Abstract
This study investigates how the functional diversity of top management teams (TMTs) affects the financial performance of A-share Chinese companies. To this end, we examine the interaction effects of TMT diversity with organizational innovativeness and government institutional support. Grounded in upper echelons theory, absorptive capacity theory, and institutional theory, this study uses hierarchical multiple regression to analyze data from 396 firms listed on the Shanghai and Shenzhen stock exchanges between 2022 and 2023. The results indicate that TMT functional diversity has a statistically significant positive effect on corporate financial performance, with organizational innovativeness positively moderating this relationship. This moderating effect is further strengthened by high government subsidies for research and development, confirming a three-way interaction effect among these three variables. The findings suggest that TMT diversity improves financial outcomes when firms have both robust internal innovation and external institutional support. By confirming the strategic significance of TMT composition in China and elucidating the effect of government subsidies, this study contributes both practically and theoretically to the strategic management literature on emerging markets. The findings clarify the implications of the contingent conditions under which TMT diversity translates into superior organizational performance.
1. Introduction
In tandem with its rapid growth, China’s economy is quickly transforming from a manufacturing-centered orientation toward an innovation-centered one. Amid such changes, the top management teams (TMTs) responsible for firms’ strategic decision-making play an increasingly important role. In particular, functionally diverse TMTs can enhance firms’ information-processing capabilities and environmental adaptability, thereby fostering sustainable competitive advantage. Accordingly, TMT diversity has attracted the attention of both researchers and practitioners [1,2]. In China, company executives with diverse professional knowledge and experience have been adapting to the country’s rapidly changing environment, leading the transition to an innovation-centered economy.
China also has a distinctive emerging-market economic structure in which the government intervenes in economic development and corporate activities [3]. Since China announced its “Medium- and Long-Term National Science and Technology Development Plan (2006–2020)” in 2006, central and local governments have been implementing various subsidy programs to encourage firms’ research and development (R&D) activities and strengthen innovation capabilities [4,5]. Under such support, China’s A-share firms have utilized government subsidies as strategic resources in an increasingly competitive and uncertain global market environment. At the same time, this institutional environment has encouraged greater functional diversity among TMTs, exerting an important influence on corporate performance and strategic flexibility [6].
Previous studies have verified that in advanced economies, such as the US and Europe, where institutional intervention is relatively weak, TMT diversity positively affects firms’ strategic choices, innovation, and financial performance [1,2]. A functionally diverse TMT can prevent groupthink, contribute to creative strategies, and strengthen organizational capabilities. However, it might also produce negative effects, such as conflicts within the team and communication barriers, implying that it does not always have positive effects on performance [7]. Ensuring positive effects depends on the complex interactions between internal organizational capabilities and external environmental variables.
Among these, innovation is an important internal capability that can serve as a mechanism to convert the TMT’s diverse experiences and expertise into actual outcomes. In this context, R&D investment intensity and absorptive capacity can channel the effects of TMT diversity [8,9]. In highly innovative organizations, functionally diverse TMTs reflect cooperation and integration, which can translate into innovation outcomes, such as organizational learning and new product development [10,11].
Meanwhile, government R&D subsidies function not only as financial support but also as strongly positive institutional signals, encouraging further innovation investment from emerging-market firms and mitigating their financial risks [4]. Such institutional support can certify a firm’s technological capabilities and growth potential, thereby shaping the environmental foundation for interaction between functionally diverse TMTs and organizational innovation capabilities.
However, prior studies of TMT diversity have certain limitations. Most research focuses on advanced economies, where institutional intervention is relatively limited [12]. In emerging economies, particularly in China, where a strong government-led policy environment coexists with a complex institutional structure, the factors influencing firm performance may differ [13,14]. In such an environment, research based solely on single variables cannot fully grasp the managerial phenomena and mechanisms determining performance. Although there are studies on the effects of major variables (e.g., functional diversity, innovation capabilities, government subsidies) on firm performance, these variables are often investigated independently. Consequently, there are few systematic empirical studies examining how these elements jointly influence managerial phenomena and performance.
This study aims to fill the abovementioned research gaps and explore how key strategic resources that influence corporate performance organically interact. Specifically, we establish a multilayered theoretical framework that integrates TMTs’ cognitive resource diversity based on upper echelons theory, organizational innovation capacity based on absorptive capacity theory, and the role of external institutional resources such as subsidies based on institutional and signaling theories. This approach contributes to a deeper understanding of how internal organizational capabilities and external institutional support interact to drive corporate innovation and financial performance within China’s unique institutional environment.
In particular, we seek to demonstrate that TMT functional diversity is not simply a characteristic of management composition but rather an “integrated system” that creates synergies by interacting with internal innovation capabilities and external institutional resources, such as government subsidies. In this way, we reveal the mechanism by which three axes—TMTs’ diverse experiences and expertise, an organization’s technological learning and innovation capabilities, and government policy support—interact to build competitive advantage in volatile, uncertain emerging-market environments.
This study empirically investigates the relationship between TMT functional diversity and corporate performance in A-share Chinese companies. We also examine the moderating effects of two variables—innovation capability and government R&D subsidies—on this relationship using a three-way interaction model. This multivariate interaction analysis not only expands management theory but also has practical implications for policy design and management strategy development tailored to emerging markets.
By elucidating the complex interplay between organizational capabilities and the external institutional environment, we establish a foundation for a better understanding of how functional diversity, a human resource, harmonizes with institutional resources—namely, innovation capability and government subsidies—to improve firms’ financial performance. This approach not only overcomes the limitations of existing individual-variable-centered research but also offers new theoretical and practical perspectives for interpreting strategic decision-making and performance-creation processes within the unique environment of emerging markets.
2. Theoretical Background
2.1. Upper Echelons Theory
Proposed by Hambrick and Mason [1], upper echelons theory emphasizes that an organization’s strategic choices and performance are determined by its TMT’s cognitive bases and values [15].
While modern business administration began with scientific management [16] and the Ford system of mass production, attention to micro-level interactions between managers and internal and external organizational environments did not emerge until the latter half of the twentieth century. Following Simon’s [17] introduction of the concept of bounded rationality in relation to the complexity and uncertainty of strategic decision-making, studies began to explore the influence of executives’ cognitive structures and values on strategies.
Hambrick and Mason [1] proposed that the demographic characteristics of top executives—such as age, education, career experience, and functional background—can be used as proxies for their cognitive structures and values. They argued that these individual-level factors have significant explanatory power for differences in organizational strategies and performance. This was an important turning point from prior organizational theories—which had mainly focused on macro-level factors such as external environments or industry structures—toward explaining strategy from the micro-level perspective of managers’ individual and collective characteristics and cognition [18].
In the 1990s, various empirical studies showed that the functional, educational, and cultural diversity of TMTs positively affects organizational strategic decision-making and environmental adaptability [2]. It was also noted, however, that functional diversity can increase cognitive conflicts and, if not properly managed, potentially lead to confusion and discord [19,20]. Entering the 2000s, empirical studies began examining the effects of executive characteristics and diversity on various organizational strategies, such as R&D investment, internationalization, and innovation [21,22,23].
Recent research has focused on the effects of TMT diversity and leadership on firm performance against the backgrounds of digital transformation; environmental, social, and governance (ESG) management; and global uncertainty. The scope of such studies has also been broadened to examine the mechanisms through which diversity and capabilities interact in complex ways, considering various performance indicators, such as sustainability, innovation, and risk management [24,25].
