Next Article in Journal
Linear and Nonlinear Optical Properties of PVA:SA Blend Reinforced by TiO2 Nanoparticles Prepared by Flower Extract of Aloe Vera for Optoelectronic Applications
Previous Article in Journal
Multiscale Wear Simulation in Textured, Lubricated Contacts
 
 
Font Type:
Arial Georgia Verdana
Font Size:
Aa Aa Aa
Line Spacing:
Column Width:
Background:
Article

Development and Studying of the Technology for Thermal Spraying of Coatings Made from Ultra-High-Molecular-Weight Polyethylene

by
Mazhyn Skakov
1,2,†,
Igor Ocheredko
2,*,†,
Baurzhan Tuyakbayev
2,
Moldir Bayandinova
2 and
Makpal Nurizinova
2
1
The Republican State Enterprise (National Nuclear Center of the Republic of Kazakhstan) of the Ministry of Energy of the Republic of Kazakhstan, Kurchatov 071100, Kazakhstan
2
Sarsen Amanzholov East Kazakhstan University, Ust-Kamenogorsk 070000, Kazakhstan
*
Author to whom correspondence should be addressed.
These authors contributed equally to this work.
Coatings 2023, 13(4), 698; https://doi.org/10.3390/coatings13040698
Submission received: 20 February 2023 / Revised: 10 March 2023 / Accepted: 24 March 2023 / Published: 30 March 2023
(This article belongs to the Section Functional Polymer Coatings and Films)

Abstract

UHMWPE is resistant to acids, alkalis and radiation. Its combination of unique properties makes this material attractive for obtaining multifunctional coatings. However, in practice, obtaining coatings based on UHMWPE is associated with difficulties associated with low thermal conductivity and high viscosity of the material. The possibility of overcoming the technological problems of obtaining gas-thermal coatings based on UHMWPE was studied in the present work. A physical model of a flame with UHMWPE particles moving along the central axis was developed by the finite element method. The temperature along the central axis of the plume was determined. The interaction between a gas-thermal torch and a UHMWPE particle was established. It was determined that the residence time of UHMWPE particles in a gas-thermal flame is not enough for its complete penetration, which is the reason for the appearance of various defects. The interrelation of the particle heating rate in the torch depending on its diameter was determined. A new variant of coating deposition with preliminary heating of the powder in a fluidized bed was proposed. The thermal characteristics of UHMWPE powder were determined by differential scanning calorimetry and thermogravimetric analysis. The allowable temperature interval for UHMWPE deposition was established. Coatings were obtained under various deposition modes. It was established using the methods of X-ray diffraction analysis and infrared spectroscopy that the structure of the crystal lattice of UHMWPE did not change after deposition. Significant oxidation processes do not occur during spraying. It was found using scanning electron microscopy that the coatings obtained with preliminary heating of the powder in a fluidized bed do not have air inclusions. The obtained results make it possible to obtain higher quality coatings.

1. Introduction

Polymer coatings are important for the petrochemical, automotive and aviation industries [1,2,3,4,5]. Coatings are used to protect the surfaces of parts and equipment from the effects of aggressive chemical environments [6,7,8]. UHMWPE has high chemical resistance to acids and alkalis. The material is resistant to radiation [9,10]. UHMWPE has high wear resistance and a low coefficient of friction [11,12,13]. This set of properties makes it promising for obtaining multifunctional protective coatings.
At the same time, UHMWPE has a low coefficient of thermal conductivity and high viscosity due to its high molecular weight, which leads to technological difficulties in the process of its processing [4,5,11]. Currently, some experience has been accumulated in the field of applying polymer coatings by the gas-thermal method [1,2]. However, due to the speed and complexity of the ongoing processes, the interaction of a polymer particle with a gas-thermal flame is insufficiently studied. There are no clear ideas about the process of heating particles in a torch [4]. Recommendations for the granulometric composition of the material are based on the general considerations that small particles oxidize and burn out, and large ones do not have time to fully melt. Small and large fractions are proposed to be screened out, which is not economically viable. The temperature regimes for processing polymers have narrow temperature ranges compared to metals and ceramics [14,15]. Polymers are prone to degradation—this imposes special requirements on the exact choice of temperature regimes.
When analyzing review articles [1,2], it was also established that the main attention is paid to the technical aspects of the formation of a gas-thermal torch and thermal oxidative destruction. However, little attention is paid to the formation of defect-free structures of macromolecular compounds. In our opinion, the finite element method is most suitable for solving such complex problems. However, in the literature scanned, there is no comprehensive research provided on the technology of UHMWPE gas-thermal spraying using the finite element method.
The main goal of the work was to develop effective technology for the thermal spraying of coatings based on UHMWPE.
In order to achieve the goal, it was necessary to achieve the following objectives:
(1)
To develop a physical model of a flame with UHMWPE particles moving along the axis and determine the temperature along the central axis of the gas-thermal burner flame using the finite element method;
(2)
to set the residence time of the particle in the torch;
(3)
to establish patterns of interaction: gas-thermal torch–UHMWPE particle;
(4)
to determine the thermophysical properties of UHMWPE powders by differential scanning calorimetry and thermogravimetric analysis;
(5)
to determine the optimal modes of deposition of the UHMWPE coating;
(6)
to study the microstructure of the obtained UHMWPE coatings by SEM and XRD methods.

