Abstract
In order to improve the bus voltage robustness of distributed multi-source DC microgrid, a new cascade control method based on nonlinear virtual inertia and adaptive backstepping sliding mode is proposed. Firstly, the mathematical model of distributed multi-source DC microgrid with a buck–boost interface converter is analyzed and established. A nonlinear virtual inertia control method based on a variable droop coefficient is given by introducing the converter output voltage variation rate feedback term and a saturation function equation. Secondly, the voltage and current double closed-loop cascade controller is designed by using backstepping sliding mode control and adaptive algorithms. Finally, the system and cascade control models are built in MATLAB/Simulink for multi-case simulation. The feasibility and effectiveness of the proposed method is verified by comparing the results with traditional control methods.
1. Introduction
When distributed generation is connected to the grid, the DC microgrid can provide a flexible and efficient basic distribution layer. The DC microgrid has received more and more attention for avoiding the conversion of multi-stage power electronic converters such as AC/DC and DC/AC, as well as the complex frequency and reactive power regulation problems [1,2,3].
The main control goal of the DC microgrid is the stability of the DC bus voltage. Compared to master-slave control, which relies on high-speed communication technology, droop control does not require communication [4]. DC microgrid systems with droop control have higher reliability and can easily realize power distribution and voltage regulation among multiple sources [5,6]. However, the DC microgrid is composed of a large number of power electronic converters, and its inertia is insufficient. When it is disturbed, it is easy to cause large dynamic voltage fluctuations [7,8]. Therefore, it is not only necessary to consider improving the transient control performance of the voltage closed-loop but also to analyze and solve the problem of insufficient system inertia when designing a DC microgrid bus voltage controller. Although increasing the DC bus capacity can increase the inertia of the DC microgrid and reduce the voltage transient caused by the sudden change of source load power, and it is beneficial to the system’s stable operation effect. However, considering the high cost and large volume of power capacitors, the concept of virtual inertia is a major alternative [9,10].
The concept of virtual inertia comes from the AC microgrid, which is based on the virtual inertia compensation of virtual synchronous generators. The DC microgrid learns from it and uses the equivalent concept to improve inertia. In the AC microgrid, the realization of virtual inertia utilizes the change of the frequency, while in the DC microgrid, it is realized by the change of the DC voltage. To reasonably use the degree of voltage change and compensate the system with appropriate virtual inertia, this paper proposes a variable droop coefficient nonlinear virtual inertia control method considering the voltage change rate. The droop control method used by the converter is equivalent to the series virtual impedance [11]. It uses load fluctuation feedback to affect the nonlinear change of the droop coefficient, and the bus makes nonlinear adjustments regarding the output voltage. As a result, the voltage stabilization inertia of the distributed power supply with the buck–boost converter interface is improved.
In addition, the DC/DC converter is a key executive component in the DC microgrid, and it is used for the output power control and the voltage regulation of distributed generation. There are many types of DC/DC converters. Among them, the traditional buck–boost converter has both a buck–boost function, and it has the advantages of a small number of components and low cost. The buck–boost converter has been widely used in various fields of research, such as energy storage systems, electric vehicle drives systems, photovoltaic power generation systems, etc. However, the buck–boost converter is a highly nonlinear system; there is a right half-plane zero in the classic control theory. Therefore, we need to explore the nonlinear control method of the converter more deeply to improve the outstanding high-frequency dynamic output characteristics of the converter. This is not only an important issue that needs to be further resolved but also a key technology for stabilizing the DC bus voltage [12,13,14,15,16,17].
To solve the problem that negative incremental impedance of a constant power load can lead to system instability, a higher-order sliding mode control method based on a super-torque algorithm was proposed in the reference [18]. In a medium-voltage DC integrated power system, it is experimentally demonstrated that the converter has strong robustness and reduced chattering in the system under the disturbances of sudden load changes, but the controller only involves single closed-loop voltage control and lacks regulation of the inductor current, which may cause current spikes during operating mode transitions. Reference [19] studied the dynamic control characteristics of buck–boost converter based on hysteresis current. This reference uses a single closed-loop current-based method for power control. The characteristic of this controller is that the structure is simple and easy to realize.
However, there are usually two types of converter output voltage regulation control strategies, which are divided into single closed-loop and multi-closed-loop cascades. The cascade control method introduces internal current feedback to improve response speed and limit overcurrent [20]. Because the multi-closed-loop cascade control method can integrate the advantages of multiple types of control strategies, it is more reliable and efficient. Reference [21] proposed a multi-PI loop cascade control method for buck–boost converter. However, conventional PI control has some shortcomings: poor robustness, easy oscillation and saturation of the control volume. The external voltage loop and internal current loop in reference [22] both adopt non-singular terminal sliding mode control. This control method is easy to meet the fixed switching frequency requirements and demonstrates the strong robustness of sliding mode control. The reference [23] proposes a cascade control scheme with a conventional droop control method for the outermost control and an internal cascade control scheme consisting of a voltage derivative control inner loop and a voltage control outer loop. The control method achieves accurate power-sharing and proper voltage regulation of the DC microgrid in islanded operation mode. However, due to the presence of cable impedance, the traditional droop control suffers from a contradiction between voltage deviation and current distribution accuracy. In order to improve the limitations of conventional droop control, secondary control is proposed in the form of compensation to readjust the initial droop profile. A cascade control scheme consisting of virtual inertia control, recovery control and coordinated current sharing control is proposed in the reference [24]. During grid-connected and off-grid operation of the DC microgrid, both transient and steady-state voltage conditions at the DC bus are significantly improved when there are abrupt changes at the supply and load sides. However, the control method does not take into account the nonlinear effects of virtual inertia control during mode switching. For multiple parallel buck–boost converters with parallel power supplies, the reference [25] proposes a DC microgrid cascade control scheme with good scalability and robustness, which consists of a droop controller and an auxiliary controller, not only for current sharing between parallel power supplies, but also for compensating the voltage deviation caused by the main controller. However, the cascade control only involves the compensation control of voltage deviation, but not the regulation of inductor current, which cannot avoid the influence of inductor spike current to the system.
