A Broadband Power Amplifier Based on a Novel Filter Matching Network
Abstract
1. Introduction
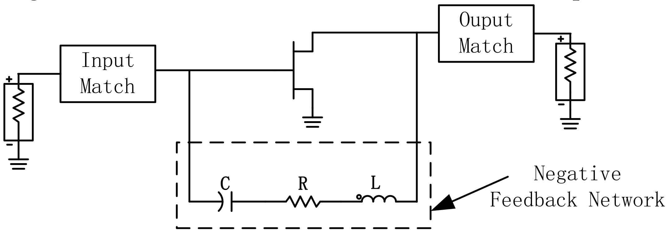
2. Proposed Network Topology
3. Design of Proposed Broadband PA
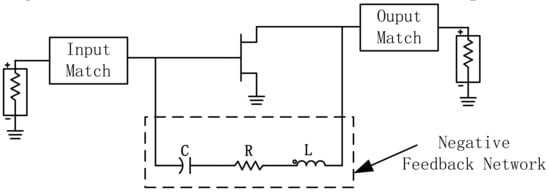
3.1. The Design of PA
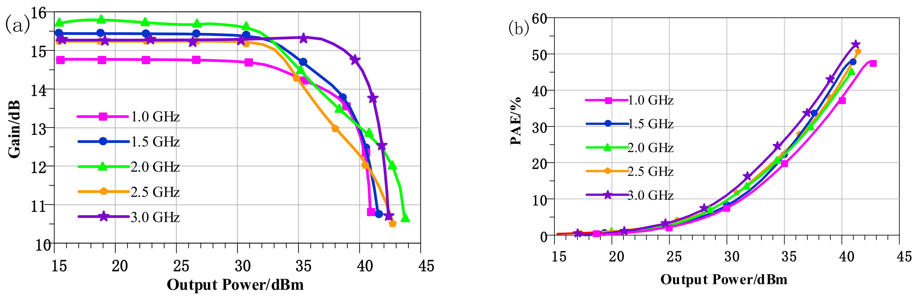
3.2. Simulation of Broadband PA
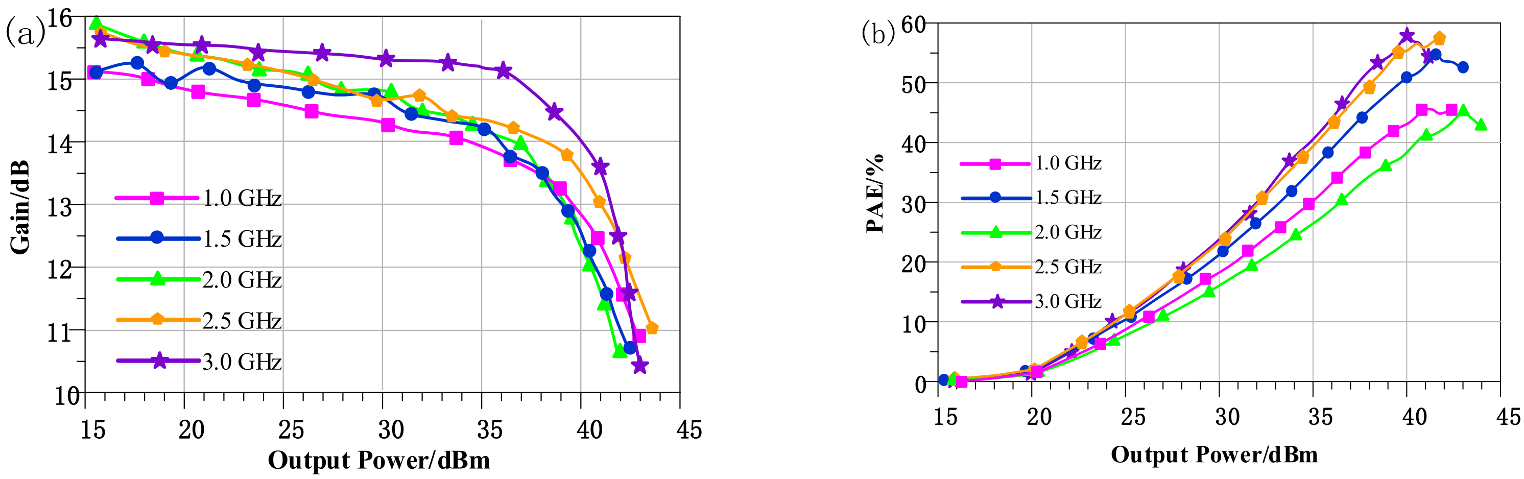
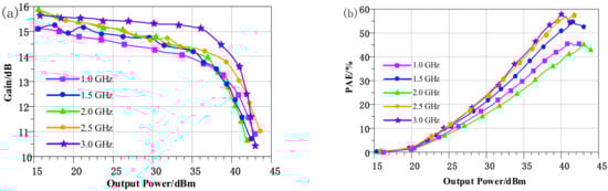
4. Measurement Results
5. Conclusions
Author Contributions
Funding
Data Availability Statement
Acknowledgments
Conflicts of Interest
References
- Yap, K.Y.; Chin, H.H.; Klemeš, J.J. Future outlook on 6G technology for renewable energy sources (RES). Renew. Sustain. Energy Rev. 2022, 167, 112722. [Google Scholar] [CrossRef]
- Ma, R.; Teo, K.H.; Shinjo, S.; Yamanaka, K.; Asbeck, P.M. A GaN PA for 4G LTE-advanced and 5G: Meeting the telecommunication needs of various vertical sectors including automobiles, robotics, health care, factory automation, agriculture, education, and more. IEEE Microw. Mag. 2017, 18, 77–85. [Google Scholar] [CrossRef]
- Yunan, Z.; Haomin, H.; Shuhao, Z.; Hao, W.; Sheng, C.; Qijun, H.; Jin, H. A 28-GHz wideband power amplifier with dual-pole tuning superposition technique in 55-nm RF CMOS. Integration 2023, 83, 101–107. [Google Scholar] [CrossRef]
- Pakasiri, C.; Manasummakij, P.; Wang, S. Modified Class-F power amplifier design with fundamental frequency output impedance load. AEU Int. J. Electron. Commun. 2021, 132, 153637. [Google Scholar] [CrossRef]
- Lu, Y.; Xu, X.; Han, H.; Zhao, B.; Zhang, H.; Zhao, Z.; Yi, C.; Wang, Y.; Guo, L.; Ma, X. A UHF-band 100 W broadband hybrid GaN power amplifier based on the regional modulation of impedance distribution method. AEU Int. J. Electron. Commun. 2021, 141, 153959. [Google Scholar] [CrossRef]
- Moloudi, F.; Jahanirad, H. Broadband class-E power amplifier design using tunable output matching network. AEU Int. J. Electron. Commun. 2020, 118, 153142. [Google Scholar] [CrossRef]
- Liu, M.; Wang, B.; Li, R.; Yu, L. Design of Broadband Power Amplifier Based on Ladder Impedance Converter. Electron. Compon. Mater. 2021, 479–484. [Google Scholar] [CrossRef]
- Zhang, M.-Z.; Huang, H.-D. Design of broadband high-efficiency power amplifier based on elliptic low-pass and band-pass matching network. IEICE Electron. Express 2019, 16, 1–5. [Google Scholar] [CrossRef]
- Xiao, X. Design and Implementation of GaN Microwave Broadband Power Amplifier. Master’s Thesis, University of Electronic Science and Technology of China, Chengdu, China, 2014. [Google Scholar]
- Dawson, D.E. Closed-Form Solutions for the Design of Optimum Matching Networks. IEEE Trans. Microw. Theory Tech. 2009, 57, 121–129. [Google Scholar] [CrossRef]
