Formulation of Biological Sunscreen from Calendula arvensis Capitula Extracts: Antioxidant, Anti-Aging, Surface Tension, and UVB Protection Properties Assessed
Abstract
1. Introduction
2. Materials and Methods
2.1. Plant Material
2.2. Extractions
2.3. Phenolic Compounds Quantification
2.3.1. Total Phenolic Contents (TPCs)
2.3.2. Total Flavonoid Contents (TFCs)
2.3.3. Tannin Content (TC)
2.4. Antioxidant Capacity
2.4.1. Anti-Free Radical Activity by 1,1-Diphenyl-2-picrylhydrazil (DPPH)
2.4.2. Ferric Reducing Antioxidant Power (FRAP)
2.4.3. Total Antioxidant Capacity (TAC)
2.5. Anti-Aging Effect
2.6. Surface and Interfacial Activities
2.7. Photoprotective Activity
2.7.1. Sun Protection Factor (SPF)
2.7.2. Sunscreen O/W Emulsion Formulas Based on C. arvensis Capitula Extracts
2.8. Stability Tests and Characterization of the Formulas
2.9. Statistical Analysis
3. Results
3.1. Phenolic Compounds
3.2. Antioxidant Activity
3.3. Effect of C. arvensis on Cell Aging-Inducing Enzymes
3.4. Interfacial and Surface Tension Characteristics
3.5. Sun Protection Factor (SPF-UVB)
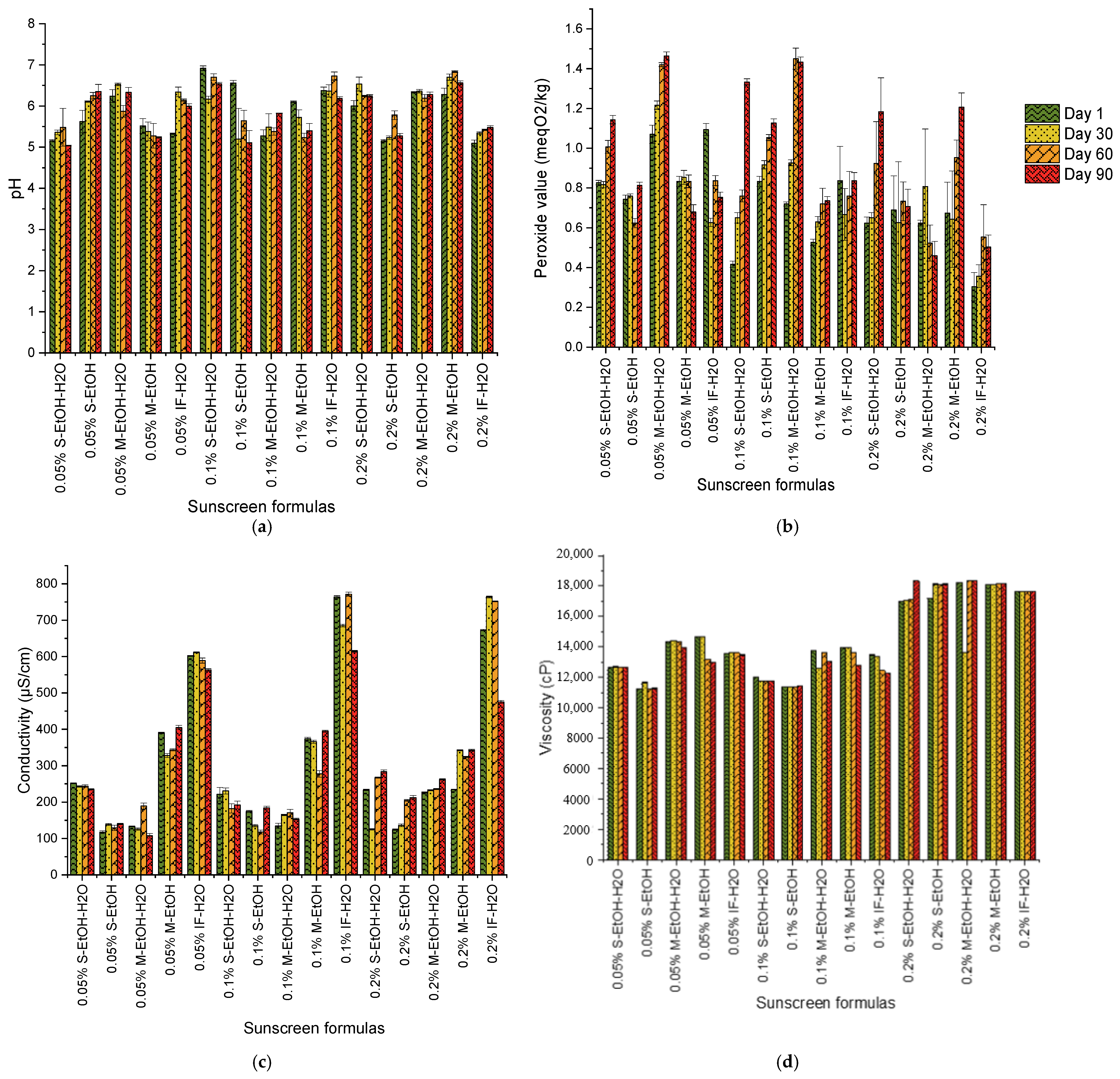
3.6. Sunscreen Characteristics and Stability
4. Discussion
5. Limitations
6. Conclusions
Author Contributions
Funding
Institutional Review Board Statement
Informed Consent Statement
Data Availability Statement
Acknowledgments
Conflicts of Interest
References
- Passeron, T.; Krutmann, J.; Andersen, M.; Katta, R.; Zouboulis, C. Clinical and biological impact of the exposome on the skin. J. Eur. Acad. Dermatol. Venereol. 2020, 34, 4–25. [Google Scholar] [CrossRef] [PubMed]
- Diffey, B. Solar ultraviolet radiation effects on biological systems. Phys. Med. Biol. 1991, 36, 299. [Google Scholar] [CrossRef] [PubMed]
- Muthusamy, V.; Piva, T.J. The UV response of the skin: A review of the MAPK, NFκB and TNFα signal transduction pathways. Arch. Dermatol. Res. 2010, 302, 5–17. [Google Scholar] [CrossRef] [PubMed]
- Gasparro, F.P.; Mitchnick, M.; Nash, J.F. A review of sunscreen safety and efficacy. Photochem. Photobiol. 1998, 68, 243–256. [Google Scholar] [CrossRef]