In recent years, control strategies based on sliding mode and backstepping have been widely used in various types of control systems due to their excellent adaptability and strong robustness. For nonlinear systems with uncertainty and external disturbances, the reference [26] uses fuzzy neural networks to approximate unknown nonlinear functions and designs adaptive backstepping fuzzy neural sliding mode controllers. However, the fuzzy rule acquisition method in fuzzy neural networks is complex, and there is also a contradiction between the complexity of the model and the generalization ability. For boost converters containing constant power loads in DC microgrid, without an accurate mathematical model and without stable dynamic systems, a nonlinear control method combining an accurate feedback linearization technique with adaptive backstepping sliding mode control (ABSMC) is proposed in the reference [27]. The method solves the instability problem caused by constant power loads, reduces the impact of sliding mode chattering on the system and ensures the stability of the DC bus voltage. However, the control method does not take into account the regulation of the inductor current, which may cause spikes, or the lack of inertia of the system. Reference [28] designed a nonlinear backstepping sliding mode controller for airship trajectory tracking based on the disturbance observer. Simulation analysis shows that compared with traditional backstepping control and sliding mode control strategies, the proposed method is more robust in the three cases of unknown disturbance, model parameter uncertainty, and wind speed influence. However, the sliding mode control law often introduces the upper bound of the uncertainty term as the control coefficient of the switching function, which is easy to cause high-frequency and high-amplitude chattering of the output control quantity. To avoid this problem, an adaptive algorithm can be used to optimize it [29].
In summary, the main contributions of this paper include: (1) Propose a nonlinear droop control law based on the converter output voltage variation rate dVdc/dt, which facilitates the voltage stability of the bus. (2) Propose an adaptive coefficient function that limits the converter output voltage variation rate, which has continuous, smooth, and saturated nonlinear characteristics. (3) Propose a three-level cascade control method that is based on a nonlinear virtual inertia control with droop variable coefficients and adaptive backstepping sliding mode voltage and current double closed-loop control. It achieves robust high stability of bus voltages in distributed multi-source DC microgrid. (4) Verify the feasibility and effectiveness of the proposed method by comparing the results with traditional control methods.
2. DC Microgrid Structure and Modeling
2.1. System Structure and Working Principle
The DC microgrid studied in this paper is shown in Figure 1.
Figure 1.
The control structure of the DC microgrid.
In Figure 1, the main circuit of the microgrid is connected to the DC bus by a plurality of parallel distributed DC power sources Vs through a buck–boost converter and a common load RL.
As the main control circuit, the buck–boost converter is composed of a power switch S, a freewheeling diode D, an inductor L, a resistor R, and a capacitor C. Vdc and idc are the output voltage and current of the buck–boost converter, iL is the current flowing through the inductor L, Vo is the DC bus voltage, and Vo ref is the voltage reference value set by the DC bus voltage.
In order to coordinate the output power of each buck–boost converter and to maintain the DC bus voltage Vo stable, a three-level cascade control structure consisting of droop control, voltage and current control is used for the PWM drive control of all the converters connected in parallel in the system. To realize the reasonable distribution of converter power and improve the inertia of the converter interface, the droop control adopts a nonlinear virtual inertia controller based on a variable droop coefficient. The controller generates the reference voltage Vdc ref of the external voltage control loop. According to the converter output voltage and current deviation, the voltage controller and current controller adopt an adaptive backstepping sliding mode control (ABSMC) method to generate the reference current iL ref of the current loop and the PWM duty cycle control signal of the buck–boost converter power switch uc. Finally, the stable operation of the DC microgrid is realized.
2.2. Main Circuit Model
According to Figure 1, the buck–boost converter average model can be derived based on the KCL and KVL rules
where u represents the PWM duty cycle.
Define the state variable , , the voltage controller control amount ; , , the current controller control amount . Since the system is in a steady state, , combined with Equations (1) and (2), we get
where a1 = −1/RLC, b1 = (1 − uc)/C, a2 = −R/L, b2 = (Vdc + Vs)/L. FV and Fi are respectively the total uncertainty items of the external disturbance of the voltage loop and the current loop.
3. Nonlinear Virtual Inertial Droop Control
3.1. The Principle of the Droop Control
The purpose of droop control is to ensure that the output voltage and current or output voltage and power of the converter run on a given droop characteristic curve. Figure 2 shows a typical U-I droop curve.
Figure 2.
The traditional U-I droop curve.
In Figure 2, Vo max and Vo min respectively represent the upper and lower bounds of the DC bus voltage operation; idc, ch_lim and idc, disch_lim represent the upper and lower bounds of the converter’s DC operating current, respectively; Vo ref represents the longitudinal intercept of the droop curve in mathematical concepts.
The expression of the typical U-I droop characteristic is
where Q is the droop coefficient, which represents the slope of the characteristic curve. It can be equivalent to the virtual impedance of the converter in series in actual control.