2. Materials and Methods

The general scheme of the study is in Figure 1. The object of the research was developing technology for thermal spraying of coatings based on ultra-high-molecular-weight polyethylene.

2.1. Materials

UHMWPE powder manufactured by Nantong Yangba Polyethylene Co was used as a raw material for coatings—Table 1.

2.2. FEM Analysis and Coatings Deposition

The effects of variable technological parameters on the temperature in the central axis of the torch, the residence time of the particle in the torch, and the necessary time–temperature effect of the propane–air gas-thermal torch on the UHMWPE particle were calculated by the finite element method in accordance with [16,17] in the SolidWorks software package, using the k-ɛturbulence model. As a design scheme, a gas nozzle with a three-phase flow was adopted—Figure 2.
  • Propane enters the nozzle, sprays, ignites under the influence of a heat source, and forms a torch;
  • An air damper that compresses the air flow with the powder;
  • Supply of powder under pressure through the body of the torch;
  • Unit for fluidization and powder preheating.
We have developed a three-dimensional model of a gas-thermal propane–air burner with the geometry shown in Figure 3. Domain size: 1.5 m × 0.3 m × 0.3 m.
Variable technological parameters. Boundary conditions:
  • Propane pressure in the nozzle—1–3 bar;
  • Pressure in the air damper channel—1 bar;
  • Pressure in the channel transporting the gas—1–4 bar.
The samples were sprayed in a gas-thermal spraying installation with a geometry corresponding to the simulation results; see Figure 4. Substrate material—steel 3. The material was previously subjected to sandblasting.

2.3. Research of Raw Materials and Coatings

The particle size, morphology and cross-sectional structure of the obtained UHMWPE coatings were determined by scanning electron microscopy on a Scanning electron microscope (Auriga Crossbeam 540, Carl Zeiss, Oberkochen, Germany). Shooting mode—20 kW, scanning speed—2–3, resolution—50–100 μ m. The samples were preliminarily coated with Au. The ImageJ software package [18] was used to estimate the normal particle size distribution, and 150 UHMWPE particles were measured for the calculation.
The thermal characteristics of UHMWPE powder were determined by differential scanning calorimetry (DSC) using a Labsys Evo device (Setaram, Caluire-et-Cuire, France) in the temperature range of 30–200 °C. The crystallization and melting behavior of the polymers were studied in a nitrogen flow. The powder, weighing approximately 10 mg, was weighed and sealed in aluminum cups.
The thermal characteristics of the UHMWPE powder were studied on a LabSysevo differential thermogravimetric analyzer (Setaram, Caluire-et-Cuire, France) in an argon atmosphere. The temperature range was 30 ± 5–700 ± 5 °C at a heating rate of 10 ± 1 °C/min. The weight of the samples was 20–40 mg.
The X-ray phase analysis of the polymer was carried out using an Xpert PRO PANalytical X-ray diffractometer. The voltage on the copper tube was 40 kV, and the current was 30 mA.
The total degree of crystallinity of the polymer was determined by the formula (1):
D c r = S c r S c r + S a m
where S c r is the area of the crystalline part and S a m is the amorphous area. The interpretation of diffraction patterns was carried out in accordance with [19].
The chemical composition and structure of the polymers were studied using a Fourier transform infrared spectrometer (IRAffinity-1, Shimadzu, Tokyo, Japan) at a wavelength of 450–4000 cm 1 , t = 25 ± 1 °C.

