Next Article in Journal
Moisture and Surface Properties of Radically Photo-Grafted Poly-(Ethylene Terephthalate) Woven Fabric
Previous Article in Journal
Raman Scattering for Tensile Testing of Polyacrylonitrile-Based and Pitch-Based Single Carbon Fibers
 
 
Font Type:
Arial Georgia Verdana
Font Size:
Aa Aa Aa
Line Spacing:
Column Width:
Background:
Article

The Influence of Abaca Fiber Treated with Sodium Hydroxide on the Deformation Coefficients Cc, Cs, and Cv of Organic Soils

by
Carlos Contreras
1,
Jorge Albuja-Sánchez
2,3,*,
Oswaldo Proaño
1,4,
Carlos Ávila
1,4,*,
Andreina Damián-Chalán
2 and
Mateo Peñaherrera-Aguirre
5
1
Facultad de Ciencias, Ingeniería y Construcción, Ingeniería Civil, Universidad UTE, Quito 170527, Ecuador
2
Laboratory of Materials Resistance, Soil Mechanics, Pavements and Geotechnics, Faculty of Engineering, Pontificia Universidad Católica del Ecuador (PUCE), Quito 170143, Ecuador
3
International Faculty of Innovation PUCE-Icam, Pontificia Universidad Católica del Ecuador (PUCE), Quito 170143, Ecuador
4
Grupo de Investigación de Energía, Minas y Agua (GIEMA), Facultad de Ciencias, Ingeniería y Construcción, Universidad UTE, Quito 170527, Ecuador
5
School of Animal and Comparative Biomedical Sciences, University of Arizona, Tucson, AZ 85721, USA
*
Authors to whom correspondence should be addressed.
Fibers 2024, 12(10), 89; https://doi.org/10.3390/fib12100089
Submission received: 26 August 2024 / Revised: 23 September 2024 / Accepted: 8 October 2024 / Published: 15 October 2024

Abstract

This study shows the influence of the inclusion of abaca fiber (Musa Textilis) on the coefficients of consolidation, expansion, and compression for normally consolidated clayey silt organic soil specimens using reconstituted samples. For this purpose, abaca fiber was added according to the dry mass of the soil, in lengths (5, 10, and 15 mm) and concentrations (0.5, 1.0, and 1.5%) subjected to a curing process with sodium hydroxide (NaOH). The virgin and fiber-added soil samples were reconstituted as slurry, and one-dimensional consolidation tests were performed in accordance with ASTM D2435. The results showed a reduction in void ratio (compared to the soil without fiber) and an increase in the coefficient of consolidation (Cv) as a function of fiber concentration and length, with values corresponding to 1.5% and 15 mm increasing from 75.16 to 144.51 cm2/s. Although no significant values were obtained for the compression and expansion coefficients, it was assumed that the soil maintained its compressibility. The statistical analysis employed hierarchical linear models to assess the significance of the effects of incorporating fibers of varying lengths and percentages on the coefficients, comparing them with the control samples. Concurrently, mixed linear models were utilized to evaluate the influence of the methods for obtaining the Cv, revealing that Taylor’s method yielded more conservative values, whereas the Casagrande method produced higher values.

1. Introduction

The incorporation of fibers in the enhancement of materials has a longstanding history, such as the use of fibers to produce adobe [1]. Nevertheless, the application of natural fibers for the reinforcement of materials has gained prominence several years later [1]. The application of organic coconut fibers in the creation of composite concrete has been proposed as an alternative to the utilization of coarse aggregates at concentrations of 210 and 240 kg/cm2. The incorporation of these fibers in specific proportions and lengths demonstrates strength comparable to that of conventional concrete, while also resulting in a decrease in carbon emissions [2]. Improving soil entails enhancing its shear strength and bearing capacity while also reducing settlement [3], thus modifying its properties to achieve the appropriate conditions for a particular use [4]. Recently, a plethora of soil improvement techniques have been made available, including the injection of slurry, the incorporation of materials such as cement, lime, or fibers, and the application of biochemical methodologies. One such method is microbially induced calcium carbonate precipitation (MICP), which is being hailed as an eco-friendly alternative as it does not result in the generation of harmful byproducts [5]. A literature review indicated that the inclusion of fibers enhanced the stress–strain behavior of soil [6], enhanced the rigidity of granular and cohesive soils [7], and improved its peak and post-peak shear resistance [8].
Fibers integrated with lime enhance the compressive strength and consolidation of expansive soils, resulting in a decrease in the compression and volumetric compressibility ratios, thus minimizing settlement and cracking [9] and reducing the swelling of expansive soils [10].
The application of natural coconut fibers combined with lime in expansive soil matrices resulted in a marked improvement in the reduction of both partial and maximum clay shrinkage. Furthermore, the presence of lime generates cementitious materials [11].
In silty soils, the addition of fibers to the soil reduces cracking [12], increases simple compression resistance, tensile strength [13], and CBR values [14], and improves resistance, deformation, and shear failure [15].
Soil improvement is also appreciable, depending on the length of the fibers. For the use of coconut and bamboo fibers, percentages within the range of 0.5% to 2% and with lengths of 10, 20, and 30 mm have been used, presenting an improvement in the coefficient of consolidation for fibers 10 mm in length, from which the improvement decreases until it is not appreciable [16]. The positive effects of these fibers on the soil are due to the formation of a fiber confinement network in the soil [17] and an increase in soil-fiber adhesion [18].
These advancements have fostered the incorporation of natural fibers into construction applications, including slope stabilization and embankment reinforcement [19], and the potential use of sand to reduce the probability of liquefaction [20].
The treatment of the fibers consists of dissolving the lignin they contain to improve their tenacity and increase their resistance to breakage [21]. Using 3% to 5% sodium hydroxide (NaOH) solutions, an increase in fiber tensile strength was shown [22], as well as an increase in thermal stability due to the removal of lignin and hemicellulose, substances that are more susceptible to degradation [23].
The incorporation of abaca fibers to create innovative or enhanced materials is not a novel concept; a variety of products, including paper and concrete, have been influenced by the addition of this material [24], which has properties similar to those of synthetic materials [25].
The inclusion of abaca fibers in soil results in an increase in maximum compressive stress and an improvement in simple compressive strength as a function of fiber concentration, fiber length, or both [26].
This research project aims to demonstrate the potential of natural fibers in soil improvement, with the purpose of establishing a foundation for future research and applications. By focusing on this aspect, the goal is not only to gain a better understanding of the interaction between natural fibers and soils but also to explore new possibilities for the development of techniques and products that can sustainably and effectively enhance soil properties.
Multiple studies have demonstrated the effectiveness of utilizing natural fibers as an alternative to conventional soil improvement techniques; however, this research aims to apply these methods to organic soil types present in the city of Quito [27], using local fibers such as abaca, which are used to increase their lifetime and reduce their potential for degradation [23].
This research aims to encourage the use of abaca fibers in studies that consider other variables, such as soil type, fiber curing time, moisture conditions, and different fiber lengths and concentrations. Exploring various combinations of these variables will allow for a broader understanding of how abaca fibers interact with different soil types under various conditions.
The article provides details on the characteristics of the materials and the laboratory testing procedures for soil and abaca fiber, as well as the statistical analysis methodology used. This article also presents the outcomes of the consolidation tests, which include the values of the compression coefficient (Cc), expansion coefficient (Cs), and consolidation coefficient (Cv). It is important to note that the statistical analyses were conducted using mixed model methods. Finally, the results are discussed by comparing the values of the coefficients Cc, Cs, and Cv of the specimens with virgin soil and soil with added fiber.
The research presented positive results mainly for Cv, which, depending on the load applied to the specimen, increases between 40% and 70%, showing these peak values for fiber concentrations of 1.0% and lengths of 1.5 mm.