According to Equation (5), the change of the output current idc can immediately cause the corresponding change of the reference output voltage Vdc ref when the load changes. The buck–boost converter is characterized by low inertia, which makes the bus voltage of the DC microgrid sensitive to the load and susceptible to disturbance. If the coefficient of the droop characteristic can be adjusted with external disturbances, certain inertia can be provided for the system. This can deal with the disturbance of uncertain external factors and can leave a certain margin for the response time of the system.
For this reason, this paper proposes a nonlinear virtual inertia control method based on the variable U-I droop coefficient. This method can increase the inertia of the distributed power supply of the buck–boost converter interface and improve the robustness of the bus voltage.
3.2. Nonlinear Virtual Inertia Control Based on Variable Droop Coefficient
The variation curve cluster diagram of the droop coefficient is shown in Figure 3 under different load conditions.
Figure 3.
Variation curve clusters of droop coefficients.
Assuming that the system initially operates stably at point M, the original droop coefficient is Q0. At a certain moment, the system loads suddenly increased. The DC bus capacitor quickly provides auxiliary power support, making the bus voltage stable. Therefore, the operating point of the system will be moved from M to N, and the droop coefficient will be changed from Q0 to Q1. The area of the shaded part shown in Figure 3 is the additional power of the converter caused by the change of the droop coefficient. This reflects the positive effect of using fast power compensation to effectively suppress voltage fluctuations.
Thus, a nonlinear variable droop coefficient function with the converter output voltage variation rate dVdc/dt is defined as:
where Q1 is the droop coefficient in the steady-state of the system, and Q2 is the dynamic adjustment coefficient.
Then the U-I characteristic expression of the converter based on the variable droop coefficient is
Define the dynamic change Δq of the droop coefficient as
Multiplying both sides of Equation (8) by Vdc at the same time, we get
Take the equivalent virtual inertia of the system as Cvir. When the load power changes suddenly, causing the current to change Δi, according to the conservation of power, there is
Define the ratio of the droop coefficient dynamic change Δq to the current change Δi as n = Δq/Δi, combining Equations (9) and (10), we get
Therefore,
To make the system run stably, it is necessary to limit the value range of the droop coefficient, such as Qmin < < Qmax. Qmax, Qmin are respectively the upper and lower limits of the variation range of the droop coefficient.
In this paper, we select the saturation function to limit the dynamic change Δq of the droop coefficient in Equation (6)
Therefore, we can get a new finite-amplitude variable droop coefficient
Figure 4 shows the relationship between in Equation (14) and the converter output voltage variation rate dVdc/dt.
Figure 4.
Variation curve of droop coefficient.
When the absolute value of the converter output voltage variation rate dVdc/dt is small, according to the saturation function characteristics, it can be seen from Equation (13) that the curve is approximately a straight line with a fixed slope of Q2. It can be seen that even if the voltage fluctuation is small, the slope of the droop characteristic can maintain a large fluctuation. Therefore, the proposed nonlinear virtual inertia method can also provide greater inertia for the system. When the absolute value of the converter output voltage variation rate dVdc/dt is large, due to the limitation of the saturation function, the value of will infinitely approach the upper limit Qmax and the lower limit Qmin of the droop coefficient variation range without crossing the boundary.
For Equation (14) with finite amplitude variable droop coefficient, we first find its derivative for the converter output voltage variation rate dVdc/dt. Combined with Equations (12) and (13), the equivalent virtual inertia value of the proposed nonlinear variable droop control can be obtained
According to Equation (15), we can control the value of the virtual inertia Cvir of the main circuit of the converter, which can change the inertia of the system. The virtual inertia controller proposed in this paper is used to generate the reference voltage of the external voltage control loop. The virtual inertia control block diagram based on the variable droop coefficient is shown in Figure 5.
Figure 5.
The block diagram of virtual inertia control.
4. Design of Adaptive Backstepping Sliding Mode Controller
In this section, we design a voltage and current double closed-loop controller based on an adaptive backstepping sliding mode method. The adaptive backstepping sliding mode control method is a recursive design method with excellent adaptability. It involves the feedback control method and the judgment of the stability of the Lyapunov function. The proposed controller is designed in multiple steps and is not higher than the order of the system. The sliding mode control method has strong robustness, which limits the uncertainty of the system through the design of the sliding mode. The adaptive backstepping sliding mode control combines the advantages of the adaptive backstepping control method and the sliding mode control method to obtain good dynamic and static performance.
4.1. Design of Backstepping Sliding Mode Controller
According to the cascade control structure shown in Figure 1, the goal of the voltage and current backstepping sliding mode controller is to track the reference input. That is, the output voltage Vdc of the converter tracks the given reference voltage Vdc ref output by the previous stage virtual inertia controller. The current iL flowing through the inductor L of the converter tracks the given reference current iL ref output by the previous stage voltage controller. Ensure that the above two tracking errors tend to zero. The backstepping sliding mode control design mainly includes two steps:
- Step 1
Define voltage tracking error zV and current tracking error zi as:
Define the virtual control variables of voltage tracking error zV and current tracking error zi as:
where c1 and c2 are adjustable design parameters.
Define the Lyapunov functions VV1 and Vi1 as
Define the new voltage tracking error zV1 and current tracking error zi1 as:
We can get:
If zV1 = 0 and zi1 = 0, then . Therefore, this still needs to continue to the next step of design.