- Dien, N.V.; Tuan, N.V.; Mai, L.T.P.; Hieu, N.V.; Phuoc, V.Q.; Quynh, N.Q.; Hung, N.T. Tolerance of SCM Nyquist and OFDM signals for heterogeneous fiber-optic and millimeter-wave mobile backhaul links under the effect of power amplifier saturation induced clipping. Comput. Netw. 2021, 204, 108697. [Google Scholar] [CrossRef]
- Mohtashamnia, M.; Yavari, M. A Low-Power Low-Noise Neural Recording Amplifier with an Improved Recycling Telescopic-Cascode OTA. AEU Int. J. Electron. Commun. 2022, 154, 154312. [Google Scholar] [CrossRef]
- Husna Hamza, K.; Nirmal, D. A review of GaN HEMT broadband power amplifiers. AEU Int. J. Electron. Commun. 2020, 116, 153040. [Google Scholar] [CrossRef]
- Shariatifar, M.; Jalali, M.; Abdipour, A. A methodology for designing class-F−1/J(J−1) high efficiency concurrent dual-band power amplifier. Microelectron. J. 2021, 81, 1–7. [Google Scholar] [CrossRef]
- Sunitha, A.; Manickam, B. Co-design of on-chip loop antenna and differential class-E power amplifier at 2.4 GHz for biotelemetry applications. Microelectron. J. 2019, 86, 40–48. [Google Scholar] [CrossRef]
- Chen, J.-D.; Wang, W.-J. A 1.5 ~ 5 GHz CMOS broadband low-power high-efficiency power amplifier for wireless communications. Integration 2018, 63, 168–173. [Google Scholar] [CrossRef]
- Abounemra, A.M.E.; Chen, W.; Huang, F.; Maktoomi, M.; Zhang, W.; Helaoui, M.; Ghannouchi, F.M. Systematic design methodology of broadband Doherty amplififier using unifified matching/combining networks with an application to GaN MMIC design. IEEE Access 2021, 9, 5791–5805. [Google Scholar] [CrossRef]
- Huang, C.; He, S.; You, F. Design of broadband modifified class-J Doherty power amplififier with specifific second harmonic terminations. IEEE Access 2018, 6, 2531–2540. [Google Scholar] [CrossRef]
- Misawa, K. RF: A method for filtering short reads with tandem repeats for genome mapping. Genomics 2013, 102, 35–37. [Google Scholar] [CrossRef]
- Suresh, L.N.; Manickam, B. Design and application of CMOS active inductor in bandpass filter and VCO for reconfigurable RF front-end. Integration 2022, 82, 115–126. [Google Scholar] [CrossRef]
- Cai, Y. Research and Design of Radio Frequency Power Amplifier Used in New Generation Mobile Communication. Master’s Thesis, Guangdong University of Technology, Guangdong, China, 2022. [Google Scholar]
- Lei, Z. Research and Design of Ultra-Broadband Power Amplifier. Master’s Thesis, North Central University, Beijing, China, 2022. [Google Scholar]
- Fan, B. Research on MMIC Chip Broadband Technology and High Power Technology. Master’s Thesis, University of Electronic Science and Technology of China, Chengdu, China, 2022. [Google Scholar]
