Current Advances in Flame-Retardant Performance of Tunnel Intumescent Fireproof Coatings: A Review
Abstract
1. Introduction
2. Flame-Retardant Mechanism of Intumescent Coating
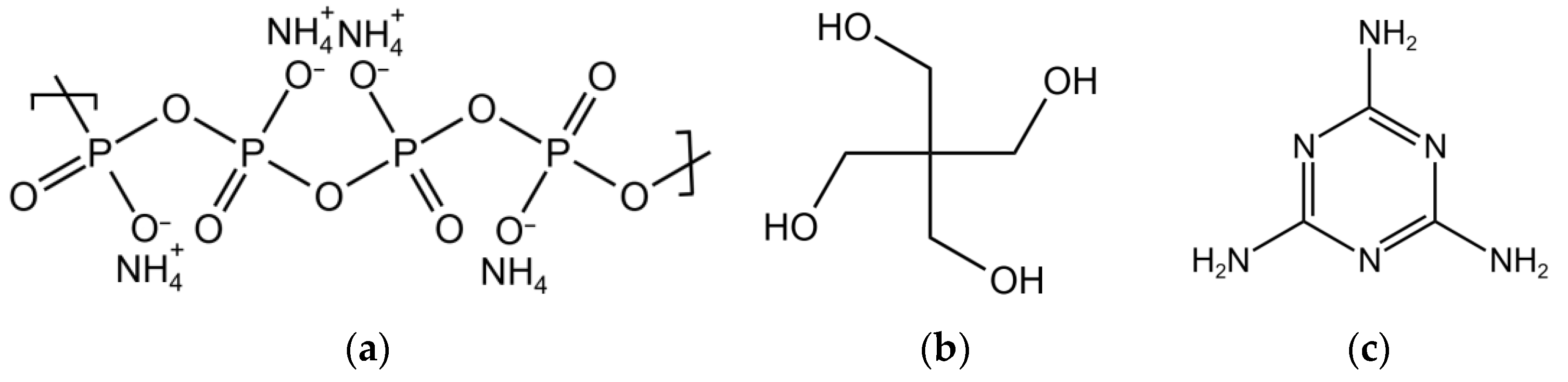
2.1. Condensed-Phase Flame-Retardant Mechanism
- At lower temperatures, the dehydrating agent decomposes to generate inorganic acids (such as phosphoric acid or polyphosphoric acid), which subsequently undergo esterification reactions with polyols.
- When the temperature exceeds that at which the dehydrating agent decomposes to produce inorganic acids, amines within the system catalyze and promote esterification reactions between inorganic acids and polyols.
- Simultaneously with esterification reactions, foaming agents thermally decompose to produce non-flammable gases, primarily NO and NH3. These non-flammable gases cause expansion and foaming of the molten system as they escape. Additionally, esters formed from reactions between inorganic acids and polyols dehydrate into carbon, further contributing to expansion and foaming.
- After a period of esterification reaction has elapsed, the flame-retardant system begins to solidify, forming a porous foam-like carbon layer covering the substrate surface that effectively isolates oxygen and high temperatures for achieving flame retardancy.
2.2. Gas-Phase Flame-Retardant Mechanism
3. Composition and Performance of Intumescent Coatings
3.1. Binder
3.2. Intumescent Flame-Retardant System
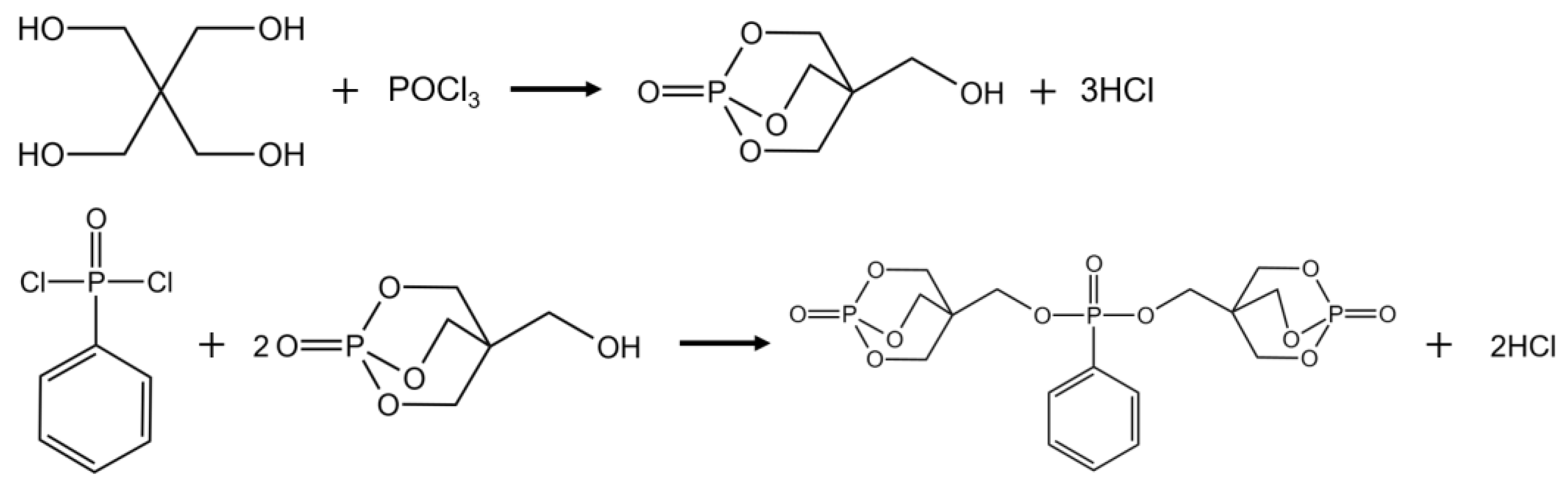
3.2.1. Dehydrating Agent
3.2.2. Carbonizing Agent
3.2.3. Blowing Agent
3.3. Fireproof Filler
3.3.1. Kaolinite
3.3.2. Titanium Dioxide (TiO2)
3.3.3. Expansible Graphite (EG)
3.3.4. Carbon Nanotube (CNT)
3.3.5. Other Flame Retardants
3.3.6. Environmentally Friendly Fillers
3.4. Performance of Intumescent Coating
4. Application of Intumescent Fireproof Coating in Tunnel Fires
4.1. Characteristics of Tunnel Fires
- Suddenness: Tunnel fires occur suddenly, propagate rapidly, and are challenging to contain. They are primarily triggered by vehicle malfunctions, leading to short circuits or traffic accidents within the tunnel.
- Evacuation difficulty: The traffic congestion is severe, making it difficult to clear the roads in a timely manner and ensure the normal operation of traffic. The tunnels are narrow and the road surface is narrow, and there is a large flow of vehicles. In case of a fire, it is difficult to evacuate vehicles in time, which can easily cause congestion. In addition, there are more fuels and combustible materials on vehicles, which can cause the fire to spread rapidly, further complicating the evacuation efforts.
- Poor ventilation: The intense fire in the tunnel generated thick smoke, hindering extinguishment, as shown in Figure 12. In just 10 min, the temperature could soar to 1000 °C, accompanied by high levels of smoke and toxic gases. Limited space and poor ventilation made it challenging to clear the smoke promptly, delaying firefighting and rescue efforts and posing risks to passengers, firefighters, and rescue personnel.
- Rescue difficulty: The rescue operation and evacuation are challenging due to the limited entrances and exits in the tunnel, narrow space, and closed environment. Inhalation of fire gases, smoke, and toxic gases can lead to suffocation, making them the primary cause of about 80% of fire-related deaths [137,138,139].