2. Materials and Methods

2.1. Soil

The soil used for this study was extracted from the El Garrochal sector, located in Turubamaba, south of the city of Quito, Ecuador. It was characterized to determine its material type and obtain its properties. Figure 1 illustrates the material and site extraction process.
The soil was subjected to homogenization through manual quartering, which ensured the absence of consolidated particles and, if present, their disintegration. Table 1 lists the soil properties after characterization.
Following the ASTM D6913 standard test methods for the particle size distribution (gradation) of Soils Using Sieve Analysis [28], the particle size distribution was determined via sieving. The methodology proposed in the ASTM D7928 standard test method for the particle size distribution (gradation) of Fine-Grained Soils Using the Sedimentation (hydrometer) [29] analysis was followed for the particles classified as slits and clays. Finally, the results were obtained by applying the ASTM D2487 Standard Practice for Classification of Soils for Engineering Purposes (Unified Soil Classification System) [30], from which it was determined that the soil belonged to the “clayey silt organic soil” (ML or OL).

2.2. Abaca Fiber

Abaca fiber (Musa Textilis) was obtained from the Concordia sector in Santo Domingo de los Tsáchilas Province, Ecuador. The fiber was cut into lengths of 5, 10, and 15 mm, following the literature, and adjusted to the equipment dimensions. The fibers were cured with a 5% sodium hydroxide (NaOH) solution for 24 h and then air-dried. Natural fibers were treated with a sodium hydroxide solution, which increased the tensile strength [22]. This, in turn, allows for the development of a rough surface that improves adherence to the soil and increases the thermal stability of the fibers [23]. The abaca fibers were cut to lengths of 5, 10, and 15 mm after treatment.
Table 2 lists the physical and mechanical properties of the abaca fibers after curing.

2.3. Specimen Preparation

Fiber concentrations of 0.5%, 1.0%, and 1.5%, along with lengths of 5, 10, and 15 mm, were selected and added based on the dry weight of the soil. Forty samples of three selected lengths and concentrations were prepared.
Manual reconstitution of the samples was carried out following the procedure proposed by the research “Development of Intermediate Microstructures in Kaolinitic Clay and its Consolidation Behavior” [31] for the preparation of a slurry, in which an external agent was added to the soil to saturate the soil by adding water equivalent to 2 times the liquid limit until a consistency like that of a slurry was obtained. This process was repeated for each specimen using this technique to achieve a uniform mixture of soil and randomly distributed fibers. Table 3 shows the 10 combinations for each length and percentage of fiber concentration, and the number of samples made for each combination.
The fiber content is given by Equations (1) and (2),
W d = W w 1 + w %
W d = 53.17   g
W f = % f × W d
where W d is the dry weight of the soil, W w is the wet weight, w % is the percentage of additional moisture required to saturate the soil, and W f is the fiber content.

2.4. Testing Program

For the consolidation tests, the ASTM D2435 Standard Test Methods for One-Dimensional Consolidation Properties of Soils Using Incremental Loading [32] was followed, using the equipment shown in Figure 2.
Method A, used to perform the tests, establishes a soil sample laterally confined by a ring of 18 mm height and 65 mm diameter and axially loaded with pressure increments every 24 h. For this investigation, the axial loads were started at 25 kPa and increased to double the next load as established by the standard, to dissipate the existing pore pressure in the samples. Finally, unloading was performed at the same loading pressure but this time every 30 min.

2.5. Obtaining Coefficients

From the one-dimensional consolidation test, the compressibility curve was obtained as a function of the void ratio and stress applied to the specimen. In the compressibility region of the curve that approximates a straight line, the coefficient of compressibility ( C c ) can be obtained. The mathematical formulation of C c is given by Equation (3) [33].
C c = e 0 e l o g p l o g p 0
where e 0 is the void ratio at pressure p 0 and e is the void ratio at pressure p .
On the same compressibility curve, but in the unloading region, which can be approximated as a straight line, there is the coefficient of expansion ( C s ). The mathematical formulation of C s is given by Equation (4) [33].
C s = e e 0 l o g p 0 l o g p
Finally, to calculate the consolidation coefficient ( C v ), Taylor (t90) and Casa Grande (t50) methods were used to observe the effect of the fiber on the soil settling time. The mathematical formulation of C v is given by Equation (5) [33].
C v = T v H d r 2 t
where t is the settling time, H d r is the drainage height, and T v is a constant for each method:
  • T v for the Taylor method: 0.848
  • T v for the Casa Grande method: 0.197

2.6. Statistical Analysis

The intercept and slopes were extracted for log-transformed C v values for various experimental sets. The growth curve parameter estimates were estimated using the proc reg function in SAS 9.4. Several hierarchical general linear models (Type I Sum of Squares) were used to explore the influence of the estimation method (Casa Grande relative to Taylor), percent, and length of abaca fibers on growth curve parameters for C v (intercepts and slopes). Owing to the number of replications and the corresponding statistical power, only the main effects of the percentage and length of abaca fibers, rather than statistical interactions, were computed in separate models. A linear mixed model was also computed to determine the influence of the estimation method, experimental load, length, and percentages of log-transformed C v values. This model was computed using the proc mixed function in SAS 9.4.

3. Results and Discussion

3.1. Compression and Expansion Coefficient

The compression coefficient ( C c ) shows an upward trend but is relatively negligible, as shown in Figure 3a, where the average values of the compression coefficients are compared with the inclusion of the fiber at the three lengths and the values of the soil compression index without alterations.
The most favorable outcome that was achieved was a 17.32% increase in the sample to 1.0% concentration with a length of 15 mm, while the lowest increment was obtained from the sample with 10 mm and 1.50% concentration, which only showed an increase of 0.11%. From these values, it can be observed that the soil retained its compressibility properties, and no significant improvement was observed.
On the other hand, the expansion coefficient ( C s ), as shown in Figure 3b, was obtained from the average values for the soil-fiber matrices to compare the results with those yielded by the soil without the inclusion of the fiber, which behaves similarly to C c . The sample with a concentration of 0.50% and fibers measuring 10 mm in length achieved an approximate increase of 15.47%, which represents the best result. Meanwhile, the sample that demonstrated the least effect of fiber addition, with an increase of 0.90% in its C s , was the one with 5 mm long fibers at 0.5% concentration.
As the fiber content increased, the refractive index decreased, although this decrease was not statistically significant (Figure 3a). For a sample length of 10 mm, the C c at 0.5% fiber content yielded a refractive index of 0.105, whereas the corresponding value at 1.5% fiber content was 0.018. This represents an increase of approximately 10.17% and 8.25%, respectively, compared with the control sample.
In the case of C s , the improvement for a length of 15 mm was approximately 7.06% at a concentration of 0.5%, whereas an improvement of 0.90% was obtained with a concentration of 1.5%. This can be observed in Figure 3b.
Hussain et al. [9] reported a reduction in C c associated with the stabilization of lime. In this study, no cementitious material was used, which may provide a loosely packed soil matrix that does not modify the compressibility properties of expansive soil [9]. However, the C v values increased as a function of the fiber content of the matrix.

