Abstract
Carbon fiber is known for being lightweight and adaptable, making it useful for various current and future applications. However, to broaden the use of carbon fibers beyond niche applications, production costs must be lowered. A potential approach to achieving this is by using more affordable raw materials, such as lignin, which is renewable, cost-effective, and widely available compared with the materials commonly used in industry today. This study explores the impact of metal ions on the quality of carbon fiber derived from lignin, focusing on its mechanical and electrochemical properties and morphology. The effect of a specific metal ion (Ni(NO3)2·6H2O) was examined by incorporating it into the spinning solution. The carbonization stage of the fiber was conducted at temperatures of 800, 900, and 1000 °C in an inert atmosphere. Scanning electron microscopy (SEM) analysis showed no defects or damage in any of the fibers. Therefore, it was concluded that moderate concentrations of Ni2+ ions in the fibers do not influence the stabilization or carbonization processes, thus leaving the mechanical properties of the final carbon fiber unchanged. These carbon nanofibers were also tested as a sustainable alternative to the non-renewable materials used in electrodes for energy storage and conversion devices, such as supercapacitors. Electrochemical performance was assessed in a 6 M KOH solution using a two-electrode cell configuration. Galvanostatic charge–discharge tests were performed at different current densities (0.1, 0.25, 0.5, 1.0, and 2.0 A g−1). The specific capacitance of the carbon nanofibers was determined from CVA data at various scan rates: 5, 10, 20, 40, 80, and 160 mV s−1. The results indicated that at 0.1 A g−1, the capacitance reached 108 F g−1, and at a scan rate of 5 mV s−1, it was 91 F g−1. The innovation of this work lies in its use of lignin, a renewable and widely available material, to produce carbon fibers, reducing costs compared with traditional methods. Additionally, the incorporation of nickel ions enhances the electrochemical properties of the fibers for supercapacitor applications without compromising their mechanical performance.
1. Introduction
In recent years, there has been a significant increase in interest in the development of high-performance and environmentally friendly materials for use in supercapacitors. These devices, often referred to as electrochemical capacitors, hold a crucial place among energy storage systems due to their unique characteristics, such as their high-power density, long cycle life, and rapid charge–discharge capability [1]. One of the key components of supercapacitors is the electrodes, which determine their electrochemical properties and overall performance [2].
Traditionally, materials such as activated carbon [3], graphene [4], and carbon nanotubes [5] have been utilized as electrode materials for supercapacitors. However, these materials come with certain limitations, including high cost, environmental concerns, and the availability of raw materials [6,7]. This has spurred the need to search for new materials that combine high performance with environmental sustainability.
A promising research direction focuses on utilizing carbon fibers derived from lignin, a substance sourced from wood waste. Lignin, a vital component of biomass, is a complex and amorphous polyphenolic biopolymer that contributes to the structural integrity of most plant tissues. It ranks as the second most abundant biomass resource after cellulose and is a valuable, renewable material. However, despite its potential, only 2% of the lignin produced globally is used commercially, while the majority is incinerated for energy. Thus, the challenge of increasing lignin’s value and expanding its applications is pressing. Lignin is an ideal precursor for producing carbon-based materials due to its high carbon content (exceeding 60%) and flexible microstructure. Moreover, its phenolic and benzene groups offer active sites for ion storage, making it suitable for supercapacitor applications. As a result, the development of lignin-based carbon materials and their application in supercapacitors has become a major area of recent research attention [8,9,10,11,12,13].
Recent advancements in lignin-based materials for supercapacitors highlight significant progress in their development. Studies have shown that lignin can be transformed into high-performance activated carbons with excellent electrochemical properties. For example, Ref. [14] reported the successful use of lignin-derived activated carbon with a high specific surface area and stable cycling performance in supercapacitors. Similarly, Ref. [15] demonstrated that lignin-based nanocomposites can improve energy density and charge–discharge rates.
Several recent works have also focused on combining lignin with other materials to enhance its properties. For instance, Ref. [16] synthesized lignin-based carbon composites with graphene, which resulted in a material with enhanced conductivity and mechanical strength, improving the overall performance of the supercapacitors.
Currently, researchers are concentrating on composite electrodes made from carbonaceous materials to address the limitations of pure carbon materials. In [2], the authors examined the performance of composite materials, including conducting polymers combined with carbon-based materials. They found that these composites enhanced the specific capacitance, flexibility, electrical conductivity, energy, and power of supercapacitors. Low-dimensional nanomaterials and precursors are integrated into electrospun lignin fibers to enhance the functionality of lignin-based carbon nanofibers. These include graphene [17], carbon nanotubes [18], manganese dioxide [19], iron oxide [20], iron oxide [21], titanium dioxide [22], silver precursor [23], zinc oxide precursor [24,25], palladium precursor [26], and magnesium precursor [27].
