Abstract
To increase the sustainability of footwear and align it with the circular bioeconomy, there is a pressing need to develop novel bio-based materials to replace the synthetic polymers currently used. In this study, casein-based films were prepared by solution casting with a tannic acid cross-linker, and a glycerol plasticizer. The properties important to footwear materials were characterised, including tensile strength and elongation, stitch strength, hardness, grain cracking strength, water vapour permeability, and thermal properties. The tannic acid imparted a brown colour to the films with good resistance to light-induced fading. Their tensile strengths were 4–5 N/mm2, elongation at break 45%–73%, and water vapour permeability 0.2–0.6 mg/(cm2h), depending upon the levels of the cross-linker and plasticiser. The strength of the films was close to those of some non-leather footwear materials such as compact rubbers and insock materials, but below that required for leather shoe vamps/uppers. The casein films were successfully used in sneaker- and ballerina-style shoes as components of the insock and decorative design elements on the vamp. This work has demonstrated the concept of using casein films in footwear. The properties of the films could be improved by further research, particularly with respect to cross-linking, plasticizing, and combining with bio-based fibers and fabrics.
1. Introduction
Worldwide footwear consumption has increased rapidly over the last 40 years and the rate was around 20 billion pairs in 2005 [1]. It is estimated that in the EU alone, the waste arising from post-consumer shoes will soon exceed 1.2 million tonnes per year [2]. Leather has been used in footwear, jackets, hats, belts, and bags for millennia. Over the last 50 years, synthetic polymer materials have partially replaced leather in some of these products; for instance, around 70% of footwear is now made with synthetic materials and substances [3], including films of polyurethane, ethyl vinyl acetate, and polyvinyl chloride, adhesives, solvents, dyes, and fibres. The large number of shoes produced each year means that huge quantities of these synthetic materials are entering the environment both in shoes and in waste from shoe manufacturing. For instance, the amount of ethyl vinyl acetate waste/off-cuts produced by the global footwear industry has been estimated as 190,400 tons per annum [2].
The synthetic polymers used are not single materials and contain many additives including plasticisers, fillers, activators, and stabilisers. The emerging understanding of sustainability and the negative effects of some of the synthetic polymers encountered in many products, including footwear, is causing more and more people to become concerned about these materials. Perhaps the greatest concern is around their possible effects on human health, as some synthetic polymers, such as polyvinyl chloride, polyester, and polycarbonates contain toxic compounds, e.g., phthalate plasticisers, antimony, and Bisphenol A, respectively [4]. Such concerns are reasonable, as these materials are in contact with our food, drink, and skin [5], and there is often an appreciable delay between the identification of a hazard and legislative protections being implemented. Another area of concern is the accumulation of synthetic polymers (including their additives) in the environment. or example, zinc pollution on steppingstones at Pompeii has been attributed to tourists’ footwear [6].
Over the last ten years, an understanding has emerged of the threat posed by microplastic pollutants in the air, land, water, and food chains [7,8,9]. The recycling of synthetic polymers, as practised, has some benefits, but can increase consumers’ exposure to toxins; for instance, there is evidence that consumer products (such as toys) contain polymers from recycled electronic casings, which are of necessity for their original use, and they contain high levels of metallic and halogenated flame retardants [4]. Another concern with synthetic polymers is that they consume petrochemicals and therefore exacerbate pressure on finite natural resources and demand/supply conflicts [10].
Circularity and the bioeconomy are two important concepts in sustainability, which are being addressed in many areas, from household waste to the preservation of cultural heritage [11,12]. A circular bioeconomy, which has sustainability and circularity at its heart, will lead to the modernisation of production systems, protection of the environment, and the enhancement of biodiversity [11,12,13]. The circular bioeconomy is a process of dynamic and complex social transformation which not only aims to reduce the environmental impacts of resource use but also takes a systems approach for economic, social, and environmental sustainability. It offers a unique opportunity to comprehensively address interconnected societal challenges such as food security, the scarcity of natural resources, the dependence on fossil resources, and climate change while ensuring sustainable economic development.
The concerns about the effects of synthetic materials on health and the environment, coupled with a desire to enact a circular economy, are driving interests in bio-based materials that are renewable, biocompatible, and biodegradable [14,15]. The demands of informed consumers will not be allayed by greenwashing or manipulation of sustainability indices (e.g., discredited claims of biodegradability) [16]. Astute manufacturers are increasingly using bio-based materials [13,14,15,16,17,18,19]. For example, wool is used in NASA’s Orion spacecraft to protect astronauts from fire [20], and in face masks, building insulation [21], and industrial catalysis [22,23].
The leather industry has improved sustainability with innovations such as chrome-free tannage, enzymatic depilation, and consideration of circular economy principles [24,25,26,27,28]. New biomaterials have been used commercially in footwear, such as wool and mycelium [29,30], but most shoe materials are still synthetic polymers, and the recycling of many types of modern footwear is practically impossible because they are constructed from a diverse mixture of synthetic materials.
