A Robust Multilevel Inverter Topology for Operation under Fault Conditions
Abstract
:1. Introduction
2. Proposed Five-Level Fault-Tolerant MLI Topology
3. Conventional Nearest Level Control (NLC)
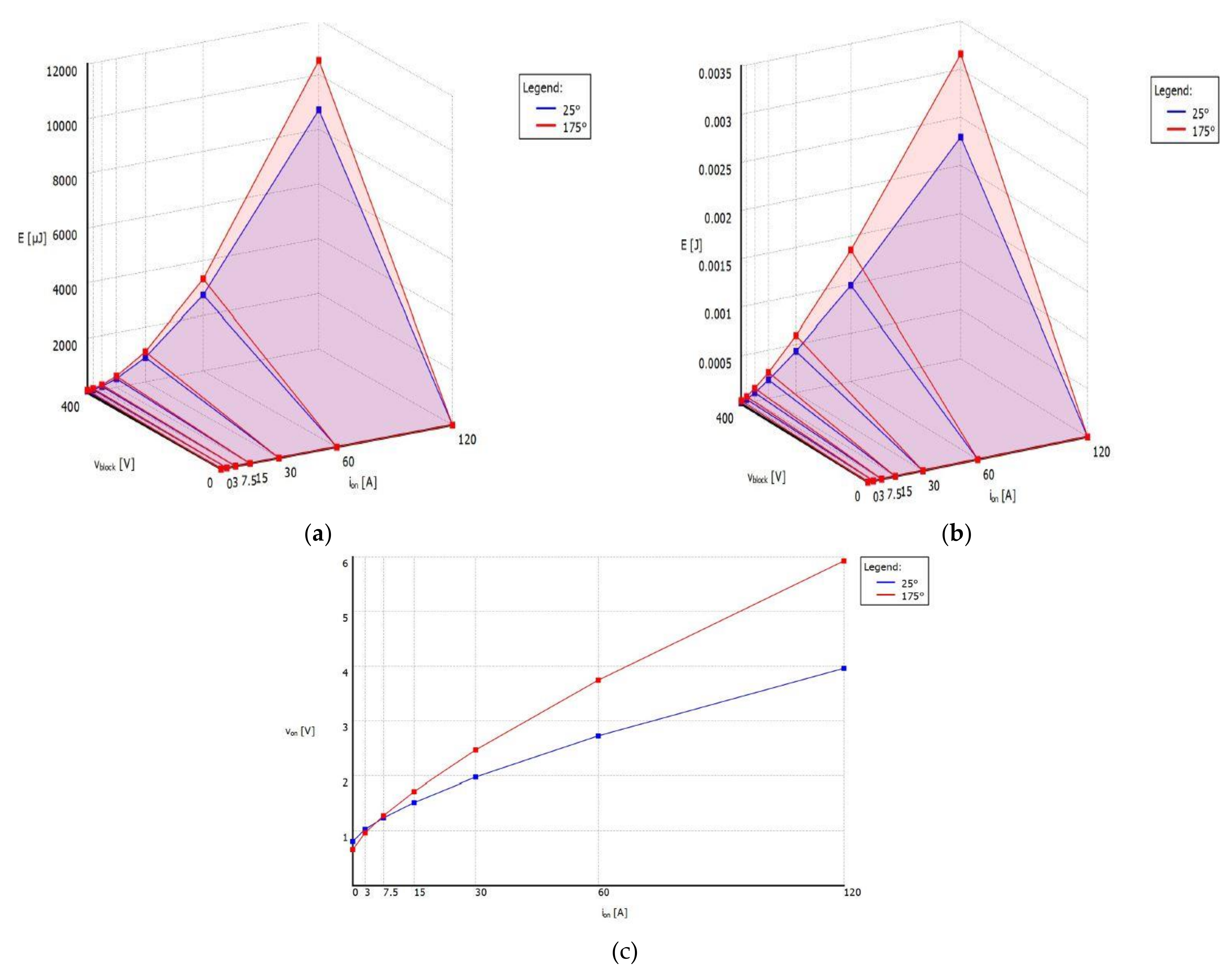
4. Power Loss Analysis
4.1. Switching Losses (PS)
4.2. Conduction Losses (PC)
5. Simulation Results and Discussions
Simulation Results
6. Experimental Setup and Results
7. Inverter Topologies Comparison
8. Conclusions
Author Contributions
Funding
Conflicts of Interest
References
- Kouro, S.; Malinowski, M.; Gopakumar, K.; Pou, J.; Franquelo, L.G.; Wu, B.; Rodriguez, J.; Pérez, M.A.; Leon, J.I. Recent advances and industrial applications of multilevel converters. IEEE Trans. Ind. Electron. 2010, 57, 2553–2580. [Google Scholar] [CrossRef]
- Rodriguez, J.; Lai, J.-S.; Peng, F.Z. Multilevel inverters: A survey of topologies, controls, and applications. IEEE Trans. Ind. Electron. 2002, 49, 724–738. [Google Scholar] [CrossRef] [Green Version]
- Agrawal, R.; Jain, S. Comparison of reduced part count multilevel inverters (RPC-MLIs) for integration to the grid. Int. J. Electr. Power Energy Syst. 2017, 84, 214–224. [Google Scholar] [CrossRef]
- Tolbert, L.M.; Peng, F.Z.; Habetler, T.G. Multilevel inverters for electric vehicle applications. IEEE Work. Power Electron. Transp. 1998, 79–84. [Google Scholar] [CrossRef] [Green Version]
- Vahedi, H.; Labbé, P.A.; Al-Haddad, K. Sensor-Less Five-Level Packed U-Cell (PUC5) Inverter Operating in Stand-Alone and Grid-Connected Modes. IEEE Trans. Ind. Inform. 2016, 12, 361–370. [Google Scholar] [CrossRef]
- Khoucha, F.; Lagoun, M.S.; Kheloui, A.; Benbouzid, M.E.H. A comparison of symmetrical and asymmetrical three-phase H-bridge multilevel inverter for DTC induction motor drives. IEEE Trans. Energy Convers. 2011, 26, 64–72. [Google Scholar] [CrossRef] [Green Version]
- Zhang, W.; Xu, D.; Enjeti, P.N.; Li, H.; Hawke, J.T.; Krishnamoorthy, H.S. Survey on Fault-Tolerant Techniques for Power Electronic Converters. IEEE Trans. Power Electron. 2014, 29, 6319–6331. [Google Scholar] [CrossRef]