In line with such research, upper echelons theory proposes that the cognitive characteristics and diversity of TMTs decisively influence organizations’ strategic flexibility and performance. Moreover, firms’ strategic decision-making is not a matter of mere technical analysis but an outcome of social interaction and cognitive judgment.
2.2. Absorptive Capacity
Absorptive capacity, as proposed by Cohen and Levinthal [8], refers to an organization’s ability to recognize, interpret, assimilate, and transform external knowledge and information and apply it internally. This goes beyond merely acquiring resources to functioning as a core strategic organizational asset that enhances technological innovation, problem-solving, and adaptability to environmental changes.
Absorptive capacity is frequently divided into potential and realized absorptive capacity [26]. Potential absorptive capacity—which manifests in the initial stage, in which a firm recognizes external information, assesses its value, and introduces it into the organization—refers to the ability to search for and acquire external knowledge. By contrast, realized absorptive capacity refers to the ability to integrate and exploit the acquired external knowledge within the organization and connect it to tangible innovation outcomes. This transcends knowledge acquisition, as this knowledge is integrated into the organization’s internal processes and systems, new product development, and process improvement, thereby strengthening strategic decision-making.
Effective absorptive capacity is also closely related to various learning mechanisms within an organization. Interaction and knowledge sharing among members, as well as a collaborative learning culture, are important elements that strengthen this capability [26]. In particular, innovation activities, such as R&D investment, play an important role in acquiring new knowledge and applying it within the organization, and they are closely connected to the development of absorptive capacity [9]. Through R&D activities, organizations internalize external knowledge, and by repeating knowledge reproduction through experimentation and learning, they continuously expand their innovation capabilities.
2.3. Institutional Theory and Signaling Theory
Organizations pursue social legitimacy by conforming to or strategically leveraging institutionalized norms, values, and belief systems. From this perspective, institutional theory posits that organizational structures and behaviors are shaped not only by considerations of efficiency and performance but also by institutional pressures and external expectations [27,28]. Accordingly, firms remain attentive to the dynamics of institutional pressures and their effects, which are often particularly pronounced in emerging markets, where government intervention is pervasive [29].
As key actors determining the direction of industrial development and allocating critical resources, governments in China exert considerable influence on firms through various policy instruments. Among them, R&D subsidies go beyond financial support and serve as an institutional signal that validates a firm’s technological capabilities and innovation potential [4]. These subsidies not only confer trust and legitimacy in the eyes of external stakeholders but also strengthen a firm’s market competitiveness by enhancing its credibility. In addition, such signals can facilitate access to investments and strategic partnerships while reinforcing a firm’s external reputation and the feasibility of its strategic initiatives, thus functioning as critical institutional resources [30]. From the perspective of signaling theory, this reflects the process through which firms, under information asymmetry, transmit credible signals of their quality and attributes to external audiences to build trust and legitimacy [31].
Together, these theories (institutional and signaling) suggest that government subsidies are a strategic mechanism through which firms can obtain legitimacy and stimulate innovation within the broader institutional environment. Furthermore, when complemented by the functional diversity of the TMT, these institutional signals can be leveraged to amplify synergies between internal capabilities and external resource acquisition, thus laying the groundwork for sustainable, competitive organizational performance.
3. Hypothesis Development
3.1. Functional Diversity of TMTs and Financial Performance
As mentioned earlier, according to upper echelons theory, an organization’s strategic choices and performance are influenced by the cognitive characteristics and values of its TMT [15]. In particular, the team’s functional diversity is considered a key human resource because members with different job backgrounds and expertise broaden the range of information available to the organization and enhance strategic decision-making [32].
The cognitive capacities of functionally diverse TMTs respond to complex external environments, which improves firms’ information search capabilities, decision-making quality, and adaptability to environmental change. Studies have shown that functional diversity positively affects firm performance through strategic agility, an enhanced ability to search for alternatives, and the stimulation of creative tension within the group [2,19,33,34].
However, functional diversity does not always guarantee positive outcomes. Excessive diversity in job experience and expertise may increase cognitive conflicts and communication costs, which can lead to delays in decision-making or weaken cooperation [19,20]. In other words, although functional diversity can broaden an organization’s informational scope, it also carries potential conflict risks. Nevertheless, in a dynamic market environment—such as that of China, which is rapidly transforming from a manufacturing orientation to an innovation-focused one—functional diversity may offer greater strategic value. As TMTs with diverse backgrounds can enhance the search for innovative strategies and responsiveness to market changes, this may offset conflict costs, ultimately contributing to improved financial performance.
Empirical evidence supports this perspective. Based on a sample of listed Chinese firms, Ma et al. [35] found that functional diversity enhanced performance when external threats were low and strengthened organizational adaptability under conditions of high TMT diversity and CEO–TMT power imbalances. Synthesizing 21 empirical studies of Chinese firms, Wang [36] found that TMTs’ functional and educational diversity positively affected firms’ innovation performance, and further confirmed that situational factors, such as conflict and communication style, moderated the diversity–performance relationship. Using a sample of large Chinese firms, Hu and Ai [37] demonstrated that TMT functional diversity positively contributed to financial performance by facilitating strategic decision-making and innovation processes.
Based on such work, we begin by examining the effects of TMT functional diversity on corporate financial performance in China’s dynamic industrial environment. Accordingly, we propose the following:
H1:
TMT functional diversity will have a positive (+) effect on firms’ financial performance.
3.2. Moderating Role of Innovativeness
Organizations with the ability to absorb, assimilate, transform, and use external knowledge and information can further amplify the positive influence of TMT functional diversity on performance [14]. In absorptive capacity research, this capability is frequently captured by measures of organizational innovativeness, often reflected by tangible indicators such as R&D investment intensity [8,9]. In this regard, firms with higher levels of R&D investment—which signifies stronger absorptive capacity—are better positioned to reinforce and magnify the effect of the creative ideas and professional expertise generated by functionally diverse TMTs. Subsequently, these resources can be transformed into concrete innovation outcomes, including new product development and improved business performance.
Bunderson and Sutcliffe [34] found that diverse strategic ideas developed by executives with multidisciplinary backgrounds can translate into tangible innovation results through collaboration with R&D departments. Jansen et al. [26] further noted that absorptive capacity is central to maintaining a balance between exploratory and exploitative innovation and that this balance is facilitated by the interaction of diverse TMT and R&D investment activities. Moreover, Midavaine et al. [38] found that board diversity, particularly in terms of education and gender, positively influences firms’ R&D investment, which in turn enhances innovation outcomes. This indicates that R&D investment strengthens organizational knowledge-processing capabilities and decision-making quality, thereby amplifying the positive effects of TMT functional diversity on firms’ financial performance, especially in dynamic, innovation-driven environments.
Such organizational capabilities are even more important for A-share Chinese firms that operate in volatile institutional environments with intense technological competition. In highly innovative organizations, diverse strategies and ideas advanced by heterogeneous TMTs are executed more effectively. Such synergies with organizational capabilities enhance the effect of TMT diversity on financial performance. Thus, we propose the following:
H2:
Innovativeness will positively (+) moderate the relationship between TMT functional diversity and firms’ financial performance.
