Abstract
Road infrastructure is a key public asset because it benefits the social and economic development of any country. It plays an important role in the development of the industrial complex and the production sector, and the surfaces of transport roads should be of high quality and have a long service life. Road infrastructure, like all infrastructure, requires preservation, maintenance and repair. There are special requirements for roadways that must be observed during construction or repair. The uncertainty of the composition, temperature sensitivity and viscoelastic characteristics of road materials make the structural analysis of pavement very difficult compared to other civil structures, such as bridges, tunnels and buildings. For this reason, the question of how to improve fiber sensors based on fiber Bragg grating (FBG) arose. The novelty of this study is to modernize fiber sensors based on FBG so that they display deformation, stress and displacement, temperature and other parameters with much greater accuracy, which would provide a reliable scientific basis for modifying the theory, as well as the use of a fiber sensor based on FBG for simultaneous measurement of deformation and temperature when monitoring the road surface. This article is devoted to a detailed study of the use of fiber-optic sensors (FOS) based on fiber Bragg grating for road surface monitoring. Such a fiber sensor, consisting of a fiber Bragg grating and a pair of grids, can offer the possibility of simultaneous measurement of deformation and temperature for monitoring the pavement. Temperature and deformation measurements were carried out by installing a sensor on the surface of a made asphalt sample. The built-in fiber sensor based on FBG provides important information about how the pavement structure can withstand the load and subsidence of soil and implement road safety and stability measures in a timely manner to evaluate and predict the service life of the pavement. The results of the study showed that the synchronicity, repeatability and linearity of the characteristics of the fiber sensor are excellent. The difference between the experimental and theoretical results was about 7%. Thus, based on the results of the obtained data, the fiber sensor on the FBG can be used for monitoring and designing road surfaces and in general transport infrastructure.
1. Introduction
Currently, the number of vehicles in our country is growing, leading to the activation of monitoring systems that monitor the condition of the road surface. This increase in the number of vehicles on the roads also leads to more damage to the road surface. The condition of the road surface must be accurately assessed to determine the severity and types of the damage to the road surface. The condition of the road surface has a direct impact on road safety, operating costs, driving comfort and economic results in society. Paved and unpaved roads require regular maintenance to ensure and maintain user usability, accessibility and safety. Over time, the road surface deteriorates under the influence of the environment, transport load, temperature and water. Every day, road surfaces are subjected to vibration, deformation and temperature effects. Therefore, monitoring systems are considered an important stage of maintenance processes. To date, various control methods have been developed, which require a great deal of of time to inspect and process the data received, in addition to their cost; additionally, all the roads were built decades ago and require strengthening, restoration and replacement. Damage caused to roads may not be easy to visually observe and assess initially, it is important to detect damage at the early stages of its development [1].
The main common types of asphalt pavement destruction are rutting, cracking and subsidence [2] caused by movement through channels and overloading of the pavement [3]. Pavement design is a process of long-term design evaluation which is necessary to ensure the effective distribution of traffic loads at all levels of the overall road structure. The general construction of the road consists of an upper layer, one or more base layers, a base and a roadbed. Stresses and deformations occurring at these levels should be within the capabilities of the materials used. Pavement design is the creation of an engineering structure that will efficiently distribute transport loads within the selected load parameters by minimizing the cost of the pavement over the entire service life, including work costs, user costs, environmental impact and so on. To monitor the road surface, it is necessary to obtain a complete analysis not only from above, but preferably from inside the road surface. Currently, effective and reliable sensing elements are in great demand for predicting mechanical properties and the occurrence of damage to road surfaces.
The development of information and sensor technologies has led to the invention of advanced pavement monitoring systems in real time.
In the research paper [4], the authors propose, in order to obtain asphalt pavement texture information in real time and accurately monitor the anti-skid performance of the road pavement, an automatic close-range photogrammetry system (ACRP System) was proposed and established based on three-camera close-range photogrammetry (CRP) technology. Automatic image acquisition and 3D reconstruction were achieved by the ACRP system. By setting up an automatic close-range photogrammetry platform to fix the positions of three cameras, the camera parameters can be acquired as known values for the following texture reconstruction work. Thus, the camera calibration process can be omitted so that the efficiency of the entire process is improved. In addition, the shadowless light source effect is introduced to eliminate the possibility of shadow. By adjusting the camera pitch and the depression angle, the asphalt pavement texture information will be completely covered by the three cameras, which ensures the accuracy of the following texture reconstruction. The sand patch testing method and laser scanning method (ZGScan) were used to collect the on-site data for a comparison test of the asphalt pavement texture.
This proposed method can be also used in real-time identification of pavement texture information and the establishment of a high-precision map, both of which have positive impacts on the braking and driving safety of autonomous vehicles.
Various types of sensors can also be used to monitor road surfaces in real time. Different kinds of sensors can be used to monitor pavements. They can be classified in two categories: electrical sensors and optical fiber sensors. Classical electrical sensors used for pavement instrumentation include displacement sensors, used to measure vertical displacements; strain gauges, used to measure horizontal strains in bound pavement layers; temperature probes; and pressure cells, used to measure vertical stresses or pressures in unbound pavement layers. Fiber sensors have more attractive advantages compared to traditional sensors. Embedded fiber sensors usually have a high cost and provide information about the road surface only in fixed places, but taking into account all the advantages of fiber sensors they can be used as an effective means for monitoring. In this paper, the sensory method of monitoring road surfaces is considered.
A significant number of innovative sensor systems based on fiber sensors have been developed, which have a number of distinctive advantages, such as small size, light weight, resistance to electromagnetic interference [5,6,7,8,9], corrosion [5,6,10], the ability to conduct distributed and long-range measurements [11,12], harsh environmental conditions and resistance to high temperatures [13], high accuracy, easy integration [11,14] and high sensitivity [5,12,15], which can be effectively used for the necessary applications. Many fiber sensor-based monitoring systems have been developed for continuous measurement and real-time evaluation of various engineering structures, such as bridges, buildings, tunnels, pipelines, wind turbines, railway and highway infrastructure and geotechnical structures. The on-site pavement detection technology is based on a wide selection of sensors (humidity, pressure, deformation, temperature, etc.) capable of continuously and in real time collecting information about the characteristics of the pavement and the environment, overcoming the aforementioned limitations of traditional external methods. In this scientific study, we will provide a detailed description of the basic principles of operation of a fiber-optic sensor (FOS) based on a fiber Bragg grating (FBG) and consider the use of fiber temperature and strain sensors based on fiber Bragg gratings in pavement monitoring systems to find out whether these systems provide reproducible and suitable results for long-term monitoring.
2. Materials and Methods
Monitoring the condition of the road surface plays an important role in ensuring the safety and comfort of driving for road users, from pedestrians to drivers. Modern road surfaces are multi-layered structures, which are a combination of layers of granular and higher-quality materials such as asphalt, binder and concrete. The Figure 1 shows an example of the construction of a road surface.
Figure 1.
Road surface construction.
Dirt or gravel roads are usually made from a mixture of natural materials consisting of gravel and shallow slopes, such as silt and clay, which are used to increase the adhesion of gravel roads. This type of road usually consists of three layers: a road surface, a layer of gravel and a layer of roadbed. The surface layer consists of sandy, rocky or rocky slopes, depending on the geographical location of the area. Unpaved roads cannot provide high speed or a safe surface for vehicles and pedestrians.
Asphalt is a composite material commonly used to cover roads, parking lots, airports and in bulk dams. It consists of a mineral aggregate bound together with an asphalt binder, laid in layers and rammed.
