Sign in to use this feature.

Years

Between: -

Subjects

remove_circle_outline
remove_circle_outline
remove_circle_outline
remove_circle_outline
remove_circle_outline
remove_circle_outline
remove_circle_outline
remove_circle_outline
remove_circle_outline

Journals

Article Types

Countries / Regions

remove_circle_outline
remove_circle_outline
remove_circle_outline
remove_circle_outline

Search Results (602)

Search Parameters:
Keywords = droop control

Order results
Result details
Results per page
Select all
Export citation of selected articles as:
21 pages, 3132 KB  
Article
A Data-Driven Control Parameter Optimization Framework for Enhancing Frequency Stability in High-Renewable-Penetration Power Systems
by Lin Cheng, Fengrui Yang, Zhou Xing, Jing Ren, Zhe Zhang and Gengfeng Li
Energies 2026, 19(7), 1724; https://doi.org/10.3390/en19071724 - 1 Apr 2026
Viewed by 317
Abstract
As the penetration rate of renewable energy continues to rise, the equivalent inertia of power systems has significantly decreased, leading to a marked degradation in frequency stability support capabilities. Under conditions of high renewable energy penetration, the question of how to effectively enhance [...] Read more.
As the penetration rate of renewable energy continues to rise, the equivalent inertia of power systems has significantly decreased, leading to a marked degradation in frequency stability support capabilities. Under conditions of high renewable energy penetration, the question of how to effectively enhance grid frequency support capacity has become a critical research topic in the field of power system operation and control. This paper first systematically analyzes the impact of key control parameters on the frequency dynamic response of power systems. It investigates the intrinsic relationship between these parameters and system frequency stability through both analytical frequency response modeling and time-domain simulation analysis. A frequency stability margin metric is constructed based on the grid frequency response process to quantify the system’s frequency stability performance. Building upon this foundation, an improved ResNet-based frequency stability margin prediction model is established to enable rapid estimation of the frequency stability margin. Furthermore, Bayesian optimization is introduced to optimize frequency control parameters, thereby enhancing system frequency stability. Case studies conducted on the simulation system CSEE-FS with insufficient frequency support capability demonstrate that the proposed method effectively increases the frequency stability margin and significantly improves the system’s frequency response performance. Full article
Show Figures