As leather is a proteaceous bio-based material, developments in reconstituted proteins are highly relevant to the footwear materials of the future. Reconstituted protein materials are not new, having been used before the development of synthetic polymers, and early examples include casein fibres, buttons and jewellery (Lactoloid and Galalith), peanut protein fibres (Ardil), and zein protein fibres (Vicara) [31,32]. Interest in the circular bioeconomy is reviving interest in reconstituted protein materials, especially when re-engineered with modern green chemistry approaches [33,34,35,36,37,38,39] and at least one new product has been commercialised, namely Qmilch casein fibres [40]. Most cross-linked casein materials are biodegradable [10,40].
Casein is most often encountered in cheese, dietary supplements, glues, paints, and intumescent fire retardants. Casein is a group of four phosphoproteins, comprising approximately 80% of the proteins in cows’ milk [41]. Casein can form complex polymeric aggregates that interact through hydrophobic, electrostatic, and calcium interactions [42], which provide opportunities for manipulation into useful forms. Casein proteins are strongly attracted to each other, which results in stiff, brittle films [43] unless plasticisers and cross-linkers are employed. Proteins can be cross-linked by radiation, heat, enzymes, and compounds such as glutaraldehyde and tannic acid [44,45,46,47]. Significant research has been made into casein-based coatings for application to footwear materials [48] and food packaging [49], but not into stand-alone components of footwear to replace leather/synthetics.
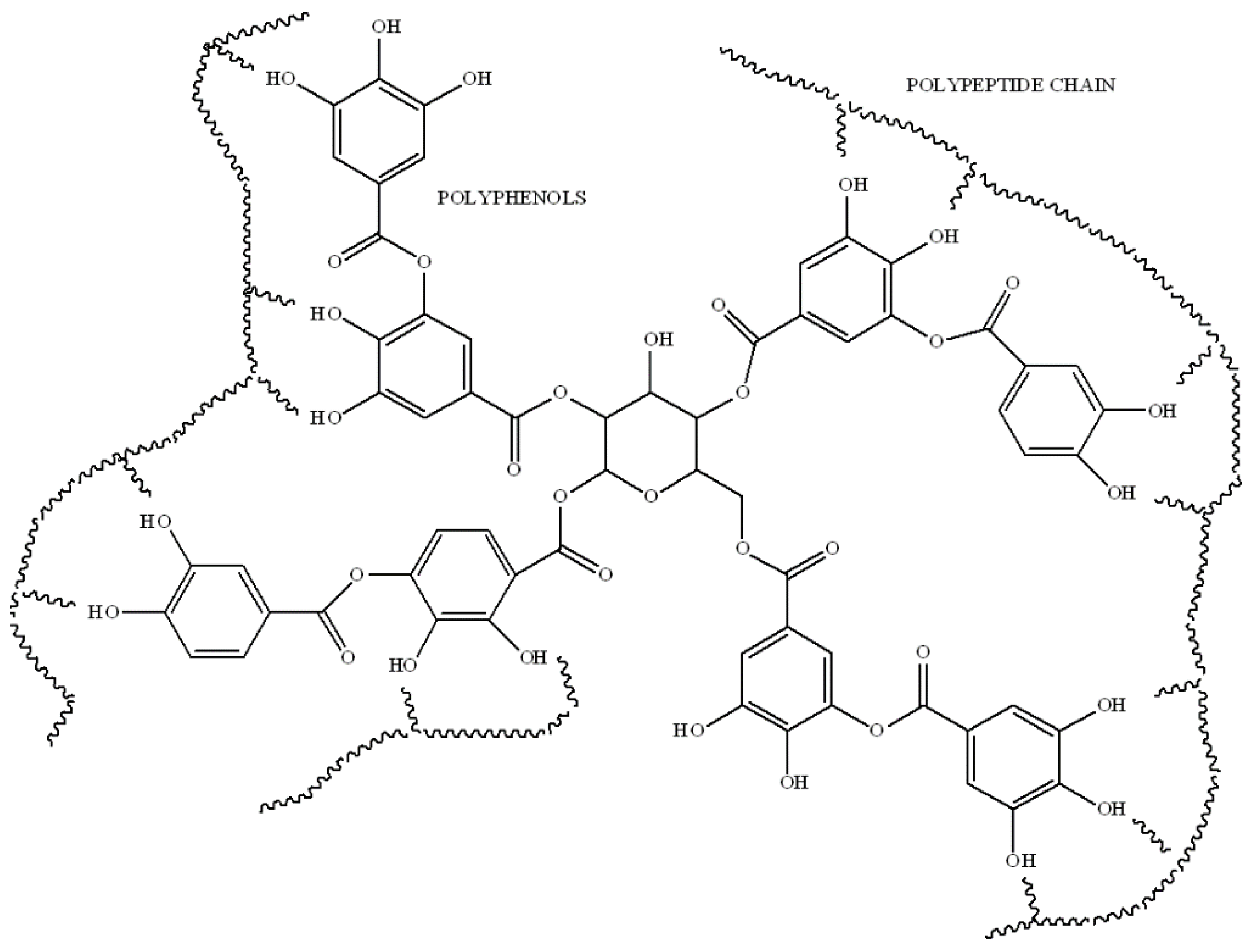
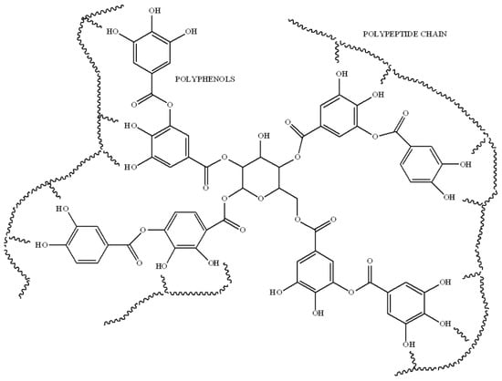
Tannic acid is the archetype of protein cross-linkers and lends its name to the process of cross-linking the collagen in animal skins—tanning (Figure 1). Tanning imparts strength and durability to water, microbes, and heat [50,51]. The antioxidant properties of tannic acid are beneficial in footwear as they may counteract odour-causing bacteria and pathogenic fungi such as those that cause athlete’s foot [35,52].
