Thermal Transmittance, Dimensional Stability, and Mechanical Properties of a Three-Layer Laminated Wood Made from Fir and Meranti and Its Potential Application for Wood-Frame Windows
Abstract
1. Introduction
2. Materials and Methods
2.1. Specimen Preparation
2.2. Manufacture of Laminated Wood
2.3. Thermal Transmittance Determination
2.4. Statistical Analysis
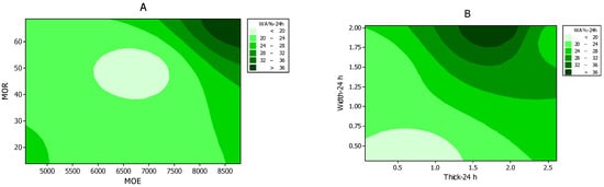
3. Results
4. Discussion
5. Conclusions
Author Contributions
Funding
Institutional Review Board Statement
Informed Consent Statement
Data Availability Statement
Conflicts of Interest
References
- Morin-Bernard, A.; Blanchet, P.; Dagenais, C.; Achim, A. Use of northern hardwoods in glued-laminated timber: A study of bondline shear strength and resistance to moisture. Eur. J. Wood Prod. 2020, 78, 891–903. [Google Scholar] [CrossRef]
- Papadopoulos, A.N.; Taghiyari, H.R. Innovative Wood Surface Treatments Based on Nanotechnology. Coatings 2019, 9, 866. [Google Scholar] [CrossRef]
- Moody, R.C.; Hernandez, R.; Liu, J.Y. Glued structural timbers. In WoodHandbook: Wood as an Engineering Material; Forest Products Laboratory: Madison, WI, USA, 1999. [Google Scholar]
- Moody, R.C.; Hernandez, R.; Liu, J.Y. Glued-Laminated Timber. In Engineered Wood Products-A Guide for Specifiers, Designs and Users; Smulski, S., Ed.; PFS Research Foundation: Madison, WI, USA, 1997; pp. 1–39. [Google Scholar]
- Janowiak, J.; Manbeck, H.B.; Hernandez, R.; Moody, R.C. Red maple lumber resources for glue-laminated timber beams. J. For. Prod. 1997, 47, 55–64. [Google Scholar]
- Komariah, R.N.; Hadi, Y.S.; Massijaya, M.Y.; Suryana, J. Physical-mechanical properties of glued laminated timber made from tropical small-diameter logs grown in indonesia. J. Korean Wood Sci.Technol. 2015, 43, 156–167. [Google Scholar] [CrossRef]
- Japan’s Ministry of Agriculture, Forestry and Fisheries (MAFF). JAS for Glued Laminated Timber; Japanese Agricultural Standard: Tokyo, Japan, 2008; pp. 1–42. (In Japanese) [Google Scholar]
- Hayashi, T.; Miyatake, A. Recent research and development on sugi (Japanese cedar) structural glued laminated timber. J. Wood Sci. 2015, 61, 337–342. [Google Scholar] [CrossRef][Green Version]
- Wong, W.C.; Wong, C.N. Grouping species in plywood manufacture. In Proceedings of the 11th Commenwealth Forestry Conference; Ministry of Agriculture, Lands and Fisheries: Trinidad Tobago; BMJ Publishing Group: Port of Spain, Trinidad Tobago, 1980; pp. 523–535. [Google Scholar]
- SáRibeiro, R.A.; SáRibeiro, M.G. Mechanical properties of amazonian lumber for the development of design stresses. In Proceedings of the International Timber Engineering Conference; The University of Tokyo Forests (UTF): Tokyo, Japan, 1990; pp. 189–202. [Google Scholar]
- Corigliano, P.; Crupi, V.; Epasto, G.; Guglielmino, E.; Maugeri, N.; Marino, A. Experimental and theoretical analyses of iroko wood laminates. Compos. B Eng. 2017, 112, 251–254. [Google Scholar] [CrossRef]
- Correal, J.F.; Echeverry, J.S.; Ramirez, F.; Yamin, L.E. Experimental evaluation of physical and mechanical properties of glued laminated guaduaangustifoliakunth. Constr. Building Mater. 2014, 73, 105–112. [Google Scholar] [CrossRef]
- Hartono, R.; Sucipto, T. Quality improvement of laminated board made from oil palm trunk at various outer layer using phenol formaldehyde adhesive. IOP Conf. Ser. Mater. Sci. Eng. 2018, 309, 012049. [Google Scholar] [CrossRef]
- Puluhulawa, I.; Alamsyah, A.; Pribadi, J.A. The experimental study on laminated beam by mahang and meranti wood with variations connectors. Conf. Proc. 2018, 3, 109–115. [Google Scholar]
- Ong, C.B. Performance of Glue-Laminated Beams from Malaysian Dark Red Meranti Timber. Ph.D. Thesis, University of Bath, Department of Architecture and Civil Engineering, Bath, UK, 2018. [Google Scholar]
- ASTM International. ASTM D143—94. Standard Test Methods for Small Clear Specimens of Timber; ASTM International: West Conshohocken, PA, USA, 2007. [Google Scholar]
- EN 385 Finger Jointed Structural Timber-Performance Requirements and Minimum Production Requirements; European Committee for Standardization: Brussels, Belgium, 2001.