4.2. Temperature Distribution in a Fire Scene
4.3. Application of Intumescent Fireproof Paint
5. Conclusions
Funding
Conflicts of Interest
References
- Velencoso, M.M.; Battig, A.; Markwart, J.C.; Schartel, B.; Wurm, F.R. Molecular Firefighting-How Modern Phosphorus Chemistry Can Help Solve the Challenge of Flame Retardancy. Angew. Chem. Int. Ed. 2018, 57, 10450–10467. [Google Scholar] [CrossRef] [PubMed]
- Yew, M.C.; Sulong, N.H.R.; Yew, M.K.; Amalina, M.A.; Johan, M.R. Fire Propagation Performance of Intumescent Fire Protective Coatings Using Eggshells as a Novel Biofiller. Sci. World J. 2014, 2014, 805094. [Google Scholar] [CrossRef] [PubMed]
- Zielecka, M.; Rabajczyk, A.; Cyganczuk, K.; Pastuszka, L.; Jurecki, L. Silicone Resin-Based Intumescent Paints. Materials 2020, 13, 18. [Google Scholar] [CrossRef]
- Zhao, W.J.; Kundu, C.K.; Li, Z.W.; Li, X.H.; Zhang, Z.J. Flame retardant treatments for polypropylene: Strategies and recent advances. Compos. Part A Appl. Sci. Manuf. 2021, 145, 26. [Google Scholar] [CrossRef]
- Xu, B.; Shao, L.S.; Wang, J.Y.; Liu, Y.T.; Qian, L.J. Enhancement of the intumescent flame retardant efficiency in polypropylene by synergistic charring effect of a hypophosphite/cyclotetrasiloxane bi-group compound. Polym. Degrad. Stab. 2020, 181, 14. [Google Scholar] [CrossRef]
- Lu, W.M.; Ye, J.W.; Zhu, L.H.; Jin, Z.F.; Matsumoto, Y. Intumescent Flame Retardant Mechanism of Lignosulfonate as a Char Forming Agent in Rigid Polyurethane Foam. Polymers 2021, 13, 13. [Google Scholar] [CrossRef]
- Pestereva, L.; Shakirov, N.; Shakirova, O. Intumescent Type Fire Retardant Epoxy Coating. Mater. Sci. Forum 2020, 992, 605–609. [Google Scholar] [CrossRef]
- Li, Y.; Cao, C.F.; Chen, Z.Y.; Liu, S.C.; Bae, J.; Tang, L.C. Waterborne Intumescent Fire-Retardant Polymer Composite Coatings: A Review. Polymers 2024, 16, 26. [Google Scholar] [CrossRef] [PubMed]
- Huang, Y.B.; Li, Y.F.; Li, J.M.; Li, J.X.; Wu, K.; Zhu, K.; Li, H.H. Experimental investigation on maximum gas temperature beneath the ceiling in a branched tunnel fire. Int. J. Therm. Sci. 2019, 145, 9. [Google Scholar] [CrossRef]
- Lei, P.; Chen, C.K.; Zhang, Y.L.; Xu, T.; Sun, H.K. Experimental study on temperature profile in a branched tunnel fire under natural ventilation considering different fire locations. Int. J. Therm. Sci. 2021, 159, 8. [Google Scholar] [CrossRef]
- Cong, H.Y.; Bi, M.S.; Bi, Y.B.; Li, Y.C.; Jiang, H.P.; Gao, W. Experimental studies on the smoke extraction and smoke control performance by the ventilation shaft in extra-long road tunnels. Int. J. Therm. Sci. 2021, 160, 12. [Google Scholar] [CrossRef]
- Qiu, J.L.; Yang, T.; Wang, X.L.; Wang, L.X.; Zhang, G.L. Review of the flame retardancy on highway tunnel asphalt pavement. Constr. Build. Mater. 2019, 195, 468–482. [Google Scholar] [CrossRef]
- Qiao, R.J.; Shao, Z.S.; Yuan, Y.; Zhou, H.; Guo, Y.B. An analysis model for the temperature and residual stress of tunnel liner exposed to fire. Arch. Civ. Mech. Eng. 2021, 21, 11. [Google Scholar] [CrossRef]
- Wang, L.L.; Wang, Y.C.; Yuan, J.F.; Li, G.Q. Thermal conductivity of intumescent coating char after accelerated aging. Fire Mater. 2013, 37, 440–456. [Google Scholar] [CrossRef]
- Bourbigot, S.; Le Bras, M.; Duquesne, S.; Rochery, M. Recent Advances for Intumescent Polymers. Macromol. Mater. Eng. 2004, 289, 499–511. [Google Scholar] [CrossRef]
- Lin, W.L.; Yuan, Y.; Xu, L.L.; Wang, W. Recent Progress in Two-Dimensional Nanomaterials for Flame Retardance and Fire-Warning Applications. Molecules 2024, 29, 17. [Google Scholar] [CrossRef] [PubMed]
- Li, F.F. Comprehensive Review of Recent Research Advances on Flame-Retardant Coatings for Building Materials: Chemical Ingredients, Micromorphology, and Processing Techniques. Molecules 2023, 28, 20. [Google Scholar] [CrossRef] [PubMed]
- Albert, C.M.; Liew, K.C. Recent development and challenges in enhancing fire performance on wood and wood-based composites: A 10-year review from 2012 to 2021. J. Bioresour. Bioprod. 2024, 9, 27–42. [Google Scholar] [CrossRef]
- Wang, J.Q.; Chow, W.K. A brief review on fire retardants for polymeric foams. J. Appl. Polym. Sci. 2005, 97, 366–376. [Google Scholar] [CrossRef]
- Jiang, Y.P.; Yang, H.Y.; Lin, X.; Xiang, S.M.; Feng, X.M.; Wan, C.J. Surface Flame-Retardant Systems of Rigid Polyurethane Foams: An Overview. Materials 2023, 16, 24. [Google Scholar] [CrossRef] [PubMed]
- Levinta, N.; Vuluga, Z.; Teodorescu, M.; Corobea, M.C. Halogen-free flame retardants for application in thermoplastics based on condensation polymers. SN Appl. Sci. 2019, 1, 19. [Google Scholar] [CrossRef]
- Lai, X.J.; Qiu, J.D.; Li, H.Q.; Zeng, X.R.; Tang, S.; Chen, Y.; Chen, Z. Flame-Retardant and Thermal Degradation Mechanism of Caged Phosphate Charring Agent with Melamine Pyrophosphate for Polypropylene. Int. J. Polym. Sci. 2015, 2015, 11. [Google Scholar] [CrossRef]
- Prabhakar, M.N.; Shah, A.u.R.; Song, J. A Review on the Flammability and Flame Retardant Properties of Natural Fibers and Polymer Matrix Based Composites. Compos. Res. 2015, 28, 29–39. [Google Scholar] [CrossRef]
- Salmeia, K.A.; Gaan, S.; Malucelli, G. Recent Advances for Flame Retardancy of Textiles Based on Phosphorus Chemistry. Polymers 2016, 8, 36. [Google Scholar] [CrossRef] [PubMed]
- Nousiainen, P.; Heidari, S. Flame retardant chemical mechanisms of flame retardant viscose fibres and blends with polyester. In Makromolekulare Chemie. Macromolecular Symposia; Wiley Online Library: Minneapolis, MN, USA, 1993. [Google Scholar]
- Vahidi, G.; Bajwa, D.S.; Shojaeiarani, J.; Stark, N.; Darabi, A. Advancements in traditional and nanosized flame retardants for polymers-A review. J. Appl. Polym. Sci. 2021, 138, 14. [Google Scholar] [CrossRef]
- Hansen-Bruhn, I.; Poulsen, A.V.; Abildgaard, U.; Ravnsbæk, J.B.; Hinge, M. Effect of titania, barite, and kaolinite fillers on char layer formation in water-based intumescent fire-retardant coatings. J. Coat. Technol. Res. 2022, 19, 1067–1075. [Google Scholar] [CrossRef]
- Buksans, E.; Laiveniece, L.; Lubinskis, V. Solid wood surface modification by charring and its impact on reaction to fire performance. In Proceedings of the 20th International Scientific Conference on Engineering for Rural Development, Jelgava, Latvia, 26–28 May 2021; pp. 899–905. [Google Scholar]