3.3. Three-Way Moderating Effect of Government R&D Subsidies
Government R&D subsidies are important resources that help mitigate the risks of innovation activities, enabling firms to pursue innovative projects in a stable environment [39]. As mentioned above, from the institutional theory perspective, government subsidies confer legitimacy, thereby providing credible signals of firms’ innovation capabilities and growth potential to external investors and stakeholders. Such signals generate positive evaluations of firms’ innovation activities from external stakeholders, facilitating strategic resource acquisition, including investments and partnerships [30].
Empirical research provides support for these arguments. Examining listed Chinese firms, Boeing [4] showed that government R&D subsidies reduce the financial burden of private-sector innovation, thereby encouraging more R&D. Similarly, Wolff and Reinthaler [40] argued that subsidies not only stimulate firms’ investment in innovation and productivity but also mitigate the inherent risks associated with R&D. Building on this, subsequent studies have shown that recipient firms experience reduced financial risks from R&D, which in turn improves their competitiveness and long-term profitability [41]. Furthermore, Huergo et al. [42] emphasized the path-dependent nature of R&D, demonstrating that government subsidies in the early stages are critical for ensuring the persistence and continuity of innovation activities.
Thus, government subsidies may serve as a secondary moderator that amplifies the effect of innovativeness on financial performance. By reinforcing the cycle of knowledge transformation—in which diverse strategic initiatives are embedded within the firm and subsequently diffused externally—subsidies can magnify the broader organizational effect of innovation [9]. In China, which is characterized by high institutional pressures and the pervasive influence of government policies, subsidies operate as strategic transmission channels that enhance the interplay between TMT functional diversity and organizational innovativeness, ultimately strengthening firms’ financial performance outcomes. Based on this, we propose the following:
H3:
Government R&D subsidies will strengthen the moderating effect of innovation in TMT functional diversity’s positive effect on firms’ financial performance.
4. Research Model and Method
To analyze TMT functional diversity’s effect on firm performance and the moderating effects of government subsidies and innovativeness, we build a model that considers the three-way interaction effects among these independent and moderating variables (Figure 1). Multiple regression is used for empirical and hypothesis testing. To test the effects of the moderating variables, we perform an additional conditional moderation analysis using SPSS 28.0 PROCESS.
Figure 1.
Research model.
4.1. Data Collection and Sample
The research sample consists of 397 A-share Chinese firms (i.e., those listed on the Shanghai and Shenzhen stock exchanges) spanning 2022–2023. We collect data on these firms’ financial performance, TMT composition, subsidies, age, size, and fixed-asset ratios from the Chinese Securities Market and Accounting Research (CSMAR) database. Operated by Shenzhen CSMAR Data Technology Co. (Shenzhen, China), CSMAR is one of the most comprehensive and reliable databases available for listed Chinese companies. It provides extensive information across diverse domains, including finance, accounting, corporate governance, capital markets, corporate finance, ESG, patents, and human resources [43].
To test the causal relationships among variables and avoid problems stemming from reverse causality, we incorporate time lags into the model. Specifically, we measure the independent variable of TMT functional diversity and the moderating variables of innovativeness and government subsidies using values from the base year (t); meanwhile, we measure the dependent variable of financial performance using values from the following year (t + 1).
The sample mainly comprises manufacturing industry firms (73.99%), followed by service industry firms (12.63%), construction and infrastructure firms (2.27%), agriculture and resource-related industry firms (2.78%), and other industry firms (8.33%). Table 1 presents the sample’s detailed characteristics.
Table 1.
Sample characteristics.
4.2. Variable Measurement
4.2.1. Independent Variable (TMT Functional Diversity)
The TMT includes the chief executive officer (CEO) as well as managing directors, executive directors, division directors, and vice-presidents who report directly to the CEO and are involved in strategic decision-making [44]. TMT functional diversity refers to heterogeneity in the occupational and functional backgrounds of TMT members. Here, we measure TMT functional diversity based on senior executives’ experience in various specialized fields, such as production and operations, R&D, finance and accounting, marketing, management, human resources (HR), and legal affairs. Specifically, based on the profiles and curriculum vitae information included in the CSMAR database, TMT members’ functional backgrounds are classified into production and operations, R&D, HR, management, marketing, finance, and legal affairs [45]. We reconcile the multiple functional experiences of some executives by identifying their primary career field based on the longest tenure, highest position, or key role within the firm and then classify them into a single category. We then calculate functional diversity using the Herfindahl–Hirschman index (HHI). HHI is measured on a scale of 0 to 1, with larger values indicating greater diversity. It should be noted that HHI is only an indicator of the distribution of functional backgrounds within a TMT, and a high HHI value does not directly indicate improved information-processing capabilities. Owing to its simplicity and ability to quantify concentration across categories, HHI has been widely adopted in previous TMT studies [46].
In our sample, TMT size ranges from 8 to 37 members, with an average of about 18 members. Table 2 shows the distribution of 7272 executives across functional categories for the 396 firms in our sample. R&D backgrounds account for the largest proportion (40.2%, an average of 7.37 per firm), followed by management (10.1%) and finance (8.9%). Marketing (5.4%), legal (3.8%), production/operations (3.8%), and HR (3.1%) represent smaller proportions.
Table 2.
Distribution of TMT members by functional background (N = 396 firms; total = 7272 executives).
4.2.2. Dependent Variable (Financial Performance)
Financial performance is measured as return on assets (ROA), defined as pre-tax net income divided by total assets. ROA is widely regarded as a reliable indicator of corporate financial performance since total assets are consistently positive, and the measure demonstrates favorable distributional properties, thereby ensuring statistical robustness [47]. ROA is also one of the most extensively used performance measures in prior research [48]. Considering its widespread use in the literature and data availability, we adopt ROA as the dependent variable for financial performance.
4.2.3. Moderating Variable (Innovativeness)
Innovativeness, long recognized as a critical determinant of competitive advantage and sustainable growth, is commonly operationalized using measures such as R&D intensity, patent counts, and technological alliances [49]. R&D intensity is widely considered a practical and reliable proxy for innovation input owing to its accessibility, comparability, and consistency across various contexts [50]. In this study, we measure innovativeness using R&D intensity, defined as the ratio of annual R&D expenditure to operating revenue [8,50]. Higher R&D intensity reflects greater resource allocation to innovation activities, which serves as a foundation for sustaining a firm’s long-term competitiveness. Its extensive adoption in prior research further underscores its validity for representing firms’ commitment to innovation activities.
4.2.4. Three-Way Moderator (Government R&D Subsidies)
Since the launch of the “National Medium- and Long-Term Program for Science and Technology Development (2005–2020)” in 2006, China has been expanding its R&D subsidy programs at both the central and local levels [4,5]. Subsidies are typically applied for through local governments and subsequently awarded following evaluations by expert panels under central government agencies. Here, we measure government R&D subsidies as the total amount of financial support granted, as reported in the CSMAR database. Specifically, we identify and aggregate subsidy items containing terms such as “high-tech,” “innovation,” “patent,” “science,” “technology,” “research and development,” “talent,” “new product,” “invention,” “research,” “property rights,” “emerging industry,” “Spark plan,” and “Torch plan” [51]. To address right-skewness in the data distribution, we transform the measured values using the natural logarithm for subsequent analyses.
