Abstract
To overcome the limitations of conventional high-viscosity high-elasticity modified asphalt, including high production costs, phase separation, and thermal degradation, this study introduces a novel fast melting Styrene-Butadiene-Styrene modifier (SBS-T) for asphalt modification. The primary novelty of SBS-T lies in its ability to mitigate phase separation and thermal degradation while simplifying the production process, thereby offering a more robust and cost-effective alternative. The viscoelastic properties of SBS-T-modified asphalt were characterized through frequency sweep tests under varying loading conditions, while its fatigue behavior was quantitatively assessed using the Simplified Viscoelastic Continuum Damage (S-VECD) model. The results indicate that the SBS-T-modified asphalt exhibits outstanding viscoelastic performance across a broad range of temperatures and loading frequencies, and can better adapt to the temperature and load changes in complex pavement environments. Among them, the influence of long-term aging on the linear viscoelastic characteristics of SBS-T-modified asphalt is greater than that of ultraviolet aging. The SBS-T-modified asphalt also shows better stiffness and resistance to shear deformation. The fatigue life of asphalt gradually decreases with the deepening of the aging degree, among which the impact of long-term aging on fatigue life is greater than that of ultraviolet aging. Under different aging conditions, SBS-T-modified asphalt has shown good fatigue performance and is suitable for practical engineering applications.
1. Introduction
Vehicle overloading and channelized traffic exacerbate asphalt pavement damage. Water infiltration under traffic loads causes surface deterioration (pitting, loosening, shedding, grouting, cracking, potholes), compromising driving comfort, safety, and pavement lifespan [1,2]. Traditional asphalt exhibits limitations: it softens and ruts at high temperatures (>60 °C) while oxidizing and embrittling; conversely, it hardens and cracks at low temperatures (<0 °C) [3,4]. These deficiencies hinder its ability to meet modern highway demands for enhanced high-temperature stability, low-temperature crack resistance, and durability [4,5]. Consequently, developing high-viscosity, high-elasticity modified asphalt binders presents a promising solution.
As an increasingly important material in pavement engineering, high-viscosity and high-elasticity modified asphalt binder has demonstrated outstanding performance in highway and heavy-load road applications. Its superior characteristics, including remarkable thermal stability against rutting, exceptional flexibility at low temperatures, and sustained resistance to aging degradation, have made it a subject of extensive research in recent years [6,7]. Due to the excellent road performance of high-viscosity and high-elasticity asphalt and its strong adhesion to aggregates, it can significantly enhance the water damage resistance of asphalt pavement and is widely used in drainage pavement [8,9]. Currently, high-viscosity elastomeric modified asphalt exhibits several technical limitations: (1) thermodynamic instability manifests as SBS phase separation during storage and high-temperature conditions (>160 °C), particularly in low-aromatic-content binders; (2) processing demands stringent parameters (180–190 °C, 5000 rpm shear for 4–6 h) yet still yields limited storage stability. The root cause of these problems lies in their preparation process. To avoid these problems from the source, dry modification can be attempted. The key to the dry modification process lies in reducing the melting time of the modifier and accelerating the swelling rate of the modifier in asphalt [10,11,12]. Based on this, Guolu Gaoke optimized the structure of the SBS modifier and added components that enhance the melting capacity, achieving a balance between the melt index and the modification effect. A fast melting Styrene-Butadiene-Styrene (SBS-T) modifier was prepared—chemically, it differs from traditional SBS in that its styrene-butadiene block ratio is adjusted, and compatible components are grafted onto the molecular chain, which strengthens the interfacial adhesion between the modifier and asphalt. SBS-T is pre-ground into fine powder and then formed into granules. This drastically increases its surface area, enabling it to melt and disperse within the asphalt mix in seconds under the shear force of aggregates, unlike conventional SBS which requires prolonged, high-shear milling in asphalt. Physically, it has a reduced molecular weight distribution width and a more uniform particle size, lowering the energy barrier for melting and swelling. With a melt index equivalent to 100 times that of ordinary SBS [13,14,15], it can be directly put into the mixing plant for use and achieve rapid melting within 1 min. This structural and physical optimization enables it to perfectly solve problems such as performance attenuation of traditional high-viscosity and high-elasticity modified asphalt [16,17,18].
Performance assessment of high-viscosity, high-elasticity modified asphalt binders typically relies on fundamental parameters (penetration, ductility, softening point) to evaluate viscoelastic behavior and thermal susceptibility [19,20], supplemented by metrics like dynamic viscosity and the elastic recovery ratio to characterize adhesion and deformation resistance [21]. These quantitative measures effectively demonstrate performance enhancements from modifiers at varying concentrations. However, current studies often limit evaluation to qualitative interpretations of these parameters, lacking comprehensive analytical frameworks [22]. Fatigue cracking, a primary failure mode and cause of highway damage [23,24], involves the gradual expansion of pavement cracks, ultimately compromising surface integrity and significantly reducing pavement durability and service life [25,26,27]. Vehicle loads initiate micro-cracks, while temperature fluctuations (diurnal/seasonal) accelerate crack propagation, leading to macroscopic fatigue damage [28,29]. Consequently, asphalt’s fatigue resistance critically determines its overall durability. Understanding the fatigue crack formation mechanism and developing effective improvement strategies are therefore vital for extending road service life and reducing maintenance costs.