Supercapacitors are categorized according to their storage mechanisms into double-layer capacitors and pseudocapacitors. Pseudocapacitors offer higher energy and power densities compared with double-layer capacitors owing to their ability to undergo rapid and reversible redox reactions at or near the electrode surface. Common pseudocapacitive electrode materials include transition metal oxides and hydroxides such as RuO2, MnO2, Co3O4, Ni(OH)2, and Co(OH)2. [28]. Nickel-based materials have been extensively studied as promising pseudocapacitive electrodes due to their high theoretical specific capacitance, stability across various electrolytes, ease of fabrication, low cost, and environmental friendliness. Reviews of nickel-based supercapacitors indicate that achievable capacitances typically range from 500 to 2500 F g−1 (250 to 1250 C g−1). Notably, the highest reported capacitance is 4172.5 F g−1 (1669 C g−1) at a current density of 1 A g−1, although this value was obtained with a very small nickel foam loading mass of approximately 1 mg. [29].
Ni(OH)₂ and NiO are highly efficient materials for supercapacitor electrodes because of their excellent theoretical capacitance, low cost, and environmentally friendly nature. Moreover, their simple synthesis process and strong chemical stability further enhance their widespread use. [30]. Over the past five years, nanocomposites of Ni(OH)₂ and NiO have been effectively utilized in electrodes. However, there remains debate over whether “nickel hydroxide” or “nickel oxide” should be classified as “pseudocapacitive” materials. [31]. Numerous studies on nickel-based materials have classified them as supercapacitor-type materials. However, there is ongoing debate regarding their exact capacitive behavior [29].
This study introduces a sustainable and streamlined method for producing electrospun lignin-based carbon fiber electrode materials. The approach involves a single-step electrospinning process of lignin solutions combined with metal nickel salts, eliminating the need for additives. The resulting non-woven mats are then stabilized and carbonized. Previous research has examined the pretreatment of organosolv lignin using nickel nitrate.
The findings indicated that the pretreatment with Ni(NO3)2 significantly affected the pyrolysis behavior of organosolv lignin, resulting in variations in the yields of char, gas, and bio-oil products [32]. In this work, the electrochemical characteristics of lignin fibers with the addition of Ni as electrode materials for supercapacitors were obtained.
2. Materials and Methods
Elm wood waste, which is abundant in furniture workshops in Almaty, was used as the raw material for producing lignin. This choice was based on both the practical availability of raw materials and the specific characteristics of lignin from hardwood species, such as elm. Several studies have demonstrated that lignin from hardwood sources can result in superior electrochemical performance in comparison with softwood lignins [33].
To obtain fibers from lignin/polyacrylonitrile/Ni, the materials that were used are as follows: polyacrylonitrile (PAN) ((-CH2-CH-(CH)-)n, molecular weight: 100,000 g/mol, Sigma Aldrich, St. Louis, MO, USA) and dimethylformamide (DMFA) ((CH3)2NC(O)H, Sigma Aldrich, 99.8%). For the preparation of carbon/nickel-based composites, Ni(NO3)2·6H2O was used as the nickel source.
The surfaces and morphology of the lignin/PAN/Ni fibers were analyzed using a scanning electron microscope (SEM, JEOL, model JSM-6490LA, Jeol Company, Tokyo, Japan). The SEM images were taken with an accelerating voltage of 15 k and a working distance of 10 mm in high-vacuum mode at 10−3 Pa. The elemental composition of the fibers was determined using energy dispersive spectroscopy (EDAX TEAM, Ametek, Berwyn, PA, USA) with an accelerating voltage of 20 kV and a working distance of 15 mm. Thermogravimetric analysis (TGA) was performed with a Setaram Labsys Evo analyzer in a nitrogen atmosphere, with the temperature increasing from room temperature to 1000 °C at a rate of 20 °C/min.
Particle sizes were determined using “Image J” 1.54e software from SEM images, which also provided a histogram of the fiber diameter distribution. This open-access image analysis software facilitated the automatic calculation of average particle diameter or size.
2.1. Production of Fibrous Composite Materials Lignin/PAN/Ni
The production of lignin from elm wood waste by the organosolvent method was described in [34]. The spinning solution for pulling lignin-containing fibers with transition metals by electrospinning included the following components: PAN, lignin, transition metal salt (Ni(NO3)2·6H2O) (10%), and dimethylformamide (DMF) solvent. The fibers were synthesized from the spinning solutions using a nanofiber desktop electric spinning system for laboratory research, manufactured by AME Energy in Shenzhen, China, model AME-11, operating at 220 V and 50/60 Hz. The fiber synthesis parameters were as follows: the operating voltage was set to 13 kV, the spinning solution flow rate ranged from 0.2 mL/h to 0.6 mL/h, and the distance between the needle and the substrate varied from 100 mm to 180 mm.