4.2.5. Control Variables
To account for firm characteristics that could influence the relationship between TMT functional diversity and financial performance, we control for firm size, firm age, fixed-asset ratio, and TMT size (Table 3).
Firm size represents the total resources owned by an organization and is closely associated with innovation investment, the ability to respond to external environments, and the likelihood of receiving government subsidies. Larger firms typically have abundant financial and human resources, which can affect strategic behavior and performance, making firm size an important control variable [52]. Here, we measure firm size as the natural logarithm of the number of full-time employees [53], controlling for its effect in the analysis.
Firm age reflects accumulated managerial experience and the degree of institutional inertia, potentially affecting an organization’s strategic flexibility and innovation adoption [54]. Older firms are generally slower to innovate and tend to be more conservative [55]. To control for such effects, we measure firm age as the number of years from the founding date to the base year for each firm.
The fixed-asset ratio, measured as the ratio of fixed assets to total assets, is a key indicator of a firm’s financial structure. A high fixed-asset ratio may indicate that assets are mainly financed by debt capital, which could lead to increased financial leverage and risk [56]. More tangible assets, meanwhile, can support production and operations, and their underutilization may result in idle capital and reduced profitability [57].
Finally, TMT size, representing the number of members, serves as an indicator of the complexity and diversity of strategic decision-making processes. A smaller TMT facilitates rapid, concise communication, enabling efficient decision-making. However, limited diversity and expertise can restrict innovation and the resolution of strategic challenges. Conversely, a larger TMT can integrate a broader range of perspectives and experiences, but it faces risks of delayed decision-making owing to the increased time required for coordination and consensus building. Consequently, TMT size is regarded as a critical control factor that influences financial performance [58].
Table 3.
Operational definitions of variables.
Table 3.
Operational definitions of variables.
| Type | Variable Name | Operational Definition | Reference |
|---|---|---|---|
| Independent variable | TMT functional diversity | Degree of heterogeneity in the major functional backgrounds of TMT members, classified using profile and curriculum vitae data. Functional background is divided into eight categories: production/operations, R&D, HR, management, marketing, finance, legal, and other. | [45] |
| Dependent variable | Financial performance (ROA) | Return on total assets (net profit before taxation ÷ total assets) | [47,48] |
| Moderating variable | Innovativeness | R&D intensity = R&D investment ÷ operating income | [8,50] |
| Government R&D subsidies | Total amount of financial support provided for firms’ innovation activities, measured as the natural logarithm (Ln) of the actual subsidy amount. Subsidy items include key terms such as high-tech, innovation, patent, science, technology, research and development, talent, new product, invention, research, property rights, emerging industry, Spark plan, and Torch plan. | [51] | |
| Control variable | Firm size | Natural logarithm (Ln) of the number of full-time employees | [53] |
| Firm age | Number of years since establishment (base year minus year of foundation) | [54,55] | |
| Fixed-asset ratio | Fixed assets ÷ total assets | [56,57] | |
| TMT size | Number of TMT members | [58] |
5. Results Analysis
5.1. Descriptive Statistics and Correlations
We empirically test the research model and our hypotheses using hierarchical multiple regression. Table 4 presents Pearson’s correlation coefficients of the variables used in the model and the descriptive statistics. As shown in Table 4, the variance inflation factor (VIF) values are all below two, indicating a very low possibility of errors in the results from multicollinearity among the main independent variables. In other words, there is no significant redundancy or linear dependency among the variables, indicating that the regression results are stable and reliable.
Table 4.
Descriptive statistics and correlation analysis.
5.2. Regression Analysis
The regression analysis examines the relationship between the independent variable, TMT functional diversity, and financial performance as the dependent variable. Additionally, the analysis explores the two-way interaction effect with innovativeness and the three-way interaction effect involving government R&D subsidies. Table 5 summarizes the results.
Table 5.
Multiple regression results.
The control variable firm size has a significant positive effect on financial performance (β = 0.306, p < 0.001), suggesting that larger firms are more likely to achieve economies of scale and have stable revenue structures, thereby enhancing financial outcomes. Conversely, firm age has a significant negative effect on financial performance (β = −0.107, p < 0.05), indicating that older firms may be more organizationally rigid owing to bureaucratic inertia, reducing their ability to respond to rapidly changing environments, thus resulting in lower financial performance [59,60].
The independent variable, TMT functional diversity, shows a significant positive relationship with financial performance (β = 0.102, p < 0.05), supporting H1. Thus, functionally diverse TMTs in Chinese firms provide multifaceted expertise and experience, which facilitates strategic decision-making and execution, ultimately contributing to improved firm performance.
Furthermore, Model 3 reveals that innovativeness positively moderates the relationship between TMT functional diversity and financial performance (β = 0.099, p < 0.05), supporting H2. This suggests that firms with higher innovation capacity can better leverage the specialized knowledge and experience of functionally diverse executives, resulting in enhanced financial outcomes.
Finally, Model 4 shows a significant three-way interaction effect among TMT functional diversity, innovativeness, and government R&D subsidies on firms’ financial performance (β = 0.209, p < 0.01), thus supporting H3. Specifically, government R&D subsidies significantly amplify the positive moderating effect of innovativeness on the relationship between TMT diversity and financial performance. This finding underscores the critical role of sufficient external financial support in enabling functionally diverse TMTs to leverage innovation capabilities for superior firm performance. By contrast, in this model, the main effect of TMT functional diversity and its two-way interaction with innovativeness are not statistically significant. This indicates that TMT functional diversity alone, or combined with high levels of innovativeness, does not significantly enhance financial performance. Rather, the positive effect of TMT diversity only emerges when strong internal innovation capacity and adequate external institutional support through subsidies coexist. Thus, the strategic value of TMT functional diversity is realized exclusively through the combination of these two factors. This highlights the importance of aligning internal organizational resources and external institutional mechanisms to maximize firm outcomes.
To further investigate how the relationship between TMT functional diversity and financial performance varies with different levels of innovativeness, we conduct a conditional moderation analysis using the Johnson–Neyman technique in the PROCESS macro. As shown in Table 6, higher innovativeness significantly strengthens the positive effect of TMT functional diversity on firms’ financial performance (B = 0.0062, p < 0.01).
Table 6.
Verification of the moderating effect of innovativeness.
Specifically, in highly innovative groups (+1 SD), TMT functional diversity has a significantly positive effect on firms’ financial performance, whereas in groups with low innovativeness (−1 SD), the effect is negative. This suggests that highly innovative firms can integrate the diverse functional experiences and expertise of their TMT members into strategic decision-making processes, thereby contributing positively to performance. Conversely, in firms with low innovativeness, TMT functional diversity may restrict information sharing and collaboration, potentially leading to increased organizational conflict. These findings indicate that a firm’s innovativeness is a crucial condition for TMT diversity to function as a performance-enhancing factor.
Figure 2 depicts the moderating effect of innovativeness on the relationship between TMT functional diversity and financial performance. Each colored line corresponds to a different level of innovativeness: the green line indicates high innovativeness, the orange line indicates a middle level, and the blue line shows low innovativeness. As TMT functional diversity increases, financial performance rises most steeply when innovativeness is high, as evidenced by the upward slope of the green line. By contrast, at low innovativeness, the blue line slightly declines or remains flat, indicating that increased TMT diversity does not translate into financial gains and may even have a negative effect. The orange line in the middle shows only a modest positive change. This pattern demonstrates that the benefits of TMT functional diversity are highly contingent on a firm’s level of innovativeness.