3.2. Consolidation Coefficient

Consolidation coefficient ( C v ) values were obtained for each loading state of the test, from which the average values of the four samples were calculated.
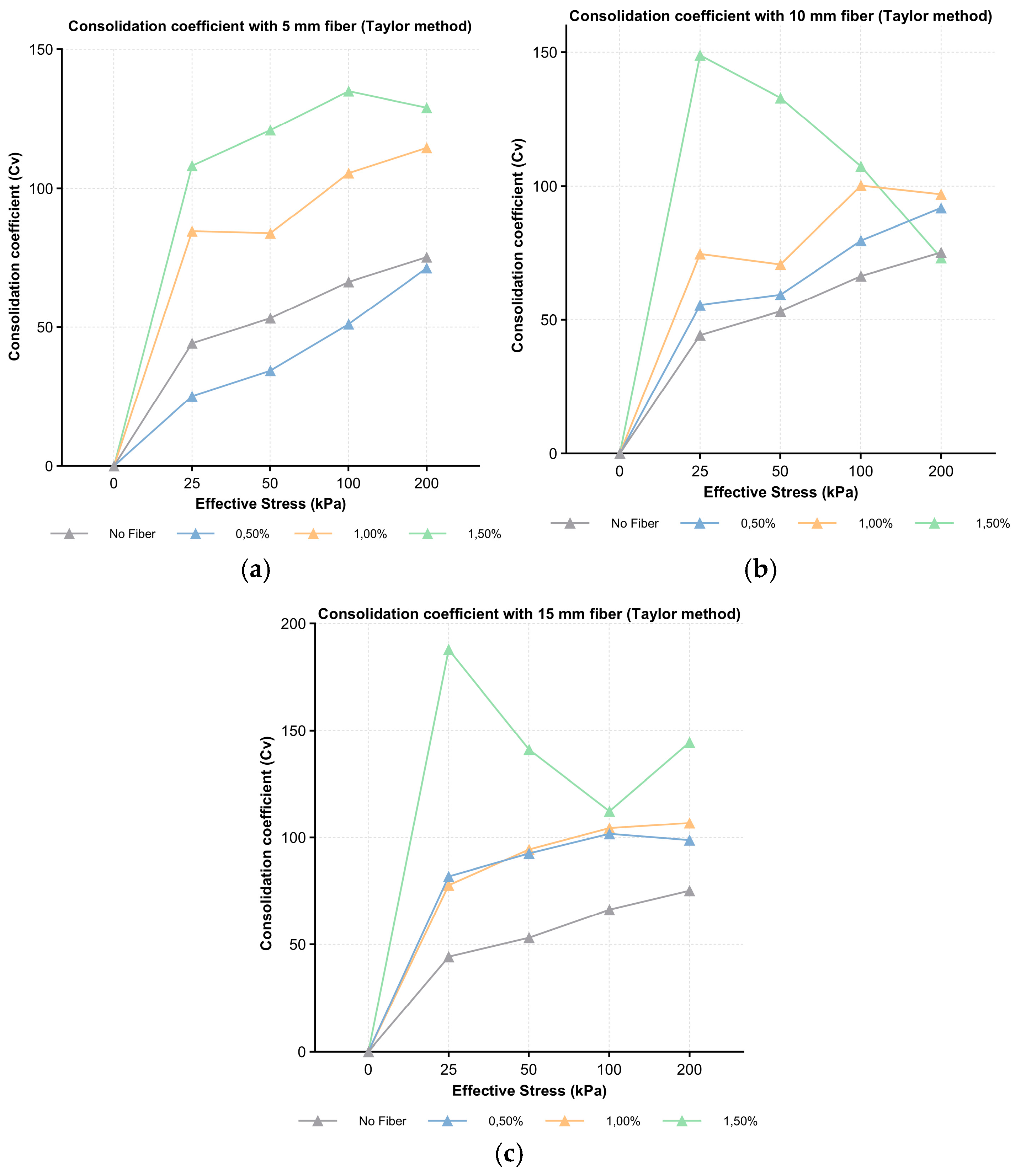
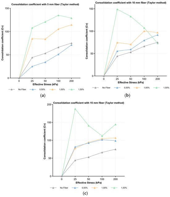
Figure 4 shows the consolidation index values obtained using the Taylor method for the fiber lengths of 5, 10, and 15 mm.
At a final state of charge of 200 kPa with 5 mm and 0.5%, there was a 5% decrease compared with the control sample; however, this increased to 90.93% with 1.0% concentration compared with the control sample, as shown in Figure 4a. Meanwhile, the increase in C v from 1.0% to 1.5% with a fiber length of 5 mm was at least 53%. It can also be observed from Figure 4b,c that the improvement between concentrations of 0.5% and 1.0% is similar, and there is no significant difference in the improvement between them.
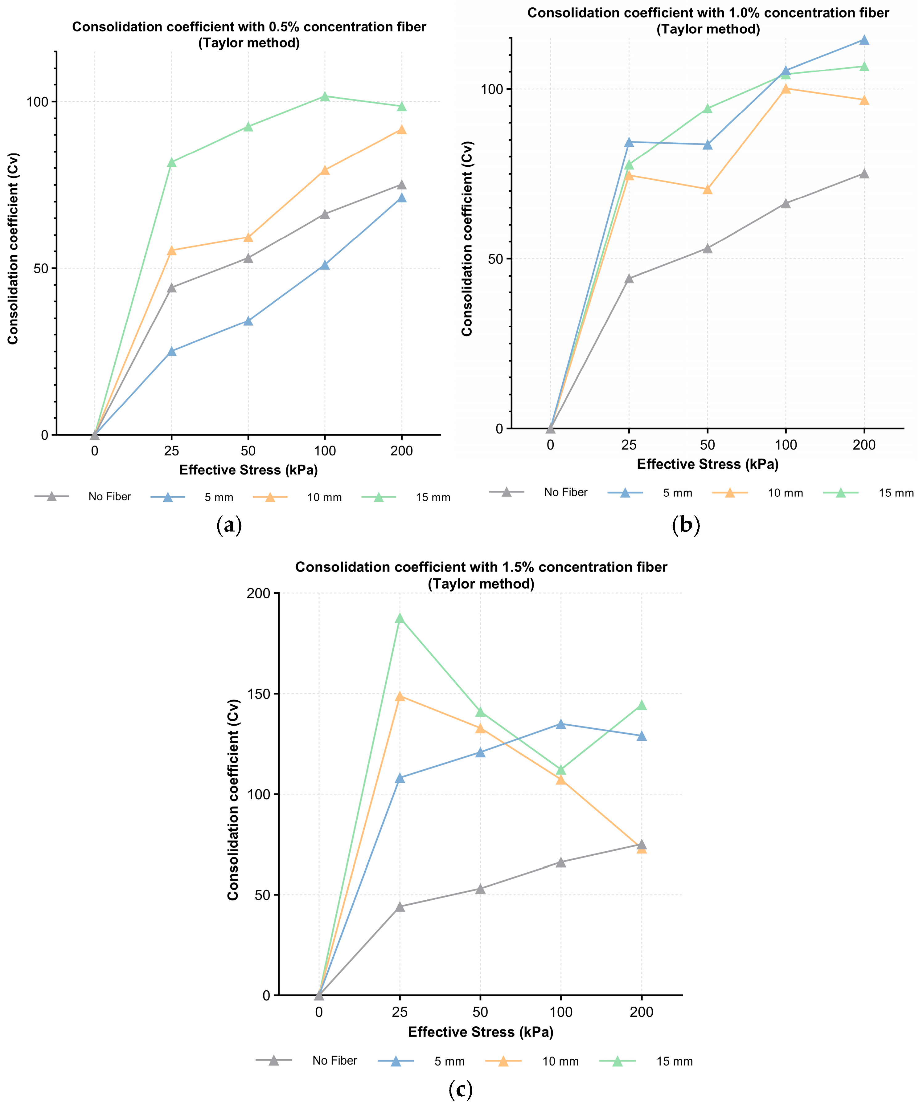
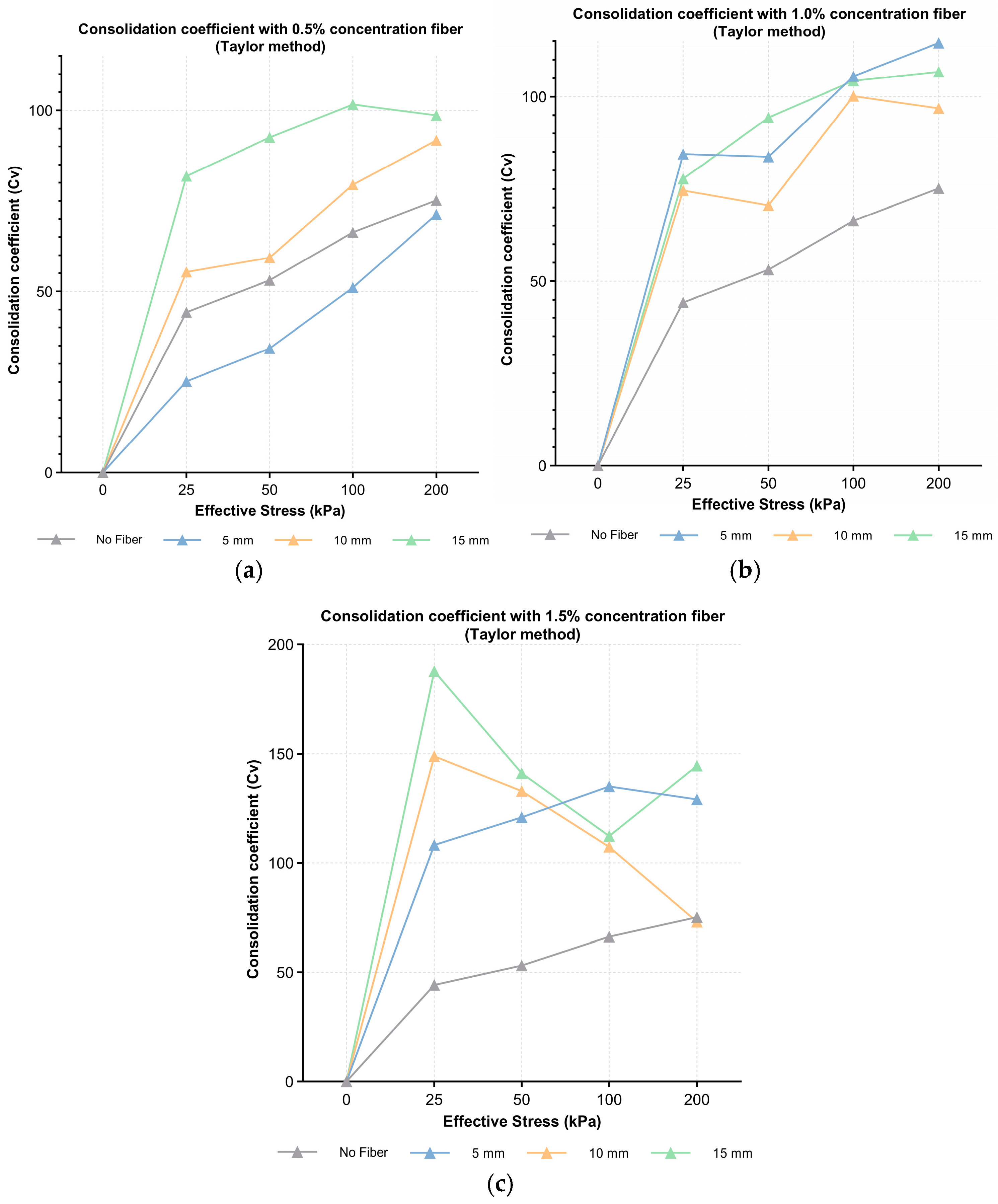
Furthermore, for a length of 15 mm and a concentration of 1.0%, an increase in C v was observed, as shown in Figure 4c; however, this improvement decreased in response to a final loading of 200 kPa. In the final stage, the increase was approximately 42.05%, whereas in the initial stage, the increase was approximately 75.75%, similar to the rest of the samples.
In addition, it can be observed in Figure 5a that enhancements compared to the control sample in an initial loading state of 25 kPa for the 10 and 15 mm samples at a concentration of 0.5% were at least 25% and 84%, respectively; however, for a length of 5 mm, there was an initial decrease of at least 43%.
The incorporation of fibers at a concentration of 1.0% led to an increase in fiber length, as shown in Figure 5b. However, the improvement was not significant for all of the fiber lengths.
For the starting and ending load states with 1.0% concentration (Figure 5b), the 10 mm sample shows an approximate increase of 68.64% and 28.92%, respectively, compared to the control sample. Meanwhile, for a length of 15 mm in the starting and ending load states, increases of 75.75% and 42.05%, respectively, were observed. Nevertheless, with a concentration of 1.0% and a length of 5 mm, similar increases were obtained compared to the length of 15 mm.