Spinning solutions were prepared by mixing until the components (lignin/polyacrylonitrile (PAN) at different percentages and metal salt Ni(NO3)2·6H2O) were completely dissolved using a magnetic stirrer at 40 °C, and then the resulting spinning solution was cooled to room temperature. The spinning solution was placed in a plastic syringe with a 22-gauge metal needle and subjected to electric spinning with a high voltage applied to obtain optimal conditions for electric spinning. The resulting fibers were collected onto a substrate, specifically a rotating drum.
2.2. Fiber Stabilization and Carbonization Process
The fibers produced through the thermal stabilization process were transformed into carbon fibers via carbonation in a tubular CVD furnace (Zhengzhou Protech Technology Co., Ltd., Zhengzhou, China, model PT-T1600-L6012CB3), which features three temperature zones with a maximum temperature of 1600 °C. The furnace provides temperature control accuracy within ±1 °C, with a heating rate ranging from 0 to 10 °C/min and a maximum rate of 20 °C/min.
To completely remove moisture, as well as to achieve complete oxidation, the obtained continuous fibers were placed in a porcelain crucible and thermally stabilized in an air atmosphere at a heating rate of 2 °C/min from room temperature to 250 °C. One of the main stabilization goals is the crosslinking of the fiber structure after molding, which ensures that there is no loss of molecular and fibrillar orientation during the carbonization process; therefore, the temperature of thermal stabilization was maintained at 250 °C for 1 h. During the thermal stabilization process, three main processes occur—heat transfer, mass transfer, and shrinkage.
To remove oxygen and hydrogen and to reduce fiber diameters, carbonization was carried out in an inert atmosphere at various temperatures. The process was conducted at 800, 900, and 1000 °C with a heating rate of 5 °C/min to ensure gradual mass transfer, which promoted the formation of a porous structure. When temperatures of 800, 900, and 1000 °C were reached, the sample was held at each temperature for 1 h. The carbonization process was conducted in a nitrogen atmosphere with a flow rate of 120 mL/min. During carbonization, dehydration, decarboxylation, and aromatization reactions take place, leading to the crosslinking of carbon atoms and the release of most non-carbon elements. It is hypothesized that as the temperature rises, methoxy groups detach from the aromatic rings through a free radical chain reaction.
2.3. Fabrication of Electrodes Using Carbon Nanofibers for Supercapacitors
The following materials were used for the manufacture and creation of the electrode: conductive acetylene black (EQ-Lib SuperC45, MTI Corporation); polyvinylidene fluoride (PVDF) (EQ-Lib-PVDF, MTI Corporation); 1-methyl-2-pyrrolidone (NMP) (≥99.0%, Sigma Aldrich); and foil from stainless steel (SS 316L).
The conventional process for manufacturing supercapacitor electrodes involves several key stages.
First, a rough surface is created on the substrate to ensure strong adhesion. Stainless steel foil (0.4 mm thick, SS 316L grade) is used for this purpose.
The second stage involves degreasing the substrate with ethanol, followed by rinsing with distilled water and then drying in a vacuum furnace at 120 °C for 2 h.
In the third stage, a suspension layer with a thickness of approximately 400 microns and covering an area of 1 × 2 cm2 is applied to the foil. This suspension consists of carbon nanofibers, PVDF, and acetylene soot. The ideal composition for the electrode material includes 70% carbon nanofibers combined with a transition metal, 15% acetylene black to improve electrical conductivity, and 15% PVDF serving as the binder polymer.
The final stage consists of heat treating the suspension layer in a vacuum drying cabinet at 120 °C for a duration of 12 h.
Figure 1 illustrates the manufacturing processes for electrodes made from carbon fiber materials Lignin/PAN/Ni.
Figure 1.
The scheme for obtaining current collectors with the applied electrode material.
The structural properties and morphology of the carbon fibers were examined through SEM, TGA, and elemental analysis.
2.4. Electrochemical Measurements
The electrical characteristics and testing of the manufactured electrodes were conducted using a single-channel potentiostat/galvanostat R-40X equipped with an electrochemical impedance measurement module FRA-24M (Electrochemical Instruments, Chernogolovka, Russia). The evaluation was performed using cyclic voltammetry (CVA) and galvanostatic charge–discharge (GSR) methods. To assess the electrochemical properties of the electrodes made from wood waste fibers, a two-electrode cell with 6 M KOH as the electrolyte was employed. The volt-ampere characteristics of the electrodes were examined within a potential range of 0.0–1.0 V.
3. Results and Discussion
3.1. Physical and Chemical Properties of Carbon Nanofibers Derived from Lignin/PAN/Ni
Experimental studies investigated how varying the ratio of lignin, PAN, and DMF solvent affects the formation and quality of nanofibers during electrospinning. To do this, a mixture of PAN and lignin was prepared with the lignin content ranging from 10% to 90% by weight. The surfaces, structure, and morphology of the produced lignin fibers were examined using a scanning electron microscope (Figure 2 and Figure 3) (Quanta 200i 3D, FEI Company, Hillsborough, OR, USA).