This study employs a novel SBS-T to simultaneously compare the differential effects of thermo-oxidative and UV aging, and applies the S-VECD model to quantify fatigue performance. This approach breaks from conventional methods that isolate single aging types and rely solely on rheological characterization. Existing studies have proved that the addition of SBS-T modifiers can significantly improve the water stability performance, anti-aging performance, high-temperature rutting resistance, and low-temperature cracking resistance of asphalt. However, regarding the comparative study of the fatigue performance of SBS-T after short-term aging, ultraviolet aging, and long-term aging, there is still a lack of systematic exploration and analysis at present. The in-depth exploration in this direction is not only conducive to a comprehensive understanding of the long-term performance of SBS-T-modified asphalt, but can also provide a theoretical basis for its application in practical engineering. In this study, the stress–strain response laws of high-viscosity and high-elasticity SBS-T-modified asphalt with different dosages were obtained through LAS tests. Based on the S-VECD (Simplified Viscoelastic Continuous Damage) model, the definition of virtual strain energy fatigue failure, and the fatigue failure criterion, the fatigue life of high-viscosity and high-elasticity SBS-T-modified asphalt was quantitatively analyzed. We established the damage characteristic curve (DCC curve) of high-viscosity and high-elasticity SBS-T-modified asphalt, and compared and analyzed the fatigue performance of high-viscosity and high-elasticity SBS-T-modified asphalt under different aging environments. This study provides a theoretical basis for the application of high-viscosity and high-elasticity SBS-T-modified asphalt in drainage pavement. Its novelty lies in integrating multi-aging factor comparison with S-VECD-based fatigue quantification, addressing the gap of unsystematic fatigue analysis under diverse aging conditions. For application, it offers targeted guidance for SBS-T dosage optimization in drainage pavement, directly promoting the material’s reliable use in durable pavement engineering.
2. Materials and Methods
2.1. Materials
2.1.1. Asphalt Binder
The selection of base asphalt significantly influences the performance of both asphalt binder and asphalt mixtures. In this study, 70# penetration grade base asphalt was selected, and its fundamental properties were characterized through standardized testing procedures. The technical specifications of the base asphalt are presented in Table 1.
The SBS-T modifier and conventional SBS modifier used in this study were supplied by Guolu Gaoke Engineering Technology Research Institute Co., Ltd. (No. 30 College Rd., Haidian District, Beijing, China), China. Figure 1 presents their morphological characteristics, while Table 2 summarizes their technical specifications.
Figure 1.
SBS-T (left) and SBS (right) modifier [30].
Table 1.
Basic technical specifications for 70# asphalt.
Table 1.
Basic technical specifications for 70# asphalt.
| Technical Indicators | Unit | Measured Value | Test Methods |
|---|---|---|---|
| Penetration (25 °C) | 0.1 mm | 66.9 | T0604-2011 |
| Ductility (15 °C, 5 cm/min) | cm | >100 | T0605-2011 |
| Softening point | °C | 52.8 | T0606-2011 |
| Brinell rotational viscosity (135 °C) | Pa·s | 0.60 | T0625-2011 |
Table 2.
Technical specifications of modifiers.
Table 2.
Technical specifications of modifiers.
| Modifier | Technical Indicator | Unit | Measured Value |
|---|---|---|---|
| SBS | Structure type | - | Linearity |
| Block ratio S/B | - | 40/60 | |
| Fracture elongation | % | ≥700 | |
| Melt flow rate | g/10 min | 0.1–5.0 | |
| SBS-T | Appearance | - | Granular, uniform |
| SBS content | % | ≥50 | |
| Ash content | % | ≤5.0 | |
| Melt index | g/10 min | ≥2.0 | |
| Dry mix dispersibility | - | No particle residue |
2.1.2. Sample Preparation
The conventional SBS-modified asphalt and SBS-T-modified asphalt were prepared using the melt blending method. This process relies on thermal fusion at elevated temperatures to promote intermolecular interactions and achieve a homogeneous composite. SBS-T undergoes rapid physical melting and dispersion upon mixing with hot aggregate, immediately followed by an ultra-fast, catalyzed chemical crosslinking reaction within the asphalt binder. This entire process—achieving full polymer network formation through controlled crosslinking—is completed during a short mixing cycle, eliminating the prolonged maturation required by conventional SBS. Three SBS-T-modified asphalt formulations were prepared with modifier contents of 5 wt%, 6 wt%, and 7 wt%, alongside a control group comprising 6 wt% conventional SBS-modified asphalt. For each formulation, a minimum of three replicate samples were fabricated and tested to ensure statistical reliability. The preparation process, outlined in Figure 2, consisted of the following steps:
Figure 2.
Preparation of modified asphalt.
- (1)
- The 70# penetration grade base asphalt was heated at 135 °C for approximately 2 h until fully liquefied, then transferred to a temperature-controlled hot plate maintained at 175 ± 2 °C.
- (2)
- The predetermined quantity of SBS or SBS-T modifier was gradually introduced into the molten asphalt. Continuous manual stirring with a glass rod ensured uniform dispersion and prevented particle agglomeration.
- (3)
- The mixture was subjected to high-shear mixing using an FM300 shear mixer (5000 rpm, corresponding to a shear rate of ~18.3 m/s, 30 min) under strict temperature control (175 ± 2 °C) to guarantee consistent polymer dissolution and blend homogeneity.
According to the requirements of “Bitumen with high viscosity and elastic recovery for pavement” (GB/T 30516-2014), basic performance tests for SBS- and SBS-T-modified asphalt were carried out. The test samples were divided into the control group (6% SBS-modified asphalt) and the experimental groups (5%, 6%, and 7% SBS-T-modified asphalt). The test results are shown in Table 3. The asphalts with different modifier dosages all meet the technical standards of high-viscosity and high-elasticity modified asphalts.
Table 3.
Technical specifications for modified asphalt.