- BSI 2014. ISO 9869-1:2014: Thermal Insulation-Building Elements-Insitu Measurement of Thermal Resistance and Thermal Transmittance; Part 1: Heat Flow Meter Method; BSI: London, UK, 2014. [Google Scholar]
- Cuce, E. Role of airtightness in energy loss from windows: Experimental results from in-situ tests. Energy Build. 2017, 139, 449–455. [Google Scholar] [CrossRef]
- Cuce, E. Accurate and reliable U-value assessment of argon-filled double glazed windows: A numerical and experimental investigation. Energy Build. 2018, 171, 100–106. [Google Scholar] [CrossRef]
- Bergman, T.; Lavine, A.; Incropera, F.; De Witt, D. Fundamentals of Heat and Mass Transfer, 7th ed.; John Wiley & Sons: New York, NY, USA, 2011. [Google Scholar]
- Taghyari, H.R.; Ghorbanali, M.; Tahir, P.M.D. Effects of the improvement in thermal conductivity coefficient bynano-wollastonite on physical and mechanical properties in medium-density fiber board (MDF). BioResources 2014, 9, 4138–4149. [Google Scholar]
- Taghiyari, H.R.; Norton, J.; Tajvidi, M. Effects of nano-materials. In Bio-Based Wood Adhesives: Preparation, Characterization, and Testing; CRC Press/Taylor & Francis Group: Boca Raton, FI, USA, 2017; pp. 310–339. [Google Scholar]
- Taghiyari, H.R.; Soltani, A.; Esmailpour, A.; Hassani, V.; Gholipour, H.; Papadopoulos, A.N. Improving thermal conductivity coefficient in oriented strand lumber (OSL) using sepiolite. Nanomaterials 2020, 10, 599. [Google Scholar] [CrossRef] [PubMed]
- TESTO 635-2 Temperature & Moisture Meter. Available online: https://www.testo.com/en-US/testo-635-2/p/0563-6352 (accessed on 1 February 2021).
- BSI Standards. BS EN ISO 10077-2: 2017 BSI Standards Publication Thermal Performance of Windows, Doors and Shutters—Calculation of Thermal Transmittance; BSI: London, UK, 2017. [Google Scholar]
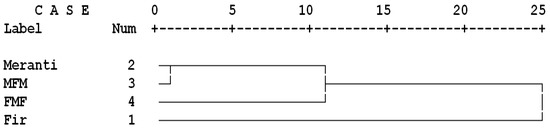
- Ada, R. Cluster analysis and adaptation study for safflower genotypes. J. Bulg. Agric. Sci. 2013, 19, 40–47. [Google Scholar]
- Taghiyari, H.R.; Layeghi, M.; AminzadehLiyafooee, F. Effects of dry ice on gas permeability of nano-silver-impregnated Populusnigra and Fagusorientalis. IET Nanobiotechnol. 2012, 6, 40–44. [Google Scholar] [CrossRef] [PubMed]
- Taghiyari, H.R.; Majidinajafabadi, R.; Vahidzadeh, R. Wollastonite to hinder growth of aspergillusniger on cotton textile. An. Acad. Bras. Cienc. 2018, 90, 2797–2804. [Google Scholar] [CrossRef] [PubMed]
- Efhami Sisi, D.; Karimi, A.; Pourtahmasi, K.; Taghiyari, H.R.; Asadi, F. The effects of agroforestry practices on vessel properties in Populus nigra Var. betulifolia. IAWA J. 2010, 31, 481–487. [Google Scholar] [CrossRef]
- Taghiyari, H.R.; Efhami, D.; Karimi, A.N.; Pourtahmasi, K. Effects of initial spacing on gas permeability of Populus nigra Var. betulifolia. J. Trop. For. Sci. 2011, 23, 305–310. [Google Scholar]
- Taghiyari, H.R.; Efhami, D. Diameter increment response of Populus nigra Var. betulifolia induced by alfalfa. Austrian J. For. Sci. 2011, 2, 113–127. [Google Scholar]
- Jankowska, A.; Kozakeiwicz, P. Comparison of thermal properties of selected wood species intended to woodwork windows production. For. Wood Technol. 2014, 85, 101–105. [Google Scholar]
- Šilinskas, B.; Varnagirytė-Kabašinskienė, I.; Aleinikovas, M.; Beniušienė, L.; Aleinikovienė, J.; Škėma, M. Scots pine and norway spruce wood properties at sites with different stand densities. Forests 2020, 11, 587. [Google Scholar] [CrossRef]