Figure 1.
Interaction of phenolic acid with the chains of polypeptides (pp).
The aim of the work reported here was to prepare casein films and incorporate them into footwear, specifically shoes. To the best of the authors’ knowledge, this is the first such study. The casein films were prepared with different levels of tannic acid cross-linker and glycerol plasticiser [49]. The properties important to footwear manufacturing and moisture transmission were determined, to evaluate the films’ potential as a sustainable component of footwear. Infra-red spectroscopy was performed to assess cross-linking.
2. Materials and Methods
2.1. Preparation of Films
Casein solutions (10% w/w) were prepared by gradually adding casein (bovine, technical grade, >95%, Acros Organics, Waltham, MA, USA) to a solution of sodium hydroxide (1% w/w), (97%, Sigma-Aldrich) with stirring at room temperature. Tannic acid (95%, Acros Organics), which had been pre-dissolved in the minimum amount of sodium hydroxide solution (1% w/w) was then added to the casein solution, at two different levels, see Figure 2.
Figure 2.
Summary of films prepared, showing levels of tannic acid and glycerol as mass percentages of casein.
To facilitate the reaction between casein and tannic acid, the casein-tannic acid solutions were aerated for three hours at room temperature, with mechanical stirring, see Figure 1. Significant amounts of a stable brown foam were produced, which was manually removed. Glycerol (Analar grade Labserve, Thermo Fisher, Waltham, MA, USA), was then added at two levels (see Table 1), and the solutions mixed for 5 min then deaerated in a vacuum oven (20 °C, 30 kPa of vacuum, 1 h). The solutions were then cast into square polystyrene dishes of either 100 or 529 cm2, at 0.5 g/cm2, then dried at 20 °C, 50% relative humidity (RH), in an incubator (Binder) for several days. The resulting films were 900 g/m2 at 20 °C, 50% RH.
Table 1.
Colours of films and their resistance to light-induced fading 1.
To provide a reference material for infrared spectroscopy (Section 3.5), a film of casein alone was prepared by casting a 10% w/w solution (in 1% w/w sodium hydroxide), without aeration and deaeration. This film was very brittle.
2.2. Characterisations
2.2.1. Color and Resistance to Light-Induced Fading
The colors of the films were measured with a spectrophotometer (Colour-guide 45/0, Mahlo), with D65/10 illuminant/observer, in the Commission International de l’Eclairage, L*a*b* color space. Where L* is the perceived lightness and covers a range from white (100) to black (0), and the a* and b* coordinates are related to Hering’s opponent theory and represent hues on scales of red verses green (a*) and yellow verses blue (b*). Each measurement was made on four thicknesses of the same film laid on top of each other, to prevent reflection from the material on which the films were sitting. Four measurements were made of each film, and the results were averaged.
The resistance to light-induced fading (i.e., colour fastness to light, lightfastness) was measured with a Xenotest Alpha+ instrument (Atlas) in accordance with a standard method (ISO 105-B02) [53]. This method is intended for determining the resistance of the colour of the material to the action of a standard artificial light source representative of natural daylight. The side of the films to be tested (45 mm × 10 mm) was exposed to light from a Xenon lamp, under controlled conditions, along with eight blue dyed wool standards (Blue Scales [53]). The light fastness was assessed at different times, by visual comparison of the fading of the films with the fading of dyed wool standards, until the films had undergone a colour change of grey scale grade 4.
2.2.2. Mechanical Properties
The mechanical properties of the films that are important to footwear materials were determined by standard test methods that are widely accepted by the footwear industry internationally. Determination of tensile strength and percentage elongation, Determination of tear load, (single edge tear), and measurement of stitch tear resistance tests were conducted by using a tensile testing machine with a force range appropriate to the specimen under test, a 5 kN load cell, interchangeable jaws to hold the samples, and a uniform speed of separation of the jaws of (100 ± 20) mm/min [54,55,56]. Determination of the distension and the strength of the surface was measured with a lastometer, pushing a metal ball through the center of a clamped circular leather sample according to standard method ISO 3379 [57]. The hardness of the films was determined by the durometer method (Shore hardness) [58]. The thickness of the films was determined with a micrometer.
2.2.3. Equilibrium Moisture Content
The weights of samples of films were measured after 8 h in an oven at 80 °C (the “dry weight”) and then after conditioning for 24 h in an incubator (Binder), with forced air circulation at 25 °C and various relative humidities between 20% and 80%.