2.2. Aging Method
2.2.1. Short-Term Aging
In compliance with JTG E20-2011 specifications, short-term aging was simulated using the Rolling Thin Film Oven Test (RTFOT) to evaluate the oxidative degradation of 70# base asphalt and SBS-T-modified asphalts during production and construction phases. The standardized protocol commenced with heating virgin asphalt to 160 ± 5 °C until complete fluidity was achieved, followed by precise measurement of 35.0 ± 0.5 g aliquots into pre-cleaned borosilicate glass bottles. Samples were then aged in a preheated RTFOT chamber at 163 ± 0.5 °C for 85 min under strictly controlled conditions, including 4000 ± 200 mL/min filtered dry air flow and 15 ± 0.2 rpm rotational speed. Immediately after aging, samples were collected for comparative testing, with the process maintaining <2% mass loss tolerance to ensure valid simulation of field aging mechanisms. This methodology (illustrated in Figure 3) effectively replicates thermo-oxidative binder hardening during mix production and paving operations while guaranteeing reproducible results through precise parameter control.
Figure 3.
The preparation process of short-term aging asphalt.
2.2.2. UV Aging
As a viscoelastic composite, asphalt undergoes progressive degradation under combined thermal and solar radiation. While thermo-oxidative aging mechanisms are well characterized, photodegradation by ultraviolet (UV) radiation—constituting only 2% of the solar spectrum—remains poorly understood. The high-energy short-wavelength band (295–400 nm) drives complex photochemical reactions that systematically degrade asphalt’s molecular structure over months to years of service.
Prior studies show that UV aging most significantly impacts asphalt performance within the first 194 h, with diminishing effects until stabilization. Accordingly, this study implemented a controlled 8-day (192 h) UV aging protocol using a 1000 W mercury arc lamp (primary emission: 365 nm). Temperature was maintained at 45 ± 0.5 °C via precision air cooling to isolate UV effects from thermal degradation.
For exposure, 20 g asphalt samples formed uniform 1 mm thick films in standardized trays (Ø140 mm × 10 mm depth). Trays were mounted on a rotating platform (5 rpm) within the aging chamber to ensure homogeneous irradiation. Figure 4 details the UV aging preparation.
Figure 4.
The preparation process of UV-aged asphalt.
2.2.3. Long-Term Aging
Asphalt undergoes sequential aging processes, beginning with short-term aging during construction (mixing and paving) followed by progressive long-term aging under environmental exposure during service life. To evaluate oxidation resistance under controlled conditions, this study conducted Pressure Aging Vessel (PAV) tests on 70# base asphalt and modified variants according to JTG E20-2011 specifications, using a precision PAV system (Tianjin Port Original Inspection Instrument Co., Ltd., Tianjin, China). The standardized protocol involved the following: (1) preparing 50 ± 0.5 g aliquots of RTFOT-aged asphalt in stainless steel pans (150 × 25 × 10 mm); (2) aging samples at 100 ± 0.1 °C and 2.1 ± 0.05 MPa for 20 ± 0.5 h to simulate approximately 5–10 years of field aging; and (3) immediate extraction of aged samples for subsequent analysis. The complete preparation process is illustrated in Figure 5, demonstrating our rigorous approach to replicating long-term oxidative aging in laboratory conditions while maintaining precise environmental controls (±0.1 °C temperature stability). This methodology provides reliable simulation of in-service aging mechanisms critical for performance evaluation of modified asphalts.
Figure 5.
The preparation process of long-term aged asphalt.
2.3. Laboratory Testing
2.3.1. Frequency Sweep (FS) Test
Frequency sweep tests were performed using a dynamic shear rheometer in strain-controlled mode (0.1% strain) within the linear viscoelastic region (0.1–100 rad/s). This measured complex modulus, storage modulus, and loss modulus to characterize inherent viscoelastic properties. Tests were conducted on SBS-T-modified asphalt under four conditions: unaged, short-term aged, UV-aged, and long-term aged. Triplicate testing minimized sample variability.
Following the time–temperature superposition principle (TTSP) [31,32], master curves were constructed to unify data across temperatures. These curves delineate distinct behavioral regions, facilitating rheological analysis per Equation (1):
where ω is the angular frequency in radians per second (rad/s); ωr is the reduced angular frequency in radians per second (rad/s); and φT is the shift factor.
2.3.2. Linear Amplitude Sweep Test (LAS)
The LAS test measures asphalt’s stress response under progressively increasing strain at a fixed frequency (10 Hz), identifying linear/nonlinear viscoelastic regions. At low strains, materials exhibit linear behavior; high strains induce nonlinearity with energy dissipation and strain hardening.
Tests at 25 °C applied three constant strain rates (0.1%/s, 0.06%/s, 0.0375%) across a 0.1%–30% strain, corresponding to 300 s, 500 s, and 800 s loading durations (Figure 6). Triplicate testing ensured repeatability.
Figure 6.
LAS test loading program.
This study evaluates the fatigue performance of modified asphalt based on the Simplified Viscoelastic Continuum Damage (S-VECD) theory. This theory overcomes the limitations of traditional testing conditions by introducing a damage variable to characterize the evolution of the material’s internal state under loading. The research establishes a dynamic relationship model between the damage variable S and time t, enabling quantitative analysis of the material’s fatigue damage behavior. The peak pseudo-strain of modified asphalt under cyclic loading can be expressed by Equation (2):
where γP is the virtual strain; GR is the reference modulus of the material, taken as 1 MPa in this paper; and |G*|LVE is the dynamic shear modulus of the asphalt material in linear viscoelasticity.
The relationship between the complex modulus C and the internal damage variable S of the asphalt material is expressed by Equation (3):
where DMR is the ratio of the initial dynamic shear modulus of the asphalt material to the dynamic shear modulus of the asphalt material in linear viscoelasticity; ti is the loading time; and φT is the shift factor.
Based on the experimental data, the complex modulus C and damage variable S are fitted to derive the C-S curve of the material. The fitting formula is given in Equation (5):
where C1 and C2 are the fitting parameters of the material.
In the S-VECD theoretical model, the maximum stored peak pseudo-strain energy (PSE) is defined as the fatigue failure point of asphalt materials. The calculation formulas for stored energy, total pseudo-strain energy, and released energy are given by Equations (6)–(8), respectively:
The relationship between the stored energy and the released energy during the LAS test loading process is illustrated in Figure 7.