- Step 2
Further, define the Lyapunov functions VV2 and Vi2 as:
where σV and σi are respectively the sliding mode surface functions of the voltage controller and current controller, defined as:
where k1 and k2 are adjustable design parameters.
If , the voltage backstepping sliding mode control law iL ref and the current backstepping sliding mode control law uc are designed as:
where h1, h2, β1, β2 are adjustable design parameters.
4.2. Design of Adaptive Backstepping Sliding Mode Controller
To suppress the influence of the external uncertain disturbance terms FV and Fi on the voltage and current control links, the sign function coefficients in Equations (32) and (33) often need to be conservatively designed. If we choose the upper bounds of FV and Fi, it will cause high-frequency chattering of the control law. Therefore, this section uses an adaptive algorithm to estimate FV and Fi in real-time.
Define the Lyapunov functions VV3 and Vi3 as:
where and are respectively the estimation errors of and , defined as:
where and are respectively the estimated values of and , and are the actual values of and , respectively.
From Equations (34) and (35), if , , then the adaptive law needs to be designed as:
where γ1 and γ2 are adjustable design parameters.
The design of the control law consists of determining the equivalent control law for the linear condition of the system and switching control law for the uncertain and disturbance terms. According to Equation (38), the equivalent control law mV eq of the voltage controller is designed as:
The switching control law mV s is:
Therefore, the voltage control law can be obtained mV = mV eq+ mV s
According to Equation (39), the equivalent control law mi eq of the current controller is designed as:
The switching control law mi s is:
Therefore, the current control law can be obtained mi = mi eq+ mi s
Substituting Equations (38) and (40) into Equation (34),
Substituting Equations (39) and (41) into Equation (35),
where , ,
By adjusting the values of h1, c1, k1, h2, c2, and k2, we can make |Q1| > 0, |Q2| > 0. To ensure that it is a positive definite matrix to make the system stable.
Therefore, from Equations (42) and (43), we obtain voltage controller iL ref and current controller uc as
5. System Simulation and Analysis
By using the MATLAB/Simulink platform, the correctness of the proposed control method is verified. For the DC microgrid distributed buck–boost converter interface circuit and controller shown in Figure 1, we build models and do experimental analysis. The parameters of the DC microgrid system model are shown in Table 1.
Table 1.
The parameters of the DC microgrid system model.
The experimental simulation scheme is divided into two types: voltage and current double closed-loop cascade control, and three-level cascade control with virtual inertia. In addition, traditional methods such as voltage and current linear PI control and steady droop control are designed to compare and analyze the new methods in this paper.
5.1. Voltage and Current Double Closed-Loop Cascade Control
This simulation program analyzes the performance of the adaptive backstepping sliding mode current and voltage control method of the buck–boost converter.
It is common that the response of the current inner-loop controller should be much faster than that of the voltage outer-loop controller. Therefore, according to this principle, the parameters of the current inner-loop controller are designed: (1) For ABSMC-based current loop controllers, β1 can be assumed to be one. (2) If h1 is too small, the system will go out of control; if h1 is too large, the time for the system to reach stability will increase significantly. (3) If r1 is too small, the system will also go out of control; if r1 is too large, the system will oscillate significantly and it will be difficult to reach stability. (4) If c1 is too small, the time for the system to reach stability will increase; if c1 is too large, the overshoot of the output voltage will increase significantly. (5) If k1 is too small, the system will be out of control; if k1 is too large, the overshoot of the output voltage will also increase significantly. Therefore, according to the criteria as above, the current controller parameters are designed based on the trial-and-error method. Similarly, the parameter design process for the voltage controller can be completed according to the above steps.
By coordinating and tracking the comprehensive performance of overshoot, response time, and stabilization time, this paper designs an adaptive backstepping sliding mode current and voltage controller parameters, as shown in Table 2.
Table 2.
The parameters of the adaptive backstepping sliding mode controller.
For comparison, this section designs a buck–boost converter current and voltage PI controller. The design of PI controller parameters is based on the following steps: (1) Establish a PI-based voltage and current double closed-loop controller model in Simulink. (2) Based on the converter switching frequency fsw, the bandwidth of the current control loop should be much smaller than the converter switching frequency fsw, set to fsw/10 = 1 kHz; the bandwidth of the voltage control loop should be much smaller than the bandwidth of the current control loop, Set it to fsw/100 = 100 Hz. (3) According to the above standards, use the “PID tuning tool” tool to debug the current and voltage double closed-loop PI control parameters as shown in Table 3.
Table 3.
The parameters of the current and voltage PI controller.
At the initial moment of the simulation, set the load RL = 200 Ω and the bus DC voltage reference value Vo ref = 0 V. At time 1, 2, and 3 s, Vo ref suddenly changed to 50, 100, 150 V, respectively; at time 4 s, RL suddenly changed to 100 Ω.
As shown in Figure 6, when the voltage reference value and load change, this scheme compares the response performance of cascaded PI and cascaded ABSMC. As shown in Figure 6a–e, the proposed cascaded ABSMC is compared with the traditional cascaded PI. In the 1–4 s period, while the response time is accelerated, the overshoot is reduced by about 1.5%, 0.8%, 0.4%, 0.8%, and there is no static error in the steady-state. When tracking the change of the voltage reference value, the proposed control method shows better transient and steady-state performance. Compared with the control method based on cascaded PI, the proposed control method based on cascaded ABSMC reflects lower overshoot, faster response speed, and shorter settling time under the effect of voltage tracking and load disturbance.