2.2.4. Water Vapour Permeability
The water vapour permeability of the films was measured with STM 473 (SATRA) test equipment in accordance with a widely recognised ISO method 14268 [59]. Testing was performed in a conditioned room at 20 ± 2 °C and 65 ± 5% RH and was based on gravimetric calculation of the water vapour passing through the films (30 mm diameter) placed on covers of the test bottles filled with silica gel.
2.2.5. Fourier Transform Infrared Spectroscopy (FTIR)
The spectra of the films were captured on a Nicolet Summit Pro FTIR spectrometer with an Everest attenuated total reflectance attachment (Thermo Fisher, Waltham, MA, USA) over 4000–400 cm−1 at a resolution of 4 cm−1 averaged over 32 scans.
2.2.6. Statistical Analysis
The measurements were analysed for statistically significant differences by ANOVA and Duncan’s test using a statistical software package (SPSS version 24). A significance level of 0.05 was used.
2.3. Preparation of Shoes
Selected casein films were incorporated into sneaker- and ballerina-style shoes (see Section 3.6 for further details). The shoes were made of box calf by the AGO cemented method (AGO—Another Great Opportunity). Films were applied to the shoe vamps by sowing or button fastening. The films were also incorporated in the insock, as the middle layer, between polyurethane foam, by gluing and sewing.
3. Results and Discussion
3.1. Appearance of the Films and Their Resistance to Light-Induced Fading
One of the films is shown in Figure 3; it was the only one that that was sufficiently transparent to allow the material underneath to be seen. The brown colour imparted by the tannic acid was similar to that of many leather shoe materials. Increasing the proportion of tannic acid from 5% to 10% made the casein film darker (i.e., reduced L*, lightness), Table 1. The lightfastness results of the various samples were not significantly different from each other and were all adequate for the footwear materials (Table 2) [60,61].
Figure 3.
Casein film G40/T5 (9 cm × 9 cm).
Table 2.
Thickness and tensile properties.
3.2. Mechanical Properties
The tensile strengths of the films were similar to each other, with an average of 5 N/mm2, (Table 2), which is below the recommended values of 20 for side upper leathers, 15 for lining leathers, and 10 for insock leathers [61]. The tensile strengths of the films were close to those of some non-leather footwear materials i.e., 5–8 for compact rubbers, 5–12 for non-leather insock materials, 8 for cotton lining materials, and 8–14 for polyvinyl chloride [61]. The percentage elongations at break of all the films are higher than the recommended value of 40% [61]. The stitch tear strength and single edge tear strength properties of the films can be ranked as Film A lowest, Film B and C average, and Film D highest, attributable to the levels of plasticiser and cross-linker. However, these values are below the recommended minimum for footwear materials of 25 N/mm for edge tear strength and 80 N for stitch tear strength [61]. Increasing the level of tannic acid from 5% of the casein to 10% doubled the stitch tear strength and single edge tear strength, regardless of the level of plasticiser, thus demonstrating the importance of tannic acid cross-linking to imparting strength. It can be concluded that the films do not meet the strength properties of the shoe materials but have adequate distension and elongation properties.
Increasing the level of tannic acid reduced both the shore hardness and the grain crack strength (Table 3). Grain distensions were higher than the recommended 7 mm for shoe upper leathers [61]. These results confirm that the tannic acid modifies the mechanical properties of the films, in line with the results for tear strengths presented in Table 2.
Table 3.
Hardness and grain strength.
3.3. Equilibrium Moisture Content
The films contained a large amount of moisture at high humidities, i.e., 50% at 80% RH (Figure 4), in common with leather. Only small differences were seen between the films, but they were consistent across the different relative humidities. Higher levels of glycerol gave higher moisture contents, which could reasonably be ascribed to its hygroscopicity. Inside a shoe, a footwear material’s ability to absorb large amounts of water vapour increases the comfort of the wearer. High levels of moisture would not have any effect on the suitability of the material as a decorative element, see Section 3.6.
Figure 4.
Moisture sorption isotherms of the casein films.
3.4. Water Vapour Permeability
The water vapour permeability (WVP) of shoe materials supports their comfort properties. The insock of the shoe contains three layers: casein film, polyurethane foam, and leather. The WVPs of the films, the layers of the insock, and the insock are determined separately and the results are shown in the Figure 5. Films B and C have a similar permeability, 0.16 and 0.17 mg/(cm2h), respectively (p > 0.05). These values are below the required WVP of at least 0.8 mg/(cm2h) [61,62]. Film D has around three-times greater WVP than the other films (p < 0.05) (i.e., 0.64 mg/(cm2h)) and is closer to industry requirements; this may be due to the higher glycerol and tannic acid ratio of the D film compared to the other samples resulting in more cross-linking and the formation of more and smaller pores in the matrix structure of the film. Jankauskaitė et al. have found WVPs ranging from 1.16 to 3 mg/(cm2h) on waterproof leather samples [62]. It is the combination of materials in a shoe that needs to be considered, and a 3-layer insock of casein, polyurethane, and leather was found to give an undesirably low permeability of 0.54 mg/(cm2h). The WVPs of the casein film layer, the polyurethane foam layer, the leather layer of the insock, and all of the layers combined are found to be 0.46, 1.08, 2.05, and 0.54 mg/(cm2h), respectively (p < 0.05).