Figure 7.
Evolution of stored energy and released energy in LAS test.
The peak value of WsR is selected as the fatigue failure point, representing the state when the material reaches its maximum stored pseudo-strain energy. Once the failure point is determined, the average PSE from test initiation to fatigue failure can be calculated, and the pseudo-strain energy release rate (GR) can be derived using Equation (9). This calculation method provides a more accurate description of the energy dissipation rate during dynamic loading, offering a more reliable theoretical basis for evaluating the fatigue performance of asphalt mixtures.
where A is the area under the curve of the released pseudo-strain energy before the material reaches fatigue failure, as indicated by the shaded area in Figure 7. Nf denotes the number of loading cycles.
By varying the test methods and loading conditions, Wang et al. [33] plotted the calculated GR (average PSE release rate) and corresponding Nf (fatigue life) on a double-logarithmic coordinate system. Their results demonstrated that the relationship between GR and Nf can be well fitted by a power function. For the same material, the relationship between the average PSE release rate (GR) and fatigue life (Nf) constitutes the fatigue failure criterion, which is capable of reflecting the inherent fatigue failure characteristics of the material itself, which can be fitted using Equation (10):
where a and b are fitting parameters.
The fatigue life prediction equation for asphalt, based on the fatigue failure criterion, is presented in Equation (11):
where K and Q are parameter combination values, which can be calculated using Equations (12)–(14):
Equation (11) can be utilized to predict the fatigue life of asphalt materials under varying strains, thus offering a comprehensive analysis of their fatigue performance.
3. Results and Discussion
3.1. Dynamic Modulus Master Curve
The dynamic modulus represents a key parameter that characterizes the stiffness and deformation resistance of asphalt materials, where increased values correspond to enhanced load-bearing capacity. Through frequency sweep testing, the complex moduli of SBS-T-modified asphalt were measured across varying temperatures and loading frequencies, enabling construction of the dynamic modulus master curve through application of the time–temperature superposition principle. Figure 8 presents the following significant findings:

Figure 8.
The main curves of the dynamic modulus under different aging effects.
- (1)
- In the unaged state, with increasing content of the SBS-T modifier, the complex modulus of the high-viscosity high-elasticity SBS-T-modified asphalt shows an upward trend, particularly in the low-frequency range (under low-shear-stress conditions). This indicates that the high-viscosity high-elasticity SBS-T-modified asphalt exhibits stronger elasticity and deformation resistance in its unaged condition. The reason lies in the optimized molecular structure and improved melting efficiency of the SBS-T modifier, which ensures its thorough dissolution and uniform dispersion within the asphalt matrix. Consequently, this enhances the overall rigidity and elastic recovery capability of the modified asphalt material. Compared with the traditional 6% SBS-modified asphalt with the same dosage, the 6% high-viscosity and high-elasticity SBS-T-modified asphalt shows a higher complex modulus in the unaged state, proving that it can provide better crack resistance and fatigue performance under low-temperature or low-stress conditions.
- (2)
- Under short-term aging conditions, the complex modulus of high-viscosity and high-elasticity SBS-T-modified asphalt is generally increased compared with that of unmodified asphalt. The high-viscosity and high-elasticity modified asphalts of 5% SBS-T, 6% SBS-T, and 7% SBS-T all show good high-temperature stability. Short-term aging usually causes crosslinking and hardening of asphalt molecular chains, thereby enhancing its rigidity. During this process, high-viscosity and high-elasticity SBS-T-modified asphalt exhibits superior anti-aging ability compared to base asphalt, indicating that it can still maintain good elasticity and viscosity under high-temperature conditions. High-viscosity and high-elasticity SBS-T-modified asphalt can maintain better fluidity and elasticity during the short-term aging process, reducing cracks and fatigue damage caused by aging. In contrast, the modulus increase of SBS-modified asphalt with the same dosage was relatively small, and the extent of rigidity enhancement during the short-term aging process was limited, further verifying the superiority of high-viscosity and high-elasticity SBS-T-modified asphalt.
- (3)
- During the ultraviolet aging process, the complex modulus of all high-viscosity and high-elasticity SBS-T-modified asphalts showed a significant increase, especially in the high-frequency band (under greater shear stress). Ultraviolet radiation can cause oxidation and crosslinking of the molecular chains in asphalt, resulting in an increase in the rigidity of the material. However, compared with SBS-modified asphalt and base asphalt of the same dosage, high-viscosity and high-elasticity SBS-T-modified asphalt shows a better recovery ability and lower hardening trend after ultraviolet aging. This indicates that high-viscosity and high-elasticity SBS-T-modified asphalt has obvious advantages in resisting ultraviolet aging.
- (4)
- Under long-term aging conditions, the complex modulus of modified asphalt increased, particularly for 6% SBS-T and 7% SBS-T high-viscosity high-elasticity modified asphalt. Long-term aging enhances oxidation and crosslinking reactions in asphalt, thereby improving its stiffness and fatigue resistance. The high-viscosity high-elasticity SBS-T-modified asphalt demonstrates superior durability compared to both base asphalt and SBS-modified asphalt with the same dosage during this process. Notably, the 7% SBS-T-modified asphalt exhibits the highest complex modulus values, indicating that it maintains excellent mechanical performance and durability even under prolonged loading and environmental variations.
3.2. Analysis of Stress–Strain Relationship
Figure 9 lists the stress–strain relationships of asphalt in the LAS test under four conditions (unaged, short-term aged, UV aged, and long-term aged). The following can be known from Figure 9:
Figure 9.
Stress–strain relationship graph.