Figure 1

32 pages, 13387 KB  
Article
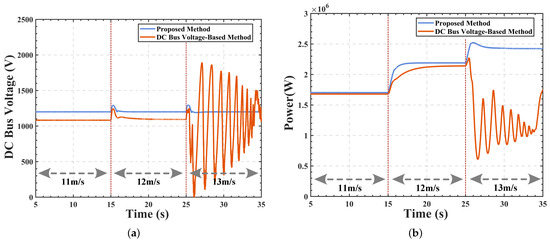
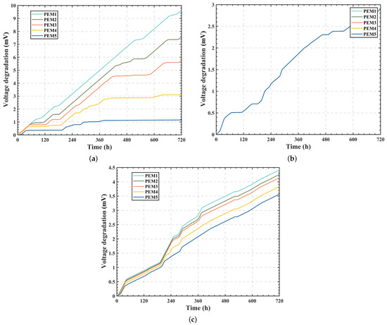
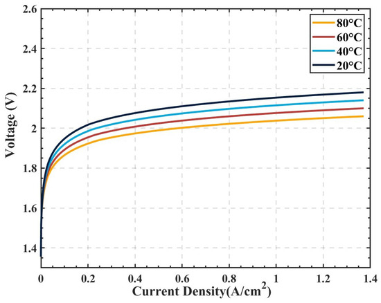
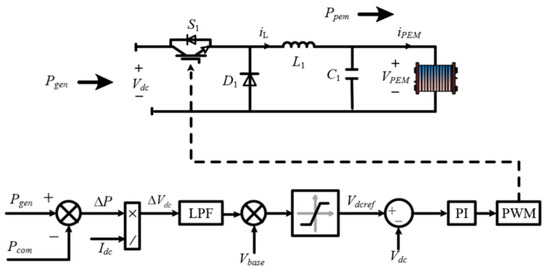
Degradation-Aware Power Allocation and Power-Matching Control in an Off-Grid Wind–Hydrogen System
by Dongdong Li, Xin Lv, Fan Yang and Yifan Deng
Energies 2026, 19(7), 1721; https://doi.org/10.3390/en19071721 - 1 Apr 2026
Viewed by 412
Abstract
Wind power-to-hydrogen has emerged as an important pathway for the large-scale utilization of renewable energy. However, the inherent intermittency and randomness of wind power pose significant challenges to power balance and stable operation in off-grid wind–hydrogen systems. To address these issues, this paper [...] Read more.
Wind power-to-hydrogen has emerged as an important pathway for the large-scale utilization of renewable energy. However, the inherent intermittency and randomness of wind power pose significant challenges to power balance and stable operation in off-grid wind–hydrogen systems. To address these issues, this paper investigates coordinated control strategies for an off-grid wind-powered hydrogen production system. On the wind turbine side, a rotor-speed droop control strategy based on wind speed input is proposed to regulate the turbine power output and mitigate power fluctuations caused by wind variations. On the electrolyzer side, a degradation-aware power allocation strategy is developed for multiple proton exchange membrane water electrolyzers (PEMWE), considering their voltage degradation characteristics under different operating conditions. The simulation results demonstrate that the proposed strategy effectively enhances system performance and operational stability under off-grid conditions. The overall system efficiency is improved by 5%, while the RMS deviation of the DC bus voltage is reduced by 17.31%, indicating improved power balance and smoother operation of the off-grid wind–hydrogen system. Full article
(This article belongs to the Section A: Sustainable Energy)
Show Figures

Figure 1

19 pages, 2748 KB  
Article
Multi-Stage Black-Start Strategy for Pure New Energy Power Grid Based on Grid-Forming Energy Systems
by Ying Wang, Junbo Fu, Shuanbao Niu, Meng Wang and Penghan Li
Energies 2026, 19(7), 1715; https://doi.org/10.3390/en19071715 - 31 Mar 2026
Viewed by 433
Abstract
The increasing penetration of renewable energy is driving the use of grid-forming energy storage (GFM-ES) for black start in pure renewable power grids. However, practical implementation is challenged by three coupled problems: transient voltage overshoot during bus energization, imbalance of state of charge [...] Read more.
The increasing penetration of renewable energy is driving the use of grid-forming energy storage (GFM-ES) for black start in pure renewable power grids. However, practical implementation is challenged by three coupled problems: transient voltage overshoot during bus energization, imbalance of state of charge (SOC) among distributed storage units during islanded operation, and synchronization shocks during grid reconnection. This paper proposes a coordinated multi-stage black-start strategy that integrates (1) an improved V/f startup control with a two-segment voltage reference to soften bus energization; (2) an SOC-aware adaptive droop law based on a bounded arcsine SOC index to balance the charge/discharge effort among distributed storage units; and (3) a virtual-capacitor-based phase-angle control to accelerate synchronization before grid connection. Compared with existing black-start schemes, the proposed framework provides stronger voltage regulation, better SOC consistency, and shorter synchronization time in a pure renewable scenario. The method is validated through PSCAD/EMTDC simulations and an engineering case study of the Ejina pure renewable grid. Full article
(This article belongs to the Special Issue Analysis and Control of Power System Stability)
Show Figures