Figure 2.
SEM micrographs of the obtained composite fibers: (a) lignin/PAN/Ni 80/20/10; (b) lignin/PAN/Ni 70/30/10; (c) lignin/PAN/Ni 60/40/10; (d) lignin/PAN/Ni 50/50/10; (e) lignin/PAN/Ni 40/60/10; (f) lignin/PAN/Ni 30/70/10; (g) lignin/PAN/Ni 20/80/10; (h) lignin/PAN/Ni 10/90/10.

Figure 3.
EDAX analysis of the obtained composite fibers: (a) lignin/PAN/Ni 80/20/10; (b) lignin/PAN/Ni 70/30/10; (c) lignin/PAN/Ni 60/40/10; (d) lignin/PAN/Ni 50/50/10; (e) lignin/PAN/Ni 40/60/10; (f) lignin/PAN/Ni 30/70/10; (g) lignin/PAN/Ni 20/80/10; (h) lignin/PAN/Ni 10/90/10.
The SEM micrographs of fibers produced from lignin/PAN/Ni with ratios of 80/20/10, 70/30/10, and 60/40/10 show the presence of defects in the form of beads within the fibers. By contrast, fibers produced with ratios of lignin/PAN/Ni at 50/50/10, 30/70/10, 20/80/10, and 10/90/10 exhibit smooth, defect-free surfaces with diameters starting from 90 nm. At a 40/60/10 ratio, fibers with diameters of 138 nm are produced, but small amounts of defects in the form of beads are present. The 80/20/10 ratio produced fibers containing microspheres and microparticles.
Thus, the optimal ratio for producing continuous, defect-free fibers via electrospinning is 30/70. The fiber diameters of the Ni transition metal fibers were measured using ImageJ software, and the diameter distribution of the electrospun fibers is illustrated in Figure 4.
Figure 4.
Lignin/PAN/Ni fibers with a 30/70 ratio and their fiber size distribution.
Sixty percent of the fibers had a size of 170 nm. The remaining 40% were distributed between 159 nm and 186 nm. The red dashed line indicates the average fiber size, which was calculated on the basis of the given distribution. This graph provides a clear view of the fiber size distribution, along with the average fiber size.
The SEM and elemental analysis results revealed the presence of transition metals within the carbon composite materials of the fibers derived from lignin. To support the carbonization of the fibers, thermogravimetric analysis (TGA) was performed to observe the variations in the mass of the material as the temperature increased. The TGA measurements were carried out under a nitrogen atmosphere, with the temperature increasing from room temperature to 1000 °C at a rate of 20 °C/min (refer to Figure 5).
Figure 5.
TGA curves of the obtained lignin/PAN/Ni composite fiber: 30/70 with Ni transition metal (10%).
The green curve (TG%) illustrates the percentage change in the sample’s mass with temperature. Several distinct mass changes were observed, with a notable decrease around 400 °C, which likely indicates the thermal decomposition of lignin. The red curve (dTG %/min) represents the derivative of the TGA data (dTG) and shows the rate of mass change. Peaks on this curve correspond to areas of intense decomposition, with the most prominent peak at approximately 400 °C highlighting the maximum rate of lignin decomposition. The blue curve (HeatFlow, µV) depicts the thermophysical changes, including exothermic or endothermic processes. Several peaks are visible, with a significant exothermic peak around 400 °C, suggesting heat release due to decomposition. Overall, the major changes in the curves occur between 200 °C and 800 °C, where significant lignin decomposition is observed, accompanied by notable mass and thermal effects.
The thermal stabilization of the fibers was performed in an air atmosphere with a heating rate of 2 °C/min from room temperature to 250 °C. The quality of carbonized fibers is influenced by various carbonation process conditions, including temperature, heating rate, gas flow, and gas medium. The heating rate during carbonation is crucial for producing high-quality carbon fibers, as it significantly impacts their characteristics. Additionally, the heating rate affects the degree of fiber ordering on the basis of the carbonization temperature. Taking these factors into account, the stabilized lignin fibers were carbonized in an inert environment at elevated temperatures of 800, 900, and 1000 °C, with a heating rate of 5 °C/min. The resulting carbon fibers were analyzed using physicochemical methods such as SEM and EDAX (Figure 6 and Figure 7).
Figure 6.
SEM micrographs of carbonized carbon fibers at different temperatures: (a) lignin/PAN/Ni 30/70/10 at 800 °C; (b) lignin/PAN/Ni 30/70/10 at 900 °C; (c) lignin/PAN/Ni 30/70/10 at 1000 °C.
Figure 7.
The results of EDAX analysis of carbonized carbon fibers at different temperatures: (a) lignin/PAN/Ni 30/70/10 at 800 °C; (b) lignin/PAN/Ni 30/70/10 at 900 °C; (c) lignin/PAN/Ni 30/70/10 at 1000 °C.