According to Fonseca et al. [34], the inclusion of sisal fibers indicates an improvement in the mechanical properties of the soil and a reduction in the void ratio of the soil that contributes to the reduction in the magnitude of settlements; however, it is mentioned that the effectiveness of the use of fibers cannot be proven in cases where there is no homogenization in the matrix.
The random addition of coconut fibers to the soil reduces the magnitude and time of settlement by up to 25% owing to the increase in stiffness in the matrix due to the inclusion of the fibers, considering that these reductions do not present considerable variations depending on the length of the fiber [35]. This may justify the increase in the C v values with t50 in this study, which increases as a function of the concentration of randomly added fiber and not of the length, decreasing the consolidation time.
In a study conducted by Jeludin, M. [36], an increase in C v values as a function of the concentration was evidenced; however, when the lengths of the coconut fibers increased, the C v values decreased, which is attributed to the fact that the fibers may present folds or accumulations, resulting in lower resistance [37]. Similar to the situation presented in this study, the C v values for t90 in the matrices with higher fiber concentrations and lengths of 10 and 15 mm also show a decrease.
According to Moselmi et al. [38], a study in which an analysis was performed using Scanning Electron Microscopy (SEM), lignocellulose fibers when randomly arranged can be dispersed in order to increase the interaction between the soil and the fiber, which in turn increases the shear strength and reduces the number of voids in the soil. The effects of the random arrangement of abaca fibers in this study also showed a reduction in the ratio of voids in the matrices compared to the soil samples without fiber inclusion.
The methods used to obtain the coefficient can be divided into two types: the Casa Grande and Taylor methods. The comparison between the two methods is shown in Figure 6. It is evident that for a 0.5% concentration (Figure 6a,b), both methods demonstrated similar trends, with a higher C v value for longer lengths. For a length of 10 mm, the methods showed similar trends, indicating that a higher percentage leads to a lower C v value, as shown in Figure 6b. Nonetheless, the Casa Grande method exhibited higher values, suggesting that the Taylor method is more conservative.