Figure 1

20 pages, 1368 KB  
Article
Hybrid AC/DC Topologies for the CIGRE Low-Voltage Benchmark Performance Evaluation
by Mustafa A. Kamoona and Juan Manuel Mauricio
Eng 2026, 7(4), 147; https://doi.org/10.3390/eng7040147 - 25 Mar 2026
Viewed by 291
Abstract
This paper presents three hybrid AC/DC topologies for the CIGRE European low-voltage benchmark grid to evaluate their impact on voltage regulation, current compliance, and power-sharing capability under realistic operating conditions. The proposed topologies integrate a dedicated DC network in parallel with the existing [...] Read more.
This paper presents three hybrid AC/DC topologies for the CIGRE European low-voltage benchmark grid to evaluate their impact on voltage regulation, current compliance, and power-sharing capability under realistic operating conditions. The proposed topologies integrate a dedicated DC network in parallel with the existing AC infrastructure through voltage source converters (VSCs), enabling controlled power exchange between the two subsystems. This structure facilitates improved voltage support and more flexible integration of distributed renewable energy resources, many of which inherently operate in DC. A decentralized droop-based control strategy is employed as a uniform baseline to control the VSCs and assess the intrinsic performance of each topology. The proposed architectures are evaluated using realistic 24-h load profiles under scenarios with and without droop control. The results demonstrate significant improvements in voltage stability and feeder current management, particularly under high DC penetration conditions. Overall, the study provides a reproducible benchmark framework for topology-level comparison of hybrid AC/DC low-voltage distribution networks. Full article
(This article belongs to the Section Electrical and Electronic Engineering)
Show Figures

Figure 1

17 pages, 4952 KB  
Article
A VSG Transient Improvement Method from the Perspective of Equivalent Circuits
by Mai Pan, Yingjie Tan, Haili Liu, Hao Bai, Guoqiang Huang and Yipeng Liu
Energies 2026, 19(6), 1575; https://doi.org/10.3390/en19061575 - 23 Mar 2026
Viewed by 189
Abstract
Virtual Synchronous Generator (VSG) has become a prominent candidate to control grid-tied power electronic inverters for its ability to provide inertial support and improve power system frequency stability. However, under disturbances, VSG exhibits significant oscillations in its output frequency and power. Meanwhile, existing [...] Read more.
Virtual Synchronous Generator (VSG) has become a prominent candidate to control grid-tied power electronic inverters for its ability to provide inertial support and improve power system frequency stability. However, under disturbances, VSG exhibits significant oscillations in its output frequency and power. Meanwhile, existing oscillation suppression methods rely on somewhat complex modeling and cumbersome parameter tuning. To address this issue, this paper proposes a straightforward approach to improving the transient performance of VSG based on the equivalent circuit model of the VSG active power loop. First, it is shown that the parameters in the VSG active power loop have a one-to-one correspondence with the elements of a RLC circuit. Based on the equivalent circuit model of VSG control, it is demonstrated that under the constraints of ROCOF and power–frequency droop limitation, oscillation suppression cannot be effectively achieved only by parameter tuning. Thus, an additional damping resistance branch is introduced into the VSG equivalent circuit model. The quantitative parameter design method of this damping branch is further introduced. Finally, high-power experiments demonstrate that the proposed method effectively suppresses power oscillations and enhances the transient performance of VSGs. Full article
(This article belongs to the Special Issue Energy, Electrical and Power Engineering: 5th Edition)
Show Figures

