Assessment of the Wettability and Mechanical Properties of Stearic-Acid-Modified Hydrophobic Cementitious Materials
Abstract
1. Introduction
2. Materials and Methods
2.1. Materials
2.2. Experimental Design and Mix Proportions
2.2.1. STA–Ethanol-Modified Mortar
2.2.2. STA–Tuff-Powder-Modified Mortar
2.3. Contact Angle
2.4. Sorptivity
2.5. Compressive Strength
2.6. Microscopic Experiment
3. Results and Discussions
3.1. Wettability of STA–Ethanol-Modified Mortars
3.1.1. Contact Angle
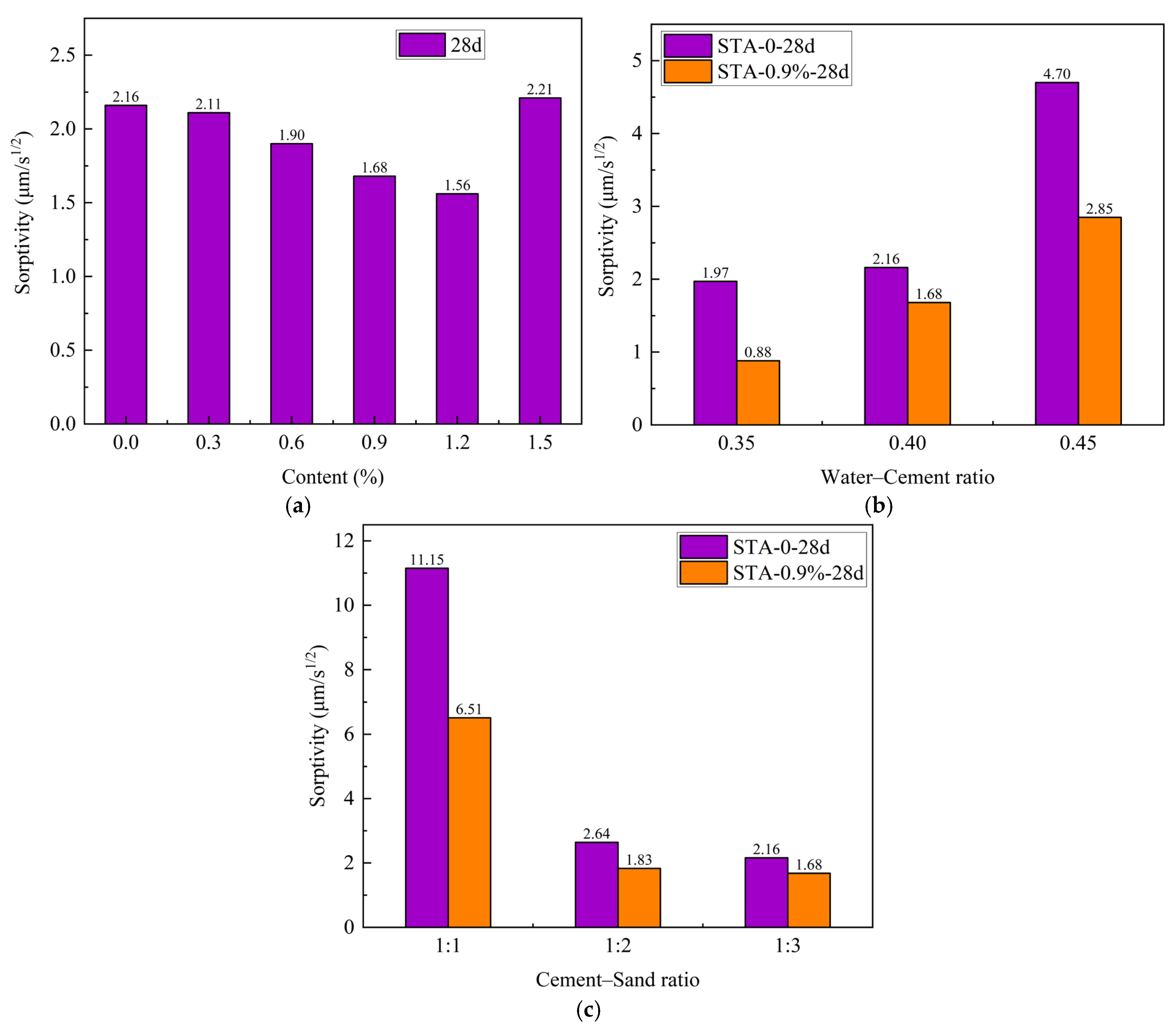
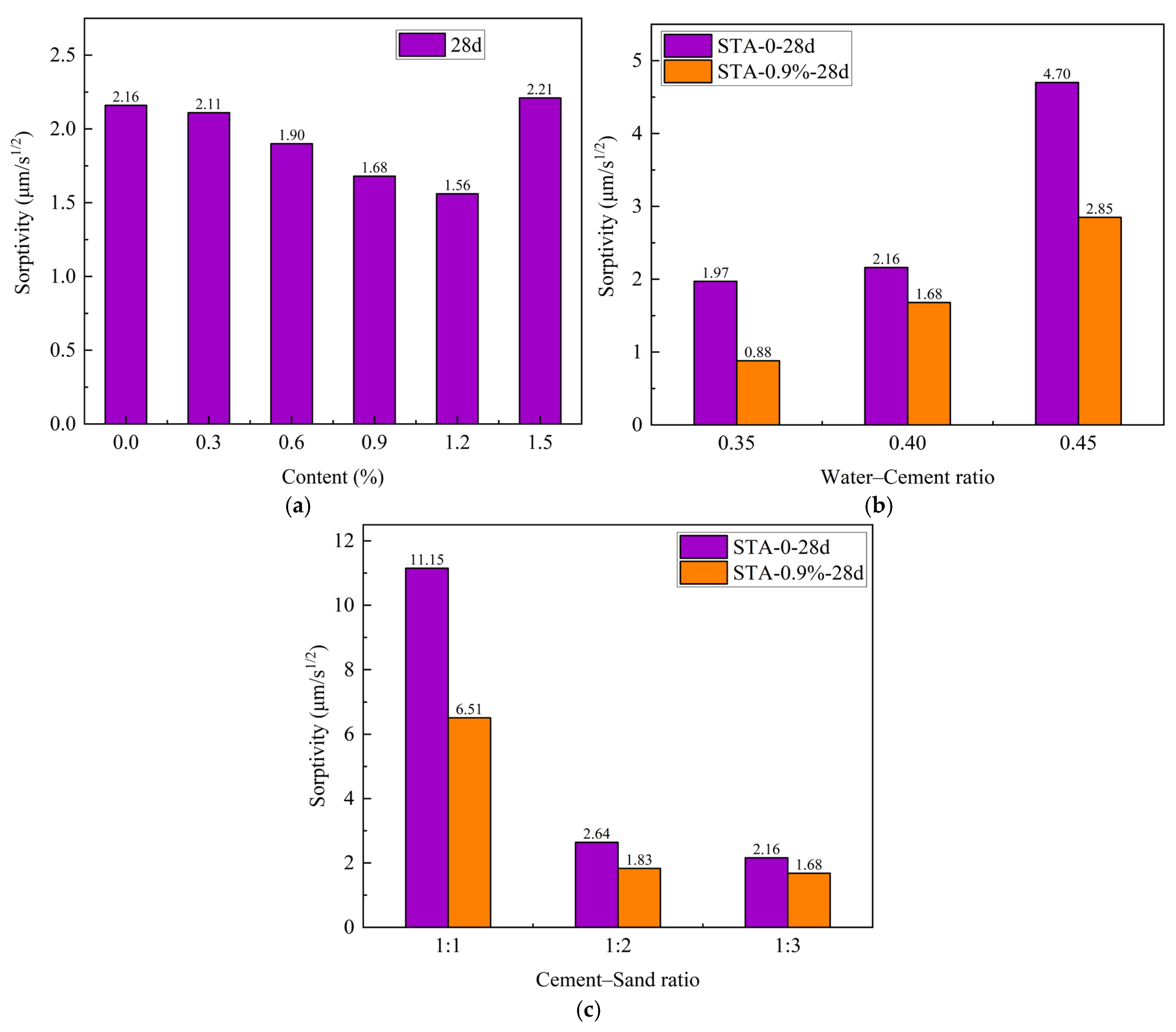
3.1.2. Sorptivity
3.2. Mechanical Properties of STA–Ethanol-Modified Mortars
3.3. Wettability of STA–Tuff-Powder-Modified Mortars
3.3.1. Contact Angle
3.3.2. Sorptivity
3.4. Mechanical Properties of STA–Tuff-Powder-Modified Mortars
3.5. SEM
3.6. XRD
3.7. FTIR
3.8. Role Efficiency Analysis Based on Gray Correlation
4. Conclusions
- (1)
- The XRD analysis results indicate that the incorporation of STA into cementitious materials did not affect the types of hydration products formed. The FTIR analysis confirmed that the STA could successfully graft onto the mortar, and physical grinding was able to coat the tuff powder with STA. The SEM test results demonstrated that the STA influenced the cement hydration process to a certain extent.
