Clinical Behavior and Complications of Mandibular Full-Arch Fixed Dental Prostheses Supported by Three Dental Implants. A Systematic Review and Meta-Analysis
Abstract
Simple Summary
Abstract
1. Introduction
2. Materials and Methods
2.1. Eligibility Criteria
2.1.1. Inclusion Criteria
- Clinical human studies.
- Randomized controlled clinical trials, cohort studies, case-control studies, cross-sectional studies.
- Patient sample (related to the topic) of at least 10.
- Follow-up of at least 1 year.
- Articles published up to February 2021.
2.1.2. Exclusion Criteria
- Case series and case reports.
- Animal studies.
- In vitro studies.
- Insufficient information on implant and/or prosthetic survival rates.
2.2. Type of Intervention and Comparisons
2.3. Sources and Search Strategy
2.4. Study Selection and Screening Methods
2.5. Data Collection and Items
2.6. Quality Assessment in Individual Studies
2.7. Statistical Analysis
2.8. Publication Bias
3. Results
3.1. Study Selection
3.2. Study Characteristics
3.3. Synthesis of Results
3.3.1. Inter-Investigator Agreement
3.3.2. Patient Characteristics
3.3.3. Implant and Prosthetic Survival Rates and Effects on Model Results
3.3.4. Antagonist Dentition and Prosthetic Loading Protocols
3.3.5. Denture Material and Torque of the Screwed-Retained Prostheses
3.3.6. Marginal Bone Loss
3.3.7. Patient Reported Outcomes
3.3.8. Biological and Technical Complications
3.3.9. Quality Assessment of Individual Studies
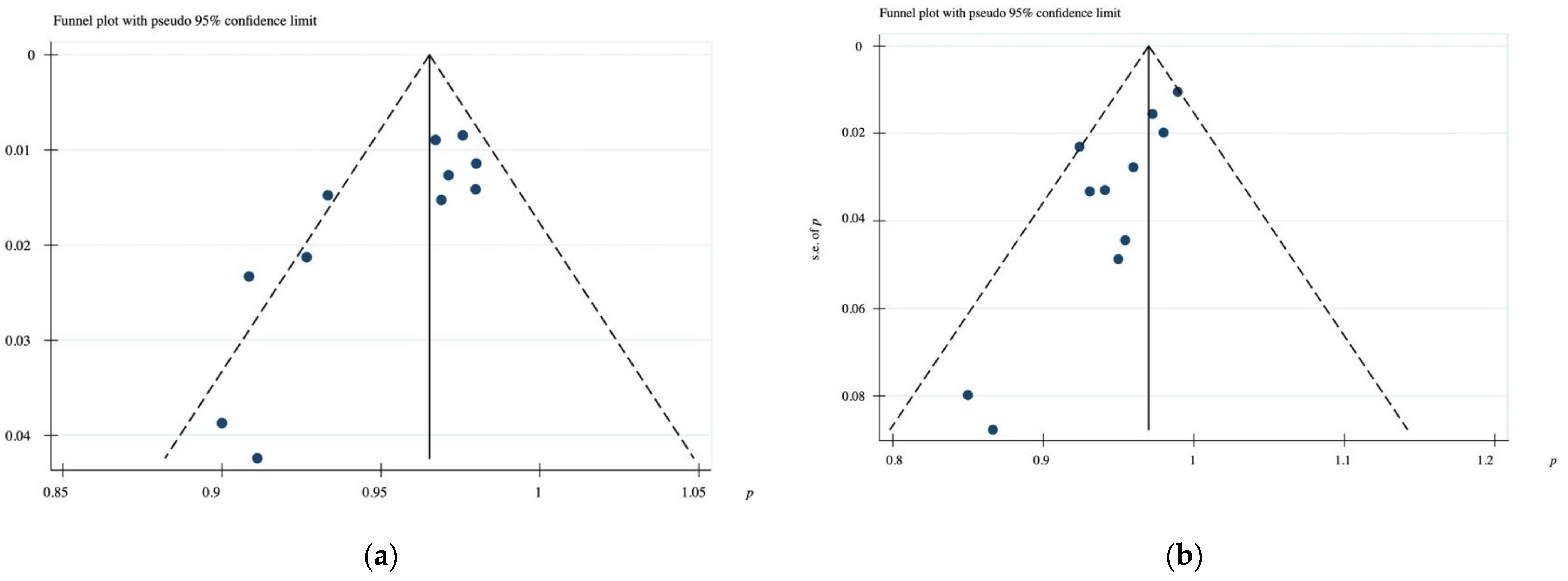
3.3.10. Publication Bias
4. Discussion
5. Conclusions
Author Contributions
Funding
Institutional Review Board Statement
Informed Consent Statement
Data Availability Statement
Acknowledgments
Conflicts of Interest
References
- Rivaldo, E.G.; Montagner, A.; Nary, H.; Frasca, L.C.F.; Brånemark, P.I. Assessment of rehabilitation in edentulous patients treated with an immediately loaded complete fixed mandibular prosthesis supported by three implants. Int. J. Oral Maxillofac. Implants 2012, 27, 695–702. [Google Scholar]
- De Kok, I.J.; Chang, K.H.; Lu, T.S.; Cooper, L.F. Comparison of three-implant-supported fixed dentures and two-implant-retained overdentures in the edentulous mandible: A pilot study of treatment efficacy and patient satisfaction. Int. J. Oral Maxillofac. Implants 2011, 26, 415–426. [Google Scholar]
- Beresford, D.; Klineberg, I. A within-subject comparison of patient satisfaction and quality of life between a two-implant overdenture and a three-implant-supported fixed dental prosthesis in the mandible. Int. J. Oral. Maxillofac. Implants 2018, 33, 1374–1382. [Google Scholar] [CrossRef] [PubMed]