3. Results

3.1. Modeling of the Physical Properties of the Flame

Figure 5 shows that the variations in technological parameters in accordance with Table 2 allow one to adjust the average temperature along the central axis of the flame from 330 to 479 °C. The temperature along the flame’s axis is not constant.
Table 2 shows that low carrier gas velocities allow the gas to be heated to higher temperatures. The maximum average carrier gas temperature in experiment 4 was 479 °C.
It can be seen in Figure 6 that the speed of the carrier gas at the outlet of the burner nozzle is 400–530 m/s, depending on the pressure of the carrier gas. At a spraying distance of 1 m, it is about 50 m/s.
However, Figure 7 also shows that the particles in the carrier gas flow have different dynamics, and their velocity at the spraying distance used is 160 m/s.
Table 3 shows that the residence time of the particle in the torch, depending on the pressure of the transporting gas, is in the range of 0.003–0.006 s.

3.2. Interaction: Gas-Thermal Torch-Particle—Spray Mode Selection

The selection of the spraying mode Figure 8 was carried out using the results of simulation of the interaction between a thermal flame and a particle. To do this, the topology and size of particles were studied by scanning electron microscopy. The melting point of the powder was determined by differential scanning calorimetry. The temperature at the start of powder decomposition was determined by thermogravimetric analysis.

3.3. Scanning Electron Microscopy of Particles

The morphology of the particles, the shape of the particles, their normal distribution are of paramount importance for the choice of technological modes of deposition. To estimate these parameters, the ImageJ software package [18] was used, the particle size was estimated by the equivalent sphere diameter method—Feret. Analysis in the ImageJ software package showed that the average diameter of the equivalent sphere was 179.9 μ m, see Figure 9.
It has been established that UHMWPE powder particles consist of smaller particles, 20–30 μ m in size, connected by adhesions 7–8 μ m long; this fact is confirmed by a number of works [20,21]. It follows that without complete penetration of UHMWPE particles, micropores 7–8 μ m in size will be embedded in the coating, and their absence in the coating will indicate complete penetration of the powder. In general, the powder has a spherical shape.

3.4. Determination of the Melting Point of UHMWPE by DSC and the Temperature of the Beginning of Powder Degradation by TGA

The melting temperature of the powder was 141 °C. The temperature of the start of the decomposition of UHMWPE was 450 °C; see Figure 10. When processing the powder by the gas-thermal method, the powder must be heated above the melting point but not above the decomposition temperature according to TGA.
The particle was blown by a heat flow with an average temperature of 490 °C, according to experiment 4. In the graph of Figure 11a, it can be seen that the time required for complete penetration of the particles above the melting temperature was 0.018 s.
It can be seen in Figure 11 that the main factor determining the heating of the particle is the heating time. The heating of the UHMWPE particle to the core is achieved with a heating time of 0.018 s and a heat flow temperature of 490 °C. An increase in the temperature of the heat flow in Figure 11b, with a temperature exposure time of 0.006 s, leads to an increase in the surface temperature of the particle. The temperature closer to the core remains practically unchanged. This fact should lead to the appearance of pores. The graph in Figure 11a shows that the time of the particle’s stay in the torch is not enough for its complete heating.
Figure 12 shows the dependencies: the temperature of the transporting gas–the temperature of the surface of the particle–the velocity of the particle in the flow. From the graph, it follows that when the particle passes through the flame, only the surface of the particle reaches the melting temperature, which is not enough to form a defect-free coating. The high viscosity of the core prevents the formation of a homogeneous structure.
Figure 13 shows that a time interval of 0.014–0.02 s. is required for complete penetration of particles in the range of 140–200 μ m. In this case, the particles transit through the torch in 0.006–0.007s. The core of the particles remains in a solid state.
To form a defect-free coating, the polymer particle must be melted down to the core. According to the selected criteria, samples for research were sprayed with the same temperature along the central axis of the torch, in accordance with Figure 5, experiment (4); the heating time varied. Mode 1—traditional heating with a torch; mode-2—preheating in a fluidized bed for −1 s. The air temperature in the fluidization unit was 130 °C; see Table 4.