Figure 1

20 pages, 3772 KB  
Article
A 24 V-to-0.6~3 V Quadruple Step-Down Trans-Inductor Voltage Regulator with Phase-Overlap Operation and Ultra-Fast Transient Response for Processors
by Haoxin Cai, Bin Li and Zhaohui Wu
Electronics 2026, 15(6), 1307; https://doi.org/10.3390/electronics15061307 - 20 Mar 2026
Viewed by 184
Abstract
This paper presents a quadruple step-down (QSD) trans-inductor voltage regulator (TLVR) converter to accommodate the high-current and fast-transient requirements of processor power supplies. Evolved from dual-step-down (DSD) topology, the QSD configuration offers stronger load capacity; three additional flying capacitors are introduced between adjacent [...] Read more.
This paper presents a quadruple step-down (QSD) trans-inductor voltage regulator (TLVR) converter to accommodate the high-current and fast-transient requirements of processor power supplies. Evolved from dual-step-down (DSD) topology, the QSD configuration offers stronger load capacity; three additional flying capacitors are introduced between adjacent phases to break the 25% duty cycle constraint, thereby extending the output voltage range and accelerating the transient response. Moreover, the converter’s transient response is optimized to its full potential through both multi-phase simultaneous operation and the incorporation of the dedicated TLVR architecture. A modified adaptive on-time (AOT) controller supporting four-phase simultaneous operation is employed. Designed and verified via post-layout simulation in a 180 nm BCD process with all 6 V power transistors, the converter achieves a peak efficiency of 96.1% at 24 V input and 3 V output, as well as a maximum load capacity of 20 A. Under a 19 A load current step with a 19 ns rise time, it exhibits only a 37 mV output voltage droop and a 2 μs settling time, even with a 100 μF output capacitor. Full article
(This article belongs to the Special Issue Advanced DC-DC Converter Topology Design, Control, Application)
Show Figures

Figure 1

16 pages, 5328 KB  
Article
Adaptive Hybrid Synchronization-Based Transient Stability Enhancement Strategy for Grid-Forming Converters in Weak Grid Scenarios
by Yanlin Wu, Chuang Yu, Ziyang Li, Xinyue Chen, Feng Jiang, Min Chen, Wei Wei and Hongda Cai
Energies 2026, 19(5), 1371; https://doi.org/10.3390/en19051371 - 8 Mar 2026
Viewed by 358
Abstract
Driven by the large-scale application of distributed power sources, power systems are facing escalating frequency stability challenges in terms of inertia reduction. In this weak grid scenario, grid-connected converters are increasingly required to operate as high-inertia grid-forming (GFM) units to participate in the [...] Read more.
Driven by the large-scale application of distributed power sources, power systems are facing escalating frequency stability challenges in terms of inertia reduction. In this weak grid scenario, grid-connected converters are increasingly required to operate as high-inertia grid-forming (GFM) units to participate in the regulation of grid frequency. However, this high inertia will seriously impair the transient stability of GFM converters. To resolve the conflict, an adaptive hybrid synchronization-based transient enhancement strategy is proposed. Through integrating the traditional droop phase angle with the phase-locked loop-locked grid phase angle, the proposed control can effectively enhance transient stability under the full fault range from mild to severe voltage sags (with a voltage sag depth of up to 90%) without sacrificing system inertia. Moreover, benefiting from this, the proposed hybrid synchronization scheme also avoids the secondary overcurrent issue that occurs after fault clearance in traditional GFM control. Finally, the simulation and experimental results under various voltage sags verify the effectiveness of the proposed control strategy. Full article
(This article belongs to the Special Issue Power Electronic Converter and Its Control: 2nd Edition)
Show Figures

Figure 1

29 pages, 374 KB  
Review
The Dual Role of Grid-Forming Inverters: Power Electronics Innovations and Power System Stability
by Mahmood Alharbi
Electronics 2026, 15(5), 1115; https://doi.org/10.3390/electronics15051115 - 8 Mar 2026
Viewed by 646
Abstract
The transition from conventional synchronous generators to inverter-based power systems has introduced significant challenges in stability, reliability, and protection coordination. Grid-forming inverters (GFMs) have emerged as a promising solution by emulating inertia and voltage regulation functions while enabling grid-supportive operation in weak or [...] Read more.
The transition from conventional synchronous generators to inverter-based power systems has introduced significant challenges in stability, reliability, and protection coordination. Grid-forming inverters (GFMs) have emerged as a promising solution by emulating inertia and voltage regulation functions while enabling grid-supportive operation in weak or islanded networks. This study presents a structured qualitative review of the recent literature on GFM technologies. The selection process focused on control strategies, advanced semiconductor materials, protection frameworks, and cyber–physical security considerations. A thematic synthesis and comparative analysis were conducted to identify emerging trends and technical gaps. Among established approaches, virtual synchronous machine (VSM) and droop control remain widely adopted. More advanced strategies, including virtual oscillator control (VOC) and model predictive control (MPC), demonstrate improved dynamic performance in weak-grid conditions. Advances in semiconductor technologies, particularly Silicon Carbide (SiC) and Gallium Nitride (GaN), enable faster switching, higher efficiency, and enhanced thermal performance. The findings indicate a growing shift toward decentralized control architectures, fault-resilient converter topologies, and integrated protection–control co-design. Emerging solutions include grid-forming synchronization techniques that replace conventional phase-locked loop (PLL) structures, intrusion-tolerant inverter firmware with embedded anomaly detection, and predictive fault-clearing schemes tailored for low-inertia networks. Despite these advancements, several research gaps remain. These include limited large-scale validation of VOC and MPC strategies under high renewable penetration, insufficient interoperability metrics for legacy system integration, and a lack of standardized cybersecurity benchmarks across platforms. Future research should prioritize real-time experimental validation, robust protection co-design methodologies, and the development of regulatory and dynamic performance standards tailored to inverter-dominated grids. Strengthening protection coordination and interoperability frameworks will be essential to ensure the secure and stable deployment of GFMs in modern power systems. Full article
Show Figures