- Brånemark, P.I.; Engstrand, P.; Ohrnell, L.O.; Grondahl, K.; Nilsson, P.; Hagberg, K.; Darle, C.; Lejholm, U. Brånemark Novum: A new treatment concept for rehabilitation of the edentulous mandible. Preliminary results from a prospective clinical follow-up study. Clin. Implant Dent. Relat. Res. 1999, 1, 1–16. [Google Scholar] [CrossRef] [PubMed]
- Engstrand, P.; Grondahl, K.; Ohrnell, L.O.; Nilsson, P.; Nannmark, U.; Brånemark, P.I. Prospective follow-up study of 95 patients with edentulous mandibles treated according to the Brånemark novum concept. Clin. Implant Dent. Relat. Res. 2003, 5, 3–10. [Google Scholar] [CrossRef] [PubMed]
- Henry, P.J.; Van Steenberghe, D.; Blomback, U.; Polizzi, G.; Rosenberg, R.; Urgell, J.P.; Wendelhag, I. Prospective multicenter study on immediate rehabilitation of edentulous lower jaws according to the Brånemark novum protocol. Clin. Implant Dent. Relat. Res. 2003, 5, 137–142. [Google Scholar] [CrossRef]
- De Bruyn, H.; Kisch, J.; Collaert, B.; Linden, U.; Nilner, K.; Dvarsater, L. Fixed mandibular restorations on three early-loaded regular platform Brånemark implants. Clin. Implant Dent. Relat. Res. 2001, 3, 176–184. [Google Scholar] [CrossRef]
- Barteaux, L.; Daelemans, P.; Malevez, C. A surgical stent for the Brånemark Novum bone reduction procedure. Clin. Implant Dent. Relat. Res. 2004, 6, 210–221. [Google Scholar] [CrossRef]
- Oliva, J.; Oliva, X.; Oliva, J.D. All-on-three delayed implant loading concept for the completely edentulous maxilla and mandible: A retrospective 5-year follow-up study. Int. J. Oral. Maxillofac. Implants 2012, 27, 1584–1592. [Google Scholar]
- Tealdo, T.; Menini, M.; Bevilacqua, M.; Pera, F.; Capalbo, V.; Pera, P. Brånemark Novum immediate loading rehabilitation of edentulous mandibles: 11-year retrospective study. Clin. Oral. Implants Res. 2013, 26, 1–7. [Google Scholar] [CrossRef]
- Cannizzaro, G.; Loi, I.; Viola, P.; Ferri, V.; Leone, M.; Trullenque-Eriksson, A.; Esposito, M. Immediate loading of two (fixed-on-2) versus three (fixed-on-3) implants placed flapless supporting cross-arch fixed prostheses: One-year results from a randomized controlled trial. Eur. J. Oral Implantol. 2016, 9, 143–153. [Google Scholar]
- Cannizzaro, G.; Cavallari, M.; Lazzarini, M.; D’ambrosio, G.P.; Scialpi, G.; Audino, S.; Velasco-Ortega, E.; Ippolito, D.R.; Esposito, M. Immediate loading of three (fixed-on-3) vs. four (fixed-on-4) implants supporting cross-arch fixed prostheses: 1-year results from a multicenter randomized controlled trial. Eur. J. Oral Implantol. 2018, 11, 323–333. [Google Scholar] [PubMed]