- Nash, J. Human safety and efficacy of ultraviolet filters and sunscreen products. Dermatol. Clin. 2006, 24, 35–51. [Google Scholar] [CrossRef]
- Bozza, A.; Campi, C.; Garelli, S.; Ugazio, E.; Battaglia, L. Current regulatory and market frameworks in green cosmetics: The role of certification. Sustain. Chem. Pharm. 2022, 30, 100851. [Google Scholar] [CrossRef]
- Ottman, J. The New Rules of Green Marketing: Strategies, Tools, and Inspiration for Sustainable Branding; Routledge: London, UK, 2017. [Google Scholar]
- Tran, E.; Richmond, G.L. Interfacial steric and molecular bonding effects contributing to the stability of neutrally charged nanoemulsions. Langmuir 2021, 37, 12643–12653. [Google Scholar] [CrossRef]
- Arora, D.; Rani, A.; Sharma, A. A review on phytochemistry and ethnopharmacological aspects of genus Calendula. Pharmacogn. Rev. 2013, 7, 179. [Google Scholar] [CrossRef]
- El-Otmani, N.; Zeouk, I.; Hammani, O.; Zahidi, A. Analysis and Quality Control of Bio-actives and Herbal Cosmetics: The Case of Traditional Cooperatives from Fes-Meknes Region. Trop. J. Nat. Prod. Res. (TJNPR) 2024, 8, 7181–7195. [Google Scholar] [CrossRef]
- Khouchlaa, A.; El Baaboua, A.; El Moudden, H.; Lakhdar, F.; Bakrim, S.; El Menyiy, N.; Belmehdi, O.; Harhar, H.; El Omari, N.; Balahbib, A. Traditional uses, bioactive compounds, and pharmacological investigations of Calendula arvensis L.: A Comprehensive review. Adv. Pharmacol. Pharm. Sci. 2023, 2023, 2482544. [Google Scholar] [CrossRef]
- Nichols, J.A.; Katiyar, S.K. Skin photoprotection by natural polyphenols: Anti-inflammatory, antioxidant and DNA repair mechanisms. Arch. Dermatol. Res. 2010, 302, 71–83. [Google Scholar] [CrossRef] [PubMed]
- de Lima Cherubim, D.J.; Buzanello Martins, C.V.; Oliveira Fariña, L.; da Silva de Lucca, R.A. Polyphenols as natural antioxidants in cosmetics applications. J. Cosmet. Dermatol. 2020, 19, 33–37. [Google Scholar] [CrossRef] [PubMed]
- Lister, E.; Wilson, P. Measurement of total phenolics and ABTS assay for antioxidant activity (personal communication). Crop Res. Inst. Linc. New Zealand 2001, 7, 235–239. [Google Scholar]