3.5. SEM Analysis

3.5.1. Macrostructure of Coatings

Figure 14 shows the formed spherulitic (globular) structure of coatings, characteristic of UHMWPE, which is consistent with the data [20,21,22,23,24,25,26,27]. At the same time, no destroyed fibrils were found, which confirms the absence of degradation processes. The average size of spherulites was 30 μ m. Pores and air inclusions were visible in the bodies of coatings obtained according to mode-1, which apparently indicates incomplete penetration of UHMWPE particles.

3.5.2. Microstructure of the Coatings

Figure 15 clearly shows the fibrillar structure of the spherulite at different resolutions. It should be noted that the results of studies of a series of samples indicate that these structures are characteristic of all coatings, under all deposition modes. The presence of these structures indicates the absence of destruction [21].

3.6. XRD Analysis

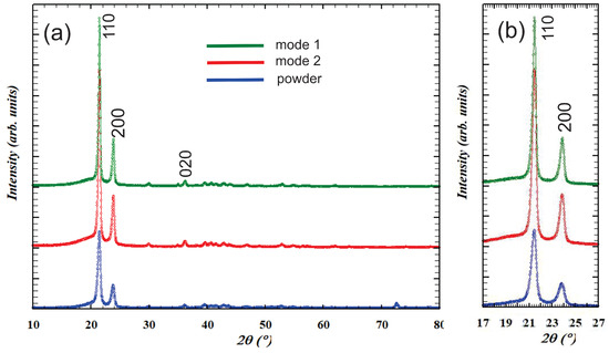
The interpretation of the diffraction patterns shown in Figure 16 shows that the UHMWPE orthorhombic grating was not deformed as a result of deposition. No shifts of the diffraction peaks were observed, which indicates the absence of destruction. The decrease in the intensity of the diffraction reflections of the sample without heating is apparently associated with the presence of air inclusions in the structure.
The degree of crystallinity of the initial powder and UHMWPE coatings did not change; see Table 5.

3.7. FTIR Analysis

The Figure 17 shows the FTIR spectra of UHMWPE powder and coatings.
As is known, during the deposition of polymers, as a result of oxidation, products containing carbonyl groups are formed, which are characterized by strong absorption in the region of 1710–1745 cm 1 . It can be seen that CH 2 peaks are present in all diagrams, which also confirms the absence of degradation of the UHMWPE coating Table 6.

4. Conclusions

Thus, by the finite element method, a model of the operation of the gas-thermal installation "air-propane" for spraying coatings based on UHMWPE was constructed. The interaction was calculated: gas-thermal torch–polymer particle. The effect of the time–temperature factor of powder heating on the structure of UHMWPE coatings has been established. According to the hypothesis put forward, the primary technological factor should be the heating time of the polymer particle in the flame due to its low thermal conductivity. Spraying coatings using particle preheating significantly speeds up the spraying process, making it a more cost-effective method. A scheme for calculating the technological modes of deposition using the finite element method was proposed. This scheme is applicable for any types of thermoplastic polymers. Structural studies of the obtained UHMWPE coatings have shown that, as a result of thermal exposure, structures characteristic of an ultra-high-molecular-weight polymer are formed. Spherulite structures with elongated fibers are formed at the macro level, and lamellae are formed at the micro level. The degree of crystallinity of the UHMWPE coating remained virtually unchanged compared to the initial powder. However, under the standard mode of heat flow, regions with pores appear in the structure. Defectiveness, apparently, is due to the high viscosity of UHMWPE. When using the technology of preliminary heating of the powder, there are no pores in the coating structure, which, apparently, is associated with the complete transition of the powder to a viscous-flow state. In our opinion, a further increase in the productivity of the proposed technology of UHMWPE thermal spraying can be achieved by increasing the heating time of polymer particles.