The concrete pavement of the road is a cement–concrete monolithic road of high quality. Sometimes a concrete road surface means a road made of concrete slabs, which is not monolithic, but such a structure belongs to the category of temporary highways. The concrete pavement of the road has high performance characteristics, which makes it possible to use it for the construction of highways with high traffic congestion.
The complexity of pavement materials due to the uncertainty of composition, temperature sensitivity, viscoelasticity characteristics [2] and compaction level [16] is a problem that hinders the development of effective means of damage detection and monitoring of road structures.
Today, pavement design is considered an important factor in maintaining the best characteristics of infrastructure in cities and ensuring the safety of road users. The road surface deteriorates and, consequently, affects the quality of driving and the safety of users. Consequently, the need for a significant monitoring system becomes necessary for the application of appropriate maintenance processes in accordance with the type of faults.
Figure 2 shows the main types of destruction of road surfaces.
Figure 2.
The main types of road destruction: (a)—track, (b)—break and subsidence of the roadbed, (c)—pothole, (d)—open cracks, (e)—grid of cracks, (f)—crumbling of asphalt concrete.
In [4], the authors propose two methods for obtaining information about the texture of the pavement: the contact measurement method and the non-contact measurement method. Contact measurement refers to field tests using traditional equipment, including the sand patch testing method (volume method), outflow meter method (drainage method), British pendulum tester method, dynamic friction tester method, GripTester method, etc. Non-contact measurement methods mainly include the digital gray image method, industrial CT scanning method, laser measurement method, close-range photogrammetry (CRP) method, etc. These methods all involve digital reconstruction of 3D models of pavement surface texture.
Road surface monitoring is a visual control of the surface, monitoring traffic and weather, as well as measurements, on the road surface. Usually, this monitoring is carried out by an operator from a moving vehicle or using automated sensors installed on the vehicle. For more accurate diagnostics, sensors can be embedded in the road surface. Over the past few decades, a wide variety of sensors have been developed to measure the distribution of deformations and stresses in pavement structures. The data obtained as a result of various on-site measurements (stress, deformation, displacement, etc.) are necessary for a better understanding of the behavior of the pavement and identification of the main mechanism of destruction, which is difficult to determine due to the variability of the pavement, sensitivity to temperature and viscoelasticity of the pavement materials. By combining these data with numerical models [17,18], it is possible to predict damage to the road surface more reliably.
Sensors used to monitor the road surface must be compatible with the heterogeneous nature and mechanical properties of materials and take into account the unique features of the road surface. They must meet the following requirements:
- Sensors should be as small as possible so that they are not too intrusive in the layers of the road surface;
- To measure the deformation, the stiffness of the sensors must match the stiffness of the pavement mixture in order to properly measure the mechanical properties of the pavement;
- Sensors should extract the highest loads experienced during the construction of the pavement (loads such as temperature and compression);
- For long-term monitoring of the road surface, the sensors must be resistant to corrosion and thermomechanical conditions.
Fiber sensors meet these requirements.
3. Results
Fiber sensors are used in road infrastructure due to their unique advantages: small size, lightweight, high sensitivity, corrosion resistance, immunity to electromagnetic interference, high throughput, ability to integrate into an aggressive environment, ease of installation and long service life. These advantages can be a potential solution for reliable sensors for long-term monitoring of the road surface. Fiber sensors can be used to perform local or distributed measurements with high accuracy over a wide range of voltages and temperatures. Fiber sensor technology has already been used for experimental investigation of the behavior of the road surface [19,20] and monitoring of the road surface [21,22] with positive results. The most proven, of course, is the technology of using a fiber sensor based on a fiber Bragg grating [23].
Typically, such sensors are used in civil engineering and are widely used in the field to measure loads, deformations and temperature. A single fiber sensor based on FBG can potentially provide many traffic parameters, such as weight, speed and type of vehicle, road surface wear and temperature.
Thus, the use of fiber-sensor-based FBG for road surface monitoring can be used as a new research method for a long-term process in real time.
Fiber Bragg grating is a microstructure (several millimeters long) created by modifying a standard single-mode telecommunications fiber doped with germanium using an ultraviolet laser. This microstructure creates a periodic change in the refractive index of the optical fiber. When light travels along the fiber, the Bragg grating reflects a very narrow range of wavelengths; all other wavelengths are transmitted through the grating. The center of this band of reflected wavelengths is known as the Bragg wavelength. The period in FBG increases due to physical stretching or compression of the optical fiber. This change results in a shift in the Bragg wavelength, which is then detected and recorded by the data acquisition system.
To measure the deformation and for use in monitoring the asphalt layer, sensors based on FBG were used and investigated [24].
Several authors have studied the change in deformation when the gap is opened under the influence of a load on the wheel and the detection of road surface precipitation by installing fiber-optic sensors using Brillouin optical time domain analysis technology along the road boundary and on the surface of the road surface [25,26]. Additionally, some studies have experimentally proven that embedded FBG coated with an adhesive polyethylene composite of 5 mm in diameter can potentially directly determine the behavior of asphalt, even if asphalt has a low modulus of elasticity, since flexible FBG has a slight reinforcing effect on the deformation field [27].
The use of sensors based on FBG and Brillouin optical reflectometry could provide information about the sediment of the roadbed and ruts in real time [28]. The potential and feasibility of practical applications have been proven during laboratory tests. FBG sensors can also be applied and work well in harsh environments, can identify weak, compacted areas based on different values of the FBG sensor response and can serve as a long-term monitoring system for the condition of the pavement structure [17].
Figure 3 shows the principle of operation of a fiber sensor based on FBG.
Figure 3.
The principle of operation of fiber sensors based on FBG.
Since we know that the road surface consists of asphalt concrete mixtures and gravel with different particle sizes and, thus, are considered inhomogeneous structures, it is quite difficult to develop an accurate theory and numerical methods to describe the inhomogeneity of these mixtures, and the theoretical and experimental results obtained do not always correspond to each other. The uncertainty of the composition of the asphalt concrete mixture, the temperature sensitivity and the viscoelastic characteristics of road materials affect the characteristics of sensors and the accuracy of measurements, which, in turn, affects the assessment of the characteristics of the road surface. Fiber sensors based on FBG are difficult to integrate directly into the road surface due to the rigid construction of the road surface and operating conditions due to the risk of damage to the optical fiber. FBG is quite fragile and can easily break under any load. To increase the reliability, elasticity and durability of sensors based on FBG for road surface monitoring, usually packed in one or more protective packaging layers.
There are numerous studies of methods of packaging fiber sensors and sensors based on FBG, including steel rod [29], fiber-reinforced polymer (FRP) [30], steel sheet [31], bending device [32], pipe [33], polypropylene (PP) [34], glue [35], geotextiles [36] and cables [25].
In this work, gratings with organic modulation and ceramic coating were used for proper protection, embedded in a round profile made of fiberglass-reinforced plastic, which guarantees the accuracy of measurements of both deformations and temperature.
Many sensors can measure only point deformations inside the pavement or deformation on the surface, as well as the temperature effect on the pavement separately.
Sensors based on FBG are sensitive to deformation and temperature. This allows for use of FBG for temperature monitoring, but it also means that it is good practice to combine a temperature sensor with a strain sensor to compensate for the effect of temperature on the strain sensor. In addition to deformation and temperature, sensors based on FBG can be used in transducers to monitor a variety of other parameters, such as tilt, acceleration, pressure and other similar parameters.
To distinguish the temperature and deformation parameters in the fiber Bragg grating, core–shell mode coupling is used.