- (1)
- The increasing stress amplitude with the higher SBS-T dosage indicates a significant enhancement in stiffness. This is attributed to the formation of a more robust and continuous crosslinked polymer network within the asphalt matrix, which effectively restricts the mobility of asphalt molecules and bears a greater portion of the applied load. This microstructural reinforcement is consistent with the observed increase in complex modulus.
- (2)
- Compared with 70# base asphalt and SBS-modified asphalt at the same dosage, high-viscosity and high-elasticity SBS-T-modified asphalt shows a larger stress peak width under the same aging conditions. Studies show that the larger the peak stress width, the greater the degree of shear deformation that asphalt can withstand. Therefore, the SBS-T modifier can enhance the stiffness and anti-deformation ability of asphalt.
- (3)
- In the non-aging and short-term aging states, the stress–strain curves of high-viscosity and high-elasticity SBS-T-modified asphalt show a relatively clear elastic stage. All asphalt samples exhibit a higher stress response in the area with less strain, indicating that it can effectively store elastic energy during the initial strain. With the increase in strain, the curve tends to be stable, indicating that the material has entered the plastic deformation stage.
- (4)
- Under ultraviolet aging conditions, the stress–strain curve of high-viscosity and high-elasticity SBS-T-modified asphalt shows more obvious changes. The molecular chain breakage or degradation caused by ultraviolet aging leads to a reduction in the elastic properties of the material. In contrast, the stress response change of 7% SBS-T high-viscosity and high-elasticity modified asphalt after ultraviolet aging is relatively small, and it still maintains a relatively high stress value, showing its stronger ability to resist ultraviolet aging.
- (5)
- The peak shear stress of 70# base asphalt, SBS-modified asphalt, and high-viscosity and high-elasticity SBS-T-modified asphalt after long-term aging is greater than that after ultraviolet aging, indicating that the long-term aging effect has a greater influence on the hardening and stiffness of asphalt materials than ultraviolet aging.
- (6)
- Compared with 5% SBS-T and 6% SBS-T, 7% SBS-T asphalt shows stronger crack resistance and rutting resistance at each aging stage. Especially under high strain, its stress response is significantly stronger, reflecting that a higher content of SBS-T can effectively improve the durability of asphalt.
3.3. Fatigue Damage Curve Analysis
By using the PSE theory to analyze the relationship between the value of C and S, and constructing the damage characteristic curve (DCC), the dynamic evolution law of the internal damage of the material can be visually presented. The DCC is helpful in explaining the damage development trend of asphalt binder and provides an important quantitative reference index for material performance evaluation. Figure 8 shows the DCCs under four aging modes: non-aging, short-term aging, UV aging, and long-term aging. By comparing the curve shapes and changing trends, the durability differences of different types of asphalt are evaluated, and the degree of performance decline is quantified. The end point of each DCC corresponds to the fatigue failure point of the asphalt binder.
The following can be seen from Figure 10:
Figure 10.
C-S curve graph.
- (1)
- After short-term aging, ultraviolet aging, and long-term aging, the damage curve of 7% SBS-T high-viscosity and high-elasticity modified asphalt is always at the top, indicating that 7% SBS-T high-viscosity and high-elasticity modified asphalt can still maintain high stiffness after experiencing complex environmental effects, and therefore has better anti-aging performance.
- (2)
- With the deepening of the aging degree, the downward trend of the DCC gradually slows down. After long-term aging, the DCCs of asphalt with different SBS-T dosages vary greatly and are significantly different from the samples after ultraviolet aging. This indicates that the influence of the photo-oxidation aging mechanism on the damage characteristics of asphalt binders is different from that of the thermal oxidation aging mechanism. Different aging mechanisms have different influences on the internal state characteristics of asphalt materials.
- (3)
- For 6% SBS-T high-viscosity and high-elasticity modified asphalt and 6% SBS-modified asphalt at the same dosage, under long-term aging conditions, the high-viscosity and high-elasticity SBS-T-modified asphalt shows a lower damage accumulation than the traditional SBS asphalt. The fatigue failure point of 6% SB-T high-viscosity and high-elasticity modified asphalt is located after the curve of 6% SBS-modified asphalt, which indicates that SBS-T-modified asphalt is superior to ordinary SBS-modified asphalt in terms of fatigue durability.