3.3. Statistical Analysis

A hierarchical general linear model revealed that the estimation method had no significant effect on the intercept (as a growth curve parameter for C C v ). The intercepts of the curves varied as a function of the percentage of abaca fibers. The control and 0.5% samples had lower intercept values than the samples containing 1% abaca fiber. A subsequent hierarchical general linear model indicated that the intercept of the curves had a negative and significant influence on their slope. The estimation method had no significant influence on the slopes of the curves. Finally, the control samples featured lower slope values than the samples containing 1% abaca fiber. The model did not detect any significant difference in slope values between samples with 0.5% and 1% abaca fibers. The results are described in Table 4 and Figure 7.
Similarly, a hierarchical general linear model indicated that the estimation method did not significantly influence the intercepts of the curves. In contrast, the control and 5 mm abaca fiber samples displayed significantly lower intercepts than those at 15 mm of abaca fiber. A subsequent statistical examination determined that the intercept of the curves negatively and significantly influences the slope of the curves. The estimation method had no significant effect on the model. The analysis also indicated that, relative to conditions of 15 mm, the abaca fiber control conditions had lower slopes. No significant differences were detected between the samples at 5 mm and 10 mm with 15 mm of abaca fiber. The results are presented in Table 5 and Figure 8.
A linear mixed model was used to examine the influence of the estimation method, experimental load, and length and percentage of abaca fiber on the log C v values. The model indicated that the Casa Grande method estimated higher values than Taylor’s method. The analysis also identified a significant influence of load on log C v values, wherein loads at 25 and 50 featured lower log C v estimates than loads at 200. The control samples displayed lower log C v values than the samples containing 1% and 15 mm of abaca fiber. Similarly, the experimental conditions at 0.5% and 5 mm and samples at 0.5% and 10 mm exhibited lower log C v estimates compared to samples with 1% and 15 mm of abaca fiber. The random intercepts did not reach statistical significance. Table 6 describes this in detail.

4. Conclusions

The compression coefficient indicated that the optimal result was achieved with a 17.32% increase in the sample length from 1.0% to 15 mm. In contrast, the lowest increase was observed in the sample with a length of 10 mm and a concentration of 1.50%, which was only 0.11%. While Widianti et al. [39] using coconut fibers conclude that as the percentage of fiber concentration increases, the Cc decreases significantly up to 65%, Jeludin [16] concludes that with higher fiber content, the Cc increases, dominating fiber compression leading to inadequate mixing between soil and fiber. These results suggest that the soil retained its compressibility properties, and no significant improvement was observed. Additionally, for Cs, an improvement of approximately 7.06% was observed at a concentration of 0.5% and a length of 15 mm, whereas an improvement of 0.90% was obtained at a concentration of 1.5%, and it can be concluded that the results did not significantly improve.
Although the results obtained in this investigation suggest that the incorporation of abaca fiber does not yield significant enhancements in the compression and expansion indices, it is recommended that additional experiments be conducted in future studies to corroborate this conclusion. It is plausible that factors such as the inherent variability of the soils, compaction conditions, and length, content, and orientation of the fibers, among others, may influence the observed outcomes. A more comprehensive and rigorous analysis, encompassing a larger sample size and diverse test conditions, would facilitate a more precise evaluation of the impact of abaca fibers on the compressive behavior of these soils.
Furthermore, to achieve a more comprehensive understanding of the behavior of soft soils with the incorporation of abaca fiber, it is recommended to supplement mixed and hierarchical linear models with advanced methodologies, such as nonlinear models, multivariate analysis, and/or numerical simulations. These approaches would facilitate the comprehension of complex interactions, the identification of patterns, and the evaluation of the long-term sustainability of fiber utilization.
According to the calculation method for obtaining values of C v , it can be demonstrated that although different values of C v are obtained depending on the method used, they all exhibit the same trend of improvement for the samples. To reinforce this conclusion, statistical analysis conducted using the hierarchical general linear model revealed that the estimation method had no significant effect on the intercept (as a growth curve parameter for C v ). However, it can be established that the Casa Grande method provides higher values than those obtained through Taylor’s method, allowing the conclusion that the values obtained through Taylor’s method are more conservative. This was confirmed through statistical analysis of the linear mixed model, where the model indicated that the Casa Grande method estimated higher values than Taylor’s method.
The results of the hierarchical general linear model showed no statistically significant difference in the slope values between samples with 0.5% and 1.0% abaca fibers. This was evident in several of the simple tests, such as for samples 15 mm in length and with an initial load of 25 kPa, where improvements of approximately 84.95% and 75.75% were observed for the 0.5% and 1.0% concentrations, respectively.
The control samples showed lower log C v values than those containing 1%- and 15-mm Widianti abaca fiber. Similarly, the experimental conditions at 0.5% and 5 mm and samples at 0.5% and 10 mm exhibited lower log C v estimates as opposed to samples with 1% and 15 mm of abaca fiber. The outcome that demonstrated the most favorable results, with a 324% increase compared to the control sample, when subjected to increasing loads, was achieved with 15 mm and 1.5% concentrations. Similarly, Widianti [38] concluded that with longer fiber lengths, the C v value increased, reducing the consolidation time. Jeludin [16] concluded that there was no difference between the C v values obtained with concentrations of 0.5% and the control samples.
The greatest improvement was observed in the initial stress states, but it decreased as the stress increased. This was demonstrated in samples with a length of 15 mm and 1.0%, where an increase in C v was observed; however, this improvement decreased in response to a final loading of 200 kPa. In the final stage, the increase was approximately 42.05% compared to the control sample, whereas in the initial stage, the improvement was approximately 75.75% compared to the control sample.
It is recommended to explore the impact of other plant fibers and alternative treatments on the same consolidation tests, as well as to conduct tests with different types of soils and moisture conditions to validate the versatility of abaca fibers. Additionally, the evaluation of mechanical properties, such as shear strength, soil, and modified fiber durability, and the analysis of associated costs can determine the feasibility of this practice on a large scale, contributing to the development of sustainable alternatives in geotechnical engineering.
The use of NaOH can generate highly alkaline residues that, if not properly managed, can contaminate water bodies and affect local bio C v iversity. In addition, chemical treatment can influence the biodegradability of fibers, modifying their long-term environmental impact. Both these effects and those derived from the application of natural fibers as alternative soil improvement methods are part of the second phase of this research. This stage focuses on evaluating the sustainability and environmental feasibility of the use of treated natural fibers, seeking a balance between mechanical and environmental benefits.
A detailed cost–benefit analysis of the introduction of abaca fibers in soil improvement is recommended to assess the economic and environmental feasibility of their use. This analysis should consider the costs associated with the acquisition, treatment with sodium hydroxide, and application of the fibers and a comparison with the cost associated with commonly used improvement methods. In addition, it is crucial to include the environmental costs associated with chemical treatment in the study, as well as the environmental benefits of using natural and renewable resources.
This article sets the groundwork for future research in which the durability time of the fiber is evaluated, as well as the time it can be useful in engineering practice. Similarly, studies are being conducted to compare the durability of these alternative methods with common methods over the long term.