The SEM micrographs reveal that the diameters of the continuous lignin fibers significantly decreased after carbonation, ranging from 44 to 355 nm. EDAX analysis indicates that the carbonized nanofibers are composed of 90% carbon and contain Ni metal.
3.2. Electrochemical Properties of Electrodes Composed of Lignin/PAN/Ni Composite Materials
Electrochemical properties were assessed using a two-electrode cell configuration in a 6 M KOH aqueous solution. The energy storage mechanism of carbon materials relies on the formation of a double electrochemical layer at the electrode–electrolyte interface, making the capacitance largely dependent on the surface area available to electrolyte ions. Key factors affecting electrochemical performance include the specific surface area, pore shape and structure, pore size distribution, surface functionality, and electrical conductivity. The current collector needs to have low electrical resistivity, minimal interfacial resistance with the electrode, and electrochemical stability in the electrolyte. The separator, a passive component of the supercapacitor, serves to prevent direct contact and electron transfer between the two electrodes.
The highest specific capacitance is observed in the sample heat-treated at 800 °C across all current densities. However, as the temperature increases to 900 °C and 1000 °C, the specific capacitance declines. This reduction may be attributed to structural changes in the material at higher temperatures, which could diminish its charge retention ability. Additionally, as the current density increases from 0.1 to 2 A g−1, a decrease in specific capacitance is noted. This decrease occurs because at higher current densities, the time available for ion diffusion and charge accumulation is reduced, leading to lower capacitance (Figure 8 and Table 1).

Figure 8.
Galvanostatic charge–discharge curves at different current densities (0.1, 0.25, 0.5, 1.0, and 2.0 A g−1) for electrolyte-based electrodes with a concentration of 6 M KOH: (a) lignin/PAN/Ni 30/70/10 at 800 °C; (b) lignin/PAN/Ni 30/70/10 at 900 °C; (c) lignin/PAN/Ni 30/70/10 at 1000 °C.
Table 1.
The specific capacity of the carbon nanofibers was determined using data from galvanostatic charge–discharge tests conducted at various current densities: 0.1, 0.25, 0.5, 1.0, and 2.0 A g−1.
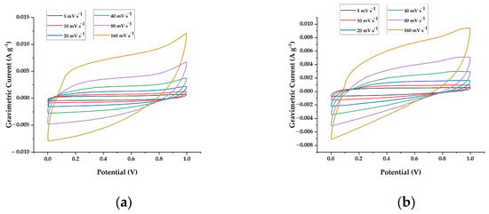
With an increase in the scanning speed from 5 to 160 mV s−1, the specific capacity of all samples decreases. The sample processed at 800 °C shows the highest specific capacity at all scanning speeds, which indicates its best electrochemical properties compared with samples processed at 900 °C and 1000 °C. This decrease in specific capacity with an increase in scanning speed may be due to a decrease in the time for the effective penetration of ions into the porous structure of the material (Figure 9 and Table 2).

Figure 9.
Cyclic voltage curves for electrodes based on different scanning speeds: 5, 10, 20, 40, 80, 160 mV s−1. (a) Lignin/PAN/Ni 30/70/10 at 800 °C; (b) lignin/PAN/Ni 30/70/10 at 900 °C; (c) lignin/PAN/Ni 30/70/10 at 1000 °C.
Table 2.
The specific capacity of carbon nanofibers, calculated according to the CVA data at different scanning speeds: 5, 10, 20, 40, 80, and 160 mV s−1.
At 800 °C, the carbon material achieves a good balance between microporosity and conductivity. Lower carbonization temperatures (e.g., 600–700 °C) typically produce materials with higher microporosity, which can enhance ion storage but may reduce electrical conductivity due to insufficient graphitization. Higher temperatures (e.g., 900 °C and above) often lead to excessive graphitization, reducing the surface area and active sites available for ion adsorption, which in turn lowers capacitance [35,36,37].
4. Comparative Analysis of Lignin-Based Carbon Nanofibers for Supercapacitor Applications
In this section, we compare our results on the synthesis of carbon nanofibers from lignin using nickel with those in the existing literature. This comparison highlights the advantages and disadvantages of our approach compared with previous studies (Table 3).
Table 3.
Overview of carbon-based lignin materials for supercapacitors.
While our results are promising, the existing literature provides well-optimized methods for producing carbon nanofibers using alternative metals. Additional validation and optimization are needed to establish our method as competitive in terms of efficiency and scalability.