- (2)
- The STA formed a hydrophobic film on the surface of the cement paste, which reduced the surface energy of the mortar, increased the contact angle, and enhanced the impermeability of the mortar. In the STA–ethanol-modified mortar, the contact angle initially increased and then decreased with the rise in the STA content. For a constant STA content, the contact angle increased as the w/c ratio decreased while it decreased with an increased c/s ratio. In the condition of a w/c ratio of 0.4, the STA addition of 0.9% by cement weight, and the c/s ratio of 1:1, the sorptivity of the mortar decreased by approximately 41.6% compared with the control group, which represented the highest value in this method’s experimental group. This indicates that the c/s ratio had a significant impact on the efficiency of STA’s effect.
- (3)
- Replacing cement with TP, due to the low pozzolanic activity of TP, resulted in a reduction of the cementitious material, which failed to fully encapsulate the TP, which caused an increase in the sorptivity. Directly adding TP, however, reduced the porosity of the mortar due to its micro-aggregate effect, which led to a decrease in the sorptivity. With a w/c ratio of 0.4, the lowest sorptivity achieved with MTP still exceeded that of the control group. At a w/c ratio of 0.5, directly adding MTP at 30% of the cement mass resulted in the greatest reduction in sorptivity, where it reached 42.8%, a consequence of the combined effects of the STA and TP, both of which exerted positive influences.
- (4)
- The STA adversely affected the compressive strength of the mortar. When using the STA–ethanol solution, each 0.3 wt% increase in the STA resulted in a 10–30% reduction in the compressive strength of the mortar. However, when the MTP was used to replace the cement, the micro-aggregate effect and mild pozzolanic activity of the TP partially mitigated the negative impact of the STA on the strength. When the MTP was directly added to the mortar, its compressive strength increased compared with the control group.
- (5)
- Based on the grey relational analysis, the STA–ethanol solution could better enhance the impermeability of the mortar. When the w/c ratio was set to 0.5, the negative impact on the compressive strength of the mortar was the greatest when the MTP was used to replace the cement.
- (6)
- Due to limitations in my knowledge and other objective conditions, this paper still contains numerous areas that require further exploration: Durability tests, such as those examining frost resistance and resistance to chloride ion penetration, can be conducted to deepen the study of the effects of STA on the durability of cement-based materials. This would aid in summarizing the patterns and mechanisms by which STA influences the durability of such materials. Additionally, the impact of STA–ethanol solutions and MTP on cement hydration can be further analyzed through techniques such as heat of hydration analysis.