The core and shell modes exhibit different heat sensitivity, while the sensitivity to deformation is approximately the same. Monitoring of the resonance of the core–core mode coupling and the resonance of the core–shell mode coupling in the spectrum of one FBG makes it possible to separate the wavelength shifts caused by temperature and deformation.
Mathematical modeling allows one to determine several properties of sensors. For sensors, the relationships linking individual quantities and parameters are very complex. Therefore, modeling of such sensors requires a matrix approach.
Matrix equations of sensors with Bragg gratings allow us to determine the relations describing the method of processing the measured values (for example, deformation and temperature at the same time) on the values of the grating parameters, and on their basis to determine this value.
Let us consider the analysis of the construction of matrix equations for sensor systems used in FBG for measuring deformation and temperature. Due to the large number of FBG systems currently being developed, used to measure deformation and temperature, they have been reviewed, analyzed and classified based on various criteria. Highlights include the operating principle used in the sensor and the type of grating parameter that is used to determine the measured size, as well as the type and number of grilles used.
To obtain matrix equations of systems with FBG for simultaneous measurement of deformation and temperature, one must begin by recording the dependence on the Bragg wavelength for a homogeneous grating, which takes the following form:
where neff is the effective refractive index in the core of the fibers on which the grating is written and Λ is the grating period. The appearance of changes in the temperature of the ΔT and the deformation of the Δε causes a change in the Bragg wavelength in accordance with the dependence:
in which T denotes the grating temperature and ε is the relative deformation described by the dependence:
where determines the change in the length of the gratings and —is the initial length.
λB = 2neff·Λ,
Let P1 and P2 denote two different parameters of the Bragg gratings, which will change as a result of the induced deformation or temperature change of the gratings. The matrix equation of temperature and strain sensor processing takes the following form:
where KT1 is the sensitivity of parameter P1 to temperature, KT2 is the sensitivity of parameter P2 to temperature, Kε1 is the sensitivity of parameter P1 to deformation and Kε2 is the sensitivity of parameter P2 to deformation.
Analyzing Equation (4), it can be seen that simultaneous measurement of deformation and temperature is possible if, for a given measuring system, we determine two different grating parameters (or a system of several grating) that show different sensitivities to the quantities under consideration, and the inequality P1 ≠ P2 is satisfied. The analysis of Equation (4) also allows us to conclude that, knowing (or determining, for example, experimentally) the sensitivity of the gentle parameters P1 and P2 to deformation, KT1, Kε1 and KT2, Kε2, respectively, it is possible to determine temperature and deformation simultaneously.
Defining the algebraic complements of all sensitive KT1, Kε1 and KT2, Kε2 from Equation (4) produces:
d11 = (−1)1+1 Kε2 = Kε2, d12 = (−1)1+2 KT2 = −KT2,
d21 = (−1)2+1 Kε1 = −Kε1, d22 = (−1)2+2 KT1 = KT1,
When the nonzero condition of the determinant of the matrix from Equation (4) is met, it allows the construction of its complement matrix based on Equation (5), which can be written as:
where D is the determinant of the matrix from Equation (4) and is equal to:
D = KT1, Kε2 − KT2, Kε1,
The condition of various sensitive ratios of parameters P1 and P2 to temperature and deformation makes it possible to simultaneously determine the deformation and temperature by measuring the values of these parameters. Assuming that the measured parameters P1 and P2 are the shifts of the Bragg wavelength in the wavelength ΔλB1 and in the wavelength ΔλB2, and knowing the values of the constants of the fiber on which the mesh is recorded, we can determine the theoretical values of sensitivity to temperature and deformation. The sensitivity of the wavelength to temperature is determined by the dependence:
where kT is the coefficient of relative sensitivity to temperature, equal to:
The parameter —is the coefficient of thermal expansion of the optical fiber (for quartz glass, its value is 0.55·10−6 K−1), and αn is the coefficient of thermo-optical fiber (αn = 8.6·10−6 K−1).
The sensitivity of the wavelength to deformation is determined, in turn, as follows:
in which kε is the coefficient of relative sensitivity to deformation and is equal to:
where pe is the elastooptic coefficient describing the change in the refractive index of the fiber under the action of deformation (pe ≈ 0.22).
kε = 1 − pe,
Based on the analysis of Equations (8) and (10), it is possible to determine the deformation and temperature sensitivity of the gratings for a given Bragg wavelength. Substituting Equation (9) into Equations (8) and (11) into (10) and taking into account the values of the characteristic coefficients, the theoretical values of the grating’s sensitivity to temperature and deformation are obtained, equal, respectively, to:
KT = 14.2 pm/K and Kε = 1.2 nm/mε.
Since the grating reacts to changes in deformation and temperature by shifting the Bragg wavelength, according to Equation (2), it can be assumed that the parameters P1 and P2, on the basis of which the values under consideration are determined, will be shifts of the Bragg wavelength; for example, a system of two gratings at the output ΔλB1 and at the output ΔλB2. In this situation, a differential system can be used in which the Bragg wavelength shift of two gratings ΔλB1 and ΔλB2 is used due to temperature changes [37], deformation [38], force [39] or dispersion [40]. Measurements of two different Bragg wavelengths are also used [41].
Simultaneous Measurement of Deformation and Temperature Using Fiber Bragg Gratings
Based on the mathematical model, we will consider the option of simultaneous FBG with different Bragg wavelengths. Experimental research was carried out in the Laboratories of Optoelectronics at the Electric Engineering and Computer Sciences Faculty of Lublin Technical University.
To conduct the experiment, a fiber sensor based on FBG was installed on the surface of asphalt concrete samples to test reliability. Several temperature ranges were used during the tests. The sensor’s operating temperature range is −40 °C to +80 °C. The sample was heated, then cooled and used to simulate natural conditions for road surfaces. The deformation measurements of pavement structures were verified by installing a sensor on the surface of an asphalt concrete sample under indirect tensile load conditions.
Since the research was conducted in laboratory conditions, practical applications of sensor technology in the field will be considered in the following studies and publications. When installing a fiber sensor in the field, the following recommendations should be followed:
- -
- Accurate and careful installation in the asphalt layer is necessary to obtain accurate results;
- -
- For the preservation of sensors based on the FBG in the process of laying in the asphalt layer, special protection against very high asphalt temperatures and heavy loads on the seal is required;
- -
- To ensure the accuracy of measurements, it is necessary to exclude voltage deviation, i.e., to level the surface where we install the sensor;
- -
- To obtain reliable data and improve the monitoring of the condition of the pavement, it is possible to provide for the installation of sensors of various layers of asphalt (surface layer, base layer);
- -
- To avoid signal loss when pulling up, cables must be connected together;
- -
- The asphalt mixture should be laid so that the intensity of the coating is not too high to protect the sensors from severe operating conditions. The road surface must be compacted without vibration.
An interrogator system of fiber sensors was used to collect data on deformation and temperature. With relatively long data collection and calculations, we obtained a curve of temperature and strain dependence. An interrogator for fiber Bragg gratings (optical signal measuring converter) is a device that combines software, hardware and fiber-optic means and allows the creation of a luminous flux, analysis and control of spectral characteristics, and control and conversion of optical parameters into a measurable value using special algorithms. The interrogator creates a connection with the top-level control systems, serving as the basis for the creation of a new generation of monitoring systems. The interrogator serves as a key instrument of measurement systems based on fiber sensors, simultaneously registering the readings of each of the connected sensors and transmitting the measured readings to top-level devices (in the simplest case, the operator’s server). The interrogator is manufactured in several versions and can work with fiber sensors based on FBG. The interrogator was created at Lublin Technical University. The general concept of the fiber-optic sensor polling system is shown in Figure 4.