- Li, C.; Jiao, D.; Jia, J.; Guo, F.; Wang, J. Thermoelectric Cooling for Power Electronics Circuits: Modeling and Active Temperature Control. IEEE Trans. Ind. Appl. 2014, 50, 3995–4005. [Google Scholar] [CrossRef]
- Yang, Y.; Wang, H.; Blaabjerg, F. Improved Reliability of Single-Phase PV Inverters by Limiting the Maximum Feed—In Power. In Proceedings of the 2014 IEEE Energy Conversion Congress and Exposition (ECCE), Pittsburgh, PA, USA, 14–18 September 2014; pp. 128–135. [Google Scholar]
- Hussan, M.R.; Sarwar, A.; Siddique, M.D.; Mekhilef, S.; Ahmad, S.; Sharaf, M.; Zaindin, M.; Firdausi, M. A novel switched-capacitor multilevel inverter topology for energy storage and smart grid applications. Electronics 2020, 9, 1703. [Google Scholar] [CrossRef]
- Hu, P.; Jiang, D. A Level-Increased Nearest Level Modulation Method for Modular Multilevel Converters. IEEE Trans. Power Electron. 2015, 30, 1836–1842. [Google Scholar] [CrossRef]
- Hussan, M.R.; Sarwar, A.; Siddique, M.D.; Iqbal, A.; Alamri, B. A Cross Connected Asymmetrical Switched-Capacitor Multilevel Inverter. IEEE Access 2021, 9, 96416–96429. [Google Scholar] [CrossRef]
- Hussan, M.R.; Sarwar, A.; Khan, I.; Tariq, M.; Tayyab, M.; Alhosaini, W. An Eleven-Level Switched-Capacitor Inverter with Boosting Capability. Electronics 2021, 10, 2262. [Google Scholar] [CrossRef]
- Ye, Y.; Chen, S.; Wang, X.; Cheng, K.E. Self-Balanced 13-Level Inverter Based on Switched-Capacitor and Hybrid PWM Algorithm. IEEE Trans. Ind. Electron. 2020, 68, 4827–4837. [Google Scholar] [CrossRef]
- Tayyab, M.; Sarwar, A.; Khan, I.; Tariq, M.; Hussan, M.R.; Murshid, S.; Alhosaini, W. A single source switched-capacitor 13-level inverter with triple voltage boosting and reduced component count. Electronics 2021, 10, 2321. [Google Scholar] [CrossRef]
- Aly, M.; Ahmed, E.M.; Shoyama, M. A New Single-Phase Five-Level Inverter Topology for Single and Multiple Switches Fault Tolerance. IEEE Trans. Power Electron. 2018, 33, 9198–9208. [Google Scholar] [CrossRef]