Author Contributions
Funding
Institutional Review Board Statement
Informed Consent Statement
Data Availability Statement
Conflicts of Interest
References
- Xiao, T.; Niankun, Z. Durability Prediction Method of Concrete Soil Based on Deep Belief Network. Adv. Civ. Eng. 2022, 2022, 4338306. [Google Scholar]
- Zhang, F.; Hu, Z.; Wei, F.; Wen, X.; Li, X.; Dai, L.; Liu, L. Study on concrete deterioration in different NaCl-Na2SO4 solutions and the mechanism of Cl− diffusion. Materials 2021, 14, 50–54. [Google Scholar] [CrossRef] [PubMed]
- Crespi, P.; Zucca, M.; Valente, M.; Longarini, N. Influence of corrosion effects on the seismic capacity of existing RC bridges. Eng. Fail. Anal. 2022, 140, 106546. [Google Scholar] [CrossRef]
- Al-Zu’bi, M.; Fan, M.; Al Rjoub, Y.; Ashteyat, A.; Al-Kheetan, M.J.; Anguilano, L. The effect of length and inclination of carbon fiber reinforced polymer laminates on shear capacity of near-surface mounted retrofitted reinforced concrete beams. Struct. Concr. 2021, 22, 3677–3691. [Google Scholar] [CrossRef]
- Papadakis, G.V. Effect of supplementary cementing materials on concrete resistance against carbonation and chloride ingress. Cem. Concr. Res. 2000, 30, 291–299. [Google Scholar] [CrossRef]
- Muzenski, S.; Flores-Vivian, I.; Sobolev, K. Hydrophobic engineered cementitious composites for highway applications. Cem. Concr. Compos. 2015, 57, 68–74. [Google Scholar] [CrossRef]
- Gao, Y.; Qu, L.; He, B.; Dai, K.; Fang, Z.; Zhu, R. Study on effectiveness of anti-icing and deicing performance of super-hydrophobic asphalt concrete. Constr. Build. Mater. 2018, 191, 270–280. [Google Scholar] [CrossRef]
- Husni, H.; Nazari, M.R.; Yee, H.M.; Rohim, R.; Yusuff, A.; Ariff, M.A.M.; Ahmad, N.N.R.; Leo, C.P.; Junaidi, M.U.M. Superhydrophobic rice husk ash coating on concrete. Constr. Build. Mater. 2017, 144, 385–391. [Google Scholar] [CrossRef]
- Li, G.; Yang, B.; Guo, C.; Du, J.; Wu, X. Time dependence and service life prediction of chloride resistance of concrete coatings. Constr. Build. Mater. 2015, 83, 19–25. [Google Scholar] [CrossRef]
- Mora, E.; González, G.; Romero, P.; Castellón, E. Control of water absorption in concrete materials by modification with hybrid hydrophobic silica particles. Constr. Build. Mater. 2019, 221, 210–218. [Google Scholar] [CrossRef]
- Li, K.; Wang, Y.; Zhang, X.; Wu, J.; Wang, X.; Zhang, A. Intrinsically hydrophobic magnesium oxychloride cement foam for thermal insulation material. Constr. Build. Mater. 2021, 288, 123–129. [Google Scholar] [CrossRef]
- Kumar, S.; Kumar, R.; Bandopadhyay, A. Innovative methodologies for the utilization of wastes from metallurgical and allied industries. Resour. Conserv. Recycl. 2006, 48, 301–314. [Google Scholar] [CrossRef]
- Wang, Z.; Han, Z.L.; Li, H.J.; Huang, F.L.; Yi, Z.L. Study on Performance of Manufactured Sand Concrete for Prestressed Structures in Railway Engineering. Railw. Eng. 2019, 59, 11–16. [Google Scholar]