Figure 5.
Water vapour permeability of the casein films and insock layers (mg/(cm2h)) 1.
3.5. Fourier Transform Infrared Spectroscopy (FTIR)
FTIR spectroscopy was performed to elucidate possible cross-linking between the casein and TA. The FTIR absorption band assignments of the films are shown in Table 4 and the spectra are presented in Figure 6. Incorporation of tannic acid shifted the amide I, II, and III bands, with the higher level giving the greatest shift. The size of the amide II peak was greatly reduced by 5% tannic acid and was very small with 10% tannic acid. These results show that there was covalent bonding (cross-linking) between the casein and the tannic acid, and these results are in line with previously reported FTIR results [49,63].
Table 4.
FTIR absorption band assignment of the casein and casein–glycerol–tannic acid films (cm−1).
Figure 6.
FTIR spectra of the films.
3.6. Shoes
During the characterisation of the samples, it was observed that films B and D (i.e., those with the higher levels of tannic acid) were too stiff and brittle for use in uppers/vamp, presumably because of the higher level of cross-linking. Film C was slightly thicker than film B, but the effect of the flexibility was more important than the thickness.
Based on the results of the measured properties, different ways of incorporating the films into shoes were undertaken. Films A and C were applied as decorative elements on the vamp of two pairs of shoes. Due to the fact that film D had around three-times greater water vapour permeability than the other films, it was inserted in the insock of the shoes. The shoes are shown in Figure 7.
Figure 7.
Incorporation of casein films into shoes: (a) and (b) G40/T5; (c) and (d) G60/T5; (e) and (f) G60/T10, middle layer.
4. Conclusions
Films of casein were prepared using tannic acid as a cross-linker and glycerol as a plasticiser. The brown colour imparted by the tannic acid had good resistance to light-induced fading. The films had appreciable mechanical strength, (tensile strength 4–5 N/mm2, elongation at break 45%–73%), extensibility (extension at break 45%–73%), and permeability to water vapour (0.2–0.6 mg/(cm2h)). The tannic acid was shown to be cross-linking the casein and would thus contribute to the mechanical strength. The films contained high levels of moisture when exposed to high relative humidities, suggesting they would be valuable for the inner parts of shoes where they could help keep the wearer’s feet dry and comfortable by absorbing perspiration.
The strength of the films was close to those of some non-leather footwear materials such as compact rubbers and insock materials, but below that required for leather shoe vamps/uppers. However, further research is likely to improve these properties. The resistance of the casein films to mold and bacteria also warrants investigation, particularly with respect to tannic acid’s microbial resistance. Replacing glycerol with other plasticisers might significantly enhance the properties of the films. Another approach to increasing the strength of casein films is to combine them with other bio-based materials such as microcrystalline cellulose.
The high moisture content of the films at moderate relative humidities is advantageous for insock materials, but not for outer materials. The changes to cross-linking and plasticization discussed above in connection with mechanical strength could also be employed to reduce moisture content for casein films intended for the outer parts of shoes. An additional strategy warranting research is to incorporate fatliquors or natural hydrophobic materials into the films.
Casein films were successfully used as shoe materials, both as decorative design elements on the vamp and as a functional component of the insock. This work has thus shown that casein films are a promising bio-based material for footwear, which might replace synthetic polymers and thereby improve the sustainability of the 20 billion pairs of footwear produced every year and contribute to the realisation of a circular bioeconomy.
Author Contributions
L.I. and S.M.: conceptualization; L.I., S.M., M.M.M., H.A.K., S.B. and D.C.I.: Investigation; L.I. and S.M.: writing—original draft preparation, S.M.: writing—review and editing. All authors have read and agreed to the published version of the manuscript.
Funding
This research received no external funding.
Informed Consent Statement
Not applicable.
Data Availability Statement
Not applicable.
Acknowledgments
L.I., S.B. and D.C.I. were supported by the University of Oradea Scientific Research Excellence Grant (Priority Areas with Capitalization through Technology Transfer, INO—TRANSFER—UO, Project 232/2022). S.M. was supported by AgResearch core funding from the New Zealand Government Ministry of Business, Innovation and Employment. M.M.M. and H.A.K. were supported by the Turkiye Prime Ministry State Planning Organization (Project number 2007-DPT-001) for infrastructure support of the analytical instruments.
Conflicts of Interest
The authors declare no conflict of interest.