- Cannizzaro, G.; Felice, P.; Giorgi, A.; Lazzarini, M.; Ferri, V.; Leone, M.; Esposito, M. Immediate loading of 2 (all-on-2) flapless-placed mandibular implants supporting cross-arch fixed prostheses: Interim data from a 1-year follow-up prospective single cohort study. Eur. J. Oral Implantol. 2012, 5, 49–58. [Google Scholar]
- Cannizzaro, G.; Felice, P.; Boveri, M.; Lazzarini, M.; Ferri, V.; Leone, M.; Esposito, M. Immediate loading of two flapless placed mandibular implants supporting cross-arch fixed prostheses: A 3-year follow-up prospective single cohort study. Eur. J. Oral Implantol. 2014, 7, 89–98. [Google Scholar] [PubMed]
- Popper, H.A.; Popper, M.J.; Popper, J.P. Teeth in a day. The Brånemark Novum System. N. Y. State Dent. J. 2003, 69, 34–37. [Google Scholar]
- Hatano, N.; Yamaguchi, M.; Yaita, T.; Ishibashi, T.; Sennerby, L. New approach for immediate prosthetic rehabilitation of the edentulous mandible with three implants: A retrospective study. Clin. Oral Implants Res. 2011, 22, 1265–1269. [Google Scholar] [CrossRef]
- Tribst, J.P.M.; Dal Piva, A.M.D.O.; Borges, A.L.S.; Bottino, M.A. Effect of implant number and height on the biomechanics of full arch prosthesis. Braz. J. Oral Sci. 2018, 17, e18222. [Google Scholar] [CrossRef]
- Sousa, R.M.; Simamoto-Junior, P.C.; Fernandes-Neto, A.J.; Sloten, J.V.; Jaecques, S.V.; Pessoa, R.S. Influence of Connection Types and Implant Number on the Biomechanical Behavior of Mandibular Full-Arch Rehabilitation. Int. J. Oral Maxillofac. Implants 2016, 31, 750–760. [Google Scholar] [CrossRef][Green Version]
- Menini, M.; Bagnasco, F.; Pera, P.; Tealdo, T.; Pesce, P. Brånemark Novum Immediate Loading Rehabilitation of Edentulous Mandibles: Case Series with a 16-Year Follow-up. Int. J. Periodontics Restor. Dent. 2019, 39, 729–735. [Google Scholar] [CrossRef]
- Higuchi, K.; Liddelow, G. An Innovative Implant-Supported Treatment for the Edentulous Mandible: Case Report. Int. J. Oral Maxillofac. Implants 2019, 34, e13–e16. [Google Scholar] [CrossRef]
- Wells, G.A.; Shea, B.; O’Connel, D.; Peterson, J.; Welch, V.; Losos, M.; Tugwell, P. The Newcastle-Ottawa Scale (NOS) for assessing the Quality of Nonrandomized Studies in Meta-Analyses. 2009. Available online: http://www.ohri.ca/programs/clinical_epidemiology/oxford.asp (accessed on 7 April 2021).