3.4. Fatigue Life Analysis
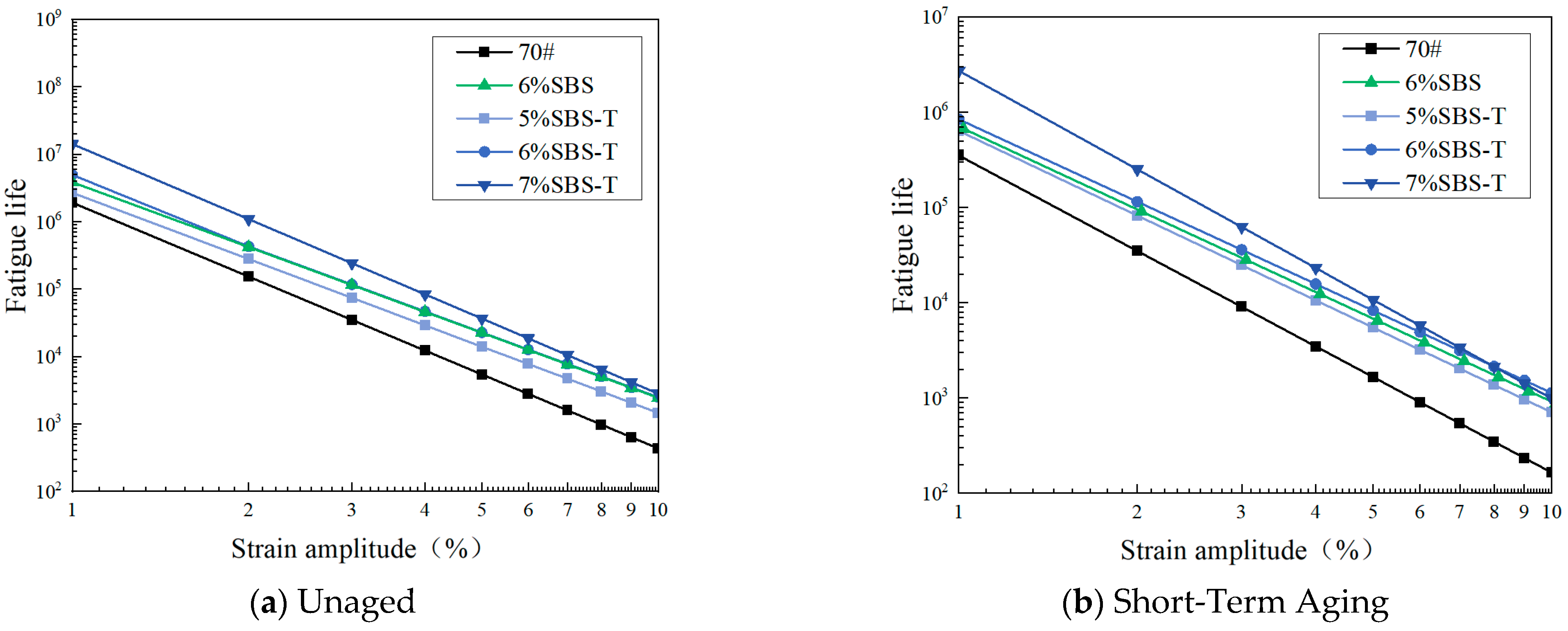
Once the fatigue parameters a and b are determined, the fatigue life of asphalt can be predicted at different strain levels. Figure 9 shows the fatigue life of various types of asphalt within the strain level range of 1% to 10%. These prediction results are helpful for evaluating the performance of asphalt materials under different usage conditions, assisting in optimizing the proportion and application strategy of asphalt to enhance the durability and fatigue resistance of the pavement.
It can be known from Figure 11 that in the unaged state, SBS-T-modified asphalt (particularly the 6% and 7% dosage specimens) demonstrates significantly longer fatigue life compared to 70# base asphalt. The decline rate of its fatigue life with increasing strain levels is more gradual, indicating superior fatigue resistance even under high-strain conditions. After short-term aging, while the fatigue life of SBS-T-modified asphalt decreases, the performance degradation of 6% and 7% dosage specimens remains relatively minor, demonstrating excellent anti-aging properties. In contrast, the base asphalt shows significant fatigue performance deterioration after aging, particularly being more susceptible to fatigue damage under high-strain conditions.

Figure 11.
Fatigue life prediction curve.
Under UV aging conditions, SBS-T-modified asphalt exhibits superior aging resistance compared to conventional SBS-modified asphalt, owing to its stable molecular structure and optimized network system. Notably, the 6% and 7% SBS-T-modified asphalt specimens show comparable fatigue lives after UV aging, both significantly outperforming conventional modified asphalt. Long-term aging tests further validate the durability advantages of SBS-T-modified asphalt—even after extended aging, the 7% SBS-T modified asphalt maintains a relatively high fatigue life, demonstrating exceptional long-term service performance.
Comprehensive analysis reveals that the high-viscosity high-elasticity SBS-T-modified asphalt, through optimized material composition and microstructure, shows remarkable advantages in both fatigue and aging resistance. This material not only effectively delays the initiation and propagation of fatigue cracks but also maintains stable performance under various environmental conditions, which is crucial for extending pavement service life and reducing maintenance requirements. In particular, the 7% SBS-T-modified asphalt exhibits optimal performance across all aging conditions, providing valuable reference for developing high-performance pavement materials.
Figure 12 presents the fatigue life of SBS-T-modified asphalt under different strain levels. The results demonstrate the following:
Figure 12.
Fatigue life of asphalt under different strain conditions: (a) 2.5% strain; (b) 5% strain.
- (1)
- Across all aging conditions, SBS-T-modified asphalt exhibits superior fatigue life compared to both 70# base asphalt and conventional SBS-modified asphalt at equivalent dosages, with a pronounced increasing trend observed with higher SBS-T content.
- (2)
- Short-term aging causes a systematic reduction in fatigue life for all specimens compared to the unaged state, while UV aging significantly deteriorates the fatigue performance of asphalt materials; nevertheless, the 7% SBS-T-modified asphalt maintains exceptional fatigue resistance.
- (3)
- As the most severe service condition, long-term aging leads to dramatic fatigue life reduction for all asphalt types, yet the high-viscosity high-elasticity SBS-T-modified asphalt still demonstrates the most outstanding durability advantages.
4. Conclusions
This study conducted an in-depth investigation into the fatigue characteristics of high-viscosity high-elasticity SBS-T-modified asphalt. Utilizing test methods based on the S-VECD theoretical model, the research systematically analyzed the cumulative fatigue damage and fatigue life of this modified asphalt. The influence of environmental conditions (such as aging and loading frequency) on fatigue life was also examined, yielding the following key conclusions:
- (1)
- The high-viscosity high-elasticity SBS-T-modified asphalt demonstrates excellent viscoelastic properties across various temperatures and loading frequencies. Its dynamic modulus and phase angle exhibit greater stability with frequency variations, particularly showing enhanced viscoelastic performance under high-frequency and high-temperature conditions. Compared to 70# base asphalt and conventional SBS-modified asphalt, this material maintains superior viscoelasticity during long-term service, demonstrating better aging resistance and more stable performance.
- (2)
- Under identical strain conditions, the peak shear stress of SBS-T-modified asphalt is significantly higher than that of 70# base asphalt and SBS-modified asphalt at equivalent dosages, with a broader peak shear stress range. This indicates that SBS-T-modified asphalt possesses greater strength and enhanced resistance to shear deformation. After long-term aging, the peak stress of SBS-T-modified asphalt exceeds that of UV-aged samples, suggesting that long-term aging has a more pronounced effect on its strength and hardness than UV aging.