Author Contributions

Conceptualization, J.A.-S., O.P. and C.Á.; methodology C.C. and O.P., validation, J.A.-S.; formal analysis, J.A.-S.; investigation C.C.; writing: C.C., A.D.-C. and M.P.-A.; writing—review and editing J.A.-S., O.P., C.Á. and A.D.-C.; visualization, J.A.-S. and A.D.-C.; supervision, J.A.-S., O.P. and A.D.-C. All authors have read and agreed to the published version of the manuscript.

Funding

This study received no external funding.

Institutional Review Board Statement

Not applicable.

Data Availability Statement

Dataset available on request from the authors.

Acknowledgments

The authors acknowledge the Laboratory of Strength of Materials, Soil Mechanics, Pavements and Geotechnics and the staff of the Research Directorate at Pontificia Universidad Católica del Ecuador (PUCE) for their support during the development of this research and the UTE University for financing this publication.

Conflicts of Interest

The authors declare no conflicts of interest.

References

  1. Vettorelo, P.; Clariá, J. Suelos Reforzados con Fibras: Estado del Arte y Aplicaciones. Rev. Fac. Cienc. Exactas Físicas Nat. 2014, 1, 27. [Google Scholar]
  2. Vélez, E.; Rodríguez, R.; Gómez, N.B.Y.; Mora, E.D.; Hernández, L.; Albuja-Sánchez, J.; Calvo, M.I. Coconut-Fiber Composite Concrete: Assessment of Mechanical Performance and Environmental Benefits. Fibers 2022, 10, 96. [Google Scholar] [CrossRef]
  3. Gaafer, M.; Bassioni, H.; Mostafa, T. Soil improvement techniques. Int. J. Sci. Eng. Res. 2015, 6, 217–222. [Google Scholar]
  4. Rodríguez, A.R.; del Castillo, H. La Ingeniería De Suelos En Las Vias Terrestres; Editorial Limusa: Mexico City, Mexico, 2002; Volume 1. [Google Scholar]
  5. Hamdan, N.; Kavazanjian, J.E.; Rittmann, B.E.; Karatas, I. Carbonate Mineral Precipitation for Soil Improvement through Microbial Denitrification. Geomicrobiol. J. 2011, 34, 139–146. [Google Scholar] [CrossRef]
  6. Gray, D.H.; Ohashi, H. Mechanics of Fiber Reinforcement in Sand. J. Geotech. Eng. 1983, 109, 335–353. [Google Scholar] [CrossRef]
  7. Babu, G.L.S.; Vasudevan, A.K. Strength and Stiffness Response of Coir Fiber-Reinforced Tropical Soil. J. Mater. Civ. Eng. 2008, 20, 571–577. [Google Scholar] [CrossRef]
  8. Maher, M.H.; Gray, D.H. Static Response of Sands Reinforced with Randomly Distributed Fibers. J. Geotech. Eng. 1990, 116, 1661–1677. [Google Scholar] [CrossRef]
  9. Hussain, S.; Dhar, M. Influence of Lime and Fiber on Strength and Consolidation Characteristics of Expansive Soil. In Influence of Lime and Fiber on Strength and Consolidation Characteristics of Expansive Soil. Geotechnics for Transportation Infrastructure; Springer: Berlin/Heidelberg, Germany, 2019; pp. 505–515. [Google Scholar] [CrossRef]
  10. Puppala, A.J.; Musenda, C. Effects of Fiber Reinforcement on Strength and Volume Change in Expansive Soils. Transp. Res. Rec. J. Transp. Res. Board 2000, 1736, 134–140. [Google Scholar] [CrossRef]
  11. Jayawardane, V.S.; Anggraini, V.; Emmanuel, E.; Yong, L.L.; Mirzababaei, M. Expansive and Compressibility Behavior of Lime Stabilized Fiber-Reinforced Marine Clay. J. Mater. Civ. Eng. 2020, 32, 04020328. [Google Scholar] [CrossRef]
  12. Jiesheng, L.; Juan, Z.; Lin, X. Deformation and strength characteristics of sisal fibrous soil. Electron. J. Geotech. Eng. 2014, 19, 1585–1594. [Google Scholar]
  13. Maher, M.; Ho, Y. Mechanical Propierties of Kaolinite/Fiber Soil Composite. Am. Soc. Civ. Eng. 1994, 120, 1381–1393. [Google Scholar]
  14. Maity, J.; Chattopadhyay, B.C.; Mukherjee, S.P. Improvement of Characteristics of Clayey Soil Mixed with Randomly Distributed Natural Fibers. J. Inst. Eng. Ser. A 2018, 99, 55–65. [Google Scholar] [CrossRef]
  15. Wu, Y.K.; Li, Y.B.; Niu, B. Investigation of mechanical properties of randomly distributed sisal fibre reinforced soil. Mater. Res. Innov. 2014, 18, S2-953–S2-959. [Google Scholar] [CrossRef]
  16. Jeludin, N.; Suffri, M. The Effects of Coir Fibre on Consolidation Behaviour of Soft Clay. In Lecture Notes in Civil Engineering; Springer: Berlin/Heidelberg, Germany, 2019; pp. 1323–1330. [Google Scholar] [CrossRef]
  17. Tran, K.Q.; Satomi, T.; Takahashi, H. Effect of waste cornsilk fiber reinforcement on mechanical properties of soft soils. Transp. Geotech. 2018, 16, 76–84. [Google Scholar] [CrossRef]
  18. Tang, C.; Shi, B.; Gao, W.; Chen, F.; Cai, Y. Strength and mechanical behavior of short polypropylene fiber reinforced and cement stabilized clayey soil. Geotext. Geomembr. 2007, 25, 194–202. [Google Scholar] [CrossRef]
  19. Gregory, G.H. Shear Strength, Creep and Stability of Fiber-Reinforced Soil Slopes; Oklahoma State University: Stillwater, OK, USA, 2006. [Google Scholar]
  20. Diambra, A.; Ibraim, E.; Wood, D.M.; Russell, A. Fibre Reinforced Sands: Experiments and Modelling. Geotext. Geomembr. 2010, 28, 238–250. [Google Scholar] [CrossRef]
  21. Ray, D.; Sarkar, B.K. Characterization of alkali-treated jute fibers for physical and mechanical properties. J. Appl. Polym. Sci. 2001, 80, 1013–1020. [Google Scholar] [CrossRef]
  22. Ramirez, S. Influencia de la Concentraión de NaOH en la Resistencia Mecánica a la Tensión de un Material Compuesto Reforzado Con Fibra de Bambú. Ph.D. Thesis, Universidad ECCI, Bogotá, Colombia, 2017. [Google Scholar]
  23. Ali, A.; Shaker, K.; Nawab, Y.; Jabbar, M.; Hussain, T.; Militky, J.; Baheti, V. Hydrophobic treatment of natural fibers and their composites—A review. J. Ind. Text. 2018, 47, 2153–2183. [Google Scholar] [CrossRef]
  24. Tampi, R.; Parung, H.; Djamaluddin, R.; Amiruddin, A. Elasticity modulus concrete of abaca fiber. IOP Conf. Ser. Earth Environ. Sci. 2020, 473, 012146. [Google Scholar] [CrossRef]
  25. Tampi, R.; Parung, H.; Djamaluddin, R.; Amiruddin, A. Reinforced concrete mixture using abaca fiber. IOP Conf. Ser. Earth Environ. Sci. 2020, 419, 012060. [Google Scholar] [CrossRef]
  26. Albuja-Sánchez, J.; Alcívar, E.; Escobar, D.; Montero, J.; Realpe, G.; Muñoz, A.; Peñaherrera-Aguirre, M. Influence of Abaca Fiber Inclusion on the Unconfined Compressive Strength of Reconstituted Sandy Silts. Fibers 2022, 10, 99. [Google Scholar] [CrossRef]
  27. Sánchez Albuja, J. Determination of the undrained shear strength of organic soils using the Cone Penetration Test and Marchetti’s Flat Dilatometer Test. In Proceedings of the 6th International Conference on Geotechnical and Geophysical Site Characterization, Hungary, Budapest, 26–29 September 2021; Volume 106, pp. 3–39. [Google Scholar]
  28. ASTM D6913_D6913M-17; Standard Test Methods for Particle-Size Distribution (Gradation) of Soils Using Sieve Analysis. ASTM International: West Conshohocken, PA, USA, 2021; pp. 1–34. [CrossRef]
  29. ASTM D7928; Standard Test Method for Particle-Size Distribution (Gradation) of Fine-Grained Soils Using the Sedimentation (Hydrometer) Analysis. ASTM International: West Conshohocken, PA, USA, 2021; pp. 1–27. [CrossRef]
  30. ASTM D2487-17e1; Standard Practice for Classification of Soils for Engineering Purposes (Unified Soil Classification System). ASTM International: West Conshohocken, PA, USA, 2020; pp. 1–10. [CrossRef]
  31. Sachan, A.; Vikash, G.; Prashant, A. Development of Intermediate Microfabric in Kaolin Clay and Its Consolidation Behaviour. Geotech. Geol. Eng. 2013, 31, 23–34. [Google Scholar] [CrossRef]
  32. ASTM D2435/D2435M-11; Standard Test Methods for One-Dimensional Consolidation Properties of Soils Using Incremental Loading. ASTM International: West Conshohocken, PA, USA, 2011; pp. 1–114. [CrossRef]