- Mhiesan, H.; Wei, Y.; Siwakoti, Y.P.; Mantooth, H.A. A Fault-Tolerant Hybrid Cascaded H-Bridge Multilevel Inverter. IEEE Trans. Power Electron. 2020, 35, 12702–12715. [Google Scholar] [CrossRef]
- Nistane, T.J.; Sahu, L.K.; Jalhotra, M.; Gautam, S.P. Single and multiple switch fault-tolerance capabilities in a hybrid five-level inverter topology. IET Power Electron. 2020, 13, 1257–1266. [Google Scholar] [CrossRef]
- Li, J.; Huang, A.Q.; Liang, Z.; Bhattacharya, S. Analysis and design of active NPC (ANPC) inverters for fault-tolerant operation of high-power electrical drives. IEEE Trans. Power Electron. 2012, 27, 519–533. [Google Scholar] [CrossRef]
- Katebi, R.; He, J.; Weise, N. Investigation of Fault-Tolerant Capabilities in an Advanced Three-Level Active T-Type Converter. IEEE J. Emerg. Sel. Top. Power Electron. 2019, 7, 446–457. [Google Scholar] [CrossRef] [Green Version]
















| Inverter Configuration | Diode-Clamped | Flying Capacitor | Cascaded Inverter |
|---|---|---|---|
| Switches | 2(t − 1) | 2(t − 1) | 2(t − 1) |
| Main Diodes | 2(t − 1) | 2(t − 1) | 2(t − 1) |
| Clamping Diodes | (t − 1)(t − 2) | 0 | 0 |
| DC Bus Capacitor | (t − 1) | (t − 1) | (t − 1)/2 |
| Balancing Capacitor | 0 | (t − 1)(t − 2)/2 | 0 |
| Levels | S1 | S2 | S3 | S4 | S5 | S6 | S7 | S8 | S9 |
|---|---|---|---|---|---|---|---|---|---|
| 1 | 1 | 1 | 0 | 0 | 0 | 0 | 0 | 0 | |
| 0 | 0 | 0 | 1 | 1 | 1 | 0 | 0 | 0 | |
| 0 | 1 | 1 | 0 | 0 | 0 | 0 | 1 | 0 | |
| 0 | 0 | 0 | 0 | 0 | 0 | 0 | 0 | 1 | 1 |
| 0 | 0 | 0 | 0 | 1 | 1 | 1 | 0 | 0 | |
| Vdc2 | 1 | 1 | 0 | 0 | 0 | 1 | 0 | 0 | 0 |
| 0 | 1 | 0 | 0 | 0 | 1 | 0 | 1 | 0 | |
| (Vdc1−Vdc2) | 1 | 0 | 1 | 0 | 1 | 0 | 0 | 0 | 0 |
| 0 | 0 | 1 | 0 | 1 | 0 | 0 | 1 | 0 | |
| 1 | 0 | 0 | 0 | 0 | 0 | 0 | 0 | 1 | |
| Vdc1 | 1 | 0 | 0 | 0 | 1 | 1 | 0 | 0 | 0 |
| 0 | 0 | 0 | 0 | 1 | 1 | 0 | 1 | 0 | |
| 0 | 0 | 0 | 0 | 0 | 0 | 0 | 1 | 1 | |
| 0 | 1 | 0 | 0 | 0 | 1 | 1 | 0 | 0 | |
| 0 | 0 | 1 | 0 | 1 | 0 | 1 | 0 | 0 | |
| −Vdc2 | 0 | 0 | 1 | 1 | 1 | 0 | 0 | 0 | 0 |
| 0 | 1 | 0 | 0 | 0 | 1 | 1 | 0 | 0 | |