- (3)
- The superior pseudo-strain energy characteristics and maintained rigidity under various aging conditions confirm SBS-T’s exceptional durability. This suggests that infrastructure incorporating SBS-T-modified asphalt may require less frequent maintenance and have an extended service life, potentially offering better life cycle cost efficiency despite potentially higher initial costs.
- (4)
- The fatigue resistance of SBS-T-modified asphalt improves significantly with increasing SBS-T content, indicating that the SBS-T modifier effectively enhances the asphalt’s fatigue performance for extended service life under cyclic loading. However, fatigue life decreases noticeably with progressive aging, primarily due to increased hardness and brittleness during the aging process, which leads to material degradation and reduced fatigue strength.
- (5)
- Laboratory simulation was used to mimic the UV aging of asphalt during pavement service, with only one irradiation duration selected. In subsequent research, the UV aging protocol can be optimized to investigate the performance changes of warm-mix polymer-modified asphalt under different UV aging degrees.
Author Contributions
Conceptualization, H.Z. and F.G.; methodology, H.Z.; software, X.L.; formal analysis, F.G.; data curation, S.W.; writing—original draft preparation, H.Z.; writing—review and editing, J.Y.; visualization, S.W.; supervision, X.L. and J.Y. All authors have read and agreed to the published version of the manuscript.
Funding
This research was funded by the Science and Technology Program of Henan Housing and Urban-Rural Development: HNJS-2024-K28.
Institutional Review Board Statement
Not applicable.
Informed Consent Statement
Not applicable.
Data Availability Statement
The original contributions presented in this study are included in the article. Further inquiries can be directed to the corresponding author.
Conflicts of Interest
The authors declare no conflicts of interest.
References
- Yan, L.; Li, M.; Li, Q.; Li, H. Modified asphalt based on polyethylene with broad molecular weight distribution. Constr. Build. Mater. 2020, 260, 119707. [Google Scholar] [CrossRef]
- Li, H.; Han, Y.; Guangxun, E.; Sun, Y.; Wang, L.; Liu, X.; Ren, J.; Lin, Z. Recycling of waste polyethylene in asphalt and its performance enhancement methods: A critical literature review. J. Clean. Prod. 2024, 451, 142072. [Google Scholar] [CrossRef]
- Zheng, C.; Li, R.; Hu, M.; Zou, L. Determination of low-temperature crack control parameter of binding asphalt materials based on gray correlation analysis. Constr. Build. Mater. 2019, 217, 226–233. [Google Scholar] [CrossRef]
- Li, Y.; Hao, P.; Zhao, C.; Ling, J.; Wu, T.; Li, D.; Liu, J.; Sun, B. Anti-rutting performance evaluation of modified asphalt binders: A review. J. Traffic Transp. Eng. 2021, 8, 339–355. [Google Scholar] [CrossRef]
- Bai, Z.; Pei, Z.; Qiao, Y.; Cheng, P.; Guo, J.; Liu, Z.; Abdukadir, A.; Xiong, Y.; Yi, J. Study on the development and performance optimization of gussasphalt containing high percent of fine reclaimed asphalt pavement. Constr. Build. Mater. 2024, 420, 135557. [Google Scholar] [CrossRef]
- Luo, Y.; Zhang, Z.; Zhang, H.; Zhang, M.; Zhang, K.; Zhao, Y. Performance optimization of high viscosity modified asphalt with SBS composite modifier and comparison of different high viscosity modified asphalts. Int. J. Pavement Res. Technol. 2021, 15, 1386–1398. [Google Scholar] [CrossRef]
- Chen, L.; Zhang, Z.; Wang, Z.; Liu, H.; Zhang, D.; Sun, J. Using SBS Terpene-styrene Resin Blends as a Novel High-viscosity Asphalt Modifier. J. Appl. Polym. Sci. 2023, 140, e53355. [Google Scholar] [CrossRef]
- Hu, M.; Sun, G.; Sun, D.; Zhang, Y.; Ma, J.; Lu, T. Effect of thermal aging on high viscosity modified asphalt binder: Rheological property, chemical composition and phase morphology. Constr. Build. Mater. 2020, 241, 118023. [Google Scholar] [CrossRef]
- Zhu, J.; Zhang, K.; Liu, K.; Shi, X. Adhesion characteristics of graphene oxide modified asphalt unveiled by surface free energy and AFM-scanned micro-morphology. Constr. Build. Mater. 2020, 244, 118404. [Google Scholar] [CrossRef]
- Luo, H.; Zheng, C.; Yang, X.; Bao, C.; Liu, W.; Lin, Z. Development of technology to accelerate SBS-modified asphalts swelling in dry modification mode. Constr. Build. Mater. 2022, 314, 125703. [Google Scholar] [CrossRef]
- Luo, H.; Zheng, C.; Liu, B.; Bao, C.; Tian, B.; Liu, W. Study on SBS modifier of bio-oil/sulfur compound under dry modification mode. Constr. Build. Mater. 2022, 326, 127059. [Google Scholar] [CrossRef]
- Zhuang, Y.; Yer, J.; Men, B.; Tang, G.; Wang, R. Experimental Study on Mechanism, Aging and Fatigue Performance of Warm Mixing Speed Melting SBS Modified Asphalt Binders. Coatings 2023, 13, 311. [Google Scholar] [CrossRef]