- Djeridane, A.; Yousfi, M.; Nadjemi, B.; Boutassouna, D.; Stocker, P.; Vidal, N. Antioxidant activity of some Algerian medicinal plants extracts containing phenolic compounds. Food Chem. 2006, 97, 654–660. [Google Scholar] [CrossRef]
- RibéreauGayon, P.; Stonestreet, E. Dosage des tanins du vin rouge et détermination de leur structure. Chim. Anal. 1966, 48, 188–196. [Google Scholar]
- Topçu, G.; Ay, M.; Bilici, A.; Sarıkürkcü, C.; Öztürk, M.; Ulubelen, A. A new flavone from antioxidant extracts of Pistacia terebinthus. Food Chem. 2007, 103, 816–822. [Google Scholar] [CrossRef]
- Prieto, P.; Pineda, M.; Aguilar, M. Spectrophotometric quantitation of antioxidant capacity through the formation of a phosphomolybdenum complex: Specific application to the determination of vitamin E. Anal. Biochem. 1999, 269, 337–341. [Google Scholar] [CrossRef]
- Kim, Y.-J.; Uyama, H.; Kobayashi, S. Inhibition effects of (+)-catechin–aldehyde polycondensates on proteinases causing proteolytic degradation of extracellular matrix. Biochem. Biophys. Res. Commun. 2004, 320, 256–261. [Google Scholar] [CrossRef]
- Khatib, S.; Mahdi, I.; Drissi, B.; Fahsi, N.; Bouissane, L.; Sobeh, M. Tetraclinis articulata (Vahl) Mast.: Volatile constituents, antioxidant, antidiabetic and wound healing activities of its essential oil. Heliyon 2024, 10, e24563. [Google Scholar] [CrossRef]
- Mansur, J.d.S.; Breder, M.N.R.; Mansur, M.C.d.A.; Azulay, R.D. Determinaçäo do fator de proteçäo solar por espectrofotometria. An. Bras. Dermatol. 1986, 63, 121–124. [Google Scholar]
- Sayre, R.M.; Agin, P.P.; LeVee, G.J.; Marlowe, E. A comparison of in vivo and in vitro testing of sunscreening formulas. Photochem. Photobiol. 1979, 29, 559–566. [Google Scholar] [CrossRef] [PubMed]
- COSMOS. Standard 2024. Available online: https://www.cosmos-standard.org/en/documents/ (accessed on 5 February 2024).
- AISBL C-s. COSMOS-Standard Technical Guide. Available online: https://media.cosmos-standard.org/filer_public/06/29/06298b4e-83cb-4064-ae46-f4578f9fc9f5/cosmos-standard_technical_guide_v40.pdf (accessed on 20 February 2024).