Figure 4.
General concept of the fiber sensor interrogator system.
The schematic block diagram of the entire interrogator system is shown in Figure 5.
Figure 5.
Schematic block diagram of the entire interrogator system.
Various configuration options of the interrogator systems using FBG are shown in Figure 6.

Figure 6.
Various configurations of the interrogator systems (a,b) using conventional fiber sensors based on FBG; (c) using optical sensors based on tilted fiber Bragg grating.
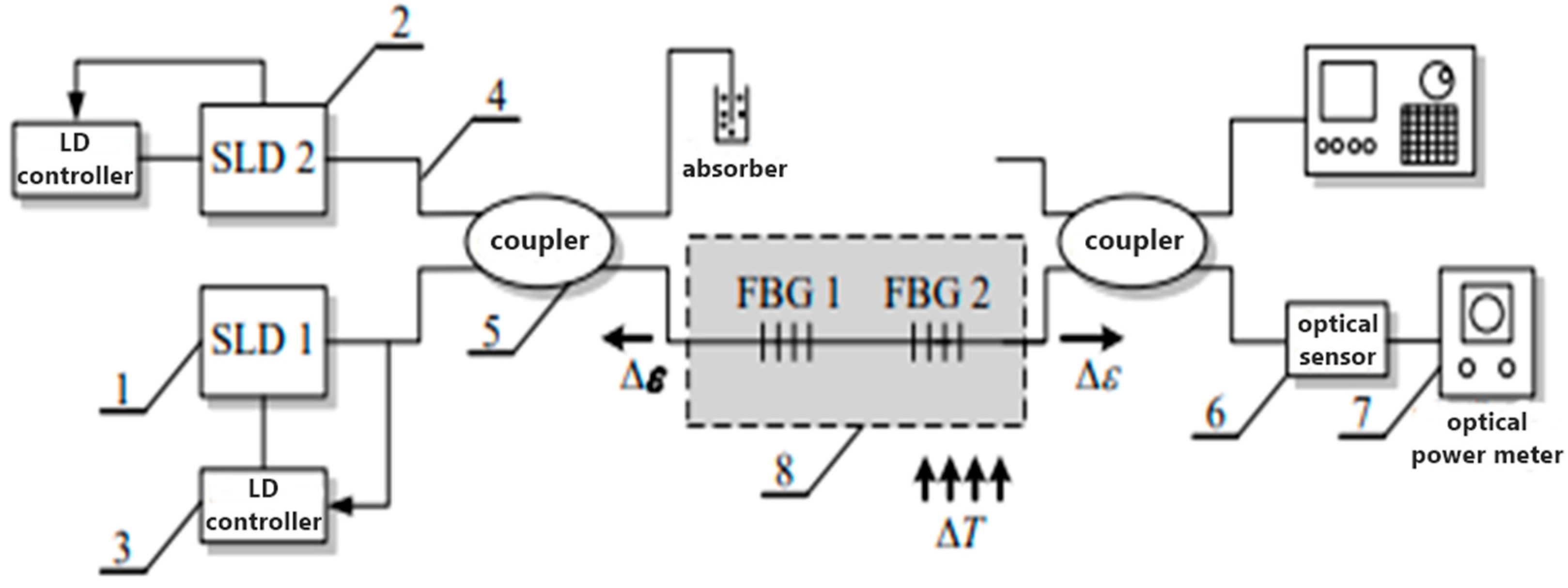
Figure 7 shows a laboratory bench using two FBG with different Bragg wavelengths for simultaneous measurement of deformation and temperature [42].
Figure 7.
The schematic diagram of the measuring system used for simultaneous measurement of deformation and temperature. 1, 2—SLD1 and SLD2-superluminescent diodes; 3—Controller; 4, 5—fiber-optic connector; 6—optical detector; 7—optical power meter; 8—temperature chamber.
The system consists of the following components:
- SLD1 and SLD2-superluminescent diodes at a wavelength of 1325 nm and 1550 nm;
- Controller;
- Fiber optic connector;
- Two grilles, FBG1 and FBG2;
- Optical spectrum analyzer;
- Temperature chamber.
The measurements were carried out in two stages: the first with uniform heating of the entire grid and the second at a certain point of the grid.
The error of the temperature measuring device did not exceed ±0.5 °C at temperatures ranging from 20 °C to 135 °C. Additionally, this stand can be tested at low temperatures. This can be realized using liquid nitrogen and the effect of a heating element. The grate is heated by a resistive heating plate. Temperature control is provided by an autotransformer. Environmental conditions:
- Operating temperature: from +5 to +40 °C;
- Storage temperature: from −5 to +40 °C;
- Humidity: max 70% relative humidity;
- Maximum voltage: +/−1000 µε
- Reflective spectrum: <0.25 nm in 3 dB;
- Reflective: 70–90%;
- Bandwidth (reflection) at −0.5 dB: <0.12 nm;
- Bandwidth (reflection) at −25 dB: 0.5 nm;
- Transmission spectrum: <0.25 nm in 3 dB.
Light is from a configurable super-luminescent diode SLD1 with a central wavelength of 1050 nm and a half-band width (FWHM) equal to 50 nm, controlled by a controller (3 in Figure 7); the power and temperature of the diode are directed by a single-mode fiber SMF 28 to a fiber-optic connector (5 in Figure 7). At the same time, the light from the second SLD2 diode with an average wavelength of 1550 nm and a transmission width of the spectral characteristic equal to 110 nm is directed by the same fiber-optic connector into a system with two grilles: FBG1 and FBG2. The gratings were recorded on a single-mode fiber injected with hydrogen using the phase mask technique in such a way that their Bragg wavelengths were λB1 = 1035.250 nm and λB2 = 1565.035 nm. The signal, after passing through the grating, was integrated using an optical detector, and the spectrum recorded using an optical spectrum analyzer with a resolution of 0.01 nm. The grilles attached to the bracket were placed in a specially designed temperature chamber (8 in Figure 7) with controlled and regulated temperature of the passing air.
For such a system with two Bragg gratings with different wavelengths at different temperatures, the matrix Equation (4) will take the following form:
where and denote a change (understood as a shift) in the Bragg wavelength of the grating FBG1 and FBG2, respectively, KT1 and Kε1 in the system under consideration are the sensitivity of the grating FBG1 to temperature and deformation, respectively, and KT2 and Kε2 denote the sensitivity of the grating FBG2 to temperature and deformation, respectively.
The sensitivity to deformation of both gratings, Kε1 and Kε2, was determined experimentally by measuring the Bragg wavelength shifts of the gratings and inducing their deformation at a constant temperature.
The temperature sensitivities of KT1 and KT2 were determined experimentally by measuring the Bragg wavelength shifts of gratings at different temperatures, but with constant deformation.
The gratings were glued onto a metal sample, which was then subjected to a tensile force of a known value, in the system shown in Figure 8.

Figure 8.
Diagram and photo of the experimental system.
Taking into account the equality of the moments of forces F and Q and the equality of the length of the arms on which the forces act, as well as the amount of stress in the sample and its physical dimensions, it is possible to determine the amount of deformation that the sample will undergo, according to the dependence:
where r2 is the length of the shoulder on which the force Q acts, r1 is the length of the shoulder on which the force F acts, Q is gravity, m is the mass of the weight, r2, g is the acceleration of the earth, s and w are the width and thickness of the sample, respectively (s =10 mm, w = 1 mm), and E is Young’s modulus (E ≈ 20.55·1010 N/m2).