- Taghiyari, H.R.; Esmailpour, A.; Adamopoulos, S.; Zereshki, K.; Hosseinpourpia, R. Shear strength of heat-treated solid wood bonded with polyvinyl-acetate reinforced by nanowollastonite. Wood Res. 2020, 65, 183–194. [Google Scholar] [CrossRef]
- Taghiyari, H.R.; Majidi, R.; Mohseni Armaki, S.M.; Haghighatparast, M.R. Graphene as reinforcing filler in polyvinyl acetate resin. J. Int. Adhes. Adhes. 2020. Accepted. [Google Scholar]
- Pizzi, A.; Papadopoulos, A.; Policardi, F. Wood Composites and Their Polymer Binders. Polymers 2020, 12, 1115. [Google Scholar] [CrossRef]
- Papadopoulos, A.N. The effect of acetylation on bending strength of finger jointed beech wood (Fagus sylvatica L.). Holzalsroh Werkst. 2008, 66, 309–310. [Google Scholar] [CrossRef]
- Castro, G.; Paganini, F. Mixed glued laminated timber of poplar and eucalyptus grandis clones. Holzalsroh Werkst. 2003, 61, 291–298. [Google Scholar] [CrossRef]
- Mohamad, W.H.W.; Razian, M.A.; Ahmad, Z. Bending strength properties of glued laminated timber from selected Malaysian hardwood timber. Int. J. Civ. Environ. Eng. 2011, 11, 4. [Google Scholar]
- Forest Products Laboratory. Wood Handbook-Wood as an Engineering Material; USDA Forest Service Forest Products: Madison, WI, USA, 2010. [Google Scholar]
- Falk, R.; Colling, F. Laminating effects in glued-laminated timber beams. J. Struct. Eng. 1995, 121, 1857–1863. [Google Scholar] [CrossRef]
- Dietsch, P.; Tannert, T. Assessing the integrity of glued-laminated timber elements. Constr. Build. Mater. 2015, 101, 1259–1270. [Google Scholar] [CrossRef]
- Frihart, C.R.; Hunt, C.G. Adhesives with wood materials: Bond formation and performance. In Wood Handbook: Wood as an Engineering Material; Forest Products Laboratory: Madison, WI, USA, 2010; pp. 1–10. [Google Scholar]
- Selbo, M.L. Adhesive Bonding of Wood; Forest Service: Washington, DC, USA, 1975. [Google Scholar]
- Konnerth, J.; Kluge, M.; Schweizer, G.; Miljković, M.; Gindl-Altmutter, W. Survey of selected adhesive bonding properties of nine European softwood and hardwood species. J. Eur. Wood Prod. 2016, 74, 809–819. [Google Scholar] [CrossRef]
- Knorz, M.; Schmidt, M.; Torno, S.; van de Kuilen, J.W. Structural bonding of ash (Fraxinus excelsior L.): Resistance to delamination and performance in shearing tests. J. Eur. Wood Prod. 2014, 72, 297–309. [Google Scholar] [CrossRef]
- CAN/CSA 0122-16. CSA Structural Glued-Laminated Timber; Canadian Standards Association: Toronto, ON, Canada, 2016. [Google Scholar]
- Dinwoodie, J.M. Timber: Its Nature and Behavior; Van Nostrand Reinhold Company Ltd.: Wokingham, Berks, UK, 1981. [Google Scholar]
- Walker, J.C.F.; Butterfield, B.G.; Langrish, T.A.G.; Harris, J.M.; Uprichard, J.M. Primary Wood Processing: Principles and Practise; Chapman & Hall Ltd.: London, UK, 1993. [Google Scholar]





| Wood Species | Physical Properties a | ||
|---|---|---|---|
| Water Absorption (%) | |||
| 24 h | 48 h | 72 h | |
| fir | 39.44 (±7.75) b A c | 51.02 (±9.81) A | 58.84 (±10.9) A |
| meranti | 18.05 (±0.70) B | 23.08 (±0.70) B | 25.84 (±0.68) B |
| Wood Species | Longitudinal Swelling (Axial) (%) | ||
| 24 h | 48 h | 72 h | |
| fir | 0.06 (±0.01) A | 0.10 (±0.09) A | 0.12 (±0.09) A |
| meranti | −0.16 (±0.04) B | −0.11 (±0.04) B | −0.09 (±0.04) B |
| Wood Species | Width Swelling (Tangential) (%) | ||
| 24 h | 48 h | 72 h | |
| fir | 2.03 (±0.97) A | 3.08 (±0.95) A | 3.3 (±1.27) A |
| meranti | 0.31 (±0.02) B | 1.41 (±0.42) B | 1.87 (±0.34) B |