- He, H.; Wang, Y.; Wang, J. Compactness and hardened properties of machine-made sand mortar with aggregate micro fines. Constr. Build. Mater. 2020, 250, 118828. [Google Scholar] [CrossRef]
- Hao, T.; Tian, W.Q.; Cao, L.Q. Large amount of waste granite stone powder on the mechanical properties of mortar. Concrete 2021, 3, 103–106+111. [Google Scholar]
- Zerbo, L.; Sawadogo, M.; Sawadogo, Y.; Salogo, S.; Ouedrago, M.; Seynou, M.; Lecomte-Nana, G.; Blanchart, P. Usability of a Natural Tuff as Admixture in Clinker and Its Influence on the Physico-Chemical and Mechanical Properties of Mortar. J. Miner. Mater. Charact. Eng. 2021, 9, 480–498. [Google Scholar]
- Liu, S.; Fang, P.; Wang, H.; Kong, Y.; Ouyang, L. Effect of tuff powder on the hydration properties of composite cementitious materials. Powder Technol. 2021, 380, 59–66. [Google Scholar] [CrossRef]
- Wong, H.S.; Barakat, R.; Alhilali, A.; Saleh, M.; Cheeseman, C.R. Hydrophobic concrete using waste paper sludge ash. Cem. Concr. Res. 2015, 70, 9–20. [Google Scholar] [CrossRef]
- Qu, Z.; Yu, Q. Synthesizing super-hydrophobic ground granulated blast furnace slag to enhance the transport property of lightweight aggregate concrete. Constr. Build. Mater. 2018, 191, 176–186. [Google Scholar] [CrossRef]
- Karthick, S.; Park, D.J.; Lee, Y.S.; Saraswathy, V.; Lee, H.S.; Jang, H.O.; Choi, H.J. Development of water-repellent cement mortar using silane enriched with nanomaterials. Prog. Org. Coat. 2018, 125, 48–60. [Google Scholar] [CrossRef]
- Tittarelli, F.; Moriconi, G. Comparison between surface and bulk hydrophobic treatment against corrosion of galvanized reinforcing steel in concrete. Cem. Concr. Res. 2011, 41, 609–614. [Google Scholar] [CrossRef]
- Albayrak, A.T.; Yasar, M.; Gurkaynak, M.A.; Gurgey, I. Investigation of the effects of fatty acids on the compressive strength of the concrete and the grindability of the cement. Cem. Concr. Res. 2005, 35, 400–404. [Google Scholar] [CrossRef]
- Kobayashi, K.; Kojima, Y. Effect of fine crack width and water cement ratio of SHCC on chloride ingress and rebar corrosion. Cem. Concr. Compos. 2017, 80, 235–244. [Google Scholar] [CrossRef]
- Pane, I.; Hansen, W. Investigation of blended cement hydration by isothermal calorimetry and thermal analysis. Cem. Concr. Res. 2005, 35, 1155–1164. [Google Scholar] [CrossRef]
- Lei, L.; Wang, Q.; Xu, S.; Wang, N.; Zheng, X. Fabrication of superhydrophobic concrete used in marine environment with anti-corrosion and stable mechanical properties. Constr. Build. Mater. 2020, 251, 118946. [Google Scholar] [CrossRef]
- Huhtamäki, T.; Tian, X.; Korhonen, J.T.; Ras, R.H. Surface-wetting characterization using contact-angle measurements. Nat. Protoc. 2018, 13, 1521–1538. [Google Scholar] [CrossRef]
- Feng, Z.; Wang, F.; Xie, T.; Ou, J.; Xue, M.; Li, W. Integral hydrophobic concrete without using silane. Constr. Build. Mater. 2019, 227, 116678. [Google Scholar] [CrossRef]
- Wang, F.; Zhang, M.; Lei, S.; Ou, J.; Li, W. Rapid preparation of superhydrophobic surface on cement stone. Appl. Phys. A 2019, 125, 386. [Google Scholar] [CrossRef]