| − (Vdc1−Vdc2) | 0 | 1 | 0 | 1 | 0 | 1 | 0 | 0 | 0 |
| −Vdc1 | 0 | 1 | 1 | 1 | 0 | 0 | 0 | 0 | 0 |
| 0 | 1 | 1 | 0 | 0 | 0 | 0 | 1 | 0 |
| Failed Switch | Available Modes | Operation Level |
|---|---|---|
| S1 | δ2, δ3, δ4, δ5, δ8, δ9, δ12, δ13, δ14, δ15, δ16, δ17, δ18, δ19, δ20 | 5 |
| S2 | δ2, δ3, δ5, δ7, δ9, δ10, δ13, δ12, δ13, δ14, δ15, δ16, δ17, δ18, δ19, δ20 | 3 |
| S3 | δ1, δ3, δ4, δ5, δ6, δ7, δ8, δ9, δ10, δ11, δ12, δ13, δ14, δ16, δ18 | 3 |
| S4 | δ1, δ3, δ4, δ5, δ6, δ7, δ8, δ9, δ10, δ11, δ12, δ13, δ14, δ16, δ18 | 5 |
| S5 | δ1, δ4, δ5, δ6, δ8, δ10, δ11, δ13, δ14, δ15, δ16, δ18, δ19, δ20 | 5 |
| S6 | δ1, δ4, δ5, δ7, δ9, δ10, δ13, δ15, δ17, δ19, δ20 | 5 |
| S7 | δ1, δ2, δ4, δ6, δ7, δ8, δ9, δ10, δ11, δ12, δ13, δ15, δ18, δ19 | 5 |
| S8 | δ1, δ2, δ3, δ5, δ6, δ7, δ10, δ11, δ14, δ15, δ16, δ17, δ18, δ19, δ20 | 5 |
| S9 | δ1, δ2, δ3, δ4, δ6, δ7, δ8, δ9, δ11, δ12, δ14, δ15, δ16, δ17, δ18, δ19, δ20 | 5 |
| Parameters | Specification |
|---|---|
| DC Supply 1 | 100 |
| DC Supply 2 | 50 |
| Load Resistance and Inductance Value | R = 100 Ω, L = 318 mH |
| Modulation Index | 1 |
| Switching Frequency | 50 HZ |
| Parameters | Specification Type |
|---|---|
| DC Voltage Source 1 | 60 |
| DC Voltage Source 2 | 30 |
| Switches | IGBTFGA25N120 |
| Resistive Load | 300 Ω |
| DSP Kit | C2000, Texas |
| Optocoupler | TLP250(TOSHIBA) |
| Modulation Index(M) | 1 |
| Switching Frequency | 50 HZ |
| Inverter Type | DC Sources | Capacitor | Clamped Diode | Active Switch | Total Parts Count | Control Complexity | Cost Factor |
|---|---|---|---|---|---|---|---|
| Cascaded-H Bridge | 2 | 0 | 0 | 8 | 10 | Low | 3.2 |
| NPC with Voltage Control | 1 | 4 | 6 | 8 | 19 | Very High | 17.6 |
| NPC without Voltage Control | 4 | 0 | 6 | 8 | 18 | Low | 16 |
| Flying Capacitor | 1 | 3 | 0 | 6 | 10 | High | 4.8 |
| PUC5 | 1 | 1 | 0 | 6 | 8 | Very Low | 2.4 |
| Proposed Topology | 2 | 0 | 0 | 9 | 11 | Very Low | 3.6 |
| Inverter Configuration | [16] | [17] | [18] | [19] | [20] | Proposed Topology |
|---|---|---|---|---|---|---|