Temperature tests carried out using a thermal chamber (Figure 9) allowed direct temperature measurements, which eliminated the need to determine them based on intermediate values, as was the case in the case of measuring the previous size (deformation)—in accordance with Equation (13).
Figure 9.
Photo of the thermal chamber used in the experiment with the marking characteristic elements. 1—heat chamber, 2—air flow direction, 3—thermometer probe, 4—temperature measurement, 5—lever r1, 6—arm r2, 7—stretched sample.
Performing a series of calibration measurements makes it possible to determine the sensitivity of the gratings to both measured values. Then, based on changing the gratings parameters and inverting the matrix (12), it is possible to simultaneously determine the temperature and deformation. The results of measurements of the wavelength depending on the deformation are shown in Figure 10, and measurements depending on the value of the variable temperature are shown in Figure 11.
Figure 10.
Results of experimental measurements for variable deformation and constant temperature equal to 23.5 °C.
Figure 11.
Results of experimental measurements for variable temperature and constant strain value.
The results obtained during experiments with variable deformation (Figure 10) were subjected to linear regression. Simple ones were assigned, on the basis of which the non-linearity error of the sensor processing characteristic was determined. The nonlinearity is determined by the magnitude of the nonlinearity error calculated in accordance with the dependence (14) [43]:
where is the value of absolute differences, determined by the equation of simple regression, and the straight line obtained from the measurement results. Index i denotes the number of the gratings for which the error is calculated (i = 1 or 2 for FBG1 and FBG2, respectively) and _ and are the maximum and minimum values of the Bragg wavelength shift differences of the i-th grating, respectively.
The values of the nonlinearity errors indicated in this way were the initial = 0.06% and the initial = 0.08% for FBG1 and FBG2, respectively. Pearson’s linear regression correlation coefficient [44] was 0.987 for FBG1 and 0.985 for FBG2.
Based on the slope angle of simple regressions, the values of sensitivity to deformation of the gratings used in the studies were determined. They were, respectively, Kε1 = 0.77 nm/mε and Kε2 = 1.22 nm/mε.
The next step of laboratory research was to determine the errors in the nonlinearity of the processing characteristics of the constructed sensor—this time used to measure temperature. The measurement results are shown in Figure 11. In this case, the nonlinearity errors were 3.43% and 2.36%, and the temperature sensitivities were KT1 = 9.45 pm/°C and KT2 = 14.34 pm/°C, respectively, for the FBG1 and FBG2 gratings.
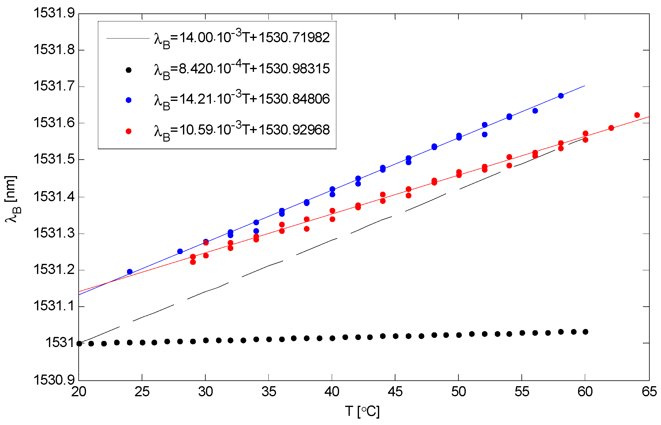
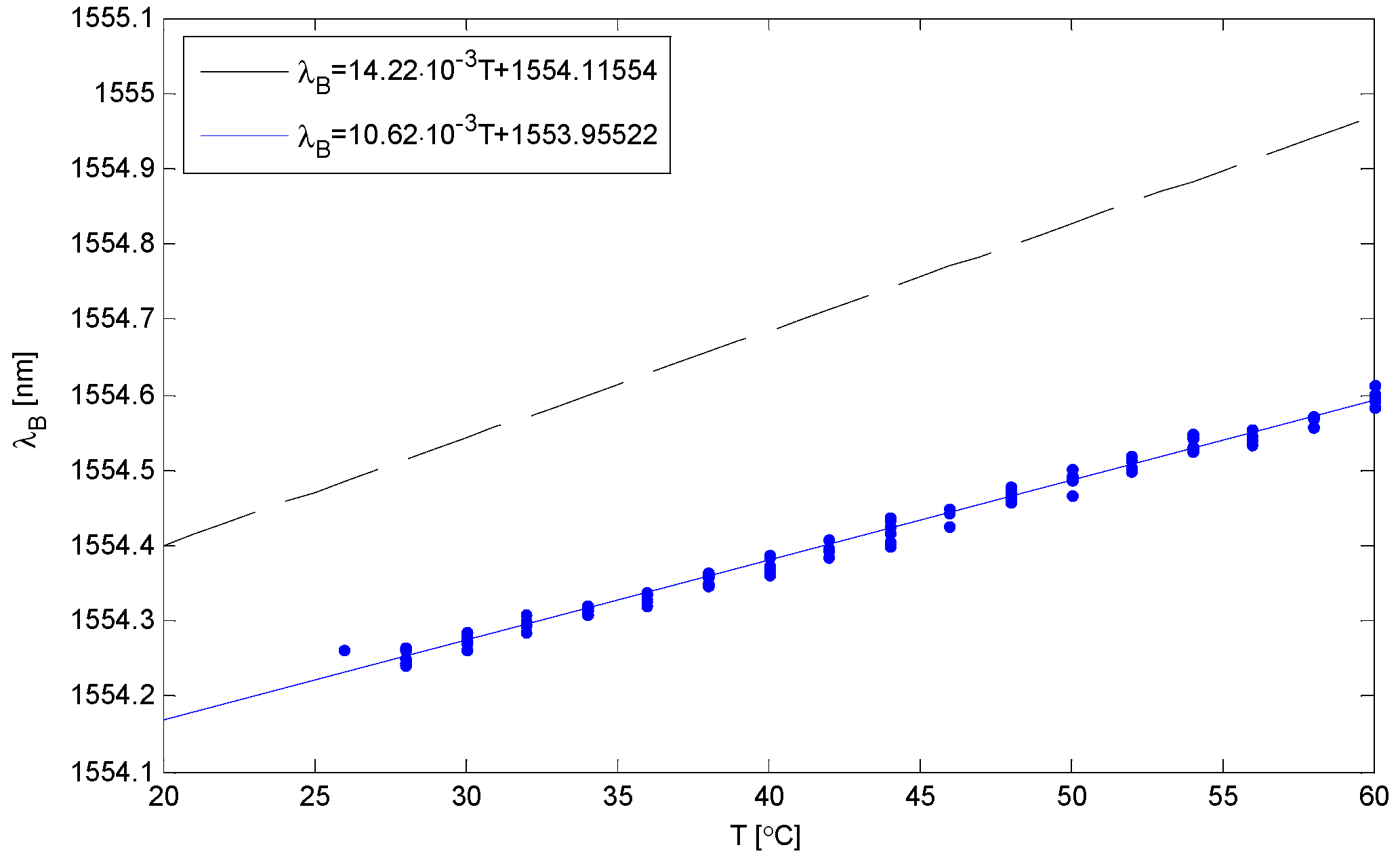
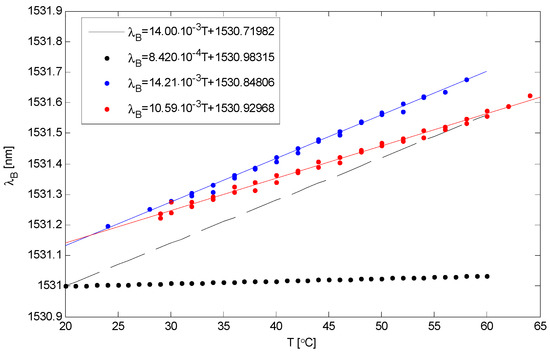
Figure 12, Figure 13 and Figure 14 show graphs of the dependence of the Bragg wavelength on temperature obtained experimentally. The black line and dotted line, respectively, show the theoretical dependence and the red and blue line correspond to the experimental results. Additionally, it can be seen that the Bragg grating function is linear. Linearity is the ability of a fiber-sensor-based FBG material in a structure to maintain a linear response under external excitation and is a prerequisite for reasonable monitoring.