Figure 1

36 pages, 755 KB  
Review
Review of Load Frequency Control in Wind Energy Conversion System
by Welcome Khulekani Ntuli and Musasa Kabeya
Wind 2026, 6(1), 11; https://doi.org/10.3390/wind6010011 - 5 Mar 2026
Viewed by 610
Abstract
The integration of renewable energy sources (RESs) into modern power systems has introduced significant challenges in maintaining system stability and reliability. Among these challenges, load frequency control (LFC) has become a vital area of research. The variable nature of RESs, such as wind [...] Read more.
The integration of renewable energy sources (RESs) into modern power systems has introduced significant challenges in maintaining system stability and reliability. Among these challenges, load frequency control (LFC) has become a vital area of research. The variable nature of RESs, such as wind and solar, along with their intermittent availability, necessitates advanced management systems for effective frequency regulation. LFC plays a crucial role in ensuring the stability and performance of electrical power systems by managing frequency through the balance of supply and demand, accounting for variations in load, generation, and other disturbances within the system. In traditional power systems, LFC is achieved through a combination of primary, secondary, and tertiary control mechanisms. However, the advent of smart grids has considerably complicated and enhanced the potential for LFC. In these smart grids, which leverage digital communication, sensors, and automation technologies, LFC becomes more intricate and adaptable. These systems not only utilize traditional centralized control but also incorporate RESs, decentralized resources, energy storage solutions, and real-time data to improve frequency management. This research methodically evaluates current LFC techniques using a hierarchical control and technology-focused framework, classifying approaches as conventional, intelligent, and hybrid control schemes within centralized and decentralized system architectures. An evaluative analysis reveals that while intelligent and hybrid control strategies markedly enhance dynamic frequency response and robustness with substantial renewable energy source (RES) integration, persistent challenges remain regarding controller coordination, scalability, computational requirements, and real-time execution. The analysis highlights adaptive hybrid intelligent control schemes, namely those that combine data-driven learning with physical system models, as the most promising avenue for future research, particularly in low-inertia and highly dispersed smart grid scenarios. Full article
(This article belongs to the Topic Wind Energy in Multi Energy Systems)
Show Figures