- Abudunia, A.-M.; Marmouzi, I.; Faouzi, M.; Ramli, Y.; Taoufik, J.; El Madani, N.; Essassi, E.; Salama, A.; Khedid, K.; Ansar, M. Anticandidal, antibacterial, cytotoxic and antioxidant activities of Calendula arvensis flowers. J. De Mycol. Medicale 2017, 27, 90–97. [Google Scholar] [CrossRef] [PubMed]
- Ercetin, T.; Senol, F.S.; Orhan, I.E.; Toker, G. Comparative assessment of antioxidant and cholinesterase inhibitory properties of the marigold extracts from Calendula arvensis L. and Calendula officinalis L. Ind. Crops Prod. 2012, 36, 203–208. [Google Scholar] [CrossRef]
- Ghelichi, S.; Hajfathalian, M.; Yesiltas, B.; Sørensen, A.D.M.; García-Moreno, P.J.; Jacobsen, C. Oxidation and oxidative stability in emulsions. Compr. Rev. Food Sci. Food Saf. 2023, 22, 1864–1901. [Google Scholar] [CrossRef] [PubMed]
- Porwal, M.; Rastogi, V.; Chandra, P.; Shukla, S. An Updated Review on the Role of Phytoconstituents in Modulating Signalling Pathways to Combat Skin Ageing: Nature’s Own Weapons and Approaches. Nat. Prod. J. 2024, 14, 55–71. [Google Scholar] [CrossRef]
- Deniz, F.S.S.; Orhan, I.E.; Duman, H. Profiling cosmeceutical effects of various herbal extracts through elastase, collagenase, tyrosinase inhibitory and antioxidant assays. Phytochem. Lett. 2021, 45, 171–183. [Google Scholar] [CrossRef]
- Działo, M.; Mierziak, J.; Korzun, U.; Preisner, M.; Szopa, J.; Kulma, A. The potential of plant phenolics in prevention and therapy of skin disorders. Int. J. Mol. Sci. 2016, 17, 160. [Google Scholar] [CrossRef]
- Ravera, F.; Dziza, K.; Santini, E.; Cristofolini, L.; Liggieri, L. Emulsification and emulsion stability: The role of the interfacial properties. Adv. Colloid Interface Sci. 2021, 288, 102344. [Google Scholar] [CrossRef]
- Ho, T.M.; Razzaghi, A.; Ramachandran, A.; Mikkonen, K.S. Emulsion characterization via microfluidic devices: A review on interfacial tension and stability to coalescence. Adv. Colloid Interface Sci. 2022, 299, 102541. [Google Scholar] [CrossRef]
- Jafari, S.M.; Doost, A.S.; Nasrabadi, M.N.; Boostani, S.; Van der Meeren, P. Phytoparticles for the stabilization of Pickering emulsions in the formulation of novel food colloidal dispersions. Trends Food Sci. Technol. 2020, 98, 117–128. [Google Scholar] [CrossRef]
- Fraga-Corral, M.; Otero, P.; Echave, J.; Garcia-Oliveira, P.; Carpena, M.; Jarboui, A.; Nuñez-Estevez, B.; Simal-Gandara, J.; Prieto, M.A. By-products of agri-food industry as tannin-rich sources: A review of tannins’ biological activities and their potential for valorization. Foods 2021, 10, 137. [Google Scholar] [CrossRef] [PubMed]
- Rouzaud, F.; Kadekaro, A.L.; Abdel-Malek, Z.A.; Hearing, V.J. MC1R and the response of melanocytes to ultraviolet radiation. Mutat. Res. /Fundam. Mol. Mech. Mutagen. 2005, 571, 133–152. [Google Scholar] [CrossRef] [PubMed]