References
- World Footwear. Future Applications of Polyurethanes; January/February; Shoe Trades: Cambridge, MA, USA, 2007; pp. 32–35. [Google Scholar]
- Dulsang, N.; Kasemsiri, P.; Posi, P.; Hiziroglu, S.; Chindaprasirt, P. Characterization of an environment friendly lightweight concrete containing ethyl vinyl acetate waste. Mater. Des. 2016, 96, 350–356. [Google Scholar] [CrossRef]
- Tosun, C.C.; Mater Duru, H.; Afşar, A.; Adiguzel Zengin, A.C. Comparison of water permeability and water absorption performance of shoe upper leathers. Ann. Univ. Oradea Fascicle Text. Leatherwork 2021, 22, 121–124. [Google Scholar]
- Turner, A.; Filella, M. Field-portable-XRF reveals the ubiquity of antimony in plastic consumer products. Sci. Total Environ. 2017, 584/585, 982–989. [Google Scholar] [CrossRef] [PubMed]
- Biver, M.; Turner, A.; Filella, M. Antimony release from polyester textiles by artificial sweat solutions: A call for a standardized procedure. Regul. Toxicol. Pharmacol. 2021, 119, 104824. [Google Scholar] [CrossRef]
- Worthing, M.; Bosworth, L.; Papandrea, M.; Poehler, E.; Ellis, S.; Laurence, R. HHpXRF study of recent zinc and lead pollution on lava stepping stones from Pompeii: Tourist footfall, tyre dust and leaded petrol. Archaeometry 2020, 62, 1042–1066. [Google Scholar] [CrossRef]
- Kapp, K.J.; Miller, R.Z. Electric clothes dryers: An underestimated source of microfiber pollution. PLoS ONE 2020, 15, e0239165. [Google Scholar] [CrossRef]
- Fendall, L.S.; Sewell, M.A. Contributing to marine pollution by washing your face: Microplastics in facial cleansers. Mar. Pollut. Bull. 2009, 58, 1225–1228. [Google Scholar] [CrossRef]
- McNeil, S. Light induced strength loss in jute and polypropylene carpet backing fabrics. Ann. Univ. Oradea Fascicle Text. Leatherwork 2018, 19, 65–70. Available online: http://textile.webhost.uoradea.ro/Annals/Vol%20XIX-No%201-2018/Textile/Art.%20no.%20294-pag.%2065-70.pdf (accessed on 11 January 2023).
- Nayak, K.; Gupta, P. Protein Based Biodegradable Polymer for Food and Non-Food Packaging: A Review. In Proceedings of the Third International Conference on Natural Polymers, Bio-Polymers, Bio-Materials, Their Composites, Blends, IPNs, Polyelectrolytes and Gels (ICNP-2012), Mahatma Gandhi University, Kottayam, India, 26–28 October 2012. [Google Scholar]
- Tripa, S.; Indrie, L. Households’ textile waste management in the context of a circular economy in Romania. Environ. Eng. Manag. J. 2021, 20, 81–87. [Google Scholar] [CrossRef]
- Ilieș, D.C.; Lite, M.-C.; Indrie, L.; Marcu, F.; Moș, C.; Ropa, M.; Sturzu, B.; Costea, M.; Albu, A.V.; Szabo-Alexi, P.; et al. Research for the conservation of cultural heritage in the context of the circular economy. Ind. Text. 2021, 72, 50–54. [Google Scholar] [CrossRef]
- Hou, E.; Huang, C.; Lee, Y.; Chu, H. Upcycled aquaculture waste as textile ingredient for promoting circular economy. Sust. Mater. Technol. 2022, 31, e00336. [Google Scholar] [CrossRef]
- Han, J.H.; Gennadios, A. Edible films and coatings: A review. In Innovations in Food Packaging; Han, J.H., Ed.; Elsevier: San Diego, CA, USA, 2005; pp. 239–262. [Google Scholar]
- Gennadios, A. Edible films and coatings from proteins. In Proteins in Food Processing; Yada, R.Y., Ed.; Woodhead Publishing: Cambridge, UK, 2004; pp. 442–467. [Google Scholar]
- Kaner, G. Greenwashing: How difficult it is to be transparent to the consumer H&M case study. In Green Marketing in Emerging Markets; Mukonza, C., Hinson, R.E., Adeola, O., Adisa, I., Mogaji, E., Kirgiz, A.C., Eds.; Palgrave MacMillan: Cham, Switzerland, 2021; pp. 203–206. [Google Scholar] [CrossRef]
- Kumar, P.K.; Anand, B. Understanding consumer purchase intention towards biodegradable footwear: A study. Indian J. Mark. 2013, 43, 16–24. [Google Scholar] [CrossRef]
- Collie, S.R.; Ranford, S.L.; Fowler, I.J.; Brorens, P.H. Microfibre Pollution–What’s The Story for Wool? In Proceedings of the 19th World Textile Conference-Autex, Gent, Belgium, 11–15 June 2019; Available online: http://autex2019.semicomedia.be/ (accessed on 13 May 2022).
- McNeil, S.J.; Sunderland, M.R.; Zaitseva, L.I. Closed-loop wool carpet recycling. Resour. Conserv. Recycl. 2007, 51, 220–224. [Google Scholar] [CrossRef]
- Donaldson, R.H. Flocking to It. Available online: https://www.engineeringnz.org/news-insights/flocking-it/ (accessed on 20 September 2022).