Figure 1

26 pages, 4776 KB  
Article
Grid-Forming Inverters in Photovoltaic Power Systems: A Comprehensive Review of Modeling, Control, and Stability Perspectives
by Youness Hakam and Mohamed Tabaa
Energies 2026, 19(5), 1244; https://doi.org/10.3390/en19051244 - 2 Mar 2026
Viewed by 623
Abstract
Grid-forming inverters (GFIs) are emerging as a key enabling technology for maintaining stability in renewable-dominated power systems, where conventional synchronous generation is progressively displaced by inverter-based resources. This paper presents a comprehensive technical review of GFI control strategies applied to photovoltaic (PV) systems, [...] Read more.
Grid-forming inverters (GFIs) are emerging as a key enabling technology for maintaining stability in renewable-dominated power systems, where conventional synchronous generation is progressively displaced by inverter-based resources. This paper presents a comprehensive technical review of GFI control strategies applied to photovoltaic (PV) systems, with focused attention on small-signal stability, transient dynamic performance, and overcurrent-limiting capabilities. In contrast to grid-following inverters (GFLIs), which rely on phase-locked-loop synchronization, GFIs operate as voltage sources capable of forming and regulating grid voltage and frequency. The reviewed control approaches, including droop control, virtual synchronous generator (VSG), synchronverter, matching control, virtual oscillator control (VOC), model predictive control (MPC), and intelligent techniques such as fuzzy logic control (FLC), artificial neural networks (ANNs), and adaptive neuro-fuzzy inference systems (ANFISs), are systematically compared based on dynamic response characteristics, robustness under weak-grid conditions, control complexity, and practical implementation challenges. The paper synthesizes recent findings on stability margins, inertia emulation, transient current response, and protection requirements, highlighting remaining research gaps related to large-disturbance ride-through capability, coordination of multiple GFIs, and protection integration. These insights aim to support future deployments of reliable grid-forming photovoltaic systems in resilient inverter-dominated power networks. Full article
Show Figures

Figure 1

22 pages, 2733 KB  
Article
Attention-Enhanced Multi-Agent Deep Reinforcement Learning for Inverter-Based Volt-VAR Control in Active Distribution Networks
by Wenwen Chen, Hao Niu, Linbo Liu, Jianglong Lin and Huan Quan
Mathematics 2026, 14(5), 839; https://doi.org/10.3390/math14050839 - 1 Mar 2026
Viewed by 388
Abstract
The increasing penetration of inverter-interfaced photovoltaic (PV) generation in active distribution networks (ADNs) intensifies fast voltage violations and makes real-time Volt-VAR control (VVC) challenging, especially when each inverter has only partial and noisy measurements and communication is limited. Existing local droop-type strategies lack [...] Read more.
The increasing penetration of inverter-interfaced photovoltaic (PV) generation in active distribution networks (ADNs) intensifies fast voltage violations and makes real-time Volt-VAR control (VVC) challenging, especially when each inverter has only partial and noisy measurements and communication is limited. Existing local droop-type strategies lack coordination, while fully centralized optimization/learning is often impractical for online deployment. To address these gaps, an attention-enhanced multi-agent deep reinforcement learning (MADRL) framework is developed for inverter-based VVC under the centralized training and decentralized execution (CTDE) paradigm. First, the voltage regulation problem is formulated as a decentralized partially observable Markov decision process (Dec-POMDP) to explicitly account for system stochasticity and temporal variability under partial observability. To solve this complex game, an attention-enhanced MADRL architecture is employed, where an agent-level attention mechanism is integrated into the centralized critic. Unlike traditional methods that treat all neighbor information equally, the proposed mechanism enables each inverter agent to dynamically prioritize and selectively focus on the most influential states from other agents, effectively capturing complex intercorrelations while enhancing training stability and learning efficiency. Operating under the CTDE paradigm, the framework realizes coordinated reactive power support using only local measurements, ensuring high scalability and practical implementability in communication-constrained environments. Simulations on the IEEE 33-bus system with six PV inverters show that the proposed method reduces the average voltage deviation on the test set from 0.0117 p.u. (droop control) and 0.0112 p.u. (MADDPG) to 0.0074 p.u., while maintaining millisecond-level execution time comparable to other MADRL baselines. Scalability tests with up to 12 agents further demonstrate robust performance of the proposed method under higher PV penetration. Full article
Show Figures