- Wang, T.; Zhao, J.; Yang, Z.; Xiong, L.; Li, L.; Gu, Z.; Li, Y. Polyphenolic sunscreens for photoprotection. Green Chem. 2022, 24, 3605–3622. [Google Scholar] [CrossRef]
- Mishra, A.; Mishra, A.; Chattopadhyay, P. Assessment of in vitro sun protection factor of Calendula officinalis L. (asteraceae) essential oil formulation. J. Young Pharm. 2012, 4, 17–21. [Google Scholar] [CrossRef]
- Lohani, A.; Mishra, A.K.; Verma, A. Cosmeceutical potential of geranium and calendula essential oil: Determination of antioxidant activity and in vitro sun protection factor. J. Cosmet. Dermatol. 2019, 18, 550–557. [Google Scholar] [CrossRef]
- Mitterer-Daltoé, M.; Bordim, J.; Lise, C.; Breda, L.; Casagrande, M.; Lima, V. Consumer awareness of food antioxidants. Synthetic vs. Natural. Food Sci. Technol. 2020, 41, 208–212. [Google Scholar] [CrossRef]
- Sajinčič, N.; Gordobil, O.; Simmons, A.; Sandak, A. An Exploratory Study of Consumers’ Knowledge and Attitudes about Lignin-Based Sunscreens and Bio-Based Skincare Products. Cosmetics 2021, 8, 78. [Google Scholar] [CrossRef]
- Reis-Mansur, M.C.P.P.; da Luz, B.G.; dos Santos, E.P. Consumer Behavior, Skin Phototype, Sunscreens, and Tools for Photoprotection: A Review. Cosmetics 2023, 10, 39. [Google Scholar] [CrossRef]
- Fonseca-Santos, B.; Corrêa, M.A.; Chorilli, M. Sustainability, natural and organic cosmetics: Consumer, products, efficacy, toxicological and regulatory considerations. Braz. J. Pharm. Sci. 2015, 51, 17–26. [Google Scholar] [CrossRef]
- JA, S.M.; Khalid, R.M.; Othaman, R. Coconut oil based microemulsion formulations for hair care product application. Sains Malays. 2019, 48, 599–605. [Google Scholar]
- Li, L.; Qu, J.; Liu, W.; Peng, B.; Cong, S.; Yu, H.; Zhang, B.; Li, Y. Advancements in Characterization Techniques for Microemulsions: From Molecular Insights to Macroscopic Phenomena. Molecules 2024, 29, 2901. [Google Scholar] [CrossRef]
- Al-Sakkaf, M.K.; Onaizi, S.A. Effects of emulsification factors on the characteristics of crude oil emulsions stabilized by chemical and Biosurfactants: A review. Fuel 2024, 361, 130604. [Google Scholar] [CrossRef]
- EL-OTMANI N. Raw_Material_C_Arvensis.xlsx. Figshare. Dataset. 2024. Available online: https://figshare.com/articles/dataset/Raw_Material_C_Arvensis_xlsx/27643428/1?file=50338740 (accessed on 26 November 2024).
- EL-OTMANI N. Sunscreen- Characterisation.xlsx. Figshare. Dataset. 2024. Available online: https://figshare.com/articles/dataset/Sunscreen-_characterisation_xlsx/27643425/1?file=50338743 (accessed on 26 November 2024).




| Extracts | Yield % |
|---|---|
| S-EtOH-H2O | 34.78 ± 2.01 |
| S-EtOH | 24.76 ± 2.23 |
| M-EtOH-H2O | 22.44 ± 0.57 |
| M-EtOH | 21.36 ± 1.34 |
| IF-H2O | 31.96 ± 1.74 |
| Phase | INCI | Function | Weight (%, w/w) |
|---|---|---|---|
| Phase A | GLYCERIN | Humectant | 3 |