5. Conclusions
The key innovation of this research lies in the use of lignin as a renewable, cost-effective, and widely available precursor for producing carbon fibers. Carbon fibers are traditionally derived from expensive synthetic materials such as polyacrylonitrile (PAN), which limits their broader applications. However, this study proposes a sustainable alternative using plant-derived lignin. Not only does this reduce production costs, but it also adds value to an agricultural by-product. Additionally, the incorporation of nickel ions into the carbon fibers is an innovative approach to material modification for energy storage applications. The study shows that these nickel-doped lignin-derived carbon fibers can be used in supercapacitor electrodes without compromising their mechanical properties or performance during the stabilization and carbonization processes. The research demonstrates that nickel ion incorporation does not degrade the fiber structure while enhancing its electrochemical performance. This offers a potential pathway for replacing non-renewable materials in energy storage devices with a low-cost and sustainable approach. In summary, this work combines the production of lignin-based carbon fibers with nickel ion doping to explore a new approach to creating materials for advanced energy storage applications, such as supercapacitors. The sample processed at 800 °C exhibited the highest specific capacitance, which decreases with increasing temperature and current density. This suggests that lower temperatures and current densities are preferable for maximizing capacitance. These findings are important for refining temperature settings and operational parameters in energy storage systems, including supercapacitors. The carbon nanofibers produced exhibited strong electrochemical performance, achieving specific capacitances of 108 F g−1 at a current density of 0.1 A g−1 and 91 F g−1 at a scan rate of 5 mV s−1. These outcomes highlight the potential of lignin-based carbon fibers as a sustainable and cost-effective option for supercapacitor electrodes, thereby increasing the value of lignin, a by-product of agricultural processing. The effective application of lignin in carbon fiber manufacturing not only opens new avenues for utilizing renewable resources but also contributes to advancements in energy storage technologies.
Author Contributions
Conceptualization, M.N. and A.B.M.; methodology, A.B.M.; investigation, A.B.M.; formal analysis, T.M.S.; resources, T.M.S.; visualization, A.B.M.; supervision, M.N. and T.M.S. All authors have read and agreed to the published version of the manuscript.
Funding
This research was supported by Grant No. AP14972938 from the Committee of Science of the Ministry of Science and Higher Education of the Republic of Kazakhstan, which funds the project titled “Development and Creation of Electrodes for Supercapacitors Based on Nanostructured Composite Materials” for the period of 2022–2024.
Data Availability Statement
Data is contained within the article.
Acknowledgments
The authors express their gratitude to the Committee of Science of the Ministry of Science and Higher Education of the Republic of Kazakhstan for their financial support through Grant No. AP14972938.
Conflicts of Interest
The authors declare no conflicts of interest.
References
- Dissanayake, K.; Kularatna-Abeywardana, D. A review of supercapacitors: Materials, technology, challenges, and renewable energy applications. J. Energy Storage 2024, 96, 112563. [Google Scholar]
- Dhandapani, E.; Thangarasu, S.; Ramesh, S.; Ramesh, K.; Vasudevan, R.; Duraisamy, N. Recent development and prospective of carbonaceous material, conducting polymer and their composite electrode materials for supercapacitor—A review. J. Energy Storage 2022, 52, 104937. [Google Scholar] [CrossRef]
- Gürten, İ.I. Scalable activated carbon/graphene based supercapacitors with improved capacitance retention at high current densities. Turk. J. Chem. 2021, 45, 927–941. [Google Scholar] [CrossRef] [PubMed]
- Ran, J.; Liu, Y.; Feng, H.; Shi, H.; Ma, Q. A review on graphene-based electrode materials for supercapacitor. J. Ind. Eng. Chem. 2024, 137, 106–121. [Google Scholar]