- Ayna, M.; Sagheb, K.; Gutwald, R.; Wieker, H.; Florke, C.; Acil, Y.; Wiltfang, J.; Gulses, A. A clinical study on the 6-year outcomes of immediately loaded three implants for completely edentulous mandibles: “the all-on-3 concept”. Odontology 2020, 108, 133–142. [Google Scholar] [CrossRef]
- Hatano, N.; Yamaguchi, M.; Suwa, T.; Watanabe, K. A modified method of immediate loading using Brånemark implants in edentulous mandibles. Odontology 2003, 91, 37–42. [Google Scholar] [CrossRef]
- Van Steenberghe, D.; Molly, L.; Jacobs, R.; Vaderkerckhove, B.; Quirynen, M.; Naer, I. The immediate rehabilitation by means of a ready-made final fixed prosthesis in the edentulous mandible: A I-year follow-up study on 50 consecutive patients. Clin. Oral. Implants Res. 2004, 15, 360–365. [Google Scholar] [CrossRef] [PubMed]
- Gualini, F.; Gualini, G.; Cominelli, R.; Lekholm, U. Outcome of Brånemark novum implant treatment in edentulous mandibles: A retrospective 5-year follow-up study. Clin. Implant Dent. Relat. Res. 2009, 11, 330–337. [Google Scholar] [CrossRef]
- Mezzari, L.M.; Primo, B.T.; Bavaresco, C.S.; Caminha, R.; Rivaldo, E.G. Rehabilitation of the edentulous mandible with an immediately loaded full-arch fixed prosthesis supported by three implants: A 5-year retrospective analysis. Int. J. Oral. Maxillofac. Implants 2019, 34, 719–725. [Google Scholar] [CrossRef]
- Higuchi, K.; Rosenberg, R.; Davó, R.; Albanese, M.; Liddelow, G. A prospective single-cohort multicenter study of an innovative prefabricated three-implant-supported full-arch prosthesis for treatment of edentulous mandible: 1-year report. Int. J. Oral Maxillofac. Implants 2020, 35, 150–159. [Google Scholar] [CrossRef] [PubMed]
- Primo, B.T.; Mezzari, L.M.; Frasca, L.C.F.; Linderman, R.; Rivaldo, E.G. Clinical and radiographic assessment of three-implant-supported fixed-prosthesis rehabilitation of the edentulous mandible: Immediate versus delayed loading. Int. J. Oral Maxillofac. Implants 2018, 33, 653–660. [Google Scholar] [CrossRef] [PubMed]
- Gallucci, G.O.; Benic, G.O.; Eckert, S.E.; Papaspyridakos, P.; Schimmel, M.; Schroot, A.; Weber, H.P. Consensus statements and clinical recommendations for implant loading protocols. Int. J. Oral Maxillofac. Implants 2014, 29, 287–290. [Google Scholar] [CrossRef]
- Heydecke, G.; Zwahlen, M.; Nicol, A.; Nisand, D.; Payer, M.; Renouard, F.; Grohmann, P.; Mühlemann, S.; Joda, T. What is the optimal number of implants for fixed reconstructions: A systematic review. Clin. Oral Implants Res. 2012, 23, 217–228. [Google Scholar] [CrossRef]
- Eliasson, A.; Palmqviste, S.; Svenson, B.; Sondell, K. Five-year results with fixed complete-arch mandibular prostheses supported by 4 implants. Int. J. Oral Maxillofac. Implants 2000, 15, 505–510. [Google Scholar]
- Merickse-Stern, R.; Worni, A. Optimal number of oral implants for fixed reconstructions: A review of the literature. Eur. J. Oral Implantol. 2014, 7, S133–S153. [Google Scholar]
- Polido, W.D.; Aghaloo, T.; Emmett, T.W.; Taylor, T.D.; Morton, D. Number of implants placed for complete-arch fixed prostheses: A systematic review and meta-analysis. Clin. Oral Implants Res. 2018, 28, 154–183. [Google Scholar] [CrossRef] [PubMed]
- De Luna Gomes, J.M.; Lemos, C.A.A.; Santiago Junior, J.F.; de Moraes, S.L.D.; Goiato, M.C.; Pellizer, E.P. Optimal number of implants for complete-arch implant-supported prostheses with a follow-up of at least 5 years: A systematic review and meta-analysis. J. Prosthet. Dent. 2019, 121, 766–774. [Google Scholar] [CrossRef] [PubMed]