Figure 6.
Voltage and current double closed-loop cascade control simulation. (a) Converter output voltage response. (b) Phase I response. (c) Phase II response. (d) Phase III response. (e) Phase IV response. (f) Converter inductor current response.
In addition, as shown in Figure 6f, when the reference value of the bus voltage changes significantly, the peak current of the proposed control method based on cascaded ABSMC is much lower than that of the control method based on cascaded PI. In summary, compared with the traditional control method based on cascaded PI, the proposed control method based on cascaded ABSMC shows better transient and steady-state performance.
5.2. Three-Level Cascade Control with Virtual Inertia
This simulation program analyzes the performance of the proposed three-level cascade control method.
The parameter Q2 plays an important role in the nonlinear virtual inertia control method based on the variable droop coefficient. To better choose the parameter value of Q2, this scheme adopts the comparative analysis method to carry out a multi-parameter simulation comparison.
The bus DC voltage reference value Vo ref is set to change between 150–140 V in the 3rd and 4th seconds, and the Q2 value is selected as 1, 5, 10, 20, 50, 100 for simulation.
As shown in Figure 7, with the increase of Q2, when the bus reference voltage changes suddenly, the inertia of the converter output voltage also increases. However, when the reference value of the bus voltage changes, as Q2 increases, it takes longer for the output reference voltage of the converter to establish a new steady state, which also means that the response speed of the proposed nonlinear virtual inertial control method will be slower.

Figure 7.
Comparison of response performance of variable droop coefficient. (a) Q2 = 1. (b) Q2 = 5. (c) Q2 = 10. (d) Q2 = 20. (e) Q2 = 50. (f) Q2 = 100.
Based on the above considerations, the parameter value of Q2 is selected as 25 in this paper. The parameters of the proposed nonlinear virtual inertial droop control method are shown in Table 4.
Table 4.
The parameters of the Variable droop coefficient.
To verify the performance of the proposed three-level cascade control method, four different cascade control methods are designed for comparison: (i) Traditional droop control and current and voltage PI three-level cascade control (PIdroop); (ii) Virtual inertial droop control and current Voltage PI three-level cascade control (PIVIC); (iii) Traditional droop control and three-level cascade control of current and voltage ABSMC (ABSMCdroop); (iv) Virtual inertia droop control and current and voltage ABSMC three-level cascade control (ABSMCVIC).
To prove that the proposed three-level cascade control with virtual inertia has good tracking characteristics under the reference input step change, this scheme sets the bus DC voltage reference value Vo ref = 20 V. At 0.5 and 1.5 s moments, Vo ref respectively suddenly changed to 50 and 100 V; at 2.5 s and 3.5 s moments, Vo ref respectively suddenly changed to 50 and 20 V.
As shown in Figure 8, the proposed control method shows better transient and steady-state performance when tracking the voltage reference value. Compared to other three-level cascade control methods, the proposed method exhibits lower overshoot, faster response speed and shorter settling time when tracking the voltage reference value.

Figure 8.
Output voltage response based on three-level cascade control. (a) Converter output voltage response. (b) Phase I response. (c) Phase II response. (d) Phase III response. (e) Phase IV response.
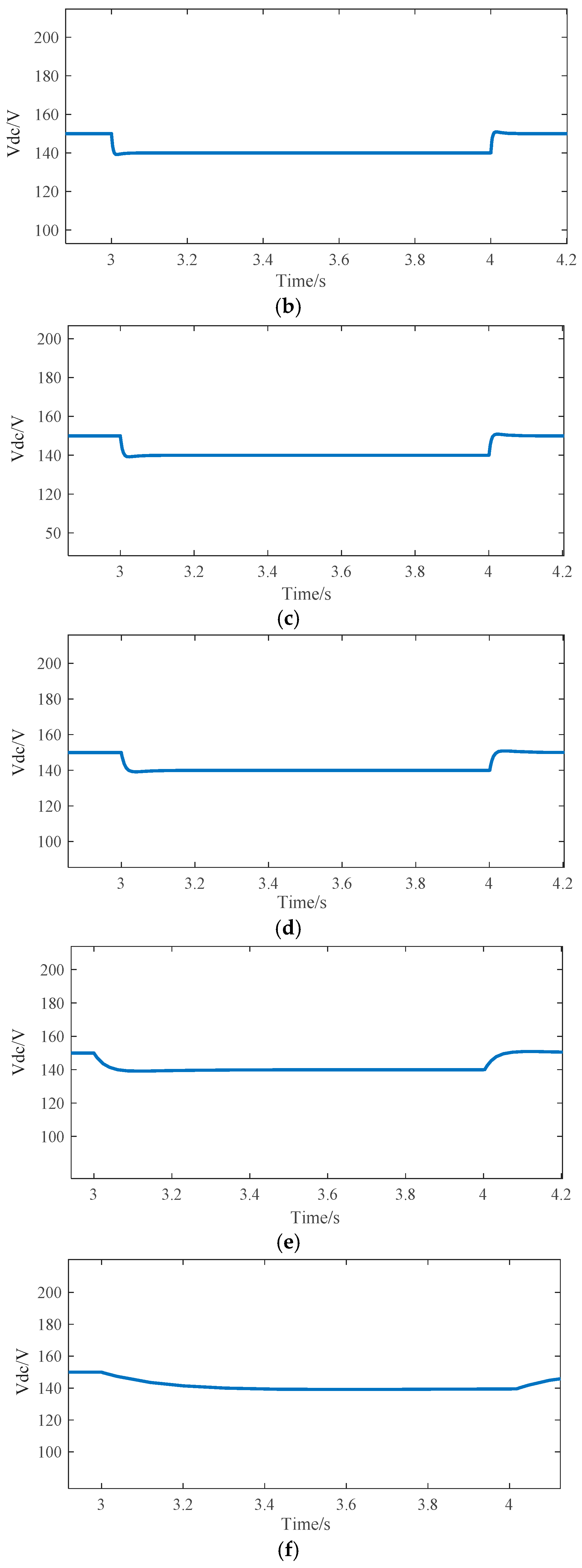
Considering the impact of load mutation on the bus voltage, this scheme sets the initial time of simulation, load RL = 200 Ω, bus DC voltage reference value Vo ref =150 V. At the 3rd second moment, RL suddenly changes to 100 Ω; at the 4th second moment, RL suddenly changes to 200 Ω.