| C. arvensis FW * | Dispersion agent | Qsp 100 | |
| Phase B | CETEARYL ALCOHOL | Emulsifier, thickening agent, stabilizer | 5 |
| STEARIC ACID | Emulsifier, thickener, consistency enhancer | 2 | |
| CETEARETH-20 | surfactant | 5.5 | |
| C. arvensis OIL MACERATE | Dispersed agent | 10 | |
| Phase C | C. arvensis ORGANIC EXTRACTS | SPF, antioxidant, anti-aging, stabilizer | 0.2, 0.1, 0.05 |
| P. graveolens EO ** | Antimicrobial, fragrance | 0.5 |
| Extracts | Phenolic Compounds | ||
|---|---|---|---|
| TPC (mgGAE/g) | TFC (mgQE/g) | TC (mg/mL) | |
| S-EtOH-H2O | 27.20 ± 2.76 a | 13.37 ± 1.04 a | 1.66 ± 0.02 a |
| S-EtOH | 14.96 ± 1.65 b | 11.40 ± 0.32 ab | 1.32 ± 0.04 bc |
| M-EtOH-H2O | 16.38 ± 1.15 b | 7.72 ± 1.40 c | 1.13 ± 0.01 cd |
| M-EtOH | 8.24 ± 1.17 c | 6.47 ± 0.49 c | 1.10 ± 0.06 d |
| IF-H2O | 16.91 ± 1.11 b | 10.69 ± 0.68 b | 1.46 ± 0.12 b |
| Extracts | Antioxidant Activity | |||
|---|---|---|---|---|
| DPPH IC50 mg/mL | ABTS IC50 mg/mL | FRAP mg AAE/g pm | TAC mg AAE/g pm | |
| S-EtOH-H2O | 3.77 ± 0.44 a | 3.21 ± 0.08 a | 18.69 ± 0.46 ab | 12.46 ± 0.61 a |
| S-EtOH | 13.57 ± 0.41 b | 6.84 ± 0.03 b | 14.67 ± 0.55 b | 12.34 ± 0.82 a |
| M-EtOH-H2O | 7.33 ± 0.33 c | 2.71 ± 0.05 c | 21.90 ± 1.63 a | 8.99 ± 0.85 b |
| M-EtOH | 15.27 ± 0.90 d | 15.22 ± 0.01 d | 16.95 ± 0.84 b | 10.66 ± 0.84 ab |
| IF-H2O | 26.98 ± 0.93 e | 8.55 ± 0.02 e | 15.58 ± 3.15 b | 9.72 ± 0.45 b |
| Vit-C | 0.14 ± 0.03 f | 0.004 ± 0.001 f | - | - |
| Extracts | Concentration mg/mL | Tyrosinase | Elastase | Collagenase | |||
|---|---|---|---|---|---|---|---|
| I% ± SD | CI50 ± SD mg/mL | I% ± SD | CI50 ± SD mg/mL | I% ± SD | CI50 ± SD mg/mL | ||
| M-EtOH | 10 | 68.04 ± 3.09 bc | 6.71 ± 0.06 a | 57.95 ± 1.75 cd | 7.56 ± 0.19 b | 36.84 ± 5.54 bc | - |
| 5 | 46.79 ± 8.64 bc | 48.95 ± 0.44 b | 30.00 ± 2.78 bc | ||||
| 2.5 | 21.76 ± 1.88 c | 29.15 ± 0.94 c | 25.26 ± 2.41 b | ||||
| 1.25 | 9.37 ± 2.06 c | 14.97 ± 0.69 d | - | ||||
| 0.625 | - | 3.02 ± 0.64 e | - | ||||
| M-EtOH-H2O | 10 | 77.72 ± 0.65 ab | 3.89 ± 0.76 bc | 64.47 ± 4.95 bc | 6.87 ± 0.38 b | 35.51 ± 3.66 bc | - |
| 5 | 58.12 ± 4.20 b | 43.94 ± 0.97 cd | 30.71 ± 2.80 b | ||||
| 2.5 | 45.47 ± 2.88 b | 30.07 ± 1.16 c | 11.49 ± 2.48 c | ||||
| 1.25 | 32.32 ± 4.30 b | 21.37 ± 2.33 c | 8.00 ± 5.96 b | ||||
| 0.625 | 20.75 ± 4.96 a | 8.20 ± 2.25 cd | - | ||||
| S-EtOH | 10 | 57.31 ± 3.64 cd | 7.91 ± 0.50 a | 57.54 ± 1.03 cd | 7.45 ± 0.06 b | 36.90 ± 1.57 bc | - |
| 5 | 40.63 ± 3.28 c | 42.84 ± 1.95 d | 24.80 ± 1.91 c | ||||
| 2.5 | 29.14 ± 2.16 c | 36.07 ± 1.67 b | 14.68 ± 3.27 c | ||||
| 1.25 | 14.87 ± 1.82 c | 28.62 ± 0.44 b | - | ||||
| 0.625 | - | 12.15 ± 1.22 bc | - | ||||
| S-EtOH-H2O | 10 | 82.91 ± 4.74 a | 3.58 ± 0.56 c | 70.40 ± 1.06 b | 5.93 ± 0.13 c | 41.13 ± 2.02 b | - |
| 5 | 59.12 ± 7.71 b | 47.63 ± 1.69 bc | 28.08 ± 1.94 bc | ||||