- Chen, Y.; Li, Z.; Wu, K. Influence of binder-sand ratio on fiber-reinforced cementitious composites performance. Concrete 2018, 2020, 68–70+74. [Google Scholar]
- Li, P.P.; Xiong, J.B.; Fan, Z.H. Influence of Stone Dust Content in Manufactured Sand on Properties of Concrete with Volcanic Ash Incorpoated. J. Mater. Sci. Eng. 2019, 37, 828–832. [Google Scholar]
- Chen, B.; Wang, J.L.; Yang, Y.H.; Zhou, M.K. Effects of Stone-dust on Resistance to Chlorine Ion Permeating and Volume Stability of C80 Manufactured-sand Concrete. J. Wuhan Univ. Technol. 2007, 8, 41–43. [Google Scholar]
- Wang, N.; Wang, Q.; Xu, S.; Zheng, X.; Zhang, M. Facile fabrication of amphiphobic surfaces on copper substrates with a mixed modified solution. RSC Adv. 2019, 9, 17366–17372. [Google Scholar] [CrossRef] [PubMed]
- Tian, H.; Qiao, H.; Feng, Q.; Han, W. Effect of Stone Powder Substitution Rate on the Performance and Microstructure of Mechanism Sand Polymer-bonded Mortar. Mater. Rep. 2024, 38, 138–144. [Google Scholar]
- Aissa, H.Y.; Goual, I.; Benabed, B. Mix-design and properties of self-compacting concrete made with calcareous tuff. J. Build. Eng. 2020, 27, 100997. [Google Scholar] [CrossRef]
- Lagazzo, A.; Vicini, S.; Cattaneo, C.; Botter, R. Effect of fatty acid soap on microstructure of lime-cement mortar. Constr. Build. Mater. 2016, 116, 384–390. [Google Scholar] [CrossRef]
- Wang, X.; Hou, X.; Gan, L.; Wang, Y.; Bian, Q.; Zhang, J. Pozzolanic Reactivity and Hydration Properties Assessment of Tuff Powder in Composite Cementitious Materials. Mater. Rep. 2022, 36, 147–154. [Google Scholar]
- Falchi, L.; Müller, U.; Fontana, P.; Izzo, F.C.; Zendri, E. Influence and effectiveness of water-repellent admixtures on pozzolana–lime mortars for restoration application. Constr. Build. Mater. 2013, 49, 272–280. [Google Scholar] [CrossRef]
- Falchi, L.; Zendri, E.; Müller, U.; Fontana, P. The influence of water-repellent admixtures on the behaviour and the effectiveness of Portland limestone cement mortars. Cem. Concr. Compos. 2015, 59, 107–118. [Google Scholar] [CrossRef]
- Lu, Y.; Miller, J.D. Carboxyl stretching vibrations of spontaneously adsorbed and LB-transferred calcium carboxylates as determined by FTIR internal reflection spectroscopy. J. Colloid Interface Sci. 2002, 256, 41–52. [Google Scholar] [CrossRef]
- Spathi, C.; Young, N.; Heng, J.Y.; Vandeperre, L.J.; Cheeseman, C.R. A simple method for preparing super-hydrophobic powder from paper sludge ash. Mater. Lett. 2015, 142, 80–83. [Google Scholar] [CrossRef]
- Qu, Z.Y.; Alam, Q.; Gauvin, F.; Dezaire, T.; Brouwers, H.J.H.; Wang, F.Z. Development of water-resisting mortar by incorporation of functionalized waste incineration ashes. J. Clean. Prod. 2020, 249, 119341. [Google Scholar] [CrossRef]
- Li, Q.; Yang, K.; Yang, C. An alternative admixture to reduce sorptivity of alkali-activated slag cement by optimising pore structure and introducing hydrophobic film. Cem. Concr. Compos. 2019, 95, 183–192. [Google Scholar] [CrossRef]