5. Patents

Based on the results of the work carried out, we received a utility model, patent No. 7207, dated 03.03.2022: Method of gas-flame application of a protective coating on a metal substrate Ocheredko I.A., Skakov M.K., Tuyakbaev B.T. (https://gosreestr.kazpatent.kz/Utilitymodel/Details?docNumber=354476, accessed on 3 March 2022)—a method of gas-flame application of a protective coating on a metal substrate, in which the surface of the substrate is preheated to a temperature of 95–100 °C by the energy of the jet of the spray apparatus. UHMWPE polyethylene is used as a spraying material, which is heated in a fluidized bed to a temperature of 90–130 °C.

Author Contributions

M.S. management of annotation, design of the experiments, validation. I.O. idea author; application of statistical, mathematical, computational, formal techniques to analyze and synthesize study data; preparation, creation, and presentation of the published work—specifically, writing the initial draft. B.T. performed the experiments. M.B. and M.N., visualization/data presentation. All authors have read and agreed to the published version of the manuscript.

Funding

The work was carried out within the framework of grant funding by the Ministry of Science and Higher Education of the Republic of Kazakhstan, “Development and implementation of a highly efficient technology for applying an anti-corrosion coating based on ultra-high-molecular-weight polyethylene” 2021-23. IRN No. AP09259925.

Institutional Review Board Statement

Not applicable.

Informed Consent Statement

Not applicable.

Data Availability Statement

Not applicable.

Conflicts of Interest

The authors declare that there is no conflict of interest regarding the publication of this.

Sample Availability

Samples of the compounds are available from the authors.

Abbreviations

The following abbreviations are used in this manuscript:
UHMWPEUltra-high-molecular-weight polyethylene