Figure 2.
Interaction between innovativeness and TMT functional diversity.
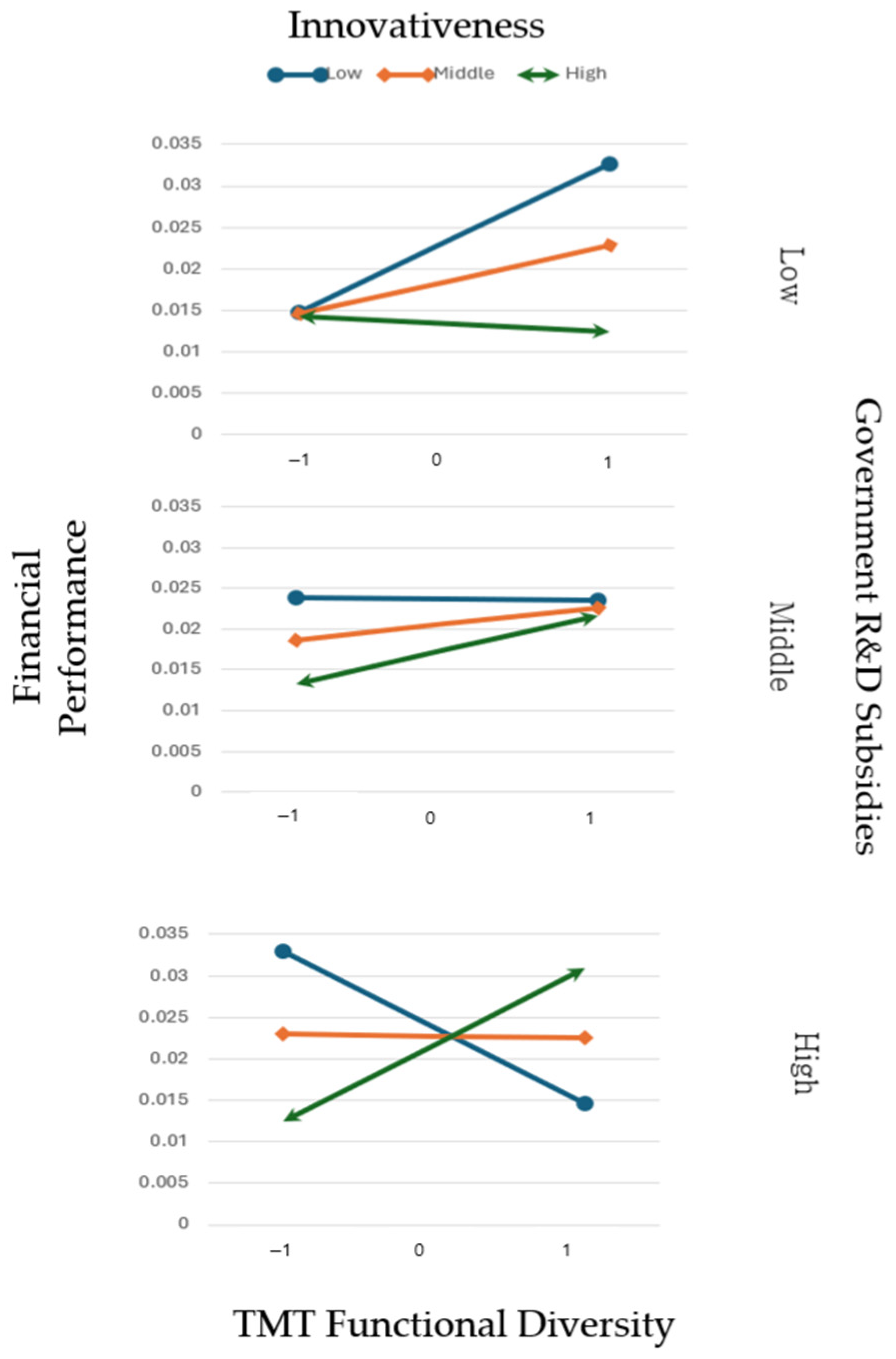
Next, we conduct a bootstrap confidence interval analysis to examine the three-way moderating effects of organizational innovation capacity and government R&D subsidies on the path from TMT functional diversity to corporate financial performance. Figure 3 shows how innovation capacity moderates the relationship between functional diversity and financial performance under three categories of government subsidies: low, medium, and high.
Figure 3.
Three-way interaction.
When government subsidies are low, the relationship between functional diversity and financial performance is negative, even when innovation capabilities are high. This suggests that in situations where external financial support is insufficient, the expertise of diverse TMT members and high innovation capabilities cannot be effectively combined, increasing the costs of collaboration and conflict within the organization, which can negatively affect performance.
At moderate government subsidy levels, the interaction between innovativeness and functional diversity in relation to financial performance shows a modestly positive trend. Thus, with adequate financial support, the potential for internal resource integration improves, but the generated synergies remain somewhat limited.
When government subsidies are high, the positive effect of functional diversity on financial performance is strongest for firms that are highly innovative. This demonstrates that when there is sufficient external financial support, innovation capacity within an organization, combined with functional diversity, can translate into tangible financial performance. Furthermore, this aligns with institutional and signaling theories, which propose that government subsidies act as critical mechanisms of legitimacy in institutional environments and enhance innovation performance. When combined with TMT functional diversity, these subsidies serve as potent institutional signals that amplify the effective use of a firm’s internal capabilities and external resources. Consequently, this synergy enables firms to achieve sustainable, competitive performance outcomes by maximizing both their internal strengths and external support.
These results empirically demonstrate the integrated effect of internal organizational factors—namely, TMT functional diversity and innovation capacity—and external institutional factors (such as R&D subsidies) on corporate financial performance. They also highlight the need for a close linkage between strategic human resource composition and policy support in the future.
6. Conclusions
6.1. Key Findings and Discussion
This study examines TMT functional diversity’s effect on the financial performance of A-share Chinese companies and explores how organizational innovativeness and government R&D subsidies influence this relationship. The key findings are as follows.
First, TMT functional diversity has a positive effect on the sample firms’ financial performance. This suggests that functionally diverse TMTs can facilitate more effective strategic decision-making, thereby enhancing financial outcomes. These results are consistent with Hambrick and Mason’s [1] top management theory and support previous research confirming that diverse TMTs can enhance an organization’s strategic agility and information-processing capabilities [2,19,33,34]. Specifically, this effect is more pronounced when firm innovativeness and government R&D subsidies are both high. An increase of one standard deviation in TMT functional diversity is associated with a 0.63 percentage point increase in ROA. This magnitude is considerable compared with the average ROA observed among listed Chinese firms.
Second, innovation capability is found to positively moderate the relationship between TMT functional diversity and financial performance. In other words, the higher the R&D investment intensity, the more effectively the diverse ideas and strategies of functionally diverse TMTs are absorbed and implemented, positively affecting firm performance. This is consistent with Cohen and Levinthal’s [8] absorptive capacity theory, demonstrating that innovation capabilities play a vital role in transforming diversity into performance [8,49].