| Main Switches | 14 | 16 | 12 | 18 | 12 | 9 |
| Main Diodes | 14 | 16 | 12 | 18 | 12 | 0 |
| Clamping Diodes | 4 | 0 | 0 | 0 | 0 | 0 |
| DC Bus Capacitor | 0 | 0 | 0 | 2 | 0 | 0 |
| Flying Capacitor | 0 | 0 | 0 | 1 | 0 | 0 |
| Voltage Level in Healthy Condition | 5 | 7 | 5 | 3 | 3 | 5 |
| DC Voltage Sources | 2 | 3 | 1 | 1 | 2 | 2 |
| Cost Factor | 56 | 43.42 | 31.2 | 138 | 56 | 3.6 |
| Bi-directional Switches | 0 | 0 | 0 | 0 | 0 | 0 |
| Auxiliary Module | ✕ | ✓ | ✕ | ✕ | ✕ | ✕ |
| Redundant Leg | ✓ | ✕ | ✓ | ✕ | ✓ | ✕ |
| Impedance Network | ✕ | ✕ | ✕ | ✓ | ✕ | ✕ |
| SingleSwitch OCFaultTolerant | ✓ | ✓ | ✓ | ✓ | ✓ | ✓ |
Publisher’s Note: MDPI stays neutral with regard to jurisdictional claims in published maps and institutional affiliations. |
© 2021 by the authors. Licensee MDPI, Basel, Switzerland. This article is an open access article distributed under the terms and conditions of the Creative Commons Attribution (CC BY) license (https://creativecommons.org/licenses/by/4.0/).
Share and Cite
Asif, M.; Tariq, M.; Sarwar, A.; Hussan, M.R.; Ahmad, S.; Mihet-Popa, L.; Shah Noor Mohamed, A. A Robust Multilevel Inverter Topology for Operation under Fault Conditions. Electronics 2021, 10, 3099. https://doi.org/10.3390/electronics10243099
Asif M, Tariq M, Sarwar A, Hussan MR, Ahmad S, Mihet-Popa L, Shah Noor Mohamed A. A Robust Multilevel Inverter Topology for Operation under Fault Conditions. Electronics. 2021; 10(24):3099. https://doi.org/10.3390/electronics10243099
Chicago/Turabian StyleAsif, Mohd, Mohd Tariq, Adil Sarwar, Md Reyaz Hussan, Shafiq Ahmad, Lucian Mihet-Popa, and Adamali Shah Noor Mohamed. 2021. "A Robust Multilevel Inverter Topology for Operation under Fault Conditions" Electronics 10, no. 24: 3099. https://doi.org/10.3390/electronics10243099
APA StyleAsif, M., Tariq, M., Sarwar, A., Hussan, M. R., Ahmad, S., Mihet-Popa, L., & Shah Noor Mohamed, A. (2021). A Robust Multilevel Inverter Topology for Operation under Fault Conditions. Electronics, 10(24), 3099. https://doi.org/10.3390/electronics10243099

