A 19.6–39.4 GHz Broadband Low Noise Amplifier Based on Triple-Coupled Technique and T-Coil Network in 65-nm CMOS
Abstract
:1. Introduction
2. Circuit Design
2.1. Inter-Stage Peak-Gain Distribution
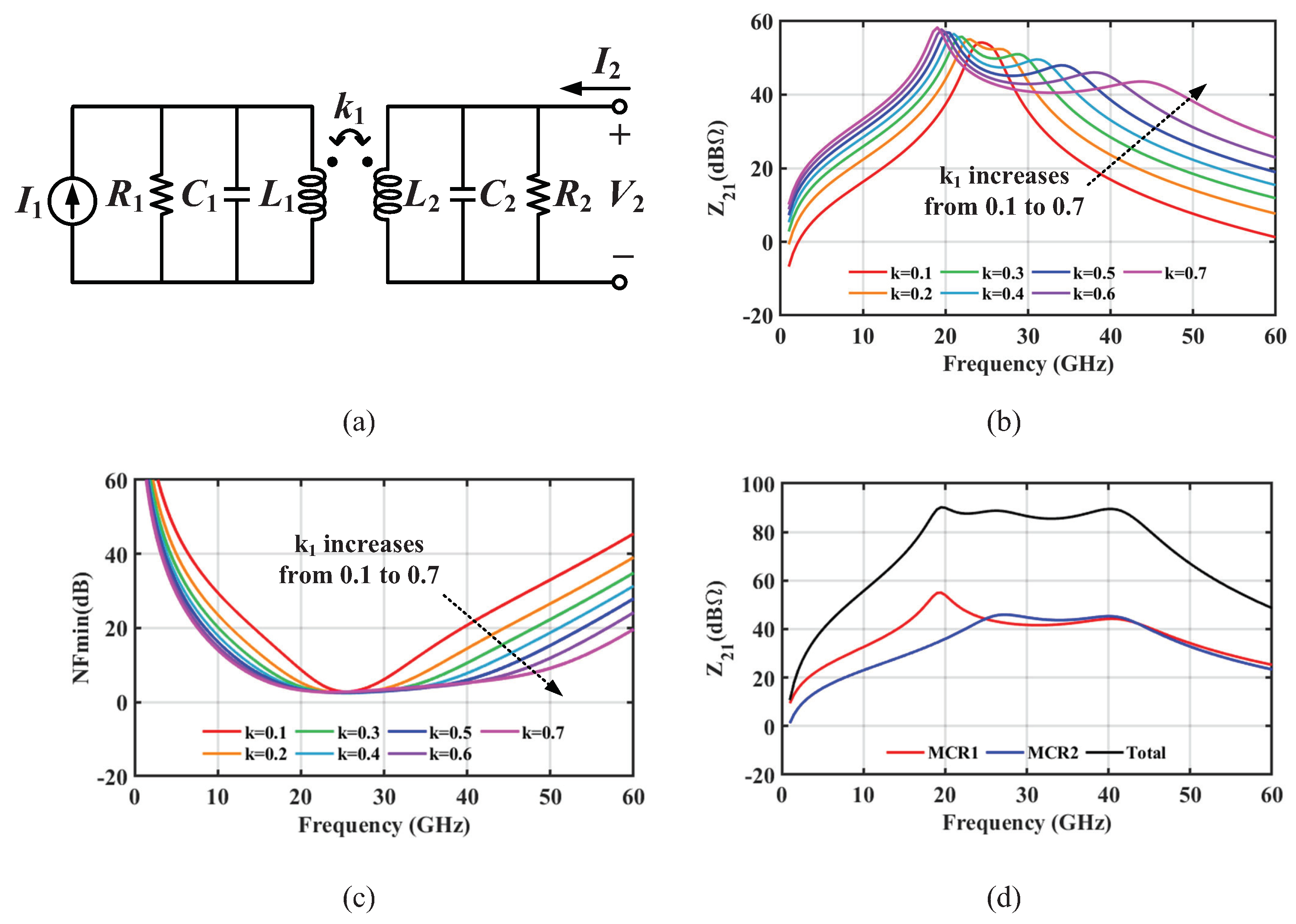
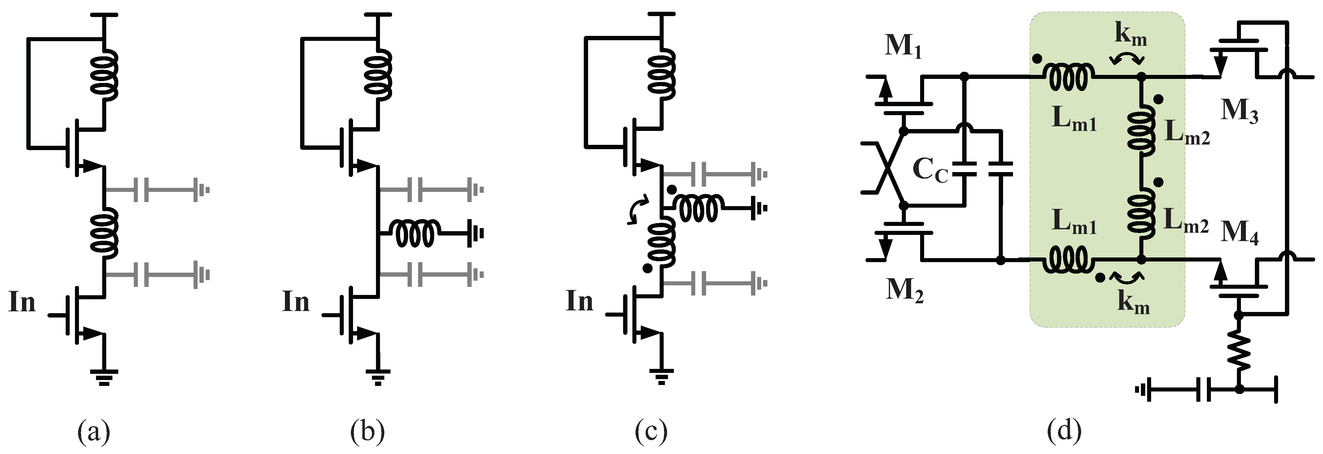
2.2. Transformer-Based Triple-Coupled Technique
2.3. Compact T-Coil-Based Network
3. Measurement Results
4. Conclusions
Author Contributions
Funding
Institutional Review Board Statement
Informed Consent Statement
Data Availability Statement
Conflicts of Interest
References
- Yu, Y.; Zhu, J.; Zong, Z.; Tang, P.; Liu, H.; Zhao, C.; Wu, Y.; Kang, K. A 21-to-41-GHz High-Gain Low Noise Amplifier with Triple-Coupled Technique for Multiband Wireless Applications. IEEE Trans. Circuits Syst. II Exp. Briefs 2021, 68, 1857–1861. [Google Scholar] [CrossRef]
- Lu, W.; Zhao, C.; Yu, Y.; Jiang, Z.; Wu, Y.; Liu, H.; Kang, K. A Ku-band CMOS LNA with transformer feedforward gm-boosting technique. In Proceedings of the IEEE MTT-S International Microwave Workshop Series on Advanced Materials and Processes for RF and THz Applications (IMWS-AMP), Chengdu, China, 20–22 July 2016. [Google Scholar]
- Zhang, J.; Zhao, D.; You, X. A 20-GHz 1.9-mW LNA using gm-boost and current-reuse techniques in 65-nm CMOS for satellite communications. IEEE J. Solid State Circuits 2020, 55, 2714–2723. [Google Scholar] [CrossRef]
- Samavati, H.; Rategh, H.R.; Lee, T.H. A 5-GHz CMOS wireless LAN receiver front end. IEEE J. Solid State Circuits 2000, 35, 765–772. [Google Scholar] [CrossRef]
- Huang, B.J.; Lin, K.Y.; Wang, H. Millimeter-wave low power and miniature CMOS multicascode low-noise amplifiers with noise reduction topology. IEEE Trans. Microw. Theory Tech. 2009, 57, 3049–3059. [Google Scholar] [CrossRef]
- Hadipour, K.; Ghilioni, A.; Mazzanti, A.; Bassi, M.; Svelto, F. A 40 GHz to 67 GHz bandwidth 23 dB gain 5.8 dB maximum NF mm-wave LNA in 28 nm CMOS. In Proceedings of the IEEE Radio Frequency Integrated Circuits Symposium (RFIC), Phoenix, AZ, USA, 17–19 May 2015. [Google Scholar]