  33. Murthy, V.N.S. Geotechnical Engineering: Principles and Practices of Soil Mechanics and Foundation Engineering; CRC Press: Boca Raton, FL, USA, 2002. [Google Scholar]
  34. Fonseca, H.; Farias, R.; Gongora, I.; Garcia, D.L.; Viana, M. Employment of Sisal Natural Fibers as Soil Reinforcement. In Advances in Geosynthetics Engineering; Meguid, M., Guler, E., Giroud, J.P., Eds.; Springer International Publishing: Cham, Switzerland, 2019; pp. 12–24. [Google Scholar]
  35. Abdi, M.R.; Parsa-Pajouh, A.; Arjomand, M.A. Effects of Random Fiber Inclusion on Consolidation, Hydraulic Conductivity, Swelling, Shrinkage Limit and Desiccation Cracking of Clays. Int. J. Civ. Eng. 2008, 6, 284–292. [Google Scholar]
  36. Jeludin, M.; Suffri, N.; Rahim, S. The consolidation properties of natural fibre clay composite. World Congr. Civ. Struct. Environ. Eng. 2019, 148, 1–9. [Google Scholar] [CrossRef]
  37. Qu, J.; Sun, Z. Strength Behavior of Shanghai Clayey Soil Reinforced with Wheat Straw Fibers. Geotech. Geol. Eng. 2016, 34, 515–527. [Google Scholar] [CrossRef]
  38. Moslemi, A.; Tabarsa, A.; Mousavi, S.Y.; Monfared, M.H.A. Shear strength and microstructure characteristics of soil reinforced with lignocellulosic fibers-Sustainable materials for construction. Constr. Build. Mater. 2022, 356, 129246. [Google Scholar] [CrossRef]
  39. Widianti, A.; Diana, W.; Bahti, F.N. Effect of fiber length on the consolidation parameters of coir fiber-reinforced soft clay. E3S Web Conf. 2023, 429, 04021. [Google Scholar] [CrossRef]
Figure 1. Sample extraction site.
Figure 1. Sample extraction site.
Fibers 12 00089 g001
Figure 2. One-dimensional consolidation test.
Figure 2. One-dimensional consolidation test.
Fibers 12 00089 g002
Figure 3. Values of (a) the compression coefficient ( C c ) and (b) the expansion coefficient ( C s ) as a function of fiber concentration.
Figure 3. Values of (a) the compression coefficient ( C c ) and (b) the expansion coefficient ( C s ) as a function of fiber concentration.
Fibers 12 00089 g003
Figure 4. Consolidation coefficient values with Taylor the method for (a) 5 mm length; (b) 10 mm length, and (c) 15 mm length.
Figure 4. Consolidation coefficient values with Taylor the method for (a) 5 mm length; (b) 10 mm length, and (c) 15 mm length.
Fibers 12 00089 g004
Figure 5. Consolidation coefficient values with the Taylor method for (a) 0.5% concentration; (b) 1.0%, and (c) 1.5%.
Figure 5. Consolidation coefficient values with the Taylor method for (a) 0.5% concentration; (b) 1.0%, and (c) 1.5%.
Fibers 12 00089 g005
Figure 6. Consolidation coefficient values for the Casa Grande method vs. the Taylor method for (a) 0.5% concentration and (b) 10 mm length.
Figure 6. Consolidation coefficient values for the Casa Grande method vs. the Taylor method for (a) 0.5% concentration and (b) 10 mm length.
Fibers 12 00089 g006
Figure 7. Covariance between growth curve parameters as a function of the interaction between the estimation method and the percentage of abaca fibers.
Figure 7. Covariance between growth curve parameters as a function of the interaction between the estimation method and the percentage of abaca fibers.
Fibers 12 00089 g007
Figure 8. Covariance between growth curve parameters as a function of the interaction between the estimation method and the length of the abaca fibers.
Figure 8. Covariance between growth curve parameters as a function of the interaction between the estimation method and the length of the abaca fibers.
Fibers 12 00089 g008
Table 1. Soil properties.
Table 1. Soil properties.
Soil PropertiesValuesGrain Size Analysis% Pass
Specific Gravity2.54Gravel0.00%
Water Content32%Sand0.30%
Liquid Limit35Slit20.53%
Plastic Limit36Clay79.10%
Plastic Index1.5
USCS ClassificationML or OL
Table 2. Physical and mechanical properties of the abaca fiber.
Table 2. Physical and mechanical properties of the abaca fiber.
Physical PropertiesValues
Linear Density100 [Tex*]
Water Content8.6%
Tenacity0.81 [N/tex]
Strain at Break81.3 [N]
Tex*: Mass in grams per 1000 m of fiber. Tests performed at CTP-EPN.
Table 3. Soil–fiber combinations.
Table 3. Soil–fiber combinations.
NAOH Concentration (%)Length (mm)Number of Samples
0.00%04
0.50%54
0.50%104
0.50%154
1.00%54
1.00%104
1.00%154
1.50%54
1.50%104
1.50%154
Table 4. Hierarchical general linear model (Type I Sum of Squares) exploring the influence of the estimation method and abaca percentage on growth curve parameters for C v .
Table 4. Hierarchical general linear model (Type I Sum of Squares) exploring the influence of the estimation method and abaca percentage on growth curve parameters for C v .
ParameterEstimateStandard Errort-Valuep-Value
Criterion: Curve intercept (a)
Intercept1.8710.04641.01<0.0001
Type Casa Grande0.0930.0481.950.0564
Type Taylor0.000
Percent 0.0−0.2450.062−3.990.0002
Percent 0.5−0.1980.055−3.600.0006
Percent 1.00.000
Criterion: Curve slope (b)
Intercept0.0070.00113.21<0.0001
Curve Intercept (a)−0.0030.000−11.78<0.0001
Type Casa Grande0.0000.0000.650.5194
Type Taylor0.000
Percent 0.0−0.0010.000−3.360.0014
Percent 0.50.0000.000−1.210.231
Percent 1.00.000
Table 5. Hierarchical general linear model (Type I Sum of Squares) exploring the influence of the estimation method and abaca length (mm) on growth curve parameters for C v .
Table 5. Hierarchical general linear model (Type I Sum of Squares) exploring the influence of the estimation method and abaca length (mm) on growth curve parameters for C v .
ParameterEstimateStandard Errort-Valuep-Value
Criterion: Curve intercept (a)
Intercept1.8880.05335.91<0.0001
Type Casa Grande0.0930.0471.970.0534
Type Taylor0.000
Length 0 mm−0.2620.066−3.950.0002
Length 5 mm−0.2610.066−3.920.0002
Length 10 mm−0.0870.066−1.310.1938
Length 15 mm0.000
Criterion: Curve slope (b)
Intercept0.0070.00111.74<0.0001
Curve Intercept (a)−0.0030.000−10.61<0.0001
Type Casa Grande0.0000.0000.440.6603
Type Taylor0.000
Length 0 mm0.0000.000−2.360.0215
Length 5 mm0.0000.0000.510.6135
Length 10 mm0.0000.000−0.580.5642
Length 15 mm0.000
Table 6. Linear mixed model examining the influence of the estimation method, experimental load, length, and percentages on C v .
Table 6. Linear mixed model examining the influence of the estimation method, experimental load, length, and percentages on C v .
Solution for Fixed Effects
ParameterEstimateStandard ErrorDFt-Valuep-Value
Intercept2.0580.036357.78<0.0001
Type Casa Grande0.0700.0132425.18<0.0001
Type Taylor0.000
Load 25−0.2000.019242−10.5<0.0001
Load 50−0.1220.019242−6.43<0.0001
Load 100−0.0320.019242−1.690.0924
Load 2000.000
Length and Percent 0.0, 0.0−0.2300.023242−9.87<0.0001
Length and Percent 5.0, 1.00.0010.0272420.050.9593
Length and Percent 10.0, 1.0−0.0440.027242−1.630.1045
Length and Percent 5.0, 0.5−0.3660.027242−13.6<0.0001
Length and Percent 10.0, 0.5−0.1110.027242−4.13<0.0001
Length and Percent 15.0, 0.5−0.0150.027242−0.570.5693
Length and Percent 15.0, 1.00.000
Solution for Random Effects
ParameterEstimateStandard Error PredictedDFt-Valuep-Value
Intercept (sample 1)−0.0640.029242−2.180.03
Intercept (sample 2)−0.0220.029242−0.740.4604
Intercept (sample 3)0.0460.0292421.570.1187
Intercept (sample 4)0.0400.0292421.360.1761
Disclaimer/Publisher’s Note: The statements, opinions and data contained in all publications are solely those of the individual author(s) and contributor(s) and not of MDPI and/or the editor(s). MDPI and/or the editor(s) disclaim responsibility for any injury to people or property resulting from any ideas, methods, instructions or products referred to in the content.