- Lu, B.; Shi, C.; Zhang, J.; Wang, J. Effects of carbonated hardened cement paste powder on hydration and microstructure of Portland cement. Constr. Build. Mater. 2018, 186, 699–708. [Google Scholar] [CrossRef]

















| Density (g/cm3) | Cement Standard Consistency (%) | Soundness | Initial Setting Time (min) | Final Setting Time (min) | Flexural Strength (MPa) | Compressive Strength (MPa) |
|---|---|---|---|---|---|---|
| 3.06 | 28.4 | Qualified | 206 | 284 | 5.4 | 22.3 |
| Type | Apparent Density (g/cm3) | Angularity (s) | Crushing Value (%) | MB Value (g/kg) | Sand Equivalent (%) | Saturated Surface Dry Water Absorption (%) |
|---|---|---|---|---|---|---|
| Tuff manufactured sand | 2.82 | 26.92 | 6.4 | 1.4 | 71 | 2.06 |
| Chemical Composition | Cement (%) | TP (%) |
|---|---|---|
| SiO2 | 21.20 | 39.71 |
| TiO2 | 1.28 | 0.86 |
| Al2O3 | 4.85 | 14.24 |
| Fe2O3 | 2.57 | 9.78 |
| MnO | 0.05 | 0.18 |
| MgO | 3.00 | 6.95 |
| CaO | 54.92 | 11.39 |
| Na2O | 0.11 | 1.55 |
| K2O | 0.42 | 1.64 |
| P2O5 | 0.05 | 0.23 |
| LOI | 3.94 | 13.64 |
| Total | 92.39 | 100.17 |
| Serial Number | Sample | w/c Ratio | c/s Ratio | Water | Cement | Tuff Manufactured Sand | Anhydrous Ethanol | STA |
|---|---|---|---|---|---|---|---|---|
| 1 | S-0 | 0.40 | 1:3 | 263.6 | 658.9 | 1976.7 | 0 | 0 |
| 2 | S-0.3 | 0.40 | 1:3 | 263.6 | 658.9 | 1976.7 | 32.8 | 1.98 |
| 3 | S-0.6 | 65.6 | 3.95 | |||||
| 4 | S-0.9 | 98.4 | 5.93 | |||||
| 5 | S-1.2 | 131.3 | 7.91 | |||||
| 6 | S-1.5 | 164.1 | 9.88 | |||||
| 7 | W0.35-0.9 | 0.35 | 1:3 | 233.2 | 666.5 | 1999.5 | 99.6 | 6.00 |
| 8 | W-0.35 | 0 | 0 | |||||
| 9 | W0.45-0.9 | 0.45 | 1:3 | 293.2 | 651.5 | 1954.5 | 97.3 | 5.86 |
| 10 | W-0.45 | 0 | 0 | |||||
| 11 | C11-0.9 | 0.40 | 1:1 | 483.2 | 1208.0 | 1208.0 | 141.7 | 8.54 |
| 12 | C-11 | 0 | 0 | |||||
| 13 | C12-0.9 | 0.40 | 1:2 | 341.0 | 852.7 | 1705.5 | 127.4 | 7.67 |
| 14 | C-12 | 0 | 0 |
| Sample | w/c Ratio | Cement | STA |
|---|---|---|---|
| P-0 | 0.40 | 100 | 0 |
| P-0.3 | 0.40 | 100 | 0.3 |
| P-0.9 | 0.40 | 100 | 0.9 |
| P-1.5 | 0.40 | 100 | 1.5 |
| P-W0.35 | 0.35 | 100 | 0.9 |
| Cement | TP | MTP | |
|---|---|---|---|
| Average | 25.63 | 56.40 | 7.15 |
| Median | 14.73 | 51.84 | 5.06 |
| Mode | 12.40 | 72.94 | 7.78 |
| D < 10% | 2.81 | 7.91 | 1.36 |
| D < 25% | 6.28 | 22.00 | 2.41 |
| D < 50% | 14.73 | 51.84 | 5.06 |
| D < 75% | 34.50 | 81.53 | 9.51 |
| D < 90% | 62.47 | 112.40 | 14.88 |
| Serial Number | Sample | w/c Ratio | c/s Ratio | Water | Cement | TP | MTP | MS |
|---|---|---|---|---|---|---|---|---|
| 1 | MS-0 | 0.4 | 1:3 | 263.6 | 659.1 | 0 | 0 | 1977.2 |
| 2 | M-10 | 0.4 | 1:3 | 263.6 | 593.2 | 0 | 65.9 | 1977.2 |
| 3 | M-20 | 527.2 | 0 | 131.9 | ||||
| 4 | M-30 | 461.4 | 0 | 197.7 | ||||
| 5 | U-10 | 593.2 | 65.9 | 0 | ||||
| 6 | U-20 | 527.2 | 131.9 | 0 | ||||
| 7 | U-30 | 461.4 | 197.7 | 0 | ||||
| 8 | MS-0 | 0.5 | 1:3 | 322.1 | 644.3 | 0 | 0 | 1932.8 |