- De, B.; Banerjee, S.; Verma, K.D.; Pal, T.; Manna, P.K.; Kar, K.K. Carbon Nanotube as Electrode Materials for Supercapacitors. Handbook of Nanocomposite Supercapacitor Materials II. Springer Ser. Mater. Sci. 2020, 302, 229–243. [Google Scholar]
- Dong, Y.; Zhu, J.; Li, Q.; Zhang, S.; Song, H.; Jia, D. Carbon materials for high mass-loading supercapacitors: Filling the gap between new materials and practical applications. J. Mater. Chem. A 2020, 8, 21930–21946. [Google Scholar] [CrossRef]
- Tiwari, A.P.; Mukhiya, T.; Muthurasu, A.; Chhetri, K.; Lee, M.; Dahal, B.; Lohani, P.C.; Kim, H.-Y. A Review of Electrospun Carbon Nanofiber-Based Negative Electrode Materials for Supercapacitors. Electrochemistry 2021, 2, 17. [Google Scholar] [CrossRef]
- Cao, Q.; Zhu, H.; Xu, J.; Zhang, M.; Xiao, T.; Xu, S.; Du, B. Research progress in the preparation of lignin-based carbon nanofibers for supercapacitors using electrospinning technology: A review. Int. J. Biol. Macromol. 2024, 243, 133037. [Google Scholar] [CrossRef]
- Zhang, C.; Chen, N.; Zhao, M.; Zhong, W.; Wu, W.-J.; Jin, Y.-C. High-performance electrode materials of heteroatom-doped lignin-based carbon materials for supercapacitor applications. Int. J. Biol. Macromol. 2024, 273, 133017. [Google Scholar] [CrossRef]
- Zhong, W.; Su, W.; Li, P.; Li, K.; Wu, W.; Jiang, B. Preparation and research progress of lignin-based supercapacitor electrode materials. Int. J. Biol. Macromol. 2024, 259, 128942. [Google Scholar]
- Zhou, Q.; Chen, Q.; Xu, W.; Wang, F.; Du, X.; Zhou, Y.; Zhan, Y.; Jiang, M. Nitrogen and sulfur co-doped carbonized lignin nanotubes for supercapacitor applications. Chem. Eng. J. 2024, 496, 154126. [Google Scholar] [CrossRef]
- Liu, L.; Solin, N.; Inganas, O. Self-discharge study of lignin/graphite hybrid material electrodes. Electrochim. Acta 2021, 371, 137836. [Google Scholar] [CrossRef]
- Ma, C.; Song, G.; Li, Z.; Wu, H.; Wang, C.; Wang, Y.; Zhang, X.; Song, Y.; Shi, J. High-areal-capacitance electrode constructed by lignin-based microporous carbon nanofibers for supercapacitors. J. Energy Storage 2024, 88, 111465. [Google Scholar] [CrossRef]
- Ehsani, A.; Moftakhar, M.K.; Karimi, F. Lignin-derived carbon as a high efficient active material for enhancing pseudocapacitance performance of p-type conductive polymer. J. Energy Storage 2021, 35, 102291. [Google Scholar] [CrossRef]
- Li, P.H.; Wei, Y.M.; Wu, C.W.; Yang, C.; Jiang, B.; Wu, W.J. Lignin-based composites for high-performance supercapacitor electrode materials. RSC Adv. 2022, 12, 19485–19494. [Google Scholar] [CrossRef] [PubMed]
- Cai, Z.; Jiang, C.; Xiao, X.F.; Zhang, Y.S.; Liang, L. Lignin-based Biochar/graphene Oxide Composites as Supercapacitor Electrode Materials. IOP Conf. Ser. Mater. Sci. Eng. 2018, 3592, 012046. [Google Scholar] [CrossRef]
- Mustafov, S.D.; Mohanty, A.K.; Misra, M.; Seydibeyoglu, M.O. Fabrication of conductive Lignin/PAN carbon nanofibers with enhanced graphene for the modified electrodes. Carbon 2019, 147, 262–275. [Google Scholar] [CrossRef]
- Xu, X.; Zhou, J.; Jiang, L.; Lubineau, G.; Payne, S.A.; Gutschmidt, D. Lignin-based carbon fibers: Carbon nanotube decoration and superior thermal stability. Carbon 2014, 80, 91–102. [Google Scholar] [CrossRef]
- Ma, X.; Kolla, P.; Zhao, Y.; Smirnova, A.L.; Fong, H. Electrospun lignin-derived carbon nanofiber mats surface-decorated with MnO2 nanowhiskers as binder-free supercapacitor electrodes with high performance. J. Power Sources 2016, 325, 541–548. [Google Scholar] [CrossRef]
- Ma, X.; Smirnova, A.L.; Fong, H. Flexible lignin-derived carbon nanofiber substrates functionalized with iron (III) oxide nanoparticles as lithium-ion battery anodes. Mater. Sci. Eng. B 2019, 241, 100–104. [Google Scholar] [CrossRef]
- Song, M.; Zhang, W.; Chen, Y.; Luo, J.; Crittenden, J.C. The preparation and performance of lignin-based activated carbon fiber adsorbents for treating gaseous streams. Front. Chem. Sci. Eng. 2017, 11, 328–337. [Google Scholar] [CrossRef]
- Dai, Z.; Ren, P.; Cao, Q.; Gao, X.; He, W.; Xiao, Y.; Jin, Y.; Ren, F. Synthesis of TiO2@lignin based carbon nanofibers composite materials with highly efficient photocatalytic to methylene blue dye. J. Polym. Res. 2020, 27, 108. [Google Scholar] [CrossRef]