Figure 12.
Dependence of the Bragg wavelength λB on temperature.
Figure 13.
Dependence of λB = 1554.4 nm on temperature.
Figure 14.
Dependence of λB = 1566.5 nm on temperature.
The new matrix from Equation (6) can be written after taking into account the values in the experiment in the form:
The nonzero determinant of the matrix D indicates that the matrix containing the coefficients of wavelength sensitivity to temperature and deformation is well conditioned.
Summing up the above considerations, we can conclude that it is possible to simultaneously measure deformation and temperature using two Bragg gratings with two different resonance constants. The measurement errors of the wavelength offset are determined by the resolution of the spectrum analyzer (0.01 nm). Knowing the resolution of the OSA, it becomes possible to determine the errors in determining the coefficients KT1 Kε1 and KT2 Kε2, which, in turn, allows one to determine the error of the standard determinant of the matrix D.
In conclusion, in order to obtain a high measurement sensitivity, it is necessary to build a measuring system in order to obtain the maximum possible absolute value of the determinant of the matrix |D|. This is possible when the two components in Equation (7), KT1 Kε1 and KT2 Kε2, will have opposite signs. It is worth paying attention to this element, because in many works the absolute values of similar factors are very unfavorably close [45]. A greater difference between the factors under consideration can be obtained by choosing another type of fiber with high birefringence (for example, fibers with an elliptical core) [46].
It follows from the analysis that if we use two fiber-optic elements (for example, Bragg gratings) with the same sensitivity as a sensor for measuring deformation and temperature, we should choose elements with opposite directions of reaction to one type of quantity (for example, deformation) and simultaneously with the same directions of reaction to the second quantity (for example, temperature).
When transferring the above principle to the field of other measuring applications, it is necessary either to choose two types of fiber-optic elements (these do not necessarily have to be only Bragg gratings), or to organize a way to place and install them on the measured object in order to make them sensitive to one of the measured values with the opposite sign, and at the same time had the same sign and the value for another of the measured values.
4. Discussion
The presented experimental characteristics prove that it is possible to use a measurement method using a sensor with two Bragg gratings. One of them was subjected to deformation and changing temperature and the other was only exposed to temperature.
The formulation of a matrix equation for a sensor with two homogeneous Bragg gratings was used for equal measurement of deformation and temperature, and after experimental measurement of the individual sensitivity of the gratings placed in the sensor processing matrix demonstrated the possibility of determining changes in temperature and deformation through further use of the matrix due to its good conditionality.
We analyzed the influence of fiber-optical properties on matrix equations and determined the grating parameters that must be measured to simultaneously determine the relative and temperature deformation. For sensors for measuring strain and temperature equally using the correct way of placing Bragg gratings on properly designed fibers, it can be shown that the relationship between the parameters of the gratings and the total deformation experienced by a pair of gratings can be expressed in matrix form. In order to show which parameter of the gratings, or the Bragg grating layout, to what extent and on what magnitude it is measured (temperature or deformation) depends, the analysis of matrix equations for processing the selected systems was carried out.
From the experimental results obtained in Figure 10 and Figure 11, it can be seen that the Bragg grating’s function is linear. The values of the nonlinearity errors indicated in this way were the initial = 0.06% and the initial = 0.08% for FBG1 and FBG2, respectively.
The measured sensitivity of the Bragg grating was 0.03 higher than the theoretical sensitivity. The excellent stability the fiber-sensor-based FBG is suitable for controlling the pavement system and ensuring its safety.
It can be seen that the repeatability and reliability of long-term temperature monitoring is ensured by using this type of FBG sensor, capable of measuring temperature with an accuracy of no more than 1 °C for at least one day, and can be easily performed in a reasonable manner within the experimental errors, which were mainly due to instrumental resolution and environmental fluctuations. The excellent stability characteristics of this FBG sensor made it possible to monitor pavement structures in difficult conditions with reasonable accuracy for a very long period of time.
To conclude, it can be noted that the nature of both studied dependences of deformation and temperature turned out to be linear and within the margin of error. This main result of the work is in full accordance with the theoretical as well as practical data available at the moment.
5. Conclusions
Currently, fiber sensors are widely used to monitor various designs. This article considered a fiber sensor based on FBG for monitoring the road surface. All structure bridges, buildings and road surfaces are subjected to some loads and temperature changes. The deformation and temperature varies from point to point in these structures. It is necessary to measure these parameters from time to time. Monitoring of the technical condition of the road surface ensures safe operation and is the main tool for timely detection of trends of negative changes in the road surface at an early stage. Real-time monitoring of road performance using built-in sensors is a powerful tool for assessing road surface wear over time. The aforementioned sensor technologies allow stress, deformation, deflection, humidity, traffic characteristics and temperature to be measured, which directly affect the reaction of the pavement under loads caused by vehicles and the environment. It was found that the duration of the load and the temperature of the pavement can greatly affect the magnitude of the resulting deformations in the layers of the pavement. The road surface is affected by such parameters as ambient temperature and deformation from external factors. The deformation varies depending on the temperature. At normal temperatures, the strain value decreases and increases at high temperatures. Therefore, it is very important to take into account the temperature of the road when measuring deformation from passing vehicles.
For durability, elasticity and accuracy of strain measurement during the experiment, a fiber sensor based on FBG with a ceramic coating embedded in a round profile made of glass-fiber reinforced plastic was used.
An interrogator system of fiber sensors was used to collect data on deformation and temperature. With relatively long data collection and calculations, we obtained a curve of temperature and strain dependence.
A matrix equation for a sensor with two homogeneous Bragg gratings was used for equal measurement of deformation and temperature, and after experimental measurement of the individual sensitivity of the gratings placed in the sensor processing matrix we demonstrated the possibility of determining temperature and deformation changes by means of an inverse matrix due to its good conditionality. To simulate pavement structures under various loads and environmental conditions, the fiber sensor based on FBG was embedded in asphalt samples for simultaneous measurement of temperature and deformation. In addition, in future works, this type of sensor will already be implemented in real pavement structures for testing reliability and performance. The results of the study showed that the synchronicity, repeatability and linearity of the characteristics of the fiber sensor are excellent. The difference between the experimental and theoretical results was about 7%. The developed fiber sensor based on FBG in combination with the technology of far-infrared sensors can be used both for simultaneous determination of temperature and deformation, and for synchronous determination of temperature and pressure. The results obtained from the sensors showed that the change in displacement as a percentage with respect to the wavelength varied for 5 temperature values from −40 to 80 °C, which proves that the displacement changes linearly and proportionally to the wavelength, and this is due to the plasticity of the fiber, which increases with increasing temperature and increases moisture in the fiber; therefore, the offset decreases.