Figure 9 shows the output voltage of the converter when the above four different control methods respond to load changes. The performance parameters of four different control methods are shown in Table 5. It can be seen from Table 5 that the proposed three-level cascade control method with virtual inertia shows lower overshoot, shorter transition time and smaller IAE (Absolute error integration indicator) when responding to load changes and provides higher inertia for the output voltage of the converter.
Figure 9.
Cascade control method simulation. (a) Comparison of response performance of four cascade control methods. (b) Phase I comparison waveform. (c) Phase II comparison waveform.
Table 5.
The performance parameters of four different control methods.
5.3. Three-Level Cascade Control under Continuous Dynamic Changes
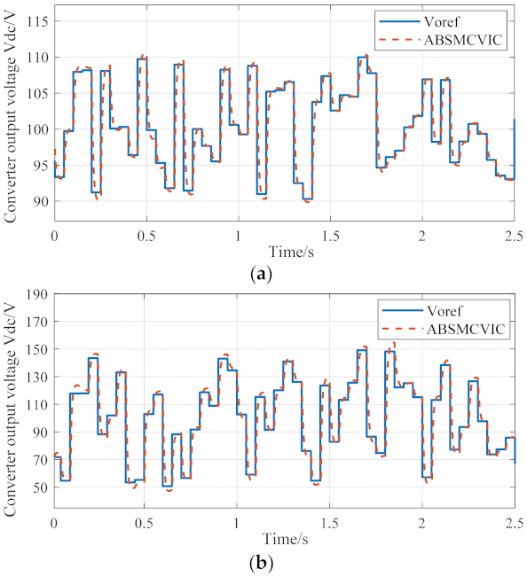
This scheme sets the voltage reference value Vo ref to change continuously and dynamically within a small range of 90~110 V and a large range of 50~150 V. Under the three-level cascade control conditions based on virtual inertia droop control and current and voltage adaptive backstepping sliding mode control, the response curve of the converter output voltage Vdc is shown in Figure 10.
Figure 10.
Output voltage response curves of converters under continuous dynamic changes. (a) Continuous dynamic change in a small range. (b) Continuous dynamic change in a large range.
Figure 10a shows that the converter can track the voltage reference value accurately and achieve effective control of the output voltage when the DC bus voltage reference value Vo ref varies continuously and dynamically in a small range. Figure 10b shows that due to the capacitance of the capacitor, there is a slight delay in tracking the high-frequency voltage signal. But the trend of the response is consistent with the trend of the original signal of the voltage reference value, and finally tends to be stable.
6. Conclusions
This paper proposes a new cascade control of DC microgrid based on nonlinear virtual inertia and adaptive backstepping sliding mode. Simulation verification shows that, compared with the traditional PI cascade control, the proposed voltage and current double closed-loop control method based on adaptive inversion sliding mode exhibits lower overshoot, shorter stabilization time, with good anti-disturbance, dynamic voltage regulation and steady-state precision control performance. Compared to conventional fixed droop control, the virtual inertia controller based on a nonlinear variable droop coefficient introduces the converter output voltage variation rate feedback term, which provides more flexible and effective inertia for the voltage stability control of the converter. This not only helps the system to withstand source load power shocks, but also improves the robustness of the DC microgrid supply voltage, and further ensures the stability of the system operation.
Author Contributions
Conceptualization, J.M., X.Z. and A.W.; software, X.Z. and T.D.; validation, X.Z. and T.D.; formal analysis, J.M. and C.Y.; investigation, J.M. and A.W.; data curation, J.M. and X.Z.; writing—original draft preparation, X.Z.; writing—review and editing, J.M. and X.Z.; supervision, J.M.; project administration, J.M.; funding acquisition, J.M. and A.W. All authors have read and agreed to the published version of the manuscript.
Funding
This work is supported in part by the Natural Science Research Program of Jiangsu Colleges and Universities under Grant No. 20KJA470002, and Science and Technology Research Program of Nantong Grant No. JC2020094, MS22020022.
Data Availability Statement
The data used to support the findings of this study are available from the corresponding author upon request.
Conflicts of Interest
The authors declare no conflict of interest.