References

  1. Koivuluoto, H. A Review of Thermally Sprayed Polymer Coatings. J. Therm. Spray Technol. 2022, 31, 1750–1764. [Google Scholar] [CrossRef]
  2. Petrovicova, E.; Schadler, L.S. Thermal spraying of polymers. Int. Mater. Rev. 2002, 4, 169–190. [Google Scholar] [CrossRef]
  3. Skakov, M.K.; Ocheredko, I.A. The impact of technological parameters of the torch to physical and chemical properties of a gas-thermal burner for spraying ultra-high molecular weight polyethylene. Phys. Sci. Technol. 2022, 9, 142–149. [Google Scholar] [CrossRef]
  4. Bao, Y.D.; Gawne, T. Effect of feedstock particle size on the heat transfer rates and properties of thermally sprayed polymer coatings. Trans. Inst. Met. Finish. 1995, 4, 119–124. [Google Scholar] [CrossRef]
  5. Xu, H.; Bao, Y.; Gawne, D.T.; Zhang, T. Process control for thermal-spray deposition of thermoset coatings using computer simulation. Prog. Org. Coat. 2016, 101, 407–415. [Google Scholar] [CrossRef]
  6. Singh, S.K. Thermally sprayable polyethylene coatings for marine environment. Prog. Org. Coat. 2007, 10, 186–193. [Google Scholar] [CrossRef]
  7. How Corrosion Affects Industry and Life. Available online: http://www.mcbup.com/researchregisters/acmm.asp (accessed on 20 February 2023).
  8. Eugene, B.C.; Dennis, W. Protective action of semi-fluorinated perfluorocyclobutyl polymer coatings against corrosion of mild steel. J. Mater. Sci. 2020, 55, 1796–1812. [Google Scholar]
  9. Boykov, A.A.; Tcherdyntsev, V.V. Structure and mechanical properties of ultrahigh molecular weight polyethylene filled with tungsten, carbon black, and boron carbide or nitride. Int. J. 2016, 7, 261–274. [Google Scholar] [CrossRef]
  10. Boykov, A.A.; Tcherdyntsev, V.V. Structure and properties of ultrahigh molecular weight polyethylene filled with tungsten boride and carbon black. Int. J. 2015, 6, 87–98. [Google Scholar] [CrossRef]
  11. Donadei, V.T. Icephobic Behaviour and Thermal Stability of Flame- Sprayed Polyethylene Coating: The Effect of Process Parameters. J. Therm. Spray Technol. 2020, 29, 241–254. [Google Scholar] [CrossRef]
  12. Han, J. Microstructure and anti- wear and corrosion performances of novel UHMWPE/graphene-nanosheet composite coatings deposited by flame spraying. Polym. Adv. Technol. 2013, 24, 888–894. [Google Scholar] [CrossRef]
  13. Carlos, R.C.; Natalia, F.C. Study of wear and corrosion performance of thermal sprayed engineering polymers. Surf. Coat. Technol. 2013, 220, 140–143. [Google Scholar]
  14. Kengesbekov, A.; Rakhadilov, B.M. Improving the efficiency of air plasma spraying of titanium nitride powder. Coatings 2022, 12, 1644. [Google Scholar] [CrossRef]
  15. Rakhadilov, B.K.; Kenesbekov, A.B. Development of air-plasma technology for hardening cutting tools by applying wear-resistant coatings. News Natl. Acad. Sci. Repub. Kazakhstan Ser. Geol. Tech. Sci. 2020, 3, 441. [Google Scholar] [CrossRef]
  16. Chaskalovic, J. Finite Element Methods. In Finite Element Methods for Engineering Sciences; Springer: Berlin/Heidelberg, Germany, 2008; pp. 32–58. [Google Scholar]
  17. SolidWorks. FloEfd Technical Reference, 3rd ed.; Mentor Graphics Corporation: Wilsonville, OR, USA, 2017; Available online: https://www.smart-fem.de/media/floefd/TechnicalReferenceV17.pdf (accessed on 20 February 2023).
  18. Rasband, W.S. ImageJ; U.S. National Institutes of Health: Bethesda, MD, USA, 2018. Available online: https://imagej.nih.gov/ij/ (accessed on 20 February 2023).
  19. Kasai, N.; Kakudo, M.B. X-ray Diffraction by Macromolecules, 3rd ed.; Springer: Tokyo, Japan, 2008; pp. 154–196. [Google Scholar]
  20. Stephanie, H. Synthesis and characterization of UHMWPE nanocomposite fibers containing carbon nanotubes coated with a PVP surfactant layer. Polym. Compos. 2018, 39, 142–149. [Google Scholar]
  21. Khalil, Y. Characterisation of UHMWPE polymer powder for laser sintering. Materials 2019, 12, 3496. [Google Scholar] [CrossRef] [PubMed]
  22. Huanyu, P. Study of microstructure and fracture properties of blunt notched and sharp cracked high density polyethylene specimens. Sci. Rep. 2017, 7, 342–349. [Google Scholar]
  23. Panin, S. Effect of adhesion on mechanical and tribological properties of glass fiber composites, based on ultra-high molecular weight polyethylene powders with various initial particle sizes. Materials 2020, 13, 1602. [Google Scholar] [CrossRef] [PubMed]
  24. Bucknall, C. Structure, processing and performance of ultra-high molecular weight polyethylene (IUPAC Technical Report). Part 2: Crystallinity and supra molecular structure. Pure Appl. Chem. 2020, 92, 1485–1501. [Google Scholar] [CrossRef]
  25. Panin, S. Uhmwpe-based glass-fiber composites fabricated by FDM. Multiscaling aspects of design, manufacturing and performance. Materials 2021, 14, 1515. [Google Scholar] [CrossRef] [PubMed]
  26. Caroline, E.J. Encyclopedia of Polymer Research (2 Volume Set), 3rd ed.; Nova Science Publishers: New York, NY, USA, 2016. [Google Scholar]
  27. Guo, Q. Polymer Morphology—Principles, Characterization and Processing, 3rd ed.; Wiley: Hoboken, NJ, USA, 2008; pp. 154–196. [Google Scholar]
Figure 1. General scheme of the study.
Figure 1. General scheme of the study.
Coatings 13 00698 g001
Figure 2. Scheme of the experimental setup for spraying polymeric thermoplastic materials.
Figure 2. Scheme of the experimental setup for spraying polymeric thermoplastic materials.
Coatings 13 00698 g002
Figure 3. Three-dimensional model of a gas-thermal burner in a domain divided into cells.
Figure 3. Three-dimensional model of a gas-thermal burner in a domain divided into cells.
Coatings 13 00698 g003
Figure 4. Operation of the gas-thermal installation.
Figure 4. Operation of the gas-thermal installation.
Coatings 13 00698 g004
Figure 5. Influences of variable technological parameters on the flame’s temperature along the central axis of the flame.
