(3):543. https://doi.org/10.3390/electronics12030543
Chicago/Turabian StyleBonaldo, Stefano, Serena Mattiazzo, Marta Bagatin, Alessandro Paccagnella, Giovanni Margutti, and Simone Gerardin. 2023. "Influence of Bulk Doping and Halos on the TID Response of I/O and Core 150 nm nMOSFETs" Electronics 12, no. 3: 543. https://doi.org/10.3390/electronics12030543
APA StyleBonaldo, S., Mattiazzo, S., Bagatin, M., Paccagnella, A., Margutti, G., & Gerardin, S. (2023). Influence of Bulk Doping and Halos on the TID Response of I/O and Core 150 nm nMOSFETs. Electronics, 12(3), 543. https://doi.org/10.3390/electronics12030543