Third, government R&D subsidies further strengthen the moderating effect of innovativeness on the TMT diversity–firm performance relationship, confirming our hypothesized three-way interaction. Specifically, the standardized coefficient for the three-way interaction (β = 0.209, p < 0.01) shows that the synergy between TMT diversity and innovativeness in relation to financial performance almost doubles when government support is robust. This implies that sufficient external financial and institutional support can enhance the positive synergy between TMT diversity and innovativeness, thereby facilitating translation into financial performance. This also supports institutional and signaling theories, which view government subsidies as mechanisms that not only provide financial assistance but also help firms gain legitimacy and build stakeholder trust [28].
Thus, we empirically show that TMT functional diversity’s positive effect on corporate performance can be optimized when two conditions are met at the same time: innovation as an internal capability and government R&D subsidies as external institutional support. These findings contribute to our understanding of the influence mechanisms between a company’s internal human resource composition and the external environment. This study also provides empirical support for research on strategic management and organizational theory that emphasizes the importance of multidimensional interaction effects.
6.2. Implications
6.2.1. Research Implications
We contribute to the literature by using a three-way interaction model—one that has been sparingly applied in the fields of strategic management and organizational theory—to better explain the multidimensional interactions that determine firm performance. Prior research has largely focused on single or two-way moderating relationships, analyzing the independent effects of variables on performance. However, such approaches limit our ability to explain the complex relational influences that characterize actual corporate management practices and outcomes, where multiple factors interact to influence firm performance. We address such limitations by empirically demonstrating that firm performance can be maximized when three critical factors interact—namely, the HR of TMT functional diversity, the organizational capability of innovativeness, and the external institutional resources of government R&D subsidies.
We propose a theoretical perspective grounded in complex systems thinking, emphasizing that the effectiveness of strategy implementation is neither fixed nor constant but dynamically and flexibly changes according to context, including internal human characteristics and capabilities, along with the external institutional environment. Absorptive capacity—widely recognized as a crucial driver of innovation reflecting a firm’s ability to recognize, assimilate, and exploit external knowledge—also faces inherent limitations. For instance, “not-invented-here” syndrome illustrates how firms, despite possessing substantial absorptive potential, may resist adopting externally sourced knowledge owing to cognitive biases, entrenched organizational cultures, or preferences for internally generated ideas [61]. Such behavioral resistance can dampen the beneficial effect of absorptive capacity on innovation outcomes, thereby introducing important boundary conditions to its effectiveness. Our multidimensional interaction model captures these contextual variabilities by incorporating the synergistic and sometimes antagonistic influences of TMT functional diversity, organizational innovativeness, and government R&D subsidies. This approach allows the model to reflect not only enabling factors but also constraining forces, thereby offering a richer, more nuanced conceptual framework that accommodates the dynamic contingencies and complexity inherent in organizational innovation processes.
Moreover, we integrate three heterogeneous yet complementary theoretical foundations—upper echelons theory, absorptive capacity theory, and institutional theory—to propose a theoretical framework that clarifies certain elements of the complex relationship between strategy execution and firm performance. This framework underscores the importance of considering the theoretical context when analyzing the interaction between HR and institutional conditions in the domains of strategic management and organizational theory. Thus, our study lays a foundation for future research aimed at broadening and deepening our theoretical understanding by integrating these elements.
6.2.2. Practical Implications
Managers need to recognize functional diversity not simply as a dimension of workforce heterogeneity but also as a strategic asset intertwined with strategy implementation and innovativeness. To capitalize on this, organizations should aim to establish R&D-based systems, foster an open learning culture, and enhance their capacity to adopt new technologies. In organizations with limited innovativeness, ideas for change may fail to translate into strategy, making it essential to strengthen organizational interfaces to facilitate internal coordination. Importantly, our results suggest that firms should intentionally design their TMT composition to include diverse functional backgrounds, particularly when aiming to take advantage of government innovation programs. HR can recruit or rotate executives from different specialties (e.g., R&D, marketing, finance, operations) and establish cross-functional decision-making protocols to maximize knowledge integration. Therefore, directors and CEOs should shift their focus from short-term financial performance to talent strategies centered on diversity and long-term value creation. This is particularly critical in emerging markets characterized by high environmental uncertainty and volatility, where strategic flexibility is paramount.
When designing and distributing government R&D subsidies, policymakers and government officials should move beyond traditional evaluation criteria, such as firm age, industry, and basic financial indicators, and consider TMT functional diversity, innovation capacity, and the degree of alignment between management structure and operational strategy. Our results suggest that subsidy programs can be more effective when the assessment process gives higher priority to companies with TMTs possessing diverse functional backgrounds, especially when these teams are involved in innovation initiatives within the organization. For example, policy frameworks could assign additional points or provide selection preference to firms that demonstrate a high level of TMT diversity and clear collaboration among executives from different backgrounds. Additionally, supplementary guidance or training can be offered to help recipient firms integrate diverse knowledge and perspectives across leadership roles, enhancing synergies with internal innovation projects. Adopting evaluation standards that reflect both executive team composition and actual innovation practices will help ensure that public funds create substantial, sustainable value. This approach can enable more precise alignment between policy objectives and the key drivers of innovation in the private sector. Such practices also serve to enhance the transparency and credibility of government R&D funding systems. As a result, investors and stakeholders benefit from clearer signals regarding a company’s growth potential and commitment to innovation through diversity. In emerging markets with high information asymmetry, such policy changes could help reduce uncertainty and support both corporate performance and public policy goals.
In conclusion, this study highlights the importance of integrating organizational capabilities and institutional resources to convert TMT functional diversity into superior performance. The link between strategic execution systems and external policy environments is key to value creation. Especially in emerging economies with government-driven technological innovation, aligning internal factors with policy instruments and institutional resources is a prerequisite for maximizing performance. By delineating the structural conditions whereby TMT composition and organizational capabilities amplify outcomes in concert with government policies, this study offers practical strategic roadmaps for policy designers and emerging-market managers.
6.3. Limitations and Future Research
This study has several limitations. First, we analyze the causal relationship between independent and dependent variables with a time lag using data from A-share Chinese companies spanning 2022–2023. While the study meaningfully reflects the rapidly changing post-COVID-19 economic environment and China’s unique policy context, its relatively short analysis period limits the ability to capture long-term trends and fully control for firm-specific effects, which may result in unobserved heterogeneity influencing the results. Second, we attempt to mitigate endogeneity by incorporating time lags and various control variables. However, completely resolving endogeneity remains challenging. Therefore, future research can address these limitations through additional data collection, the use of instrumental variables, analyses of longer panel datasets, and the use of diverse methods such as natural experiments. Third, ROA, used to measure performance, is a representative accounting-based indicator of profitability relative to corporate assets with high academic validity. However, it suffers from some structural limitations owing to differences in accounting practices and its reliance on past performance. Therefore, future research can use market-based performance indicators, such as Tobin’s Q, to more broadly capture the long-term and strategic performance implications of a company. Finally, we use R&D intensity as a proxy for innovativeness, a measure widely recognized for its practicality and validity. However, R&D intensity captures only one aspect of innovativeness and does not fully reflect other important dimensions such as patent outputs or collaborative innovation. Therefore, interpretations of innovation based solely on R&D intensity must take these inherent limitations into account, and future research should include comprehensive measurement indicators of innovation.
Author Contributions
All authors conceived the framework of the paper; study conceptualization and theoretical development: Y.J.C.; methodology and formal analysis: T.M.N.W.; writing—review and editing: J.W.Y. All authors have read and agreed to the published version of the manuscript.