- Yue, J.; Fu, J.; Wang, Y.; Ming, Y.; Tang, G.; Li, R. Effects of Complex Environmental Conditions on Fatigue Self-Healing Properties of Fast-Melting SBS-Modified Asphalt. Materials 2025, 18, 2157. [Google Scholar] [CrossRef] [PubMed]
- Feng, L.; Zhang, X.; Sha, T.; Wang, D.; Niu, B.; Wang, R.; Hou, X. A Rheological Study of the High-Temperature Properties of Fast-Melting SBS/Epoxy-Modified Asphalt Binders. Polymers 2025, 17, 581. [Google Scholar] [CrossRef] [PubMed]
- Li, R.; Wang, Y.; Zhu, W.; Chen, Y.; Yue, J. Research on the Rheological Performance of Fast-Melting SBS-Modified Asphalt under Complex Environmental Factors. Coatings 2024, 14, 1241. [Google Scholar] [CrossRef]
- Men, B.; Li, X.; Sha, T.; Guo, F.; Tang, G.; Yue, J. Research on Fatigue Performance of Fast-Melting SBS/Epoxy Resin Composite-Modified Asphalt. Coatings 2024, 14, 789. [Google Scholar] [CrossRef]
- Men, B.; Guo, F.; Kang, X.; Yue, J. Research on the Adhesion Properties of Fast-Melting SBS-Modified Asphalt–Aggregate Based on Surface Free Energy Theory. Materials 2023, 16, 7601. [Google Scholar] [CrossRef]
- Huo, W.; Zhuang, Y.; Wang, Z.; Kang, X.; Wang, R. The Microscopic Mechanism and Rheological Properties of SBS-Modified Asphalt with Warm Mixing Fast-Melting. Materials 2023, 16, 5690. [Google Scholar] [CrossRef] [PubMed]
- Zhou, Z.; Chen, G. Preparation, Performance, and modification mechanism of high viscosity modified asphalt. Constr. Build. Mater. 2021, 310, 125007. [Google Scholar] [CrossRef]
- Tan, Y.; Zhang, H.; Cao, D.; Xia, L.; Du, R.; Shi, Z.; Dong, R.; Wang, X. Study on cohesion and adhesion of high-viscosity modified asphalt. Int. J. Transp. Sci. Technol. 2019, 8, 394–402. [Google Scholar] [CrossRef]
- Zhang, F.; Hu, C. Preparation and properties of high viscosity modified asphalt. Polym. Compos. 2017, 38, 936–946. [Google Scholar] [CrossRef]
- Wang, H.; Huang, Y.; Jin, K.; Zhou, Z. Properties and mechanism of SBS/crumb rubber composite high viscosity modified asphalt. J. Clean. Prod. 2022, 378, 134534. [Google Scholar] [CrossRef]
- Zhang, L.; Hoff, I.; Zhang, X.; Liu, J.; Yang, C.; Wang, F. A Methodological Review on Development of Crack Healing Technologies of Asphalt Pavement. Sustainability 2023, 15, 9659. [Google Scholar] [CrossRef]
- Yang, S.; Park, H.; Baek, C. Fatigue Cracking Characteristics of Asphalt Pavement Structure under Aging and Moisture Damage. Sustainability 2023, 15, 4815. [Google Scholar] [CrossRef]
- Shi, C.; Cai, X.; Yi, X.; Wang, T.; Yang, J. Fatigue crack density of asphalt binders under controlled-stress rotational shear load testing. Constr. Build. Mater. 2021, 272, 121899. [Google Scholar] [CrossRef]
- Wang, C.; Chen, Y.; Song, L. Investigating the Crack Initiation and Propagation of Asphalt Binder in Linear Amplitude Sweep Test. J. Mater. Civ. Eng. 2020, 32, 04020362. [Google Scholar] [CrossRef]
- Zhang, Z.; Oeser, M. Energy dissipation and rheological property degradation of asphalt binder under repeated shearing with different oscillation amplitudes. Int. J. Fatigue 2021, 152, 106417. [Google Scholar] [CrossRef]
- Yan, Y.; Hernando, D.; Park, B.; Allen, C.; Roque, R. Understanding asphalt binder cracking characterization at intermediate temperatures: Review and evaluation of two approaches. Constr. Build. Mater. 2021, 312, 125163. [Google Scholar] [CrossRef]
- Jiao, L.; Elkashef, M.; Harvey, J.T.; Rahman, M.A.; Jones, D. Investigation of fatigue performance of asphalt mixtures and FAM mixes with high recycled asphalt material contents. Constr. Build. Mater. 2022, 314, 125607. [Google Scholar] [CrossRef]
- Zhang, H.; Li, H.; Guo, F.; Wang, S.; Yue, J. Research on the Adhesion Performance of Fast-Melting SBS-Modified Emulsified Asphalt–Aggregate Based on the Surface Free Energy Theory. Materials 2025, 18, 3523. [Google Scholar] [CrossRef]
- Schwarzl, F.R.; Staverman, A.J. Time-temperature dependence of linear viscoelastic behavior. J. Appl. Phys. 1952, 23, 838–843. [Google Scholar] [CrossRef]
- Findley, W.N.; Lai, J. A modified superposition principle applied to creep of nonlinear viscoelastic material under abrupt changes in state of combined stress. Trans. Soc. Rheol. 1967, 11, 361–380. [Google Scholar] [CrossRef]
- Wang, C.; Castorena, C.; Zhang, J.; Kim, Y.R. Unified failure criterion for asphalt binder under cyclic fatigue loading. Road Mater. Pavement Des. 2015, 16, 125–148. [Google Scholar] [CrossRef]
Disclaimer/Publisher’s Note: The statements, opinions and data contained in all publications are solely those of the individual author(s) and contributor(s) and not of MDPI and/or the editor(s). MDPI and/or the editor(s) disclaim responsibility for any injury to people or property resulting from any ideas, methods, instructions or products referred to in the content. |
© 2025 by the authors. Licensee MDPI, Basel, Switzerland. This article is an open access article distributed under the terms and conditions of the Creative Commons Attribution (CC BY) license (https://creativecommons.org/licenses/by/4.0/).