Figure 5. Influences of variable technological parameters on the flame’s temperature along the central axis of the flame.
Coatings 13 00698 g005
Figure 6. Change in the flow rate of the carrier gas along the central axis of the flame at pressures of 1–6 bar.
Figure 6. Change in the flow rate of the carrier gas along the central axis of the flame at pressures of 1–6 bar.
Coatings 13 00698 g006
Figure 7. Change in the velocity of UHMWPE particles along the flame’s central axis at a pressure of 1 bar.
Figure 7. Change in the velocity of UHMWPE particles along the flame’s central axis at a pressure of 1 bar.
Coatings 13 00698 g007
Figure 8. Spray mode selection scheme.
Figure 8. Spray mode selection scheme.
Coatings 13 00698 g008
Figure 9. (a) UHMWPE powder—50× magnification. (b) UHMWPE powder—300× magnification. (c) UHMWPE powder—600× magnification. (d) Normal distribution of UHMWPE particles.
Figure 9. (a) UHMWPE powder—50× magnification. (b) UHMWPE powder—300× magnification. (c) UHMWPE powder—600× magnification. (d) Normal distribution of UHMWPE particles.
Coatings 13 00698 g009
Figure 10. (a) Differential scanning calorimetry of UHMWPE powder. (b) Thermogravimetric analysis of UHMWPE.
Figure 10. (a) Differential scanning calorimetry of UHMWPE powder. (b) Thermogravimetric analysis of UHMWPE.
Coatings 13 00698 g010
Figure 11. (a) Influence of the time factor on the heating of a UHMWPE particle at a constant temperature. (b) Influence of the temperature factor on particle heating at a constant heating time of 0.006 s.
Figure 11. (a) Influence of the time factor on the heating of a UHMWPE particle at a constant temperature. (b) Influence of the temperature factor on particle heating at a constant heating time of 0.006 s.
Coatings 13 00698 g011
Figure 12. The transported gas’s temperature, the particle’s velocity in the gas flow, and the particle’s surface temperature. Summary chart.
Figure 12. The transported gas’s temperature, the particle’s velocity in the gas flow, and the particle’s surface temperature. Summary chart.
Coatings 13 00698 g012
Figure 13. Dependence of the temperature of the core of the UHMWPE particle during the time of exposure to the heat flux. Experiment 4.
Figure 13. Dependence of the temperature of the core of the UHMWPE particle during the time of exposure to the heat flux. Experiment 4.
Coatings 13 00698 g013
Figure 14. Macrostructures of coatings. (a,c) Characteristic structure formed according to mode-2. (b,d) Characteristic structure formed according to mode-1.
Figure 14. Macrostructures of coatings. (a,c) Characteristic structure formed according to mode-2. (b,d) Characteristic structure formed according to mode-1.
Coatings 13 00698 g014
Figure 15. (a,b) Coating spherulite structure at different magnifications.
Figure 15. (a,b) Coating spherulite structure at different magnifications.
Coatings 13 00698 g015
Figure 16. (a) X-ray diffraction patterns of UHMWPE coatings. (b) Complete range of determination of the degree of crystallinity.
Figure 16. (a) X-ray diffraction patterns of UHMWPE coatings. (b) Complete range of determination of the degree of crystallinity.
Coatings 13 00698 g016
Figure 17. (a) UHMWPE powder. (b) Coating according to mode-1. (c) Coating according to mode-2.
Figure 17. (a) UHMWPE powder. (b) Coating according to mode-1. (c) Coating according to mode-2.
Coatings 13 00698 g017
Table 1. Properties of UHMWPE powder.
Table 1. Properties of UHMWPE powder.
Molecular weight, mol 1 4 × 10 6
Density, kg/m 3 930
Melting point, °C138–143
Specific heat, J/kg·K1780
Thermal conductivity, W/m·K0.18
Table 2. Dependence of the pressure of the transporting gas and the residence time of the particle in the body of the torch.
Table 2. Dependence of the pressure of the transporting gas and the residence time of the particle in the body of the torch.
Technological ModeExperiment 1Experiment 2Experiment 3Experiment 4Experiment 5Experiment 6Experiment 7Experiment 8Experiment 9Experiment 10
Propane pressure, bar1.01.82.731.30.43.62.21.91.0
Carrier gas pressure, bar1.15.03.71.03.24.62.31.91.42.8
Air damper pressure, bar1111111111
Average temperature (fluid), °C333320349479356331387403443371
Table 3. Relationship of the pressure of the transporting gas and the residence time of the particle in the body of the torch.
Table 3. Relationship of the pressure of the transporting gas and the residence time of the particle in the body of the torch.
Pressure in the Powder Supply Channel, barFraction, mmThe Residence Time of the Particle in the Flame, s
10.17–0.190.006
20.17–0.190.0053
30.17–0.190.0048
40.17–0.190.0043
50.17–0.190.0038
60.17–0.190.0032
Table 4. UHMWPE Coating Modes.
Table 4. UHMWPE Coating Modes.
ModeTime of Thermal Influence on a Particle, sThe Average Velocity of a Particle in Contact with a Substrate, m/sSubstrate Temperature, °CDistance, mPowder Consumption, g/s
Mode 10.006 s heating only by the thermal effect of the torch751301–1.25
Mode 2heating in a fluidized bed for 1 s + heating by the thermal effect of the torch—0.006 s7595–1001–1.25
Table 5. The degrees of crystallinity of the initial powder and UHMWPE coatings.
Table 5. The degrees of crystallinity of the initial powder and UHMWPE coatings.
SampleDegree of Crystallinity, ±10%
UHMWPE Powder66.11
Spraying without heating UHMWPE64.4
Heated spray UHMWPE68.2
Table 6. Peak position and vibration type of the CH 2 group.
Table 6. Peak position and vibration type of the CH 2 group.
NoRangeVibration
1[710.. 750]CH 2 rocking
2[1435.. 1475]CH 2 scissoring
3[2845.. 2880]CH 2 sym stretching
4[2915.. 2955]CH 2 asym stretching
Disclaimer/Publisher’s Note: The statements, opinions and data contained in all publications are solely those of the individual author(s) and contributor(s) and not of MDPI and/or the editor(s). MDPI and/or the editor(s) disclaim responsibility for any injury to people or property resulting from any ideas, methods, instructions or products referred to in the content.