Funding
This research was funded by Konkuk University in 2025 (grant no. 2025-A019-0148).
Data Availability Statement
The data analyzed in this study are available on request from the corresponding author. The data are not publicly available because of confidentiality agreements with the data providers.
Conflicts of Interest
The authors have no conflicts of interest to declare.
Abbreviations
| CEO | chief executive officer |
| CSMAR | Chinese Securities Market and Accounting Research |
| ESG | environmental, social, and governance |
| HHI | Herfindahl–Hirschman index |
| HR | human resources |
| R&D | research and development |
| ROA | return on assets |
| TMT | top management team |
| VIF | variance inflation factor |
References
- Hambrick, D.C.; Mason, P.A. Upper echelons: The organization as a reflection of its top managers. Acad. Manag. Rev. 1984, 9, 193–206. [Google Scholar] [CrossRef]
- Carpenter, M.A.; Geletkanycz, M.A.; Sanders, W.G. Upper echelons research revisited: Antecedents, elements, and consequences of top management team composition. J. Manag. 2004, 30, 749–778. [Google Scholar] [CrossRef]
- Shao, Y.; Hernández, R.; Liu, P. Government intervention and corporate policies: Evidence from China. J. Bus. Res. 2015, 68, 1205–1215. [Google Scholar] [CrossRef]
- Boeing, P. The allocation and effectiveness of China’s R&D subsidies: Evidence from listed firms. Res. Policy 2016, 45, 1774–1789. [Google Scholar] [CrossRef]
- Springut, M.; Schlaikjer, S.; Chen, D. China’s Program for Science and Technology Modernization; Centra Technology, Incorporated: Burlington, MA, USA, 2011. [Google Scholar]
- Chen, J.; Liu, L. TMT entrepreneurial passion diversity and firm innovation performance: The mediating role of knowledge creation. J. Knowl. Manag. 2024, 28, 268–291. [Google Scholar] [CrossRef]
- Qian, S.; Wen, Y. Top management team heterogeneity and peer effects in investment decision-making: Based on the social learning perspective. Bus. Process Manag. J. 2025, 31, 443–466. [Google Scholar] [CrossRef]
- Cohen, W.M.; Levinthal, D.A. Absorptive capacity: A new perspective on learning and innovation. Admin. Sci. Q. 1990, 35, 128–152. [Google Scholar] [CrossRef]
- Zahra, S.A.; George, G. Absorptive capacity: A review, reconceptualization, and extension. Acad. Manag. Rev. 2002, 27, 185–203. [Google Scholar] [CrossRef]
- Gao, D.; Li, S.; Guo, C. Top management team career experience heterogeneity, digital transformation, and the corporate green innovation: A moderated mediation analysis. Front. Psychol. 2023, 14, 1276812. [Google Scholar] [CrossRef] [PubMed]
- Huang, X.; Gao, Q.; Wang, D. The impact of top management team tenure heterogeneity on innovation efficiency of declining firms. PLoS ONE 2025, 20, e0313624. [Google Scholar] [CrossRef]
- Ponomareva, Y.; Uman, T.; Bodolica, V.; Wennberg, K. Cultural diversity in top management teams: Review and agenda for future research. J. World Bus. 2022, 57, 101328. [Google Scholar] [CrossRef]
- Li, H.; Chang, Y.; Wang, X.; Zhang, N. Institutional complexity and corporate environmental investments: Evidence from China’s mixed-ownership reform of state-owned enterprises. Manag. Organ. Rev. 2024, 20, 716–747. [Google Scholar] [CrossRef]
- Li, Q.; Zhang, Y.; Yan, J. Exploring the role of top management team diversity and absorptive capacity in the relationship between corporate environmental, social, and governance performance and firm value. Systems 2024, 12, 448. [Google Scholar] [CrossRef]
- Neely, B.H., Jr.; Lovelace, J.B.; Cowen, A.P.; Hiller, N.J. Metacritiques of upper echelons theory: Verdicts and recommendations for future research. J. Manag. 2020, 46, 1029–1062. [Google Scholar] [CrossRef]
- Taylor, F.W. The Principles of Scientific Management; Harper & Brothers Press: New York, NY, USA, 1911. [Google Scholar]
- Simon, H.A. The compensation of executives. Sociometry 1957, 20, 32–35. [Google Scholar] [CrossRef]
- Bromiley, P.; Rau, D. Social, behavioral, and cognitive influences on upper echelons during strategy process: A literature review. J. Manag. 2016, 42, 174–202. [Google Scholar] [CrossRef]
- Simons, T.; Pelled, L.H.; Smith, K.A. Making use of difference: Diversity, debate, and decision comprehensiveness in top management teams. Acad. Manag. J. 1999, 42, 662–673. [Google Scholar] [CrossRef]
- Wiersema, M.F.; Bantel, K.A. Top management team demography and corporate strategic change. Acad. Manag. J. 1992, 35, 91–121. [Google Scholar] [CrossRef]
- Nielsen, S. Top management team internationalization and firm performance: The mediating role of foreign market entry. Manag. Int. Rev. 2010, 50, 185–206. [Google Scholar] [CrossRef]
- Lee, H.U.; Park, J.H. Top team diversity, internationalization and the mediating effect of international alliances. Br. J. Manag. 2006, 17, 195–213. [Google Scholar] [CrossRef]
- Kaczmarek, S.; Ruigrok, W. In at the deep end of firm internationalization: Nationality diversity on top management teams matters. Manag. Int. Rev. 2013, 53, 513–534. [Google Scholar] [CrossRef]
- Cizmaș, E.; Feder, E.S.; Maticiuc, M.D.; Vlad-Anghel, S. Team management, diversity, and performance as key influencing factors of organizational sustainable performance. Sustainability 2020, 12, 7414. [Google Scholar] [CrossRef]
- Tan, Z. Top management team stability and corporate innovation sustainability. Sustainability 2024, 16, 4496. [Google Scholar] [CrossRef]
- Jansen, J.J.P.; Van Den Bosch, F.A.J.; Volberda, H.W. Managing potential and realized absorptive capacity: How do organizational antecedents matter? Acad. Manag. J. 2005, 48, 999–1015. [Google Scholar] [CrossRef]
- Meyer, J.W.; Rowan, B. Institutionalized organizations: Formal structure as myth and ceremony. Am. J. Sociol. 1977, 83, 340–363. [Google Scholar] [CrossRef]
- DiMaggio, P.J.; Powell, W.W. The iron cage revisited: Institutional isomorphism and collective rationality in organizational fields. Am. Sociol. Rev. 1983, 48, 147–160. [Google Scholar] [CrossRef]
- Marquis, C.; Raynard, M. Institutional strategies in emerging markets. Acad. Manag. Ann. 2015, 9, 291–335. [Google Scholar] [CrossRef]
- Chatzopoulou, E.; Navazhylava, K. Ethnic brand identity work: Responding to authenticity tensions through celebrity endorsement in brand digital self-presentation. J. Bus. Res. 2022, 142, 974–987. [Google Scholar] [CrossRef]
- Connelly, B.L.; Certo, S.T.; Ireland, R.D.; Reutzel, C.R. Signaling theory: A review and assessment. J. Manag. 2011, 37, 39–67. [Google Scholar] [CrossRef]
- Zhou, L.; Huang, H.; Chen, X.; Tian, F. Functional diversity of top management teams and firm performance in SMEs: A social network perspective. Rev. Manag. Sci. 2023, 17, 259–286. [Google Scholar] [CrossRef]
- Yin, K.; Li, C.; Sheldon, O.J.; Zhao, J. CEO transformational leadership and firm innovation: The role of strategic flexibility and top management team knowledge diversity. Chin. Manag. Stud. 2023, 17, 933–953. [Google Scholar] [CrossRef]
- Bunderson, J.S.; Sutcliffe, K.M. Comparing alternative conceptualizations of functional diversity in management teams: Process and performance effects. Acad. Manag. J. 2002, 45, 875–893. [Google Scholar] [CrossRef]
- Ma, C.; Ge, Y.; Wang, J. Top management team intrapersonal functional diversity and adaptive firm performance: The moderating roles of the CEO–TMT power gap and severity of threat. Front. Psychol. 2021, 12, 772739. [Google Scholar] [CrossRef] [PubMed]
- Wang, X. A meta-analysis of top management team heterogeneity and corporate innovation performance in China. In Proceedings of the 7th International Seminar on Education, Management and Social Sciences (ISEMSS 2023), Kunming, China, 14–16 July 2023; Atlantis Press: Dordrecht, The Netherlands, 2023; pp. 1707–1718. [Google Scholar]
- Hu, Z.; Ai, J. Empirical Analysis of the Nexus Between Top Management Team Diversity and Firm Performance: A Study of Chinese Companies. 2025. Available online: https://papers.ssrn.com/sol3/papers.cfm?abstract_id=5085541 (accessed on 10 August 2025).