Share and Cite

MDPI and ACS Style

Contreras, C.; Albuja-Sánchez, J.; Proaño, O.; Ávila, C.; Damián-Chalán, A.; Peñaherrera-Aguirre, M. The Influence of Abaca Fiber Treated with Sodium Hydroxide on the Deformation Coefficients Cc, Cs, and Cv of Organic Soils. Fibers 2024, 12, 89. https://doi.org/10.3390/fib12100089

AMA Style

Contreras C, Albuja-Sánchez J, Proaño O, Ávila C, Damián-Chalán A, Peñaherrera-Aguirre M. The Influence of Abaca Fiber Treated with Sodium Hydroxide on the Deformation Coefficients Cc, Cs, and Cv of Organic Soils. Fibers. 2024; 12(10):89. https://doi.org/10.3390/fib12100089

Chicago/Turabian Style

Contreras, Carlos, Jorge Albuja-Sánchez, Oswaldo Proaño, Carlos Ávila, Andreina Damián-Chalán, and Mateo Peñaherrera-Aguirre. 2024. "The Influence of Abaca Fiber Treated with Sodium Hydroxide on the Deformation Coefficients Cc, Cs, and Cv of Organic Soils" Fibers 12, no. 10: 89. https://doi.org/10.3390/fib12100089

APA Style

Contreras, C., Albuja-Sánchez, J., Proaño, O., Ávila, C., Damián-Chalán, A., & Peñaherrera-Aguirre, M. (2024). The Influence of Abaca Fiber Treated with Sodium Hydroxide on the Deformation Coefficients Cc, Cs, and Cv of Organic Soils. Fibers, 12(10), 89. https://doi.org/10.3390/fib12100089

Note that from the first issue of 2016, this journal uses article numbers instead of page numbers. See further details here.

Article Metrics

Back to TopTop