- Yang, X.L.; Shen, A.Q.; Jiang, Y.X.; Meng, Y.J.; Wu, H.S. Properties and mechanism of flame retardance and smoke suppression in asphalt binder containing organic montmorillonite. Constr. Build. Mater. 2021, 302, 15. [Google Scholar] [CrossRef]
- Su, X.; Yi, Y.; Tao, J.; Qi, H. Synergistic effect of zinc hydroxystannate with intumescent flame-retardants on fire retardancy and thermal behavior of polypropylene. Polym. Degrad. Stab. 2012, 97, 2128–2135. [Google Scholar] [CrossRef]
- Vahabi, H.; Jouyandeh, M.; Cochez, M.; Khalili, R.; Vagner, C.; Ferriol, M.; Movahedifar, E.; Ramezanzadeh, B.; Rostami, M.; Ranjba, Z.; et al. Short-lasting fire in partially and completely cured epoxy coatings containing expandable graphite and halloysite nanotube additives. Prog. Org. Coat. 2018, 123, 160–167. [Google Scholar] [CrossRef]
- Ghiyasi, S.; Sari, M.G.; Shabanian, M.; Hajibeygi, M.; Zarrintaj, P.; Rallini, M.; Torre, L.; Puglia, D.; Vahabi, H.; Jouyandeh, M.; et al. Hyperbranched poly(ethyleneimine) physically attached to silica nanoparticles to facilitate curing of epoxy nanocomposite coatings. Prog. Org. Coat. 2018, 120, 100–109. [Google Scholar] [CrossRef]
- Jouyandeh, M.; Jazani, O.M.; Navarchian, A.H.; Shabanian, M.; Vahabi, H.; Saeb, M.R. Bushy-surface hybrid nanoparticles for developing epoxy superadhesives. Appl. Surf. Sci. 2019, 479, 1148–1160. [Google Scholar] [CrossRef]
- Huang, H.; Li, P.; Zhang, T. The impact of resin on the performance of steel structure fireproof coatings. In Proceedings of the 2021 China Fire Protection Association Science and Technology Annual Conference Proceedings, Beijing, China, 12–15 October 2021; p. 6. [Google Scholar]
- Jiang, Q.; Zhao, W.; Wang, R.; Wang, M. Study on the effect of halogen-free flame-retardant epoxy resin with high carbon residue on the properties of epoxy intumescent fireproof coating. New Chem. Mater. 2023, 51, 188–191+196. [Google Scholar] [CrossRef]
- Li, M.X.; Li, X.; Xu, K.; Qin, A.; Yan, C.T.; Xu, Y.; Shan, D.P.; Wang, J.L.; Xu, M.J.; Li, X.L.; et al. Construction and mechanism analysis of flame-retardant, energy-storage and transparent bio-based composites based on natural cellulose template. Int. J. Biol. Macromol. 2024, 263, 11. [Google Scholar] [CrossRef] [PubMed]
- Amir, N.; Abd Majid, A.A.; Ahmad, F. Effects of Hybrid Fibre Reinforcement on Fire Resistance Performance and Char Morphology of Intumescent Coating. In Proceedings of the UTP-UMP Symposium on Energy Systems (SES), Univ Teknologi Petronas, Perak, Malaysia, 7 October 2015. [Google Scholar]
- Mariappan, T. Recent developments of intumescent fire protection coatings for structural steel: A review. J. Fire Sci. 2016, 34, 120–163. [Google Scholar] [CrossRef]
- Maqsood, M.; Seide, G. Investigation of the Flammability and Thermal Stability of Halogen-Free Intumescent System in Biopolymer Composites Containing Biobased Carbonization Agent and Mechanism of Their Char Formation. Polymers 2019, 11, 16. [Google Scholar] [CrossRef]
- Jadhav, S.D. A review of non-halogenated flame retardant. Pharma Innov. J. 2018, 7, 380. [Google Scholar]
- Zybina, O.; Gravit, M. Basic ingredients of intumescent compositions. In Intumescent Coatings for Fire Protection of Building Structures and Materials; Springer: Cham, Switzerland, 2020; pp. 1–51. [Google Scholar]
- Kandola, B.K.; Williams, K.V.; Ebdon, J.R. Organo-Inorganic hybrid intumescent fire retardant coatings for thermoplastics based on poly (vinylphosphonic acid). Molecules 2020, 25, 688. [Google Scholar] [CrossRef]
- Zhai, R.; Yang, Z.; Chen, Y.B.; Zhang, Y.; Lv, Z.J. Design Novel Environmentally-friendly Flame Retardants. Combust. Sci. Technol. 2023, 195, 2474–2490. [Google Scholar] [CrossRef]
- Weil, E.D. Fire-protective and flame-retardant coatings-A state-of-the-art review. J. Fire Sci. 2011, 29, 259–296. [Google Scholar] [CrossRef]
- Camino, G.; Costa, L.; Trossarelli, L.; Costanzi, F.; Pagliari, A. Study of the mechanism of intumescence in fire retardant polymers: Part VI—Mechanism of ester formation in ammonium polyphosphate-pentaerythritol mixtures. Polym. Degrad. Stab. 1985, 12, 213–228. [Google Scholar] [CrossRef]
- Cullis, C.; Hirschler, M. The Combustion of Organic Polymers; Clarendon: Oxford, UK, 1981. [Google Scholar]
- Duquesne, S.; Jimenez, M.; Bourbigot, S. Fire retardancy and fire protection of materials using intumescent coatings—A versatile solution? In Fire Retardancy of Polymers: New Strategies and Mechanisms; RSC Publishing: Cambridge, UK, 2008. [Google Scholar]
- Lyons, J.W. The Chemistry and Uses of Fire Retardants; Wiley-Interscience: Hoboken, NJ, USA, 1970. [Google Scholar]
- Liao, K.; Lu, Z.; Wang, J.; Liu, J. Modification of ammonium polyphosphate and its flame retardant effect on polypropylene. Polym. Mater. Sci. Eng. 1998, 4, 88–90+93. [Google Scholar] [CrossRef]
- Saihi, D.; Vroman, I.; Giraud, S.; Bourbigot, S. Microencapsulation of ammonium phosphate with a polyurethane shell part I: Coacervation technique. React. Funct. Polym. 2005, 64, 127–138. [Google Scholar] [CrossRef]
- Zhang, H.; Lai, X.; Ai, C.; He, B.; Hu, Y.; Liu, Y.; Feng, B. Development on synthesis and modification of APP-II. J. Wuhan Inst. Technol. 2012, 34, 32–36. [Google Scholar]
- Pieper, W.; Staendeke, H.; Eisner, G. Method for the Preparation of Hydrolysis Stable Finely Divided Flame Retardants Based on Ammonium Polyphosphate. EP0180795, 12 August 1987. [Google Scholar]
- Wu, K.; Song, L.; Wang, Z.; Hu, Y. Preparation and characterization of double shell microencapsulated ammonium polyphosphate and its flame retardance in polypropylene. J. Polym. Res. 2009, 16, 283–294. [Google Scholar] [CrossRef]
- Wu, K.; Wang, Z.; Hu, Y. Microencapsulated ammonium polyphosphate with urea–melamine–formaldehyde shell: Preparation, characterization, and its flame retardance in polypropylene. Polym. Adv. Technol. 2008, 19, 1118–1125. [Google Scholar] [CrossRef]
- Wu, K.; Wang, Z.; Liang, H. Microencapsulation of ammonium polyphosphate: Preparation, characterization, and its flame retardance in polypropylene. Polym. Compos. 2008, 29, 854–860. [Google Scholar] [CrossRef]
- Bourbigot, S.; Sarazin, J.; Bensabath, T. Intumescent polypropylene in extreme fire conditions. Fire Saf. J. 2021, 120, 103082. [Google Scholar] [CrossRef]
- Andersson, A.; Lundmark, S.; Maurer, F.H. Evaluation and characterization of ammoniumpolyphosphate–pentaerythritol-based systems for intumescent coatings. J. Appl. Polym. Sci. 2007, 104, 748–753. [Google Scholar] [CrossRef]