Figure 1

29 pages, 1129 KB  
Article
Voltage Regulation and SoC-Oriented Power Distribution in DC Microgrids via Distributed Control of Energy Storage Systems
by Olanrewaju Lasabi, Mohamed Khan, Andrew Swanson, Leigh Jarvis and Anuoluwapo Aluko
Electricity 2026, 7(1), 17; https://doi.org/10.3390/electricity7010017 - 1 Mar 2026
Viewed by 402
Abstract
The rapid integration of renewable energy sources has accelerated the adoption of DC microgrids as an effective platform for flexible and reliable power generation and management. However, conventional droop-based control suffers from inherent limitations, particularly voltage deviations at the DC bus, which compromise [...] Read more.
The rapid integration of renewable energy sources has accelerated the adoption of DC microgrids as an effective platform for flexible and reliable power generation and management. However, conventional droop-based control suffers from inherent limitations, particularly voltage deviations at the DC bus, which compromise stability, power-sharing accuracy, and overall system performance. To address these challenges, this paper presents a distributed secondary control framework for a standalone PV battery-based DC microgrid that achieves bus voltage regulation, precise power distribution, and state-of-charge (SoC) balancing across multiple energy storage units (ESUs). At the primary level, an adaptive mechanism is introduced that dynamically adjusts droop coefficients in response to the real-time SoC of each ESU, promoting balanced utilization of storage resources. At the secondary level, the strategy leverages limited peer-to-peer communication to exchange only aggregate power information, thereby enabling accurate load sharing while preserving scalability and plug-and-play capability. The control architecture further incorporates voltage and current error compensation, with parameters tuned using a Whale Optimization Algorithm to enhance dynamic response. Validation is carried out through a real-time simulation environment developed in MATLAB/Simulink R2024b and executed on a SpeedgoatTM platform. The results demonstrate robust SoC equalization, improved bus voltage stability, and reliable cooperative coordination, positioning the scheme as a practical solution for next-generation DC microgrids. Full article
Show Figures

Figure 1

28 pages, 2703 KB  
Article
Generalized Dynamic Security Region of Grid-Following and Grid-Forming Converter-Based Systems by Basin of Attraction Method
by Rui Ma, Yan Cheng, Shibo Wang, Shumin Sun and Wei Cong
Appl. Sci. 2026, 16(4), 2130; https://doi.org/10.3390/app16042130 - 22 Feb 2026
Viewed by 265
Abstract
With renewable integration and zero-carbon microgrids achieving 100% penetration, converter-dominated systems exhibit millisecond-timescale transient synchronization, which challenges existing physical cognitive methods and cognitive methodology with the synchronous generator (SG). In this paper, in order to quantificationally analyze the transient synchronization, a unified framework [...] Read more.
With renewable integration and zero-carbon microgrids achieving 100% penetration, converter-dominated systems exhibit millisecond-timescale transient synchronization, which challenges existing physical cognitive methods and cognitive methodology with the synchronous generator (SG). In this paper, in order to quantificationally analyze the transient synchronization, a unified framework has been proposed that combines the generalized participation factor (GPF) method and basin of attraction (BOA) boundary analysis using the manifold approach. According to the GPF and BOA analyses, the fourth-order models are essential for accurate stability quantification, with synchronization controls (PLL, VSG, and droop control) contributing greater than 70% to transient dynamics versus about 20% from power-balance interactions. Further, the dynamic security region (DSR) is redefined by two typologies. Type 1 DSR maps stability in active-power injection space, and Type 2 DSR (generalized DSR) delineates limits in the controllable parameter space. The estimation procedures are proposed for these two types of DSRs by the BOA method. Finally, electromagnetic transient simulations and critical clearing time validation are employed for fidelity verification of models and estimation approaches. To sum up, the proposed novel framework enables systematic DSR estimations for renewable-rich power systems, empowering grid operators to optimize converter-controllable parameters and system operation conditions. Full article
(This article belongs to the Special Issue Power System Security Assessment and Risk Analysis)
Show Figures