- Johnson, N.A.G.; Wood, E.J.; Ingham, P.E.; McNeil, S.J.; McFarlane, I.D. Wool as a technical fibre. J. Text. Inst. 2003, 94, 26–41. [Google Scholar] [CrossRef]
- Shivaprasad, P.; Jones, M.D.; Frith, P.; Emanuelsson, E.A.C. Investigating the effect of increasing cloth size and cloth number in a spinning mesh disc reactor (SMDR): A study on the reactor performance. Chem. Eng. Process 2020, 147, 107780. [Google Scholar] [CrossRef]
- McNeil, S.J.; Sunderland, M.R.; Leighs, S.J. The utilisation of wool as a catalyst and as a support for catalysts. Appl. Catal. A 2017, 541, 120–140. [Google Scholar] [CrossRef]
- DasGupta, S. Novel eco-friendly approaches for the production of upholstery leather. J. Am. Leather Chem. Assoc. 2009, 104, 92–102. [Google Scholar]
- Sunderland, M.; McNeil, S. The properties of wool fibre, yarn, knitted fabric, and leather obtained from enzyme depilation of ovine skins. Key Eng. Mater. 2015, 671, 317–323. [Google Scholar] [CrossRef]
- Omoloso, O.; Mortimer, K.; Wise, W.R.; Jraisat, L. Sustainability research in the leather industry: A critical review of progress and opportunities for future research. J. Clean. Prod. 2020, 285, 125441. [Google Scholar] [CrossRef]
- Gaidau, C.; Stanca, M.; Niculesc, M.; Berechet, D.; Simion, D.; Alexe, C. Circular technology for sheepskin tanning. Ann. Univ. Oradea Fascicle Text. Leatherwork 2021, 22, 95–100. [Google Scholar]
- Yorgancıoğlu, A.; Önem, E.; Yılmaz, O.; Karavana, H.A. Interactions between collagen and alternative leather tannages to chromium salts by comparative thermal analysis methods. Johns. Matthey Technol. Rev. 2022, 66, 215–226. [Google Scholar] [CrossRef]
- Michael, A. The Rise and Rise of the Merino Wool Shoe. The Spinoff. Available online: https://thespinoff.co.nz/business/20-01-2021/the-rise-of-the-merino-wool-shoe/?utm_source=linkedin&utm_campaign=LogiSYM%20Lighter (accessed on 13 May 2022).
- Cerimi, K.; Akkaya, K.C.; Pohl, C.; Schmidt, B.; Neubauer, P. Fungi as source for new bio-based materials: A patent review. Fungal Biol. Biotechnol. 2019, 6, 17. [Google Scholar] [CrossRef] [PubMed]
- Barr, T.; Haigh, D. Wool/protein-fibre blends in felt manufacture. J. Text. Inst. Proc. 1952, 43, 593–603. [Google Scholar] [CrossRef]
- Carroll-Porczynski, C.Z. Natural Polymer Man-Made Fibres; National Trade Press Ltd.: London, UK, 1961; pp. 211–215. [Google Scholar]
- Bier, M.C.; Kohn, S.; Stierand, A.; Grimmelsmann, N.; Homburg, S.V.; Rattenholl, A.; Ehrmann, A. Investigation of eco-friendly casein fibre production methods. IOP Conf. Ser. Mater. Sci. Eng. 2017, 254, 192004. [Google Scholar] [CrossRef]
- Reddy, N.; Yang, Y. Novel protein fibers from wheat gluten. Biomacromolecules 2007, 8, 638–643. [Google Scholar] [CrossRef]
- Gupta, H.; McNeil, S.J.; Ranford, S.; Staiger, M. Development of Mesoporous Protein-Based Bio-Aerogels. In Proceedings of the 37th Australasian Polymer Symposium, Sunshine Coast, Australia, 10–13 November 2019; Available online: https://scienceandtechnologyaustralia.org.au/event/37th-australasian-polymer-symposium/ (accessed on 13 May 2022).
- Russell, G.T.; Stenzel, M.H. When Harry met Sally: Polymer chemistry meets biomaterials. Aust. J. Chem. 2006, 59, 477–480. [Google Scholar] [CrossRef]
- Nielsen, P.M.F.; Hunter, P.J.; Smaill, B.H. Biaxial testing of membrane biomaterials: Testing equipment and procedures. J. Biomech. Eng. 1991, 113, 295–300. [Google Scholar] [CrossRef] [PubMed]
- McNeil, S.J.; Gupta, H. Emerging applications of aerogels in textiles. Polym. Test. 2022, 106, 107426. [Google Scholar] [CrossRef]
- Mogas-Soldevila, L.; Matzeu, G.; Presti, M.L.; Omenetto, F.G. Additively manufactured leather-like silk protein materials. Mater. Des. 2021, 203, 109631. [Google Scholar] [CrossRef]
- Yordanova, D.; Gibbons, S. Milking it. Twist 2017, 18, 36–37. [Google Scholar]
- Smiddy, M.A.; Martin, J.-E.G.H.; Kelly, A.L.; De Kruif, C.G.; Huppertz, T. Stability of casein micelles cross-linked by transglutaminase. J. Dairy Sci. 2006, 89, 1906–1914. [Google Scholar] [CrossRef]
- Augustin, M.A.; Oliver, C.M.; Hemar, Y. Casein, Caseinates and Milk Protein Concentrates; Wiley-Blackwell: Oxford, UK, 2011. [Google Scholar]
- McMahon, D.J.; Oommen, B.S. Supramolecular structure of the casein micelle. J. Dairy Sci. 2008, 91, 1709–1721. [Google Scholar] [CrossRef] [PubMed]
- Matheis, G.; Whitaker, J.R. A review: Enzymatic cross-linking of proteins applicable to foods. J. Food Biochem. 1987, 11, 309–327. [Google Scholar] [CrossRef]