- Peng, H.-Q.; Zhou, Q.; Wang, D.-Y.; Chen, L.; Wang, Y.-Z. A novel charring agent containing caged bicyclic phosphate and its application in intumescent flame retardant polypropylene systems. J. Ind. Eng. Chem. 2008, 14, 589–595. [Google Scholar] [CrossRef]
- Pan, Y.; Liu, L.X.; Zhao, H.T. Recyclable flame retardant paper made from layer-by-layer assembly of zinc coordinated multi-layered coatings. Cellulose 2018, 25, 5309–5321. [Google Scholar] [CrossRef]
- Araby, S.; Philips, B.; Meng, Q.S.; Ma, J.; Laoui, T.; Wang, C.H. Recent advances in carbon-based nanomaterials for flame retardant polymers and composites. Compos. Part B Eng. 2021, 212, 29. [Google Scholar] [CrossRef]
- He, W.; Song, P.; Yu, B.; Fang, Z.; Wang, H. Flame retardant polymeric nanocomposites through the combination of nanomaterials and conventional flame retardants. Prog. Mater. Sci. 2020, 114, 100687. [Google Scholar] [CrossRef]
- Mensah, R.A.; Shanmugam, V.; Narayanan, S.; Renner, J.S.; Babu, K.; Neisiany, R.E.; Försth, M.; Sas, G.; Das, O. A review of sustainable and environment-friendly flame retardants used in plastics. Polym. Test 2022, 108, 14. [Google Scholar] [CrossRef]
- Zaghloul, M. Mechanical properties of linear low-density polyethylene fire-retarded with melamine polyphosphate. J. Appl. Polym. Sci. 2018, 135, 12. [Google Scholar] [CrossRef]
- Singh, H.; Jain, A.K. Ignition, combustion, toxicity, and fire retardancy of polyurethane foams: A comprehensive review. J. Appl. Polym. Sci. 2009, 111, 1115–1143. [Google Scholar] [CrossRef]
- Yuan, Y.; Yu, B.; Wang, W. The influence of poorly-/well-dispersed organo-montmorillonite on interfacial compatibility, fire retardancy and smoke suppression of polypropylene/intumescent flame retardant composite system. J. Colloid Interface Sci. 2022, 622, 367–377. [Google Scholar] [CrossRef]
- Ming, H. Modification of kaolinite by controlled hydrothermal deuteration–a DRIFT spectroscopic study. Clay Miner. 2004, 39, 349–362. [Google Scholar] [CrossRef]
- Cheng, H.; Liu, Q.; Yang, J.; Zhang, Q.; Frost, R.L. Thermal behavior and decomposition of kaolinite–potassium acetate intercalation composite. Thermochim. Acta 2010, 503, 16–20. [Google Scholar] [CrossRef]
- Letaief, S.; Diaco, T.; Pell, W.; Gorelsky, S.I.; Detellier, C. Ionic conductivity of nanostructured hybrid materials designed from imidazolium ionic liquids and kaolinite. Chem. Mater. 2008, 20, 7136–7142. [Google Scholar] [CrossRef]
- Ren, L. Preparation of intumescent fire retardant coatings with kaolin. China Elastomerics 2021, 31, 34–43+48. [Google Scholar] [CrossRef]
- Ullah, S.; Ahmad, F.; Megat-Yusoff, P.S.M. Effect of Boric Acid with Kaolin Clay on Thermal Degradation of Intumescent Fire Retardant Coating. J. Appl. Sci. 2011, 11, 3645–3649. [Google Scholar] [CrossRef][Green Version]
- Mastalska-Poplawska, J.; Kadac, K.; Izak, P.; Gierej, M.; Stempkowska, A.; Góral, Z. The influence of ceramic additives on intumescence and thermal activity of epoxy coatings for steel. J. Appl. Polym. Sci. 2021, 138, 13. [Google Scholar] [CrossRef]
- Shree, R.; Naik, R.B.; Gunasekaran, G. Development of elastomeric intumescent fire-retardant coating for protection of structures at sub-zero temperature condition. Mater. Chem. Phys. 2023, 296, 10. [Google Scholar] [CrossRef]
- Wang, Q.; Wang, X.; Fang, J.; Di, Z.; Guan, Z.; Ma, S. Preparation and properties of waterborne intumescent fire retardant coatings for steel structure. Paint Coat. Ind. 2022, 52, 42–48. [Google Scholar]
- Wang, Q.; Wang, X.; Fang, J.; Zhao, Q.; Cao, B.; Guan, Z. Application of Pigments and Fillers in Waterborne Intumescent Fire Retardant Coatings. Coat Protein 2021, 42, 29–32+37. [Google Scholar]
- Tang, W.F.; Gu, X.Y.; Jiang, Y.; Zhao, J.R.; Ma, W.J.; Jiang, P.; Zhang, S. Flammability and thermal behaviors of polypropylene composite containing modified kaolinite. J. Appl. Polym. Sci. 2015, 132, 7. [Google Scholar] [CrossRef]
- Cheng, H.; Liu, Q.; Yang, J.; Ma, S.; Frost, R.L. The thermal behavior of kaolinite intercalation complexes—A review. Thermochim. Acta 2012, 545, 1–13. [Google Scholar] [CrossRef]
- Tang, W.F.; Qin, Z.D.; Liu, F.; Gong, S.F.; Peng, C.; Gu, X.Y.; Zhang, S.; Wang, X.; Jin, X.D.; Bourbigot, S. Influence of two kinds of low dimensional nano-sized silicate clay on the flame retardancy of polypropylene. Mater. Chem. Phys. 2020, 256, 10. [Google Scholar] [CrossRef]
- Vahabi, H.; Batistella, M.; Otazaghine, B.; Longuet, C.; Ferry, L.; Sonnier, R.; Lopez-Cuesta, J.-M. Influence of a treated kaolinite on the thermal degradation and flame retardancy of poly (methyl methacrylate). Appl. Clay Sci. 2012, 70, 58–66. [Google Scholar] [CrossRef]
- Tang, W.F.; Song, L.X.; Zhang, S.; Li, H.F.; Sun, J.; Gu, X.Y. Preparation of thiourea-intercalated kaolinite and its influence on thermostability and flammability of polypropylene composite. J. Mater. Sci. 2017, 52, 208–217. [Google Scholar] [CrossRef]
- Xu, Z.S.; Xie, X.J.; Yan, L.; Feng, Y.W. Fabrication of organophosphate-grafted kaolinite and its effect on the fire-resistant and anti-ageing properties of amino transparent fire-retardant coatings. Polym. Degrad. Stab. 2021, 188, 12. [Google Scholar] [CrossRef]
- Jun-wei, G.; Guang-cheng, Z.; Shan-lai, D.; Qiu-yu, Z.; Jie, K. Study on preparation and fire-retardant mechanism analysis of intumescent flame-retardant coatings. Surf. Coat. Technol. 2007, 201, 7835–7841. [Google Scholar] [CrossRef]
- Duquesne, S.; Bourbigot, S. 10 Char Formation and Characterization. In Fire Retardancy of Polymeric Materials; CRC Press: Boca Raton, FL, USA, 2009; p. 239. [Google Scholar]
- Aziz, H.; Ahmad, F.; Zia-ul-Mustafa, M. Effect of titanium oxide on fire performance of intumescent fire retardant coating. Adv. Mater. Res. 2014, 935, 224–228. [Google Scholar] [CrossRef]
- Mariappan, T.; Agarwal, A.; Ray, S. Influence of titanium dioxide on the thermal insulation of waterborne intumescent fire protective paints to structural steel. Prog Org Coat. 2017, 111, 67–74. [Google Scholar] [CrossRef]
- Duquesne, S.; Bachelet, P.; Bellayer, S.; Bourbigot, S.; Mertens, W. Influence of inorganic fillers on the fire protection of intumescent coatings. J. Fire Sci. 2013, 31, 258–275. [Google Scholar] [CrossRef]