- Moraschini, V.; Velloso, G.; Luz, D.; Cavalcante, D.M.; Edos, S.B. Fixed rehabilitation of edentulous mandibles using 2 to 4 implants: A systematic review. Implant Dent. 2016, 25, 435–444. [Google Scholar] [CrossRef] [PubMed]
- Lima, L.B.; De Freitas, N.R.; Novais, V.R.; Junior, P.C.S. Impact of implant number on mandibular implant-supported profile prostheses: A systematic review. Int. J. Oral Maxillofac. Implants 2018, 33, 795–807. [Google Scholar] [CrossRef]
- Kern, J.S.; Kern, T.; Wolfart, S.; Heussen, N. A systematic review and meta-analysis of removable and fixed implant-supported prostheses in edentulous jaws: Post-loading implant loss. Clin. Oral Implants Res. 2016, 27, 174–195. [Google Scholar] [CrossRef] [PubMed]
- Brandão, T.B.; Vechiato-Filho, A.J.; Vedovato, E.; Silva, L.S.; Dos Santos Silva, A.R.; Brito, E.; Dias, R.; de Souza Batista, V.E. Is the Fixed Mandibular 3-Implant Retained Prosthesis Safe and Predicable for Full-Arch Mandibular Prostheses? A Systematic Review. J. Prosthodont. 2021, 30, 119–127. [Google Scholar] [CrossRef] [PubMed]
- Albrektsson, T.; Zarb, G.; Worthington, P.; Eriksson, A.R. The long-term efficacy of currently used dental implants: A review and proposed criteria of success. Int. J. Oral. Maxillofac. Implants 1986, 1, 11–25. [Google Scholar]
- Papaspyridakos, P.; Chen, C.J.; Singh, M.; Weber, H.P.; Gallucci, G.O. Success criteria in implant dentistry: A systematic review. J. Dent. Res. 2012, 91, 242–248. [Google Scholar] [CrossRef]
- Galindo-Moreno, P.; León-Cano, A.; Ortega-Oller, I.; Monje, A.; Ovalle, F.; Catena, A. Marginal bone loss as success criterion in implant dentistry: Beyond 2 mm. Clin. Oral Implants Res. 2015, 26, e28–e34. [Google Scholar] [CrossRef]
- Lam, W.Y.; McGrath, C.P.; Botelho, M.G. Impact of complications of single tooth restorations on oral health-related quality of life. Clin. Oral Implants Res. 2014, 25, 67–73. [Google Scholar] [CrossRef] [PubMed]
- Patzelt, S.B.; Bahat, O.; Reynolds, M.A.; Strub, J.R. The all-on-four treatment concept: A systematic review. Clin. Implant Dent. Relat. Res. 2014, 16, 836–855. [Google Scholar] [CrossRef] [PubMed]
- Pauletto, P.; Ruales-Carrera, E.; Gonçalves, T.M.S.V.; Philippi, A.G.; Donos, N.; Mezzomo, L.A. Fixed and Removable Full-Arch Restorations Supported by Short (≤8-mm) Dental Implants in the Mandible: A Systematic Review and Meta-Analysis. Int. J. Oral Maxillofac. Implants 2019, 34, 873–885. [Google Scholar] [CrossRef] [PubMed]




| Author and Year | Study | Patient Number | Implant Number Straight/Tilted | Follow-Up | Rehabilitation Type | Loading | Antagonist Dentition | 
|---|---|---|---|---|---|---|---|
| Brånemark et al., 1999 [4] | Prospective Mandible | 50 24 females/26 males MA: 64 years (45–86) | 150 Straight | 75 Mo PIP-50 patients at 3 Mo, 49 at 6 months, 42 at 12 Mo, 13 patients at 24 Mo and 3 at 36 Mo | Screw 12 pieces | Immediate loading (7 h) | 34 patients’ maxillary dentures, 11 tooth-supported bridges, 5 implant-supported reconstructions) | 
| Engstrand et al., 2003 [5] | Prospective Mandible | 95 42 females 53 males MA: 68.5 years (45–89) | 285 Straight | 12–70 Mo (mean 30 Mo) 98.9% of patients 12 Mo, 68.4% 12 Mo, 49.5% 36 Mo, 22.1% 48 Mo, 9.5% 70 Mo. | Screw 12 pieces | 67.4% immediate loading/ 6.3% the next 1 or 2 days/ 2.3% in the next 3–10 days/ 6.3% in the 11–20 days/ 11.6% in 21–30 days3.2% in 31–40 days | 56 patients’ removable complete dentures, 30 natural teeth or crowns/bridges, 9 patients implant-supported prostheses | 