- Zhang, X.; Shi, C.; Zhang, R.; Deng, H.; Chen, J. A 64–84 GHz CMOS LNA with Excellent Gain Flatness for Wideband mmW Applications. In Proceedings of the IEEE International Symposium on Circuits and Systems (ISCAS), Daegu, Korea, 22–28 May 2021. [Google Scholar]
- Chan, W.L.; Long, J.R. A 58–65 GHz neutralized CMOS power amplifier with PAE above 10% at 1-V supply. IEEE J. Solid State Circuits 2010, 45, 554–564. [Google Scholar] [CrossRef]
- Bassi, M.; Zhao, J.; Bevilacqua, A.; Ghilioni, A.; Mazzanti, A.; Svelto, F. A 40–67 GHz Power Amplifier with 13 dBm PSAT and 16% PAE in 28 nm CMOS LP. IEEE J. Solid State Circuits 2015, 50, 1618–1628. [Google Scholar] [CrossRef]
- Jia, H.; Prawoto, C.C.; Chi, B.; Wang, Z.; Yue, C.P. A full Ka-band power amplifier with 32.9% PAE and 15.3-dBm power in 65-nm CMOS. IEEE Trans. Circuits Syst. I Regul. Pap. 2018, 65, 2657–2668. [Google Scholar] [CrossRef]
- Jamil, S.; Usman, M.; Atiq, H.; Ramzan, R. 28–32 GHz Wideband LNA for 5G Applications. In Proceedings of the 1st International Conference on Microwave, Antennas & Circuits (ICMAC), Islamabad, Pakistan, 21–22 December 2021. [Google Scholar]
- Kong, S.; Lee, H.D.; Jang, S.; Park, J.; Kim, K.S.; Lee, K.C. A 28-GHz CMOS LNA with Stability-Enhanced Gm-Boosting Technique Using Transformers. In Proceedings of the IEEE Radio Frequency Integrated Circuits Symposium (RFIC), Boston, MA, USA, 2–4 June 2019. [Google Scholar]
- El-Nozahi, M.; Sánchez-Sinencio, E.; Entesari, K. A millimeter-wave (23–32 GHz) wideband BiCMOS low-noise amplifier. IEEE J. Solid State Circuits 2010, 45, 289–299. [Google Scholar] [CrossRef]
- Chauhan, V.; Floyd, B. A 24–44 GHz UWB LNA for 5G cellular frequency bands. In Proceedings of the 11th Global Symposium on Millimeter Waves (GSMM), Boulder, CO, USA, 22–24 May 2018. [Google Scholar]









| Reference | This Work M | [5] M | [7] M | [11] S | [12] M | [13] M | [14] M |
|---|---|---|---|---|---|---|---|
| Technology | 65-nm CMOS | 65-nm CMOS | 55-nm CMOS | 65-nm CMOS | 65-nm CMOS | 0.18-µm BiCMOS | 45-nm CMOS SOI |