- Mareeswaran, S.; Gangatharan, K.; Kumar, P.R.; Shajan, X.S. Thermal, Mechanical and Flame Retardant Properties of Antimony Trioxide-Titania Aerogel Composite (ATAC) Reinforced Epoxy Matrix. J. Inorg. Organomet. Polym. Mater. 2023, 33, 1830–1840. [Google Scholar] [CrossRef]
- Ielo, I.; Giacobello, F.; Sfameni, S.; Rando, G.; Galletta, M.; Trovato, V.; Rosace, G.; Plutino, M.R. Nanostructured Surface Finishing and Coatings: Functional Properties and Applications. Materials 2021, 14, 39. [Google Scholar] [CrossRef]
- Yasir, M.; Ahmad, F.; Yusoff, P.; Ullah, S.; Jimenez, M. Latest trends for structural steel protection by using intumescent fire protective coatings: A review. Surf. Eng. 2020, 36, 334–363. [Google Scholar] [CrossRef]
- Amir, N.; Ahmad, F.; A Halim, M.H.; Gillani, Q.F.; Megat Yusoff, P.S.M.; Aziz, H.; Ahmad, R. Synergistic Effects of Titanium Dioxide and Zinc Borate on Thermal Degradation and Water Resistance of Epoxy Based Intumescent Fire Retardant Coatings. Key Eng. Mater. 2017, 740, 41–47. [Google Scholar] [CrossRef]
- Laachachi, A.; Leroy, E.; Cochez, M.; Ferriol, M.; Cuesta, J.L. Use of oxide nanoparticles and organoclays to improve thermal stability and fire retardancy of poly (methyl methacrylate). Polym. Degrad. Stab. 2005, 89, 344–352. [Google Scholar] [CrossRef]
- Nasir, K.M.; Sulong, N.H.R.; Fateh, T.; Johan, M.R.; Afifi, A.M. Combustion of waterborne intumescent flame-retardant coatings with hybrid industrial filler and biofiller. J. Coat. Technol. Res. 2019, 16, 543–553. [Google Scholar] [CrossRef]
- Yew, M.; Sulong, N.R.; Yew, M.; Amalina, M.; Johan, M. Influences of flame-retardant fillers on fire protection and mechanical properties of intumescent coatings. Prog. Org. Coat. 2015, 78, 59–66. [Google Scholar] [CrossRef]
- Yew, M.C.; Sulong, N.H.R.; Yew, M.K.; Amalina, M.A.; Johan, M.R. Investigation on solvent-borne intumescent flame-retardant coatings for steel. Mater. Res. Innov. 2014, 18, 384–388. [Google Scholar] [CrossRef]
- Li, H.F.; Hu, Z.W.; Zhang, S.; Gu, X.Y.; Wang, H.J.; Jiang, P.; Zhao, Q. Effects of titanium dioxide on the flammability and char formation of water-based coatings containing intumescent flame retardants. Prog. Org. Coat. 2015, 78, 318–324. [Google Scholar] [CrossRef]
- Zhu, P.; Liu, B.; Bao, L.M. Preparation of double-coated TiO2 nanoparticles using an anchoring grafting method and investigation of the UV resistance of its reinforced PEI film. Prog. Org. Coat. 2017, 104, 81–90. [Google Scholar] [CrossRef]
- Shree, R.; Baloji Naik, R.; Naik, R.S.; Gunasekaran, G. Effect of three structurally different epoxy resins on fire resistance, optical transparency, and physicomechanical properties of intumescent fire-retardant transparent coatings. J. Coat. Technol. Res. 2021, 18, 535–547. [Google Scholar] [CrossRef]
- Yang, S.; Wang, G. Study on expandable graphite in fireproof coatings. Guangdong Build. Mater. 2008, 10, 22–25. [Google Scholar]
- Ullah, S.; Ahmad, F.; Al-Sehemi, A.G.; Assiri, M.A.; Raza, M.R.; Irfan, A. Effect of expandable graphite and ammonium polyphosphate on the thermal degradation and weathering of intumescent fire-retardant coating. J. Appl. Polym. Sci. 2021, 138, 16. [Google Scholar] [CrossRef]
- Ullah, S.; Ahmad, F.; Al-Sehemi, A.G.; Raza, M.R.; Assiri, M.A.; Irfan, A.; Oñate, E.; Yeoh, G.H. Effects of expandable graphite on char morphology and pyrolysis of epoxy based intumescent fire-retardant coating. J. Appl. Polym. Sci. 2021, 138, 17. [Google Scholar] [CrossRef]
- Wei, Y.; Gao, L. Porous structure of expanded graphite and its application. J. Yangtze Univ. Nat. Sci. Ed. 2008, 173–175+363. [Google Scholar] [CrossRef]
- Shi, T.; Sun, W.; Wang, Q. Characterization of microstructures of expanded graphite and preparation of its phase change composites for energy storage. J. Southeast Univ. Nat. Sci. Ed. 2009, 39, 598–601. [Google Scholar]
- Wang, J.S.; Xue, L.; Zhao, B.; Lin, G.D.; Jin, X.; Liu, D.; Zhu, H.B.; Yang, J.J.; Shang, K. Flame Retardancy, Fire Behavior, and Flame Retardant Mechanism of Intumescent Flame Retardant EPDM Containing Ammonium Polyphosphate/Pentaerythrotol and Expandable Graphite. Materials 2019, 12, 15. [Google Scholar] [CrossRef] [PubMed]
- Xu, D.M.; Liu, X.; Feng, J.; Hao, J.W. Preparation of Boron-coated Expandable Graphite and Its Application in Flame Retardant Rigid Polyurethane Foam. Chem. Res. Chin. Univ. 2015, 31, 315–320. [Google Scholar] [CrossRef]
- Jiao, C.; Zhang, C.; Dong, J.; Chen, X.; Qian, Y.; Li, S. Combustion behavior and thermal pyrolysis kinetics of flame-retardant epoxy composites based on organic–inorganic intumescent flame retardant. J. Therm. Anal. Calorim. 2015, 119, 1759–1767. [Google Scholar] [CrossRef]
- Lomakin, S.; Brevnov, P.; Koverzanova, E.; Usachev, S.; Shilkina, N.; Novokshonova, L.; Krasheninnikov, V.; Berezkina, N.; Gajlewicz, I.; Lenartowicz-Klik, M. The effect of graphite nanoplates on the thermal degradation and combustion of polyethylene. J. Anal. Appl. Pyrolysis 2017, 128, 275–280. [Google Scholar] [CrossRef]
- Lin, H.Y.; Wang, C.C. Study on Properties of Expandable Graphite in Waterborne Fire Retardant Coating. In Proceedings of the 2nd International Conference on Civil Engineering, Architecture and Building Materials (CEABM 2012), Yantai, China, 25–27 May 2012. [Google Scholar]
- Jiang, H.; Liu, W.; Yuan, Z.; Li, Y.; Xu, M.; Fang, W. Flame Retardant Properties of Expandable Graphite in Intumescent Fireproof Paint. Guangzhou Chem. Ind. 2011, 39, 59–60+145. [Google Scholar]
- Liu, G.; Lai, Q.; Li, Y. Effect of graphite granularity on the pore structure. J. Sichuan Univ. Nat. Sci. Ed. 2007, 1, 141–144. [Google Scholar]
- Zhan, W.; Ni, L.; Gu, Z.Z.; Cui, F.S.; Jiang, J.C.; Chen, L. The influences of graphene and carbon nanotubes on properties of waterborne intumescent fire resistive coating. Powder Technol. 2021, 385, 572–579. [Google Scholar] [CrossRef]
- Wang, Y.C.; Zhao, J.P.; Meng, X.J. Effect of expandable graphite on polyester resin-based intumescent flame retardant coating. Prog. Org. Coat. 2019, 132, 178–183. [Google Scholar] [CrossRef]
- Ng, Y.H.; Dasari, A.; Tan, K.H.; Qian, L.J. Intumescent fire-retardant acrylic coatings: Effects of additive loading ratio and scale of testing. Prog. Org. Coat. 2021, 150, 9. [Google Scholar] [CrossRef]
- Li, G. Effects of EG and MoSi2 on thermal degradation of intumescent coating. Polym. Degrad. Stab. 2007, 92, 569–579. [Google Scholar]