| 9 | M-10 | 0.5 | 1:3 | 322.1 | 579.9 | 0 | 64.4 | 1932.8 |
| 10 | M-20 | 515.4 | 0 | 128.9 | ||||
| 11 | M-30 | 451.0 | 0 | 193.3 | ||||
| 12 | U-10 | 579.9 | 64.4 | 0 | ||||
| 13 | U-20 | 515.4 | 128.9 | 0 | ||||
| 14 | U-30 | 451.0 | 193.3 | 0 | ||||
| 15 | AM-10 | 0.5 | 1:3 | 322.1 | 644.3 | 0 | 64.4 | 1932.8 |
| 16 | AM-20 | 0 | 128.9 | |||||
| 17 | AM-30 | 0 | 193.3 | |||||
| 18 | AU-10 | 64.4 | 0 | |||||
| 19 | AU-20 | 128.9 | 0 | |||||
| 20 | AU-30 | 193.3 | 0 |
| STA Content (%) | 0.4-STA–Ethanol | 0.4-MTP Replacement | ||
|---|---|---|---|---|
| Sorptivity (μm/s1/2) | Compressive Strength (MPa) | Sorptivity (μm/s1/2) | Compressive Strength (MPa) | |
| 0 | 2.16 | 49.0 | 2.16 | 49.0 |
| 0.3 | 2.11 | 33.7 | 2.59 | 51.2 |
| 0.6 | 1.90 | 25.8 | 2.68 | 55.6 |
| 0.9 | 1.68 | 18.9 | 2.73 | 42.7 |
| MTP Replacement Rate (%) | Sorptivity (μm/s1/2) | Compressive Strength (MPa) | MTP Addition Rate (%) | Sorptivity (μm/s1/2) | Compressive Strength (MPa) |
|---|---|---|---|---|---|
| 0 | 6.87 | 36.8 | 0 | 6.87 | 36.8 |
| 10 | 5.74 | 25.9 | 10 | 5.60 | 37.9 |
| 20 | 5.32 | 21.2 | 20 | 4.57 | 41.7 |
| 30 | 5.05 | 16.8 | 30 | 3.93 | 39.4 |
| Sample | Sorptivity | Compressive Strength |
|---|---|---|
| 0.4-STA–ethanol | 0.999 | 0.938 |
| 0.4-MTP replacement | 0.999 | 0.911 |
| 0.5-MTP replacement | 0.985 | 0.983 |
| 0.5-MTP addition | 0.985 | 0.976 |
Disclaimer/Publisher’s Note: The statements, opinions and data contained in all publications are solely those of the individual author(s) and contributor(s) and not of MDPI and/or the editor(s). MDPI and/or the editor(s) disclaim responsibility for any injury to people or property resulting from any ideas, methods, instructions or products referred to in the content. |
© 2025 by the authors. Licensee MDPI, Basel, Switzerland. This article is an open access article distributed under the terms and conditions of the Creative Commons Attribution (CC BY) license (https://creativecommons.org/licenses/by/4.0/).
Share and Cite
Wang, X.; Zhang, W.; Wang, Y.; Wu, H.; Danzeng, D.; Meng, Y. Assessment of the Wettability and Mechanical Properties of Stearic-Acid-Modified Hydrophobic Cementitious Materials. Coatings 2025, 15, 100. https://doi.org/10.3390/coatings15010100
Wang X, Zhang W, Wang Y, Wu H, Danzeng D, Meng Y. Assessment of the Wettability and Mechanical Properties of Stearic-Acid-Modified Hydrophobic Cementitious Materials. Coatings. 2025; 15(1):100. https://doi.org/10.3390/coatings15010100
Chicago/Turabian StyleWang, Xuhao, Wenxiao Zhang, Yuan Wang, Hongke Wu, Dunzhu Danzeng, and Yahong Meng. 2025. "Assessment of the Wettability and Mechanical Properties of Stearic-Acid-Modified Hydrophobic Cementitious Materials" Coatings 15, no. 1: 100. https://doi.org/10.3390/coatings15010100
APA StyleWang, X., Zhang, W., Wang, Y., Wu, H., Danzeng, D., & Meng, Y. (2025). Assessment of the Wettability and Mechanical Properties of Stearic-Acid-Modified Hydrophobic Cementitious Materials. Coatings, 15(1), 100. https://doi.org/10.3390/coatings15010100