| 2.5 | 51.80 ± 5.57 b | 38.28 ± 2.81 b | 14.79 ± 2.59 c | ||||
| 1.25 | 38.42 ± 2.56 b | 21.78 ± 2.61 c | - | ||||
| 0.625 | 27.40 ± 1.18 a | 12.87 ± 0.99 b | - | ||||
| IF-H2O | 10 | 56.78 ± 7.06 d | 6.62 ± 2.24 ab | 55.90 ± 3.49 d | 8.30 ± 0.34 a | 31.16 ± 6.27 c | - |
| 5 | 47.67 ± 3.18 bc | 36.19 ± 2.56 e | 25.13 ± 1.11 c | ||||
| 2.5 | 43.60 ± 3.88 b | 28.38 ± 0.68 c | 14.76 ± 2.24 c | ||||
| 1.25 | 12.24 ± 7.95 c | 21.70 ± 1.17 c | - | ||||
| 0.625 | - | 5.03 ± 1.91 de | - | ||||
| Standards * | 1 | 86.94 ± 1.50 a | 0.071 ± 0.01 d | 78.39 ± 1.39 a | 0.11 ± 0.00 d | 81.82 ± 1.87 a | 0.08 ± 0.00 |
| 0.25 | 81.90 ± 1.57 a | 66.75 ± 0.63 a | 75.22 ± 0.26 a | ||||
| 0.125 | 64.00 ± 3.14 a | 52.94 ± 1.39 a | 60.37 ± 0.88 a | ||||
| 0.06 | 51.53 ± 3.07 a | 46.12 ± 0.65 a | 51.86 ± 1.02 a | ||||
| 0.03 | 25.05 ± 1.91 a | 32.82 ± 1.54 a | 31.47 ± 0.83 a | ||||
| Extracts | SPF-UVB |
|---|---|
| S-EtOH-H2O | 193.67 ± 0.04 a |
| S-EtOH | 193.46 ± 0.19 a |
| M-EtOH-H2O | 193.49 ± 0.24 a |
| M-EtOH | 193.60 ± 0.11 a |
| IF-H2O | 192.19 ± 0.08 a |
| ZnO | 11.88 ± 0.03 b |
Disclaimer/Publisher’s Note: The statements, opinions and data contained in all publications are solely those of the individual author(s) and contributor(s) and not of MDPI and/or the editor(s). MDPI and/or the editor(s) disclaim responsibility for any injury to people or property resulting from any ideas, methods, instructions or products referred to in the content. |
© 2024 by the authors. Licensee MDPI, Basel, Switzerland. This article is an open access article distributed under the terms and conditions of the Creative Commons Attribution (CC BY) license (https://creativecommons.org/licenses/by/4.0/).
Share and Cite
El-Otmani, N.; Zeouk, I.; Zahidi, A. Formulation of Biological Sunscreen from Calendula arvensis Capitula Extracts: Antioxidant, Anti-Aging, Surface Tension, and UVB Protection Properties Assessed. Cosmetics 2024, 11, 216. https://doi.org/10.3390/cosmetics11060216
El-Otmani N, Zeouk I, Zahidi A. Formulation of Biological Sunscreen from Calendula arvensis Capitula Extracts: Antioxidant, Anti-Aging, Surface Tension, and UVB Protection Properties Assessed. Cosmetics. 2024; 11(6):216. https://doi.org/10.3390/cosmetics11060216
Chicago/Turabian StyleEl-Otmani, Najlae, Ikrame Zeouk, and Ahmed Zahidi. 2024. "Formulation of Biological Sunscreen from Calendula arvensis Capitula Extracts: Antioxidant, Anti-Aging, Surface Tension, and UVB Protection Properties Assessed" Cosmetics 11, no. 6: 216. https://doi.org/10.3390/cosmetics11060216
APA StyleEl-Otmani, N., Zeouk, I., & Zahidi, A. (2024). Formulation of Biological Sunscreen from Calendula arvensis Capitula Extracts: Antioxidant, Anti-Aging, Surface Tension, and UVB Protection Properties Assessed. Cosmetics, 11(6), 216. https://doi.org/10.3390/cosmetics11060216