We hope that based on the research results, the considered sensor can be used not only to improve the monitoring of test sections of the road surface using the concept of an intelligent infrastructure system, but also to provide data and information in real time for the design and construction of road surfaces. Additionally, it will also be able to benefit the development and application of new materials for the design procedure of mixtures and the improvement of the road surface management system.
Author Contributions
Conceptualization, G.K. and A.K.; methodology, G.K. and A.K.; software, T.K.; validation, K.T., S.O. and G.B.; formal analysis, T.K.; investigation, S.O.; resources, G.B.; data curation, G.B.; writing—original draft preparation, K.T.; writing—review and editing, Z.A.; visualization, Z.A.; supervision, G.K.; project administration, A.K.; funding acquisition, G.K. All authors have read and agreed to the published version of the manuscript.
Funding
The work was supported by a grant and funding the Ministry of Science and Higher Education of the Republic of Kazakhstan.
Acknowledgments
The research was carried out within the framework of the project of the GF “Zhas Galym” № AP 14972921 “Research and development of a fiber sensor for monitoring the condition of road surfaces”.
Conflicts of Interest
The authors declare no conflict of interest.
References
- Abdelgawad, A.; Yelamarthi, K. Internet of Things (IoT) platform for structure health monitoring. Wirel. Commun. Mob. Comput. 2017, 2017, 6560797. [Google Scholar] [CrossRef]
- Wang, H.; Liu, W.; He, J.; Xing, X.; Cao, D.; Gao, X.; Hao, X.; Cheng, H.; Zhou, Z. Functionality Enhancement of Industrialized Optical Fiber Sensors and System Developed for Full-Scale Pavement Monitoring. Sensors 2014, 14, 8829–8850. [Google Scholar] [CrossRef] [PubMed]
- Xie, J.; Li, H.; Gao, L.; Liu, M. Laboratory investigation of rutting performance for multilayer pavement with fiber Bragg gratings. Constr. Build. Mater. 2017, 154, 331–339. [Google Scholar] [CrossRef]
- Chen, J.; Huang, X.; Zheng, B.; Zhao, R.; Liu, X.; Cao, Q.; Zhu, S. Real-time identification system of asphalt pavement texture based on the close-range photogrammetry. Constr. Build. Mater. 2019, 226, 910–919. [Google Scholar] [CrossRef]
- Budnicki, D.; Parola, I.; Szostkiewicz, Ł.; Markiewicz, K.; Hołdyński, Z.; Wojcik, G.; Makara, M.; Poturaj, K.; Kuklińska, M.; Mergo, P.; et al. All-Fiber Vector Bending Sensor Based on a Multicore Fiber with Asymmetric Air-Hole Structure. J. Light. Technol. 2020, 38, 6685–6690. [Google Scholar] [CrossRef]
- Ekechukwu, G.K.; Sharma, J. Well-scale demonstration of distributed pressure sensing using fiber-optic DAS and DTS. Sci. Rep. 2021, 11, 12505. [Google Scholar] [CrossRef] [PubMed]
- Lu, F.; Wright, R.; Lu, P.; Cvetic, P.C.; Ohodnicki, P.R. Distributed fiber optic pH sensors using sol-gel silica based sensitive. Mater. Sens. Actuators B Chem. 2021, 340, 129853. [Google Scholar] [CrossRef]
- Liu, Y.; Zhou, A.; Yuan, L. Multifunctional fiber-optic sensor, based on helix structure and fiber Bragg gratings, for shape sensing. Opt. Laser Technol. 2021, 143, 107327. [Google Scholar] [CrossRef]
- Senkans, U.; Braunfelds, J.; Lyashuk, I.; Porins, J.; Spolitis, S.; Bobrovs, V. Research on FBG-Based Sensor Networks and Their Coexistence with Fiber Optical Transmission Systems. J. Sens. 2019, 2019, 6459387. [Google Scholar] [CrossRef]
- Fan, L.; Bao, Y. Review of fiber optic sensors for corrosion monitoring in reinforced concrete. Cem. Concr. Compos. 2021, 120, 104029. [Google Scholar] [CrossRef]
- Zheng, X.; Shi, B.; Zhang, C.C.; Sun, Y.; Zhang, L.; Han, H. Strain transfer mechanism in surface-bonded distributed fiber-optic sensors subjected to linear strain gradients: Theoretical modeling and experimental validation. Measurement 2021, 179, 109510. [Google Scholar] [CrossRef]
- He, C.; Korposh, S.; Correia, R.; Liu, L.; Hayes-Gill, B.R.; Morgan, S.P. Optical fibre sensor for simultaneous temperature and relative humidity measurement: Towards absolute humidity evaluation. Sens. Actuators B Chem. 2021, 344, 130154. [Google Scholar] [CrossRef]
- Wijaya, H.; Rajeev, P.; Gad, E. Distributed optical fibre sensor for infrastructure monitoring: Field applications. Opt. Fiber Technol. 2021, 64, 102577. [Google Scholar] [CrossRef]
- Lenner, M.; Frank, A.; Yang, L.; Roininen, T.M.; Bohnert, K. Long-Term Reliability of Fiber-Optic Current Sensors. IEEE Sens. J. 2020, 20, 823–832. [Google Scholar] [CrossRef]
- Bašić, P. Fiber Optic Sensor Cable Based on Hollow Capillary Tube with Three Tightly Encapsulated Optical Fibers. In Proceedings of the 2nd International Colloquium on Smart Grid Metrology, Split, Croatia, 9–12 April 2019; pp. 1–4. [Google Scholar]
- Yiqiu, T.; Haipeng, W.; Shaojun, M.; Huining, X. Quality control of asphalt pavement compaction using fibre Bragg grating sensing technology. Constr. Build. Mater. 2014, 54, 53–59. [Google Scholar] [CrossRef]
- Chabot, A.; Chupin, O.; Deloffre, L.; Duhamel, D. Viscoroute 2.0: A tool for the simulation of moving load effects on asphalt pavement. RMPD Spec. Issue Recent Adv. Numer. Simul. Pavements 2010, 11, 227–250. [Google Scholar] [CrossRef]
- Chupin, O.; Piau, J.M.; Chabot, A. Evaluation of the Structure-induced Rolling Resistance (SRR) for pavements including viscoelastic material layers. Mater. Struct. 2013, 46, 683–696. [Google Scholar] [CrossRef]
- Loizos, A.; Plati, C.; Papavasiliou, V. Fiber optic sensors for assessing strains in cold in-place recycled pavements. Int. J. Pavement Eng. 2013, 14, 125–133. [Google Scholar] [CrossRef]
- Weng, X.; Zhu, H.H.; Chen, J.; Liang, D.; Shi, B.; Zhang, C.C. Experimental investigation of pavement behavior after embankment widening using a fiber optic sensor network Structural Health. Monit. Struct. Health Monit. 2015, 14, 46–56. [Google Scholar] [CrossRef]
- Quintana, J.A.; Carrión, F.J.; Crespo, S.E.; Bonilla, V.; Garnica, P.; Pérez, A. SHM and evaluation of a continuous reinforced concrete pavement. J. Civ. Struct. Health Monit. 2016, 6, 681–689. [Google Scholar] [CrossRef]
- Nosenzo, G.; Whelan, B.E.; Brunton, M.; Kay, D.; Buys, H. Continuous monitoring of mining induced strain in a road pavement using fiber Bragg grating sensors. Photon-Sensors 2013, 3, 144–158. [Google Scholar] [CrossRef]