| Topology | 2-stage CSCG + 1-stage CS | 1-stage Triple-cascode | 3-stage CS | 2-stage | 1-stage CS + 1-stage CSCG | 1-stage CSCG + 1-stage CS | 3-stage CSCG |
| Frequency (GHz) | 19.6–39.4 | 35–41 | 64–84 | 26–33.4 | 24.9–32.5 | 23–32 | 24–44 |
| BW−3dB (GHz) | 19.8 | 6 | 20 | 7.4 | 7.6 | 9 | 20 |
| Max. Gain (dB) | 23.5 | 14.3 | 11.8 | 18.48 | 18.33 | 12 | 20 |
| NF (dB) | 3.7–5.8 | 3.8–4.5 | 5.09–7 | 3 | 3.25–4.2 | 4.5–6.3 | 4.2–5.5 |
| IP1dB (dBm) | −17 | −14.2 * | −5.8 | −24.5 | −24 | −16.3 to −14.5 * | −19 |
| Power (mW) | 46 | 28.8 | 40 | 17 | 20.5 | 13 | 58 |
| Area (mm) | 0.36 | 0.252 | 0.082 | 0.08 | 0.38 | 0.25 | 0.2 ** |
| FoM | 3.8 | 1.06 | 1.44 | 4 | 3 | 2.4 | 2.1 |
Publisher’s Note: MDPI stays neutral with regard to jurisdictional claims in published maps and institutional affiliations. |
© 2022 by the authors. Licensee MDPI, Basel, Switzerland. This article is an open access article distributed under the terms and conditions of the Creative Commons Attribution (CC BY) license (https://creativecommons.org/licenses/by/4.0/).
Share and Cite
Wan, J.; Li, X.; Han, F.; Qi, Q.; Liu, X.; Chen, Z. A 19.6–39.4 GHz Broadband Low Noise Amplifier Based on Triple-Coupled Technique and T-Coil Network in 65-nm CMOS. Electronics 2022, 11, 1833. https://doi.org/10.3390/electronics11121833
Wan J, Li X, Han F, Qi Q, Liu X, Chen Z. A 19.6–39.4 GHz Broadband Low Noise Amplifier Based on Triple-Coupled Technique and T-Coil Network in 65-nm CMOS. Electronics. 2022; 11(12):1833. https://doi.org/10.3390/electronics11121833
Chicago/Turabian StyleWan, Jiayue, Xiao Li, Fang Han, Quanwen Qi, Xuzhi Liu, and Zhiming Chen. 2022. "A 19.6–39.4 GHz Broadband Low Noise Amplifier Based on Triple-Coupled Technique and T-Coil Network in 65-nm CMOS" Electronics 11, no. 12: 1833. https://doi.org/10.3390/electronics11121833
APA StyleWan, J., Li, X., Han, F., Qi, Q., Liu, X., & Chen, Z. (2022). A 19.6–39.4 GHz Broadband Low Noise Amplifier Based on Triple-Coupled Technique and T-Coil Network in 65-nm CMOS. Electronics, 11(12), 1833. https://doi.org/10.3390/electronics11121833