- Ullah, S.; Ahmad, F. Effects of zirconium silicate reinforcement on expandable graphite based intumescent fire retardant coating. Polym. Degrad. Stab. 2014, 103, 49–62. [Google Scholar] [CrossRef]
- Yuan, Z.; Zhang, X. Preparation of waterborne finishing fire-retardant paint and study on its fire retardancy. Electroplat. Finish. 2024, 43, 116–122. [Google Scholar] [CrossRef]
- Gillani, Q.F.; Ahmad, F.; Mutalib, M.I.A.; Melor, P.S.; Ullah, S.; Arogundade, A. Effect of Dolomite Clay on Thermal Performance and Char Morphology of Expandable Graphite Based Intumescent Fire Retardant Coatings. In Proceedings of the 4th International Conference on Process Engineering and Advanced Materials (ICPEAM), Kuala Lumpur, Malaysia, 15–17 August 2016; pp. 146–150. [Google Scholar]
- Amir, N.; Othman, W.; Ahmad, F. Fire Resistance Properties of Ceramic Wool Fiber Reinforced Intumescent Coatings. In Proceedings of the 23rd Scientific Conference of Microscopy-Society-Malaysia (SCMSM), Univ Teknologi Petronas, Tronoh, Malaysia, 10–12 December 2014. [Google Scholar]
- Gu, Q.Y.; Chen, J.N. Carbon-nanotube-based nano-emitters: A review. J. Lumin. 2018, 200, 181–188. [Google Scholar] [CrossRef]
- Beyer, G. Filler blend of carbon nanotubes and organoclays with improved char as a new flame retardant system for polymers and cable applications. Fire Mater. Int. J. 2005, 29, 61–69. [Google Scholar] [CrossRef]
- Shen, Y. Effect of carbon nanotubes on the smoke emission characteristics of organic styrene-acrylic emulsion fire-retardant coatings. Fire Sci. Technol. 2017, 36, 1428–1430. [Google Scholar]
- Beheshti, A.; Heris, S.Z. Is MWCNT a good synergistic candidate in APP–PER–MEL intumescent coating for steel structure? Prog. Org. Coat. 2016, 90, 252–257. [Google Scholar] [CrossRef]
- Ping’an, S.; Lihua, X.; Zhenghong, G.; Yan, Z.; Zhengping, F. Flame-retardant-wrapped carbon nanotubes for simultaneously improving the flame retardancy and mechanical properties of polypropylene. J. Mater. Chem. 2008, 18, 5083–5091. [Google Scholar] [CrossRef]
- Hai-Yun, M.; Li-Fang, T.; Zhong-Bin, X.; Zheng-Ping, F. Functionalizing carbon nanotubes by grafting on intumescent flame retardant: Nanocomposite synthesis, morphology, rheology, and flammability. Adv. Funct. Mater. 2008, 18, 414–421. [Google Scholar] [CrossRef]
- Nguyen, T.A. Research on Fabrication of Flame Retardant Nanocomposite Coating to Protect Steel Structures on Epikote 240 Epoxy Resin Base with the Synergy of MWCNTs and Fly Ash. Int. J. Chem. Eng. 2021, 2021, 12. [Google Scholar] [CrossRef]
- Yang, Z.W.; Xiao, G.Q.; Chen, C.L.; Chen, C.Y.; Zhong, F.; Wang, M.T.; Zou, R. Mussel inspired polydopamine@KH560-linked hexagonal boron nitride and CNTs nanoflame retardants improve fire performance of composite coatings. Colloid Surf. A Physicochem. Eng. Asp. 2021, 631, 14. [Google Scholar] [CrossRef]
- Chen, C.L.; Xiao, G.Q.; Zhong, F.; Dong, S.T.; Yang, Z.W.; Chen, C.Y.; Wang, M.T.; Zou, R. Synergistic effect of carbon nanotubes bonded graphene oxide to enhance the flame retardant performance of waterborne intumescent epoxy coatings. Prog. Org. Coat. 2022, 162, 15. [Google Scholar] [CrossRef]
- Du, B.; Fang, Z. Effects of carbon nanotubes on the thermal stability and flame retardancy of intumescent flame-retarded polypropylene. Polym. Degrad. Stab. 2011, 96, 1725–1731. [Google Scholar] [CrossRef]
- Isitman, N.A.; Kaynak, C. Nanoclay and carbon nanotubes as potential synergists of an organophosphorus flame-retardant in poly (methyl methacrylate). Polym. Degrad. Stab. 2010, 95, 1523–1532. [Google Scholar] [CrossRef]
- Ehsani, M.; Khonakdar, H.A.; Ghadami, A. Assessment of morphological, thermal, and viscoelastic properties of epoxy vinyl ester coating composites: Role of glass flake and mixing method. Prog. Org. Coat. 2013, 76, 238–243. [Google Scholar] [CrossRef]
- Wang, G.; Yang, J. Influences of glass flakes on fire protection and water resistance of waterborne intumescent fire resistive coating for steel structure. Prog. Org. Coat. 2011, 70, 150–156. [Google Scholar] [CrossRef]
- Yan, L.; Xu, Z.S.; Zhang, J. Influence of nanoparticle geometry on the thermal stability and flame retardancy of high-impact polystyrene nanocomposites. J. Therm. Anal. Calorim. 2017, 130, 1987–1996. [Google Scholar] [CrossRef]
- Liu, C.Q.; Zhang, X.H.; Lai, J.X.; Qin, Y.W. Steel fiber-reinforced recycled coarse aggregate shotcrete repair for tunnel lining corrosion: Experimental tests and calculation analysis. Tunn. Undergr. Space Technol. 2025, 157, 103236. [Google Scholar] [CrossRef]
- Tang, K.J.; Qiu, J.L.; Lai, J.X.; Xue, F.C.; Wang, Z.C. Experimental investigation on deformation-failure mechanisms of a shallow-bias large-section loess tunnel induced by rainfall. Tunn. Undergr. Space Technol. 2025, 157, 106253. [Google Scholar] [CrossRef]
- Gerard Ong, Ramesh Kasi, Ramesh Subramaniam, A review on plant extracts as natural additives in coating applications. Prog. Org. Coat. 2021, 151, 106091. [CrossRef]
- Alonso-Jiménez, A.; Alonso, P.M.; Hormaza-Polo, E. Sustainable Fire Protection: Reducing Carbon Footprint with Advanced Coating Technologies. Appl. Sci. 2024, 14, 7826. [Google Scholar] [CrossRef]
- Niu, F.Y.; Liu, Y.H.; Xue, F.C. Ultra-high performance concrete: A review of its material properties and usage in shield tunnel segment. Case Stud. Constr. Mater. 2025, 22, e04194. [Google Scholar] [CrossRef]
- Zhu, X. An Exploration into the Fire Characteristics and Fire Protection of Road Tunnels. Traffic Eng. Technol. Natl. Def. 2004, 3, 10–13. [Google Scholar] [CrossRef]
- Wu, Z.; Hu, Y.; Shu, W. Effect of ultrafine zinc borate on the smoke suppression and toxicity reduction of a low-density polyethylene/intumescent flame-retardant system. J. Appl. Polym. Sci. 2010, 117, 443–449. [Google Scholar] [CrossRef]
- Lewicki, J.P.; Liggat, J.J.; Patel, M. The thermal degradation behaviour of polydimethylsiloxane/montmorillonite nanocomposites. Polym. Degrad. Stab. 2009, 94, 1548–1557. [Google Scholar] [CrossRef]
- Hu, W.Z.; Wang, B.B.; Wang, X.; Ge, H.; Song, L.; Wang, J.; Hu, Y. Effect of ethyl cellulose microencapsulated ammonium polyphosphate on flame retardancy, mechanical and thermal properties of flame retardant poly(butylene succinate) composites. J. Therm. Anal. Calorim. 2014, 117, 27–38. [Google Scholar] [CrossRef]
- ISO 834; Fire-Resistance Tests—Elements of Building Construction. International Organization for Standardization (ISO): Geneva, Switzerland, 1999.