- Li, Q. Research and Design of Trans-octave Power Amplifiers. Master’s Thesis, Chongqing University, Chongqin, China, 2021. [Google Scholar]
- Chegini, M.; Yavandhasani, J.; Kamarei, M. A new design for mode transfer-based harmonic tuned power amplifier (MHPA). AEU Int. J. Electron. Commun. 2022, 155, 154335. [Google Scholar] [CrossRef]
- Gan, D.; Shi, W.; Haider, M.F.; Naah, G. Design of continuous mode Doherty power amplifiers using generalized output combiner. AEU Int. J. Electron. Commun. 2020, 116, 153069. [Google Scholar] [CrossRef]
- Moloudi, F.; Eslamipour, O. Wide-band switching-mode power amplifier using varactor-based reconfigurable output matching network. AEU Int. J. Electron. Commun. 2021, 132, 153647. [Google Scholar] [CrossRef]
















| Freq/GHz | Zload/Ω | Freq/GHz | Zsource/Ω |
|---|---|---|---|
| 1.0 | 27.54 + j × 9.87 | 1.0 | 20.74 + j × 15.36 |
| 1.5 | 25.8 + j × 16.1 | 1.5 | 20.74 + j × 15.36 |
| 2.0 | 21.34 + j × 8.35 | 2.0 | 8.77 + j × 10.45 |
| 2.5 | 15.53 + j × 11.94 | 2.5 | 6.66 + j × 3.29 |
| 3.0 | 16.45 + j × 7.15 | 3.0 | 8.03 − j × 1.45 |
| Ref | [25] | [26] | [27] | This Work |
|---|---|---|---|---|
| Transistor | GaN | GaN | GaN | GaN |
| Drain voltage/V | 28 V | 28 V | 28 V | 28 V |
| Class of PA | hybrid modes | continuous | F | AB |
| Bandwidth method | Harmonic tuned | Continuous theory | Reconfigurable | filter matching |
| Band/GHz | 0.8~2.1 | 1.2~2.7 | 0.8~1.8 | 1~3 |
| Output/dBm | 42 | 42.1 | 41.5 | >40 |
| PAE/% | <70 | >40 | <75 | >45 |
| Gain flatness/dB | >4 | >4 | <2.9 | <1.5 |
| Harmonic | >−14 | \ | <−20 | <−20 |
Publisher’s Note: MDPI stays neutral with regard to jurisdictional claims in published maps and institutional affiliations. |
© 2022 by the authors. Licensee MDPI, Basel, Switzerland. This article is an open access article distributed under the terms and conditions of the Creative Commons Attribution (CC BY) license (https://creativecommons.org/licenses/by/4.0/).
Share and Cite
Li, Z.; Nan, J.; Gao, M.; Niu, Y. A Broadband Power Amplifier Based on a Novel Filter Matching Network. Electronics 2022, 11, 3768. https://doi.org/10.3390/electronics11223768
Li Z, Nan J, Gao M, Niu Y. A Broadband Power Amplifier Based on a Novel Filter Matching Network. Electronics. 2022; 11(22):3768. https://doi.org/10.3390/electronics11223768
Chicago/Turabian StyleLi, Zheng, Jingchang Nan, Mingming Gao, and Yun Niu. 2022. "A Broadband Power Amplifier Based on a Novel Filter Matching Network" Electronics 11, no. 22: 3768. https://doi.org/10.3390/electronics11223768
APA StyleLi, Z., Nan, J., Gao, M., & Niu, Y. (2022). A Broadband Power Amplifier Based on a Novel Filter Matching Network. Electronics, 11(22), 3768. https://doi.org/10.3390/electronics11223768