| Wood Species | Thickness Swelling (Radial) (%) | ||
| 24 h | 48 h | 72 h | |
| fir | 1.79 (±0.86) A | 2.46 (±0.73) A | 2.8 (±0.73) A |
| meranti | 0.67 (±0.031) B | 1.67 (±0.29) B | 2.26 (±0.36) B |
| Wood Species | Bending Properties a | |
|---|---|---|
| MOR (N/mm2) | MOE (N/mm2) | |
| fir | 68.66 (±6.54) b A c | 8796.73 (±1254.32) A |
| meranti | 48.81 (±3.92) B | 6771.6 (±780.16) B |
| Laminated Wood | Physical Properties a | ||
|---|---|---|---|
| Water Absorption (%) | |||
| 24 h | 48 h | 72 h | |
| MFM | 20.51 (±1.48) b A c | 25.4 (±1.53) A | 27.60 (±1.34) A |
| FMF | 26.21 (±0.61) B | 32.34 (±0.64) B | 34.93 (±0.51) B |
| Laminated wood | Longitudinal Swelling (%) | ||
| 24 h | 48 h | 72 h | |
| MFM | −0.04 (±0.005) A | −0.02 (±0.004) A | 0.00 (±0.004) A |
| FMF | 0.00 (±0.003) A | 0.01 (±0.003) A | 0.03 (±0.004) A |
| Laminated wood | Width Swelling (%) | ||
| 24 h | 48 h | 72 h | |
| MFM | 1.42 (±0.48) A | 2.07 (±0.35) A | 2.62 (±0.31) A |
| FMF | 1.85 (±0.21) A | 2.67 (±0.26) A | 2.95 (±0.28) A |
| Laminated wood | Thickness Swelling (%) | ||
| 24 h | 48 h | 72 h | |
| MFM | 0.06 (±0.063) A | 0.86 (±0.090) A | 2.43 (±0.75) A |
| FMF | 2.61 (±1.14) B | 4.79 (±1.04) B | 5.41 (±0.83) B |
| Laminated Wood | Bending Properties a | |
|---|---|---|
| MOR (N/mm2) | MOE (N/mm2) | |
| MFM | 14.47 (±1.56) b A c | 5659.51 (±697.41) A |
| FMF | 13.81 (±1.51) A | 4571.99 (±798.47) A |
| Window Type | Window’s Thermal Transmittance Uw (W/m2·K) |
|---|---|
| FMF | 1.687 |
| MFM | 1.946 |
Publisher’s Note: MDPI stays neutral with regard to jurisdictional claims in published maps and institutional affiliations. |
© 2021 by the authors. Licensee MDPI, Basel, Switzerland. This article is an open access article distributed under the terms and conditions of the Creative Commons Attribution (CC BY) license (http://creativecommons.org/licenses/by/4.0/).
Share and Cite
Koutsianitis, D.; Ninikas, K.; Mitani, A.; Ntalos, G.; Miltiadis, N.; Vasilios, A.; Taghiyari, H.R.; Papadopoulos, A.N. Thermal Transmittance, Dimensional Stability, and Mechanical Properties of a Three-Layer Laminated Wood Made from Fir and Meranti and Its Potential Application for Wood-Frame Windows. Coatings 2021, 11, 304. https://doi.org/10.3390/coatings11030304
Koutsianitis D, Ninikas K, Mitani A, Ntalos G, Miltiadis N, Vasilios A, Taghiyari HR, Papadopoulos AN. Thermal Transmittance, Dimensional Stability, and Mechanical Properties of a Three-Layer Laminated Wood Made from Fir and Meranti and Its Potential Application for Wood-Frame Windows. Coatings. 2021; 11(3):304. https://doi.org/10.3390/coatings11030304
Chicago/Turabian StyleKoutsianitis, Dimitrios, Konstantinos Ninikas, Andromachi Mitani, George Ntalos, Nikolakakos Miltiadis, Argyris Vasilios, Hamid R. Taghiyari, and Antonios N. Papadopoulos. 2021. "Thermal Transmittance, Dimensional Stability, and Mechanical Properties of a Three-Layer Laminated Wood Made from Fir and Meranti and Its Potential Application for Wood-Frame Windows" Coatings 11, no. 3: 304. https://doi.org/10.3390/coatings11030304
APA StyleKoutsianitis, D., Ninikas, K., Mitani, A., Ntalos, G., Miltiadis, N., Vasilios, A., Taghiyari, H. R., & Papadopoulos, A. N. (2021). Thermal Transmittance, Dimensional Stability, and Mechanical Properties of a Three-Layer Laminated Wood Made from Fir and Meranti and Its Potential Application for Wood-Frame Windows. Coatings, 11(3), 304. https://doi.org/10.3390/coatings11030304