Nomenclature
| Vs | Distributed DC power supply | Qmax | Upper limit of the variation range of the droop coefficient |
| Vdc | Converter output voltage | Qmin | Lower limit of the variation range of the droop coefficient |
| dVdc/dt | Converter output voltage variation rate | Variable droop coefficient with finite amplitude | |
| idc | Converter output current | zV | Voltage tracking error |
| iL | Current flowing through inductor L | zi | Current tracking error |
| Vo | DC bus voltage | Voltage tracking error virtual control volume | |
| Vo ref | DC bus voltage reference value | Current tracking error virtual control volume | |
| Vdc ref | Reference voltage for voltage control loop | σV | Voltage Controller sliding surface switching function |
| iLref | Reference currents for current control loop | σi | Current controller sliding surface switching function |
| uc | PWM duty cycle control signal | zV1 | New voltage tracking error |
| mV | Voltage controller control law | zi1 | New current tracking error |
| mi | Current controller control law | Estimation error of | |
| FV | Voltage loop uncertainty disturbance term | Estimation error of | |
| Fi | Current loop uncertainty disturbance term | Estimated value of | |
| Vo max | DC bus voltage upper boundary | Estimated value of | |
| Vo min | DC bus voltage lower boundary | Actual value of | |
| idc, ch_lim | Converter current upper boundary | Actual value of | |
| idc, disch_lim | Converter current lower boundary | mV eq | Equivalent control law of voltage controller |
| Q0 | Original droop coefficient | mV s | Switching control law of voltage controller |
| Q1 | Droop coefficient of the system at steady state | mi eq | Equivalent control law of current controller |
| Q2 | System dynamic adjustment coefficient | mi s | Switching control law of current controller |
| VV1, VV2, VV3 | Voltage controller Lyapunov functions | Vi1, Vi2, Vi3 | Current controller Lyapunov functions |
References
- Elavarasan, R.M.; Shafiullah, G.M.; Padmanaban, S.; Kumar, N.M.; Annam, A.; Vetrichelvan, A.M.; Mihet-Popa, L.; Holm-Nielsen, J.B. A Comprehensive Review on Renewable Energy Development, Challenges, and Policies of Leading Indian States with an International Perspective. J. IEEE Access 2020, 8, 74432–74457. [Google Scholar] [CrossRef]
- Nejabatkhah, F.; Li, Y.W.; Tian, H. Power Quality Control of Smart Hybrid AC/DC Microgrids: An Overview. J. IEEE Access 2019, 7, 52295–52318. [Google Scholar] [CrossRef]
- Dragicevic, T.; Lu, X.; Vasquez, J.C.; Guerrero, J. DC Microgrids—Part II: A Review of Power Architectures, Applications, and Standardization Issues. J. IEEE Trans. Power Electron. 2016, 31, 3528–3549. [Google Scholar] [CrossRef] [Green Version]
- Guerrero, J.M.; Vasquez, J.C.; Matas, J.; de Vicuna, L.G.; Castilla, M. Hierarchical control of droop-controlled ac and dc microgrids—A general approach toward standardization. J. Ind. Electron. IEEE Trans. 2011, 58, 158–172. [Google Scholar] [CrossRef]
- Dragicevic, T.; Guerrero, J.; Vasquez, J.C.; Skrlec, D. Supervisory control of an adaptive-droop regulated dc microgrid with battery management capability. J. IEEE Trans. Power Electron. 2014, 29, 695–706. [Google Scholar] [CrossRef] [Green Version]
- Huang, P.-H.; Xiao, W.; El Moursi, M.S. A practical load sharing control strategy for DC microgrids and DC supplied houses. In Proceedings of the IECON 2013-39th Annual Conference of the IEEE Industrial Electronics Societ, Vienna, Austria, 10–13 November 2013; pp. 7124–7128. [Google Scholar]
- Manandhar, U.; Wang, B.; Zhang, X.; Beng, G.H.; Liu, Y.; Ukil, A.; Gooi, H.B. Joint Control of Three-Level DC–DC Converter Interfaced Hybrid Energy Storage System in DC Microgrids. J. IEEE Trans. Energy Convers. 2019, 34, 2248–2257. [Google Scholar] [CrossRef]
- Unamuno, E.; Paniagua, J.; Barrena, J.A. Unified Virtual Inertia for ac and dc Microgrids: And the Role of Interlinking Converters. J. IEEE Electrif. Mag. 2019, 7, 56–68. [Google Scholar] [CrossRef]
- D’Arco, S.; Suul, J.A. Equivalence of Virtual Synchronous Machines and Frequency-Droops for Converter-Based MicroGrids. J. IEEE Trans. Smart Grid 2014, 5, 394–395. [Google Scholar] [CrossRef]
- Zhang, X.; Zhong, Q.C.; Ming, W.L. Stabilization of Cascaded DC/DC Converters via Adaptive Series-Virtual-Impedance Control of the Load Converter. J. IEEE Trans. Power Electron. 2016, 31, 6057–6063. [Google Scholar] [CrossRef]
- Mendez-Diaz, F.; Pico, B.; Vidal-Idiarte, E.; Calvente, J.; Giral, R. HM/PWM Seamless Control of a Bidirectional Buck-Boost Converter for a Photovoltaic Application. J. IEEE Trans. Power Electron. 2019, 34, 2887–2899. [Google Scholar] [CrossRef]