- Kashaganova, G.; Orazaliyeva, S.; Balbayev, G.; Alimseitova, Z.; Carbone, G. Application of Apodized Fiber Bragg Gratings in Information Security Systems Mechanisms and Machine Science. In Proceedings of I4SDG Workshop 2021: IFToMM for Sustainable Development Goals 1; Springer International Publishing: Cham, Switzerland, 2022; Volume 108 MMS, pp. 451–460. [Google Scholar]
- Kashaganova, G.B.; Komada, P.; Karnakova, G. Fiber sensors based on the Bragg gratings in security systems. Prz. Elektrotech. 2020, 96, 120–122. [Google Scholar]
- Lu, F.; Feng, M.; Gu, X.; Yang, S. Field experiment on monitoring of cracks in highway asphalt overlay. In Proceedings of the 16th International Symposium on: Smart Structures and Materials and Non-Destructive Evaluation and Health Monitoring, San Diego, CA, USA, 8 April 2009; p. 72940O. [Google Scholar]
- Iten, M.; Puzrin, A.M.; Schmid, A. Landslide monitoring using a road-embedded optical fiber sensor. In Proceedings of the 15th International Symposium on: Smart Structures and Materials and Non-Destructive Evaluation and Health Monitoring, San Diego, CA, USA, 7 April 2008; p. 693315. [Google Scholar]
- Imai, M.; Igarashi, Y.; Shibata, M.; Miura, S. Experimental study on strain and deformation monitoring of asphalt structures using embedded fiber optic sensor. J. Civ. Struct. Health Monit. 2014, 4, 209–220. [Google Scholar] [CrossRef]
- Liu, W.; Wang, H.; Zhou, Z.; Li, S.; Ni, Y.; Wang, G. Optical fiber based sensing system design for the health monitoring of multi-layered pavement structure. In Proceedings of the International Conference on Optical Instruments and Technology: Optical Sensors and Applications, Beijing, China, 22 November 2011; p. 81990K. [Google Scholar]
- Gao, J.Q.; Shi, B.; Zhang, W.; Ke, M.Y.; Liu, H.X.; Zhang, D. Application of distributed fiber optic sensor to bridge and pavement health monitoring. J. Disaster Prev. Mitig. Eng. 2005, 25, 14–19. [Google Scholar]
- Zhou, Z.; Liu, W.Q.; Huang, Y.; Wang, H.P.; He, J.P.; Huang, M.H.; Ou, J.P. Optical fiber Bragg grating sensor assembly for 3D strain monitoring and its case study in highway pavement. Mech. Syst. Signal Process. 2012, 28, 36–49. [Google Scholar] [CrossRef]
- Chen, S.X.; Zhang, X.N.; Xu, Q.L.; Meng, S.T. Experiment and research of grating strain sensor on asphalt pavement. Chin. J. Sens. Actuator 2006, 19, 396–410. [Google Scholar]
- Malla, B.R.; Sen, A.; Garrick, W.N. A special fiber optic sensor for measuring wheel loads of vehicles on highways. Sensors 2008, 8, 2551–2568. [Google Scholar] [CrossRef]
- Qian, Z.D.; Huang, W.; Guan, Y.S.; Han, G.Y. Application of BOTDA on cracking monitoring for asphalt concrete pavement. J. Southeast Univ. 2008, 38, 799–803. [Google Scholar]
- Wang, C.; Hu, Q.L.; Lu, Q.Y. Research on a novel low modulus OFBG strain sensor for pavement monitoring. Sensors 2012, 12, 10001–10013. [Google Scholar] [CrossRef]
- Xie, J.G.; Wang, Q.T.; Liu, S.L.; Li, K.; Zhang, S. Experimental study on strain monitoring of asphalt concrete using FBG (Fiber Bragg Grating). J. Chang’an Univ. 2011, 3, 17–21. [Google Scholar]
- Artieres, O.; Bacchi, M.; Bianchini, P.; Hornych, P.; Dortland, G. Strain measurement in pavements with a fibre optics sensor enabled geotextile. In 7th RILEM International Conference on Cracking in Pavements; Springer: Berlin, Germany, 2012; pp. 201–210. [Google Scholar]
- Kersey, A.D.; Berkoff, T.A. Fiber-Optic Bragg-Grating Differential Temperature Sensor. IEEE Photonics Technol. Lett. 1992, 4, 1183–1185. [Google Scholar] [CrossRef]
- Kaczmarek, C.; Kaczmarek, T.; Kaczmarek, Z. Fiber Bragg Grating Differential Strain Sensor. In Proceedings of the CADSM 2003: Proceedings of the 7th International Conference, Slavske, Ukraine, 22 February 2003; pp. 172–174. [Google Scholar]
- Guo, T.; Zhang, H.; Liu, B.; Li, G.; Zhao, Q.; Dong, X. Gaussian-Strain Chirped Fiber Bragg Grating Couple for Temperature-Insensitive and Intensity-Referenced Force Measurement. IEEE Sens. J. 2007, 7, 1390–1394. [Google Scholar] [CrossRef]
- Diminstein, O.; Gorbatov, N.; Tur, M. Dispersion-based differential wavelength measurements for Bragg grating sensors. Electron. Lett. 2001, 37, 12–14. [Google Scholar] [CrossRef]
- Reilly, S.P.; James, S.W.; Tatam, R.P. Dual wavelength fibre Bragg grating external cavity semiconductor laser sources for sensor applications. In Optical Fiber Sensors Conference Technical Digest Ofs; IEEE: Piscataway, NJ, USA, 2002; Volume 1, pp. 281–284. [Google Scholar]
- Kisała, P. Periodyczne Struktury Światłowodowe w Optoelektronicznych Czujnikach do Pomiaru Wybranych Wielkości Nieelektrycznych; Politechnika Lubelska: Lublin, Poland, 2012; 181p, ISBN 978-83-63569-17-4. [Google Scholar]
- Kisała, P. Metrological conditions of strain measurement optoelectronic method by the use of fibre Bragg gratings. Metrolology Meas. Syst. 2012, 19, 471–480. [Google Scholar] [CrossRef]
- Cohen, J. Statistical Power Analysis for the Behavioral Sciences; Lawrence Erlbaum Associates, Inc.: Mahwah, NJ, USA, 1988. [Google Scholar]
- Zhou, D.-P.; Wei, L.; Liu, W.-K.; Liu, Y.; Lit, J.W.Y. Simultaneous measurement for strain and temperature using fiber Bragg gratings and multimode fibers. Appl. Opt. 2008, 47, 1668–1672. [Google Scholar] [CrossRef]
- Frazão, O.; Marques, L.M.; Santos, S.; Baptista, J.M.; Santos, J.L. Simultaneous Measurement for Strain and Temperature Based on a LongPeriod Grating Combined With a High-Birefringence Fiber Loop Mirror. IEEE Photonics Technol. Lett. 2006, 18, 2407–2409. [Google Scholar] [CrossRef]
Disclaimer/Publisher’s Note: The statements, opinions and data contained in all publications are solely those of the individual author(s) and contributor(s) and not of MDPI and/or the editor(s). MDPI and/or the editor(s) disclaim responsibility for any injury to people or property resulting from any ideas, methods, instructions or products referred to in the content. |
© 2023 by the authors. Licensee MDPI, Basel, Switzerland. This article is an open access article distributed under the terms and conditions of the Creative Commons Attribution (CC BY) license (https://creativecommons.org/licenses/by/4.0/).