Share and Cite

MDPI and ACS Style

Skakov, M.; Ocheredko, I.; Tuyakbayev, B.; Bayandinova, M.; Nurizinova, M. Development and Studying of the Technology for Thermal Spraying of Coatings Made from Ultra-High-Molecular-Weight Polyethylene. Coatings 2023, 13, 698. https://doi.org/10.3390/coatings13040698

AMA Style

Skakov M, Ocheredko I, Tuyakbayev B, Bayandinova M, Nurizinova M. Development and Studying of the Technology for Thermal Spraying of Coatings Made from Ultra-High-Molecular-Weight Polyethylene. Coatings. 2023; 13(4):698. https://doi.org/10.3390/coatings13040698

Chicago/Turabian Style

Skakov, Mazhyn, Igor Ocheredko, Baurzhan Tuyakbayev, Moldir Bayandinova, and Makpal Nurizinova. 2023. "Development and Studying of the Technology for Thermal Spraying of Coatings Made from Ultra-High-Molecular-Weight Polyethylene" Coatings 13, no. 4: 698. https://doi.org/10.3390/coatings13040698

APA Style

Skakov, M., Ocheredko, I., Tuyakbayev, B., Bayandinova, M., & Nurizinova, M. (2023). Development and Studying of the Technology for Thermal Spraying of Coatings Made from Ultra-High-Molecular-Weight Polyethylene. Coatings, 13(4), 698. https://doi.org/10.3390/coatings13040698

Note that from the first issue of 2016, this journal uses article numbers instead of page numbers. See further details here.

Article Metrics

Back to TopTop