- Strube, O.I.; Bremser, W.; Rüdiger, A.A. Method for Coating Surfaces by Enzymatic. Reaction. Patent WO2015150368 A1, 31 March 2015. [Google Scholar]
- Gerrard, J.A. Protein-protein crosslinking in food: Methods, consequences, applications. Trends Food Sci. Technol. 2002, 13, 391–399. [Google Scholar] [CrossRef]
- Huang, J.; Li, K. A new soy flour-based adhesive for making interior type II plywood. J. Am. Oil Chem. Soc. 2008, 85, 63–70. [Google Scholar] [CrossRef]
- Wang, Y.; Ma, J.; Xu, Q.; Zhang, J. Fabrication of antibacterial casein-based ZnO nanocomposite for flexible coatings. Mater. Des. 2017, 113, 240–245. [Google Scholar] [CrossRef]
- Picchio, M.L.; Linck, Y.G.; Monti, G.A.; Gugliotta, L.M.; Minari, R.J.; Igarzabal, C.I.A. Casein films crosslinked by tannic acid for food packaging applications. Food Hydrocoll. 2018, 84, 424–434. [Google Scholar] [CrossRef]
- Strauss, G.; Gibson, S.M. Plant phenolics as cross-linkers of gelatin gels and gelatin-based coacervates for use as food ingredients. Food Hydrocoll. 2004, 18, 81–89. [Google Scholar] [CrossRef]
- Önem, E.; Yorgancıoğlu, A.; Karavana, H.A.; Yılmaz, O. Comparison of different tanning agents on the stabilization of collagen via differential scanning calorimetry. J. Therm. Anal. Calorim. 2017, 129, 615–622. [Google Scholar] [CrossRef]
- Gülçin, İ.; Huyut, Z.; Elmastaş, M.; Aboul-Enein, H.Y. Radical scavenging and antioxidant activity of tannic acid. Arab. J. Chem. 2010, 3, 43–53. [Google Scholar] [CrossRef]
- ISO 105-B02, Method 3; Colour Fastness to Artificial Light: Xenon Arc Fading Lamp Test. Textiles, Tests for Colour Fastness. International Organization for Standardization: Geneva, Switzerland, 2013.
- ISO 3376; Determination of Tensile Strength and Percentage Elongation. Leather, Physical and Mechanical Tests. International Organization for Standardization: Geneva, Switzerland, 2020.
- ISO 3377-1; Determination of Tear Load, Part 1: Single Edge Tear. Leather, Physical and Mechanical Tests. International Organization for Standardization: Geneva, Switzerland, 2011.
- ISO 23910; Measurement of Stitch Tear Resistance. Leather, Physical and Mechanical Tests. International Organization for Standardization: Geneva, Switzerland, 2019.
- ISO 3379; Determination of Distension and Strength of Surface (Ball Burst Method). International Organization for Standardization: Geneva, Switzerland, 2015.
- ISO 48-4; Determination of Hardness, Part 4: Indentation Hardness by Durometer Method (Shore Hardness). Rubber, Vulcanized or Thermoplastic. International Organization for Standardization: Geneva, Switzerland, 2018.
- ISO 14268 [IULTCS/IUP 15]; Determination of Water Vapour Permeability, Leather Physical and Mechanical Tests. International Organization for Standardization: Geneva, Switzerland, 2012.
- United Nations Industrial Development Organisation. Acceptable Quality Standards in the Leather and Footwear Industry; United Nations Industrial Development Organisation: Vienna, Austria, 1996. [Google Scholar]
- BASF. Pocket Book for the Leather Technologist, 4th ed.; BASF: Ludwigshafen, Germany, 2007. [Google Scholar]
- Jankauskaitė, V.; Jiyembetova, I.; Gulbinienė, A.; Širvaitytė, J.; Keleška, K.; Urbelis, V. Comparable evaluation of leather waterproofing behaviour upon hide quality. I. Influence of retanning and fatliqouring agents on leather structure and properties. Medžiagotyra 2012, 18, 1320–1392. [Google Scholar] [CrossRef]
- Aguzin, A.; Luque, G.C.; Ronco, L.I.; Del Agua, I.; Guzmán-González, G.; Marchiori, B.; Gugliotta, A.; Tomé, L.C.; Gugliotta, L.M.; Mecerreyes, D.; et al. Gelatin and tannic acid based iongels for muscle activity recording and stimulation electrodes. ACS Biomater. Sci. Eng. 2022, 8, 2598–2609. [Google Scholar] [CrossRef] [PubMed]
Disclaimer/Publisher’s Note: The statements, opinions and data contained in all publications are solely those of the individual author(s) and contributor(s) and not of MDPI and/or the editor(s). MDPI and/or the editor(s) disclaim responsibility for any injury to people or property resulting from any ideas, methods, instructions or products referred to in the content. |
© 2023 by the authors. Licensee MDPI, Basel, Switzerland. This article is an open access article distributed under the terms and conditions of the Creative Commons Attribution (CC BY) license (https://creativecommons.org/licenses/by/4.0/).