Figure 1

17 pages, 3327 KB  
Article
Coordinated Inertia Synthesis and Stability Design for PV Systems Utilizing DC-Link Capacitors
by Qi Hua, Lunbo Deng, Qiao Peng and Yongheng Yang
Energies 2026, 19(4), 1100; https://doi.org/10.3390/en19041100 - 22 Feb 2026
Viewed by 312
Abstract
The increasing penetration of inverter-based resources (IBRs) has been reducing system inertia and intensifying frequency stability challenges. Hence, various grid demands have been imposed on grid-connected systems, e.g., requiring the provision of an auxiliary service to the grid. In this context, this paper [...] Read more.
The increasing penetration of inverter-based resources (IBRs) has been reducing system inertia and intensifying frequency stability challenges. Hence, various grid demands have been imposed on grid-connected systems, e.g., requiring the provision of an auxiliary service to the grid. In this context, this paper investigates the provision of synthesized inertia from the DC-link capacitors in grid-connected photovoltaic (PV) systems. For this configuration, the PV converter adopts a frequency–voltage droop control (FVDC) strategy, while a virtual synchronous generator (VSG) is employed on the grid side to emulate a synchronous generator, to enable the DC-link energy to contribute to primary frequency support. To quantify the virtual inertia and evaluate the closed-loop stability, a small-signal model of the inverter system is established. An eigenvalue analysis reveals that while increasing the DC-link voltage or capacitance enhances the achievable virtual inertia, it simultaneously narrows the stability margin. As such, comparative stability assessments under different parameter settings are performed, highlighting the distinct impacts of the DC-link voltages and capacitances on the emulated inertia and stability margins. The study provides insights into the maximum virtual inertia achievable via DC-link capacitors and offers practical guidelines for coordinating the controller and DC-link design to enhance frequency robustness in low-inertia power systems. Real-time hardware-in-the-loop (RT-HIL) tests validate the analytical findings. Full article
Show Figures

Figure 1

19 pages, 3891 KB  
Article
Harmonic Power Sharing Control Method for Microgrid Inverters Based on Disturbance Virtual Impedance
by Fei Chang, Genglun Song, Shubao Li, Bao Li, Zinan Lou, Yufei Liang, Danyang Wang and Yan Zhang
Energies 2026, 19(4), 1015; https://doi.org/10.3390/en19041015 - 14 Feb 2026
Viewed by 267
Abstract
Parallel inverter systems constitute the fundamental units of AC microgrids and distributed renewable energy generation systems, wherein accurate power sharing among units represents a critical challenge for stable operation. Conventional droop control fails to share the harmonic power in proportionality to the capacity [...] Read more.
Parallel inverter systems constitute the fundamental units of AC microgrids and distributed renewable energy generation systems, wherein accurate power sharing among units represents a critical challenge for stable operation. Conventional droop control fails to share the harmonic power in proportionality to the capacity of inverters due to disparities on line impedance, leading to circulating currents, degraded power quality, and reduced system load capability. To address these issues, this paper proposes a harmonic power-sharing control strategy based on perturbative virtual impedance injection. Under the premise that fundamental power sharing according to capacity ratios has been ensured, the strategy first converts the harmonic power information of each inverter into a small-signal perturbation, which is injected into the virtual impedance of its fundamental control loop. Subsequently, by detecting the resulting variations in fundamental power coefficients induced by this perturbation, a closed-loop feedback is constructed to adaptively adjust the virtual impedance value of each inverter at harmonic frequencies. This adjustment enables the automatic matching of the harmonic power distribution ratio to the inverter capacity ratio, ultimately achieving precise harmonic power sharing. The proposed strategy operates without requiring inter-unit communication links or sampling the voltage at the common coupling point, relying solely on local information, thereby enhancing system reliability. Finally, the effectiveness of the proposed control strategy in achieving harmonic power sharing under conditions of line impedance mismatch is validated through an RT-LAB hardware-in-the-loop platform. Full article
(This article belongs to the Section A1: Smart Grids and Microgrids)
Show Figures

Figure 1

Back to TopTop