| Henry et al., 2003 [6] | Prospective Mandible | 51 23 females 28 males MA: 62.3 years(43–79) | 153 Straight | 12 Mo (49 patients) | Screw NM | 76% of patients immediate loading (same day)/ 24% in 2 or more days after surgery | >5 patients’ natural teeth + tissue-integrated prostheses, complete denture, overdenture, conventional removable prostheses, 5 patients’ natural teeth + removable prostheses, tissue-integrated prostheses, conventional bridge | 
| Hatano et al., 2003 [23] | Retrospective Mandible | 43 17 females 26 males MA: 61.7 years(48–82) | 129 Straight | 3–49 Mo | Screw NM | Immediate loading (same day) | NM | 
| Van Steenberghe et al., 2004 [24] | Prospective Mandible | 50 25 females 25 males MA: 56.5 years(45–80) | 150 Straight | 12 Mo (45 patients) | Screw NM | Immediate loading in 34 patients/ One patient rehabilitated after 10 days/ 15 patients after 1–3 days | 38 maxillaries edentulous, 3 implants and bridge, 3 bridge on natural teeth, 6 dentate | 
| De Bruyn et al., 2001 [7] | Prospective Mandible | 20 12 female 8 males MA: 64 years (41–80) | 60 Straight | 36 Mo (15 patients 12 Mo follow-up, 5 patients 18 Mo follow-up) | Screw 10–12 pieces | Immediate loading | 10 remaining natural or denture teeth | 
| Gualini et al., 2009 [25] | Retrospective Mandible | 15 4 females 11 males MA: 63.5 years (55–78) | 45 Straight | 60 Mo (15 patients at 12 Mo, almost 15 42–72 Mo) | Screw 12 pieces | Immediate loading (same day or the following day) | 6 patients maxillary complete prostheses, 3 implant-supported constructions, 4 patients dentate, 2 patients partial dentures) | 
| Hatano et al., 2011 [16] | Retrospective Mandible | 132 67 females 65 males MA: 62.6 years (35–85) | 396 Distal tilted | 60 Mo (132 patients 12 Mo, 77 patients 60 Mo 3 patients at 120 Mo) | Screw 12–14 pieces | Immediate loading (same day) | NM | 
| Rivaldo et al., 2012 [1] | Retrospective Mandible | 33 64.2% females 35.8% males 38–83 years majority (43%) 51–60 years | 99 Straight | 18 Mo (33 patients) | Screw NM | Until 72 h after implant placement | Maxillary complete denture | 
| Mezzari et al., 2019 [26] | Retrospective Mandible | 58 35 females 23 males MA: 63.3 ± 7.9 years (46–81 years) | 174 NM | 60 Mo | Screw NM | Immediate loading | Maxillary complete dentures | 
| Ayna et al., 2020 [22] | Prospective Mandible | 29 13 females 16 males MA: 65 ± 6 years | 87 Tilted distal implants | 72 Mo | Screw 12 pieces | Immediate loading (first 24 h) | NM | 
| Higuchi et al., 2020 [27] | Prospective Mandible | 110 60 females 50 males MA: 61.7 years | 330 Straight | 12 Mo (104 patients went to follow up) | Screw NM | 76.4% immediate loading (1–2 days) 23.6% early loading (3–10 days) | NM: stable opposing dentition | 
| Primo et al., 2018 [28] | Prospective double-arm Mandible | 20 patients 16 females 4 males MA: 64 years 22 patients 18 females 4 males MA: 73.5 years | 60 Distal tilted 66 Distal tilted | 18 Mo | Screw NM | Immediate loading Early loading | Complete maxillary dentures | 
| Author and Year | Implant Survival | Prosthetic Survival | Patient Satisfaction | Complications | Marginal Bone Loss | 
|---|---|---|---|---|---|
| Brånemark et al., 1999 [4] | 98% (3 failures) | 98% | 94% 20 questions questionnaire 10 days post-operative | No complications | 0.13 mm first year (42 patients) 0.26 mm second year (13 patients) 0.53 mm third year (3 patients) | 