- Liu, S.; Xie, X.; Yang, L. Analysis, Modeling and Implementation of a Switching Bi-Directional Buck-Boost Converter Based on Electric Vehicle Hybrid Energy Storage for V2G System. J. IEEE Access 2020, 8, 65868–65879. [Google Scholar] [CrossRef]
- Restrepo, C.; Konjedic, T.; Flores-Bahamonde, F.; Vidal-Idiarte, E.; Calvente, J.; Giral, R. Multisampled Digital Average Current Controls of the Versatile Buck-Boost Converter. J. IEEE J. Emerg. Sel. Top. Power Electron. 2019, 7, 879–890. [Google Scholar] [CrossRef]
- Chandrasekar, B.; Nallaperumal, C.; Padmanaban, S.; Bhaskar, M.S.; Holm-Nielsen, J.B.; Leonowicz, Z.; Masebinu, S.O. Non-Isolated High-Gain Triple Port DC–DC Buck-Boost Converter with Positive Output Voltage for Photovoltaic Applications. J. IEEE Access 2020, 8, 113649–113666. [Google Scholar] [CrossRef]
- Rana, N.; Banerjee, S. Development of an Improved Input-Parallel Output-Series Buck-Boost Converter and Its Closed-Loop Control. J. IEEE Trans. Ind. Electron. 2019, 67, 6428–6438. [Google Scholar] [CrossRef]
- Weng, X.; Zhao, Z.; Chen, K.; Yuan, L.; Jiang, Y. A Nonlinear Control Method for Bumpless Mode Transition in Noninverting Buck-Boost Converter. J. IEEE Trans. Power Electron. 2021, 36, 2166–2178. [Google Scholar] [CrossRef]
- Biricik, S.; Komurcugil, H.; Ahmed, H.; Babaei, E. Super Twisting Sliding-Mode Control of DVR with Frequency-Adaptive Brockett Oscillator. J. IEEE Trans. Ind. Electron. 2021, 68, 10730–10739. [Google Scholar] [CrossRef]
- Sami, I.; Abid, A.; Khan, N.; Zaid, M.M.; Ahmad, H.; Ali, H. Supertwisting Sliding Mode Control of Multi-converter MVDC power systems under constant power loads. In Proceedings of the 2021 IEEE 4th International Conference on Computing, Power and Communication Technologies (GUCON), Kuala Lumpur, Malaysia, 24–29 September 2021; pp. 1–5. [Google Scholar]
- Wang, Y.; Ruan, X.; Leng, Y.; Li, Y. Hysteresis Current Control for Multilevel Converter in Parallel-Form Switch-Linear Hybrid Envelope Tracking Power Supply. J. IEEE Trans. Power Electron. 2019, 34, 1950–1959. [Google Scholar] [CrossRef]
- Bellinaso, L.V.; Figueira, H.H.; Basquera, M.F.; Vieira, R.P.; Gründling, H.A.; Michels, L. Cascade Control with Adaptive Voltage Controller applied to Photovoltaic Boost Converters. J. IEEE Trans. Ind. Appl. 2019, 55, 1903–1912. [Google Scholar] [CrossRef]
- Restrepo, C.; Konjedic, T.; Calvente, J.; Milanovic, M.; Giral, R. Fast Transitions Between Current Control Loops of the Coupled-Inductor Buck–Boost DC–DC Switching Converter. J. IEEE Trans. Power Electron. 2013, 28, 3648–3652. [Google Scholar] [CrossRef]
- Feng, Y.; Yu, X.; Han, F. On nonsingular terminal sliding-mode control of nonlinear systems. J. Autom. 2013, 49, 1715–1722. [Google Scholar] [CrossRef]
- Baharizadeh, M.; Golsorkhi, M.S.; Shahparasti, M.; Savaghebi, M. A Two-layer Control Scheme Based on P-V Droop Characteristic for Accurate Power Sharing and Voltage Regulation in DC Microgrids. J. IEEE Trans. Smart Grid 2021, 12, 2776–2787. [Google Scholar] [CrossRef]
- Samanta, S.; Mishra, J.P.; Roy, B.K. Implementation of a virtual inertia control for inertia enhancement of a DC microgrid under both grid connected and isolated operation. J. Comput. Electr. Eng. 2019, 76, 283–298. [Google Scholar] [CrossRef]
- Srinivasan, M.; Kwasinski. A. Control analysis of parallel DC-DC converters in a DC microgrid with constant power loads. J. Int. J. Electr. Power Energy Syst. 2020, 122, 106207. [Google Scholar] [CrossRef]
- Song, S.; Zhang, B.; Xia, J.; Zhang, Z. Adaptive Backstepping Hybrid Fuzzy Sliding Mode Control for Uncertain Fractional-Order Nonlinear Systems Based on Finite-Time Scheme. IEEE Trans. Syst. Man Cybern. Syst. 2020, 50, 1559–1569. [Google Scholar] [CrossRef]
- Wu, J.; Lu, Y. Adaptive Backstepping Sliding Mode Control for Boost Converter with Constant Power Load. J. IEEE Access 2019, 7, 50797–50807. [Google Scholar] [CrossRef]
- Liu, S.Q.; Whidborne, J.F.; He, L. Backstepping sliding-mode control of stratospheric airships using disturbance-observer–ScienceDirect. J. Adv. Space Res. 2020, 67, 1174–1187. [Google Scholar] [CrossRef]
- Liu, S.Q. Adaptive sliding-mode-backstepping trajectory tracking control of underactuated airships. J. Aerosp. Sci. Technol. 2020, 97, 1–13. [Google Scholar] [CrossRef]
Publisher’s Note: MDPI stays neutral with regard to jurisdictional claims in published maps and institutional affiliations. |
© 2021 by the authors. Licensee MDPI, Basel, Switzerland. This article is an open access article distributed under the terms and conditions of the Creative Commons Attribution (CC BY) license (https://creativecommons.org/licenses/by/4.0/).