- Li, Y.Z.; Fan, C.G.; Ingason, H.; Lönnermark, A.; Ji, J. Effect of cross section and ventilation on heat release rates in tunnel fires. Tunn. Undergr. Space Technol. 2016, 51, 414–423. [Google Scholar] [CrossRef]
- Barbato, L.; Cascetta, F.; Musto, M.; Rotondo, G. Fire safety investigation for road tunnel ventilation systems—An overview. Tunn. Undergr. Space Technol. 2014, 43, 253–265. [Google Scholar] [CrossRef]
- Ji, J.; Bi, Y.; Venkatasubbaiah, K.; Li, K. Influence of aspect ratio of tunnel on smoke temperature distribution under ceiling in near field of fire source. Appl. Therm. Eng. 2016, 106, 1094–1102. [Google Scholar] [CrossRef]
- Li, Y.Z.; Lei, B.; Ingason, H. Study of critical velocity and backlayering length in longitudinally ventilated tunnel fires. Fire Saf. J. 2010, 45, 361–370. [Google Scholar] [CrossRef]
- Maevski, I.; Klein, R.C. Impact of tunnel ventilation on tunnel fixed fire suppression system. ASHRAE Trans. 2011, 117, 629–637. [Google Scholar]
- Carvel, R.O. Fire Size in Tunnels. Ph.D. Thesis, Heriot-Watt University, Edinburgh, UK, 2004. [Google Scholar]
- Carvel, R.; Beard, A.N.; Jowitt, P.; Drysdale, D. Variation of heat release rate with forced longitudinal ventilation for vehicle fires in tunnels. Fire Saf. J. 2001, 36, 569–596. [Google Scholar] [CrossRef]
- Carvel, R.O.; Beard, A.N.; Jowitt, P. The influence of longitudinal ventilation systems on fires in tunnels. Tunn. Undergr. Space Technol. 2001, 16, 3–21. [Google Scholar] [CrossRef]
- Carvel, R.O.; Beard, A.N.; Jowitt, P. The influence of longitudinal ventilation and tunnel size on HGV fires in tunnels. In Proceedings of the 10th International Conference of INTERFLAM, Edinburgh, UK, 5–7 July 2004. [Google Scholar]
- Carvel, R.O.; Rein, G.; Torero, J.L. Ventilation and suppression systems in road tunnels: Some issues regarding their appropriate use in a fire emergency. In Proceedings of the 2nd International Tunnel Safety Forum for Road and Rail, Edinburgh, UK, 20–22 April 2009. [Google Scholar]
- Wang, M.; Li, K.; Lu, R.; Feng, Z.; Wei, T.; Zhou, Q.; Zhai, W. Advanced high-temperature resistant (RT-1000° C) aluminum phosphate-based adhesive for titanium superalloys in extreme environments. Ceram. Int. 2021, 47, 32988–33001. [Google Scholar] [CrossRef]
- Feng, Z.; Wang, M.; Lu, R.; Xu, W.; Zhang, T.; Wei, T.; Zhang, J.; Liao, Y. A composite structural high-temperature-resistant adhesive based on in-situ grown mullite whiskers. Mater. Today Commun. 2020, 23, 100944. [Google Scholar] [CrossRef]
- Wang, M.; Feng, Z.; Zhai, C.; Zhang, J.; Li, Z.; Zhang, H.; Xu, X. Low-temperature in-situ grown mullite whiskers toughened heat-resistant inorganic adhesive. J. Alloys Compd. 2020, 836, 155349. [Google Scholar] [CrossRef]
- Wang, M.; Zhang, J.; Zhou, Q.; Li, Z. Effect of Al: P ratio on bonding performance of high-temperature resistant aluminum phosphate adhesive. Int. J. Adhes. Adhes. 2020, 100, 102627. [Google Scholar] [CrossRef]
- Wang, M.; Dong, X.; Zhou, Q.; Feng, Z.; Liao, Y.; Zhou, X.; Du, M.; Gu, Y. An engineering ceramic-used high-temperature-resistant inorganic phosphate-based adhesive self-reinforced by in-situ growth of mullite whiskers. J. Eur. Ceram. Soc. 2019, 39, 1703–1706. [Google Scholar] [CrossRef]
- Wang, M.; Liu, J.; Du, H.; Hou, F.; Guo, A.; Zhao, Y.; Zhang, J. Joining of silicon carbide by a heat-resistant phosphate adhesive. RSC Adv. 2014, 4, 31821–31828. [Google Scholar] [CrossRef]
- Wang, M.; Liang, Z.; Yan, S.; Tao, X.; Zou, Y.; Li, J.; Zhou, X.; Zhang, H. The preparation and property analysis of B4C modified inorganic amorphous aluminum phosphates-based intumescent flame retardant coating. Constr. Build. Mater. 2022, 359, 129480. [Google Scholar] [CrossRef]
- Cai, G.; Wu, J.; Guo, J.; Wan, Y.; Zhou, Q.; Zhang, P.; Yu, X.; Wang, M. A novel inorganic aluminum phosphate-based flame retardant and thermal insulation coating and performance analysis. Materials 2023, 16, 4498. [Google Scholar] [CrossRef] [PubMed]
- Wang, F.; Wang, M.; Huo, J. The effects of the passive fire protection layer on the behavior of concrete tunnel linings: A field fire testing study. Tunn. Undergr. Space Technol. 2017, 69, 162–170. [Google Scholar] [CrossRef]
- Duan, J.; Dong, Y.; Xiao, J.; Zhang, D.; Zheng, W.; Zhang, S. A large-scale fire test of an immersed tunnel under the protection of fire resistive coating. Tunn. Undergr. Space Technol. 2021, 111, 103844. [Google Scholar] [CrossRef]
- Huang, Z.; Ye, Z.; Zhang, J.; Peng, Z.; Yan, Z. The influence of intumescent fire-retardant coating on the fire resistance of assembled frame tunnel. Hazard Control Tunn. Undergr. Eng. 2024, 6, 46–58. [Google Scholar] [CrossRef]














| Flame-Retardant Mechanism | Flame-Retardant Process |
|---|---|
| Non-flammable gas dilution [21] | The additives produce inert gases when heated, which dilute oxygen and combustible concentrations. |
| Thermal quenching [22] | Additive endothermic degradation to reduce or maintain the surface temperature of the substrate. |
| Physical dilution [23] | A large amount of inorganic fillers are incorporated into the paint, resulting in a reduction in combustibles in the paint. |
| Chemical interaction [24] | Some flame retardants produce free radicals when heated, which can interfere with combustible-phase combustion. |
| Insulating barriers [25] | The insulation carbon layer generated by the coating after combustion reduces the diffusion of heat to the substrate, as well as the diffusion of oxygen and combustibles. |
| References | Binder | Fillers | Performance |
|---|---|---|---|
| [2] | Acrylic resin | TiO2:Al(OH)3:CES (1:1:1) | Weight losses: 68.7%, Static Immersion Test weight loss rates: 14.69%, Adhesion strength: 0.272 MPa. |
| [27] | Poly(vinyl acetate)-co-poly(vinyl ester) | Rutile titania (16 wt.%) | Swelling rates: 0.37 mm/s, Expansion factors: 60, SMOGRA: 27 m2/s2. |
| Kaolinite (16 wt.%) | Expansion factors: 7, | ||
| Barite (16 wt.%) | Swelling rates: 0.59 mm/s. Expansion factors: 85, SMOGRA: 16 m2/s2. | ||
| [30] | PP | ZHS (1 wt.%) | LOI: 32% ↑, UL-94 rating: V-0, TTI: 40 s, PHRR: 193 kW/m2, THR: 75 MJ/m2. |
| ZnO (1 wt.%) | LOI: 28.5%, UL-94 rating: V-1. | ||
| SnO2 (1 wt.%) | LOI: 26.5%, UL-94 rating: V-1. | ||
| ZS (1 wt.%) | LOI: 30%, UL-94 rating: V-0. | ||
| [31] | EP (curing time: 6 h) | EG (9 wt.%) | TTI: 10 s, PHRR: 152 kW/m2, THR: 110 MJ/m2. |