- Midavaine, J.; Smith, L.; Johnson, R. Board diversity and R&D investment: The impact of educational and gender diversity on innovation. J. Bus. Res. 2023, 150, 45–59. [Google Scholar] [CrossRef]
- Guo, D.; Guo, Y.; Jiang, K. Government-subsidized R&D and firm innovation: Evidence from China. Res. Policy 2016, 45, 1129–1144. [Google Scholar] [CrossRef]
- Wolff, G.B.; Reinthaler, V. The effectiveness of subsidies revisited: Accounting for wage and employment effects in business R&D. Res. Policy 2008, 37, 1403–1412. [Google Scholar] [CrossRef]
- Cin, B.C.; Kim, Y.J.; Vonortas, N.S. The impact of public R&D subsidy on small firm productivity: Evidence from Korean SMEs. Small Bus. Econ. 2017, 48, 345–360. [Google Scholar] [CrossRef]
- Huergo, E.; Trenado, M.; Ubierna, A. The impact of public support on firm propensity to engage in R&D: Spanish experience. Technol. Forecast. Soc. Change 2016, 113, 206–219. [Google Scholar] [CrossRef]
- Qian, C.; Wang, H.; Geng, X.; Yu, Y. Rent appropriation of knowledge-based assets and firm performance when institutions are weak: A study of Chinese publicly listed firms. Strateg. Manag. J. 2017, 38, 892–911. [Google Scholar] [CrossRef]
- Richard, O.C.; Triana, M.C.; Li, M. The effects of racial diversity congruence between upper management and lower management on firm productivity. Acad. Manag. J. 2021, 64, 1355–1382. [Google Scholar] [CrossRef]
- Lu, C.; Liu, Z.; Xu, Y.; Liao, S.; Fu, L. How TMT diversity influences open innovation: An empirical study on biopharmaceutical firms in China. Technol. Anal. Strateg. Manag. 2022, 34, 151–165. [Google Scholar] [CrossRef]
- Carpenter, M.A.; Fredrickson, J.W. Top management teams, global strategic posture, and the moderating role of uncertainty. Acad. Manag. J. 2001, 44, 533–545. [Google Scholar] [CrossRef]
- Mangena, M.; Tauringana, V.; Chamisa, E. Corporate boards, ownership structure and firm performance in an environment of severe political and economic crisis. Br. J. Manag. 2012, 23, S23–S41. [Google Scholar] [CrossRef]
- Ho, C.T.; Wu, Y.S. Benchmarking performance indicators for banks. Benchmarking 2006, 13, 147–159. [Google Scholar] [CrossRef]
- Hagedoorn, J.; Cloodt, M. Measuring innovative performance: Is there an advantage in using multiple indicators? Res. Policy 2003, 32, 1365–1379. [Google Scholar] [CrossRef]
- Laursen, K.; Salter, A. Open for innovation: The role of openness in explaining innovation performance among UK manufacturing firms. Strateg. Manag. J. 2006, 27, 131–150. [Google Scholar] [CrossRef]
- Wang, L.; Wang, Y.; Zhou, J. Political connection, government R&D subsidies and innovation efficiency: Evidence from China. Fin. Res. Lett. 2022, 48, 102953. [Google Scholar] [CrossRef]
- Ahuja, G. Collaboration networks, structural holes, and innovation: A longitudinal study. Admin. Sci. Q. 2000, 45, 425–455. [Google Scholar] [CrossRef]
- Assefa, D.Z.; Colovic, A.; Misganaw, B.A. Firm size, firm age and business model innovation in response to a crisis: Evidence from 12 countries. Int. J. Innov. Manag. 2022, 26, 2250054. [Google Scholar] [CrossRef]
- Jia, R.; Hu, W.; Li, S. Ambidextrous leadership and organizational innovation: The importance of knowledge search and strategic flexibility. J. Knowl. Manag. 2022, 26, 781–801. [Google Scholar] [CrossRef]
- Huergo, E.; Jaumandreu, J. How does probability of innovation change with firm age? Small Bus. Econ. 2004, 22, 193–207. [Google Scholar] [CrossRef]
- Myers, S.C. Capital structure. J. Econ. Perspect. 2001, 15, 81–102. [Google Scholar] [CrossRef]
- Kaplan, R.S.; Norton, D.P. Strategy Maps: Converting Intangible Assets into Tangible Outcomes; Harvard Business Press: Boston, MA, USA, 2003. [Google Scholar]
- Li, J.; Tang, Y.I. CEO hubris and firm risk taking in China: The moderating role of managerial discretion. Acad. Manag. J. 2010, 53, 45–68. [Google Scholar] [CrossRef]
- Hannan, M.T.; Freeman, J. Structural inertia and organizational change. Am. Sociol. Rev. 1984, 49, 149–164. [Google Scholar] [CrossRef]
- Coad, A.; Segarra, A.; Teruel, M. Like milk or wine: Does firm performance improve with age? Struct. Change Econ. Dyn. 2013, 24, 173–189. [Google Scholar] [CrossRef]
- Burger-Helmchen, T. Crowdsourcing of inventive activities, AI, and the NIH syndrome. Adm. Sci. 2024, 14, 300. [Google Scholar] [CrossRef]
Disclaimer/Publisher’s Note: The statements, opinions and data contained in all publications are solely those of the individual author(s) and contributor(s) and not of MDPI and/or the editor(s). MDPI and/or the editor(s) disclaim responsibility for any injury to people or property resulting from any ideas, methods, instructions or products referred to in the content. |
© 2025 by the authors. Licensee MDPI, Basel, Switzerland. This article is an open access article distributed under the terms and conditions of the Creative Commons Attribution (CC BY) license (https://creativecommons.org/licenses/by/4.0/).