- Lai, C.; Kolla, P.; Zhao, Y.; Fong, H.; Smirnova, A.L. Lignin-derived electrospun carbon nanofiber mats with supercritically deposited Ag nanoparticles for oxygen reduction reaction in alkaline fuel cells. Electrochim. Acta 2014, 130, 431–438. [Google Scholar] [CrossRef]
- Yun, S.I.; Kim, S.H.; Kim, D.W.; Kim, Y.A.; Kim, B.H. Facile preparation and capacitive properties of low-cost carbon nanofibers with ZnO derived from lignin and pitch as supercapacitor electrodes. Carbon 2019, 149, 637–645. [Google Scholar] [CrossRef]
- Ma, C.; Wu, L.; Dirican, M.; Cheng, H.; Li, J.; Song, Y.; Shi, J.; Zhang, X. ZnO-assisted synthesis of lignin-based ultra-fine microporous carbon nanofibers for supercapacitors. J. Colloid Interface Sci. 2021, 586, 412–422. [Google Scholar] [CrossRef]
- Hu, S.; Zhang, S.; Pan, N.; Hsieh, Y.L. High energy density supercapacitors from lignin derived submicron activated carbon fibers in aqueous electrolytes. J. Power Sources 2014, 270, 106–112. [Google Scholar] [CrossRef]
- Ma, C.; Li, Z.; Li, J.; Fan, Q.; Wu, L.; Shi, J.; Song, Y. Lignin-based hierarchical porous carbon nanofiber films with superior performance in supercapacitors. Appl. Surf. Sci. 2018, 456, 568–576. [Google Scholar] [CrossRef]
- Gu, C.; Ma, H.; Zhang, Q.; Li, M.; Jiang, H.; Chen, C.; Wang, S.; Min, D. Nano MnO2 Radially Grown on Lignin-Based Carbon Fiber by One-Step Solution Reaction for Supercapacitors with High Performance. Nanomaterials 2020, 10, 594. [Google Scholar] [CrossRef]
- Zhang, L.; Shi, D.; Liu, T.; Jaroniec, M.; Yu, J. Nickel-based materials for supercapacitors. Mater. Today 2019, 25, 35–65. [Google Scholar] [CrossRef]
- Xiao, H.; Qu, F.; Wu, X. Ultrathin NiO nanoflakes electrode materials for supercapacitors. Appl. Surf. Sci. 2016, 360, 8–13. [Google Scholar] [CrossRef]
- Brisse, A.-L.; Stevens, P.; Toussain, G.; Crosnier, O.; Brousse, T. Ni(OH)2 and NiO Based Composites: Battery Type Electrode Materials for Hybrid Supercapacitor Devices. Materials 2018, 11, 1178. [Google Scholar] [CrossRef] [PubMed]
- Wang, W.; Liu, Y.; Wang, Y.; Liu, L.; Hu, C. Effect of Ni(NO3)2 Pretreatment on the Pyrolysis of Organsolv Lignin Derived from Corncob Residue. Processes 2021, 9, 23. [Google Scholar] [CrossRef]
- Schlee, P.; Hosseinaei, O.; O’ Keefe, C.A.; Mostazo-López, M.J.; Cazorla-Amorós, D.; Herou, S.; Tomani, P.; Grey, C.P.; Titirici, M.-M. Hardwood versus softwood Kraft lignin—precursor-product relationships in the manufacture of porous carbon nanofibers for supercapacitors. J. Mater. Chem. A 2020, 8, 23543–23554. [Google Scholar] [CrossRef]
- Nazhipkyzy, M.; Maltay, A.B.; Lesbayev, B.T.; Assylkhanova, D.D. Synthesis of Lignin/PAN Fibers from Sawdust. Fibers 2024, 12, 27. [Google Scholar] [CrossRef]
- Ruiz-Rosas, R.; Bedia, J.; Lallave, M.; Loscertales, I.G.; Barrero, A.; Rodríguez-Mirasol, J.; Cordero, T. The production of submicron diameter carbon fibers by the electrospinning of lignin. Carbon 2010, 48, 696–705. [Google Scholar] [CrossRef]
- Rodríguez-Mirasol, J.; Cordero, T.; Rodriguez, J.J. High-temperature carbons from kraft lignin. Carbon 1996, 34, 43–52. [Google Scholar] [CrossRef]
- Aslanzadeh, S.; Ahvazi, B.; Boluk, Y.; Ayranci, C. Carbon fiber production from electrospun sulfur free softwood lignin precursorsc. J. Eng. Fibers Fabr. 2017, 12, 33–43. [Google Scholar]
- Saha, D.; Li, Y.; Bi, Z.; Chen, J.; Keum, J.K.; Hensley, D.K.; Grappe, H.A.; Meyer, H.M.; Dai, S.; Paranthaman, M.P.; et al. Studies on Supercapacitor Electrode Material from Activated Lignin-Derived Mesoporous Carbon. Langmuir 2014, 30, 900–910. [Google Scholar] [CrossRef]
Disclaimer/Publisher’s Note: The statements, opinions and data contained in all publications are solely those of the individual author(s) and contributor(s) and not of MDPI and/or the editor(s). MDPI and/or the editor(s) disclaim responsibility for any injury to people or property resulting from any ideas, methods, instructions or products referred to in the content. |
© 2024 by the authors. Licensee MDPI, Basel, Switzerland. This article is an open access article distributed under the terms and conditions of the Creative Commons Attribution (CC BY) license (https://creativecommons.org/licenses/by/4.0/).