| HNTs (9 wt.%) | TTI: 5 s, PHRR: 969 kW/m2, THR: 110 MJ/m2. | ||
| EP (curing time: 8 h) | EG (9 wt.%) | TTI: 5 s, PHRR: 321 kW/m2, THR: 109 MJ/m2. | |
| HNTs (9 wt.%) | TTI: 10 s, PHRR: 928 kW/m2, THR: 82 MJ/m2. | ||
| [37] | BPA | GWF:RWF (1:1), Fiber length: 12 mm | Weight loss (800 °C): 14.08%, Expansion ratio: 4.35. |
| [39] | PLA | Starch (7 wt.%) | LOI: 37.3%, UL-94 rating: V-0. |
| [55] | PP | MCAPP (15 wt.%) | LOI: 34.5%, UL-94 rating: V-0. |
| [58] | PP | BCPPO (6 wt.%) | LOI: 30.3%, UL-94 rating: V-0. |
| [69] | BPA | Kaolin (5 wt.%) | After a 60 min fire test, the temperature behind the steel plate reached 237 °C, Expansion ratio: 15, Weathering resistance. |
| [71] | EP | EG (7.9 wt.%), Kaolin (7 wt.%) | Mass loss: 68.37%, Expansion ratio: 20.59. |
| EG:TlO2 (1:3) | Total mass loss: −67.09%, Expansion ratio: 10.41. | ||
| [75] | PP | Kaolinite (1 wt.%) | LOI: 27%, PHRR: 474 ± 17 kW/m2, TTI: 17 ± 1 s, AHRR: 397 ± 9 kW/m2, AMLR: 0.080 ± 0.003 g/s. |
| E-Kaol (1 wt.%) | LOI: 28%, PHRR: 19 ± 1 kW/m2, TTI: 19 ± 1 s, AMLR: 0.073 ± 0.002 g/s, AHRR: 369 ± 7 kW/m2. | ||
| [77] | PP | E-Kaol (1.5 wt.%) | LOI: 35.5 ± 0.2%, UL-94 rating: V-0, THR: 122 ± 1 MJ/m2, TTI: 18 ± 1 s, Smoke emission. |
| N-Kaol (1.5 wt.%) | LOI: 34.5 ± 0.2%, UL-94 rating: V-0, THR: 120 ± 1 MJ/m2, TTI19 ± 1 s, Smoke emission. | ||
| [84] | VAC | TiO2 (12.7 wt.%) | Residual weights: 42.9%, Waterproofness. |
| [91] | VAC | TiO2:Al(OH)3:RHA:Eggshell (1:1:1:1) | Weight loss: 57.69%, TTI: 161.5 s, PHRR: 35 kW/m2. |
| [108] | Acrylic resin | TiO2:Al(OH)3:MMT:Graphene:CNTs (8:8:4:3:1) | Residual weights: 40.54%, PHRR: 32.29 kW·m−2, THR: 1.13 MJ/m2, TTI: 143 s ↓, FRI: 15.02. |
| [111] | Acrylic resin | EG:MoSi2 (5:9) | Residual weights: 39.92%, Carbon layer structure improved. |
| [112] | EP | EG (5.8 wt.%), Zirconium silicate (5 wt.%) | Expansion ratio 24, Residue weights: 38.2%, Smoke emission. |
| [116] | EPDM | EG (10 wt.%) | LOI: 30.4% ↑, UL-94: V-0, Residue weights: 43.9%, TTI: 70 s, PHRR: 197 kW/m2, THR: 77.6 MJ/m2, TTPHRR: 115 s, FIGRA: 1.7 kW/(m2·s), FRI: 6.52 ↑; TSP: 16.3 m3. |
| [126] | EP | GO@M-CNTs hybrids (1.5 wt.%) | Expansion ratio: 10.79, Residue weights: 28.8%. |
| [129] | EP | Kaolin:TiO2:GF (2:5:3) | Expansion ratio: 14.4, Equilibrium temperature of coating: 253 ± 1 °C, Residue weights: 40.8%. |
| Intumescent Coating | Non-Intumescent Coating | |
|---|---|---|
| Fire-resistant mechanism | It expands when heated, forming an insulating layer that separates the high temperature from the substrate. | The fire resistance performance is enhanced through the application of flame retardants and the suppression of flame propagation. |
| Fire resistance | The protective layer formed by expansion can provide effective thermal insulation and typically exhibits high fire resistance. | The primary reliance is on the flame-retardant properties of the chemical composition, which typically offers less protection against high temperatures compared to intumescent types. |
| Operating temperature range | It has a remarkable effect at high temperatures and is suitable for fire prevention in high-temperature environments. | Strong adaptability to temperature changes, but poor performance at extreme high temperatures. |
| Coating thickness | The thick layer formed after expansion helps in insulation, and a thicker coating is usually required. | There is no need to expand the formation of a thick layer, the coating thickness is relatively thin. |
| Maintenance and durability | Due to the presence of the intumescent layer, regular inspection and maintenance may be required during long-term use. | Usually durable but may need to be replaced in extreme conditions. |
| Fire-resistant mechanism | It expands when heated, forming an insulating layer that separates the high temperature from the substrate. | The fire resistance performance is enhanced through the application of flame retardants and the suppression of flame propagation. |
| References | Findings | Remarks |
|---|---|---|
| [141] | It was observed that the cross section of a tunnel affects the heat release rates. | Experimental study |
| [142] | It was observed that the tunnel geometry and ventilation rates also affect peak HRR in tunnel fires. | Experimental study |
| [143] | It was found that the tunnel aspect ratio also affects the smoke temperature distribution in tunnel fires. | Experimental study |
| [144] | Critical ventilation velocity increases with heat release rates in tunnel fires. | Theoretical and experimental |
| [145] | This report highlights the effects of the ventilation system on peak HRR. | Technical study |
| [146] | This research highlighted the effect of tunnel geometry on peak HRR in HGV fire in tunnels. | Theoretical and experimental |
| [147,148,149,150] | Research shows the influence of longitudinal ventilation systems on fires in tunnels | Experimental study |
Disclaimer/Publisher’s Note: The statements, opinions and data contained in all publications are solely those of the individual author(s) and contributor(s) and not of MDPI and/or the editor(s). MDPI and/or the editor(s) disclaim responsibility for any injury to people or property resulting from any ideas, methods, instructions or products referred to in the content. |
© 2025 by the authors. Licensee MDPI, Basel, Switzerland. This article is an open access article distributed under the terms and conditions of the Creative Commons Attribution (CC BY) license (https://creativecommons.org/licenses/by/4.0/).
Share and Cite
Tang, G.; Shang, C.; Qin, Y.; Lai, J. Current Advances in Flame-Retardant Performance of Tunnel Intumescent Fireproof Coatings: A Review. Coatings 2025, 15, 99. https://doi.org/10.3390/coatings15010099
Tang G, Shang C, Qin Y, Lai J. Current Advances in Flame-Retardant Performance of Tunnel Intumescent Fireproof Coatings: A Review. Coatings. 2025; 15(1):99. https://doi.org/10.3390/coatings15010099
Chicago/Turabian StyleTang, Guochen, Chuankai Shang, Yiwen Qin, and Jinxing Lai. 2025. "Current Advances in Flame-Retardant Performance of Tunnel Intumescent Fireproof Coatings: A Review" Coatings 15, no. 1: 99. https://doi.org/10.3390/coatings15010099
APA StyleTang, G., Shang, C., Qin, Y., & Lai, J. (2025). Current Advances in Flame-Retardant Performance of Tunnel Intumescent Fireproof Coatings: A Review. Coatings, 15(1), 99. https://doi.org/10.3390/coatings15010099