| Engstrand P et al., 2003 [5] | 95% first year 93.3% third year 93.3% fifth year (18 failures) | 99% | NM | Dehiscence in 3 patients Transient paresthesia in 5 patients Mucosal inflammation in three patients 2 screw fractures, loosening of 16% of patients | 0.73 mm first year 0.73 + 0.16 mm second year 0.73 + 0.16 + 0.13 mm third, fourth and fifth year | 
| Henry et al., 2003 [6] | 96.1% 3 months 95.4% 6 months 90.7% first year (14 failures) | 96.1% 3 months 96.1% 6 months 94% first year | 97% of patients did not have phonetic problems 87% did not have masticatory problems 87% did not have aesthetic problems 76% felt rehabilitation as own 100% of patients would repeat the surgery | 1 patient with paresthesia 11 patients with prosthesis bar loosening 2 patients with prosthesis loosening 2 patients with prosthesis fracture 1 patient with mucositis | 0.4 mm | 
| Hatano et al., 2003 [23] | 97.6% SUCCESS (3 failures) | 100% | Patients were satisfied, No questionnaire | 1 patient with screw loosening 1 patient structure did not fit | NM | 
| Van Steenberghe et al., 2004 [24] | 92.7% (11 failures) | 95% | NM | NM | 1.1 mm with periapical 0.8 mm and 0.7 mm in vestibular and lingual in CBCT 1-year follow-up | 
| De Bruyn et al., 2001 [7] | 90.5% (6 implants, 1 before loading, was replaced) | 85% | 87% were satisfied at 3 months 77% of satisfaction at year | 1 patient pain after implant surgery fracture of temporary cylinder in a patient with a provisional prosthesis 1 abutment fracture | 1.6 mm at one year 2.1 mm at three years | 
| Gualini et al., 2009 [25] | 91.1%(4 failures) | 86.7% | 100% of patients satisfied with prosthesis function 2/13 not completely satisfied with aesthetics | 6 screw loosening, 12 resin or tooth fractures (90% occurred in 3/13 patients), 6 need for upper bar modification | 0 mm in 11 patients 0.1 mm 1 patient 0.5 mm 1 patient 5 years follow-up | 
| Hatano et al., 2011 [16] | 96.7% (13 failures) | 92.4% | NM | Acrylic tooth fracture and occasional loss of Access-hole fillings. No major prosthetic complications | NM 5 years follow-up | 
| Rivaldo et al., 2012 [1] | 97.97% (2 failures) | NM | NM | NM | 0.66 ± 0.51 mm for left implant 0.92 ± 0.61 mm for middle implant 0.82 ± 0.52 mm for right implant 18 months follow-up | 
| Mezzari et al., 2019 [26] | 97.13% (5 failures) | 93.1% SUCCESS | NM | 27 prosthetic complications: 10 patients cover screw issues, 7 loosening of the prosthetic screw, 13 torque loss or insufficient torque of the abutment, 5 issues with the acrylic portion of the prosthesis, 8 unsatisfactory occlusion 50% of patients experienced at least one prosthetic complication | 2.65 ± 1.06 mm middle implant 2.11 ± 0.84 mm distal implants 5 years | 
| Ayna et al., 2020 [22] | 100% | NM 14 acrylic resin prosthesis with titanium framework and 15 patients received metal-supported ceramic restoration | OHIP-14 and masticatory forceSatisfaction when immediate loading | 6 patients with supra-structure fracture (four in canines repaired in clinic, 2 reached metal framework and were repaired in laboratory). 2 patients with superficial veneer fractures repaired in situ. | 0.9 ± 1 mm for left implant 1 ± 1 for right implant 0.9 ± 1 mm for middle implant 6 years | 
| Higuchi et al., 2020 [27] | 97.5% (8 failures) | 97.3% | OHIP EDENT-21 Function and esthetics great results from prosthesis loading until a year of follow-up | 42 adverse events Transient sensitive alteration in 8 patients, 5 patients with persistent pain after surgery, submandibular swelling on the right side in 2 patients, 1.9% of screw loosening, 6 tooth chipping3 tooth fracture | 0.62 ± 1.39 mm 1 year | 
| Primo et al., 2018 [28] | 98.33% (1 failure) 98.49% (1 failure) | 95.23% 95.65% | NM | 9 cover screw issues, 6 patients with acrylic portion problems, 5 patients with occlusion unsatisfactory, plaque in 29 implants, prosthesis hygiene unsatisfactory in 9 patients 31 implants with plaque presence, unsatisfactory prosthesis hygiene in 8 patients | 1.38 mm for right implant, 1.73 mm for middle implant and 1.56 mm for left implant 1.58 mm for right implant, 1.72 mm for middle implant and 1.53 mm for left implant 18 months | 
| Study | Selection | Comparability | Outcome | Number of Stars (Out of 9) | ||||||
|---|---|---|---|---|---|---|---|---|---|---|
| S1 | S2 | S3 | S4 | C1 | C2 | E1 | E2 | E3 | ||
| Brånemark et al., 1999 | ★ | 0 | ★ | ★ | ★ | 0 | 0 | ★ | 0 | 5 | 
| Engstrand et al., 2003 | ★ | 0 | ★ | ★ | ★ | 0 | ★ | ★ | ★ | 6 | 
| Henry et al., 2003 | ★ | 0 | ★ | ★ | ★ | 0 | ★ | 0 | ★ | 6 | 
| Hatano et al., 2003 | ★ | 0 | ★ | 0 | ★ | 0 | ★ | ★ | ★ | 6 | 
| Van Steenberghe et al., 2004 | ★ | 0 | ★ | ★ | ★ | 0 | 0 | 0 | ★ | 5 | 
| De Bruyn et al., 2001 | ★ | 0 | ★ | ★ | ★ | 0 | ★ | ★ | 0 | 6 | 
| Gualini et al., 2009 | ★ | 0 | ★ | 0 | ★ | 0 | 0 | ★ | ★ | 5 | 
| Hatano et al., 2011 | ★ | 0 | ★ | 0 | ★ | 0 | ★ | ★ | ★ | 6 | 
| Rivaldo et al., 2012 | ★ | 0 | ★ | ★ | ★ | 0 | 0 | ★ | ★ | 6 | 
| Primo et al., 2018 | ★ | ★ | 0 | ★ | ★ | 0 | 0 | ★ | 0 | 5 | 
| Mezzari et al., 2019 | ★ | 0 | ★ | 0 | ★ | 0 | ★ | ★ | 0 | 5 | 
| Ayna et al., 2019 | ★ | 0 | ★ | ★ | ★ | 0 | 0 | ★ | 0 | 5 | 
| Higuchi et al., 2020 | ★ | 0 | ★ | ★ | ★ | 0 | 0 | 0 | ★ | 5 | 
| Publisher’s Note: MDPI stays neutral with regard to jurisdictional claims in published maps and institutional affiliations. | 
© 2021 by the authors. Licensee MDPI, Basel, Switzerland. This article is an open access article distributed under the terms and conditions of the Creative Commons Attribution (CC BY) license (https://creativecommons.org/licenses/by/4.0/).
Share and Cite
Sánchez-Labrador, L.; Molinero-Mourelle, P.; Cortés-Bretón Brinkmann, J.; Prados-Frutos, J.C.; Gómez-Polo, M.; Martínez-González, J.M. Clinical Behavior and Complications of Mandibular Full-Arch Fixed Dental Prostheses Supported by Three Dental Implants. A Systematic Review and Meta-Analysis. Biology 2021, 10, 308. https://doi.org/10.3390/biology10040308
Sánchez-Labrador L, Molinero-Mourelle P, Cortés-Bretón Brinkmann J, Prados-Frutos JC, Gómez-Polo M, Martínez-González JM. Clinical Behavior and Complications of Mandibular Full-Arch Fixed Dental Prostheses Supported by Three Dental Implants. A Systematic Review and Meta-Analysis. Biology. 2021; 10(4):308. https://doi.org/10.3390/biology10040308
Chicago/Turabian StyleSánchez-Labrador, Luis, Pedro Molinero-Mourelle, Jorge Cortés-Bretón Brinkmann, Juan Carlos Prados-Frutos, Miguel Gómez-Polo, and José María Martínez-González. 2021. "Clinical Behavior and Complications of Mandibular Full-Arch Fixed Dental Prostheses Supported by Three Dental Implants. A Systematic Review and Meta-Analysis" Biology 10, no. 4: 308. https://doi.org/10.3390/biology10040308
APA StyleSánchez-Labrador, L., Molinero-Mourelle, P., Cortés-Bretón Brinkmann, J., Prados-Frutos, J. C., Gómez-Polo, M., & Martínez-González, J. M. (2021). Clinical Behavior and Complications of Mandibular Full-Arch Fixed Dental Prostheses Supported by Three Dental Implants. A Systematic Review and Meta-Analysis. Biology, 10(4), 308. https://doi.org/10.3390/biology10040308
 
         
                                                


 
       