Film Growth of Tetragonal SnO2 on Glass Substrate by Dip-Coating Technique for Ethanol Sensing Applications
Abstract
1. Introduction
2. Materials and Methods
2.1. Materials
2.2. Sample Preparation
2.3. Film Growth of Tetragonal SnO2
2.4. Characterization
2.5. Sensor Fabrication and Measurements
3. Results and Discussion
3.1. Structural and Morphological Analysis
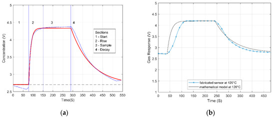
3.2. Gas Sensing Experiments
3.3. Sensor Stability
4. Conclusions
Author Contributions
Funding
Institutional Review Board Statement
Informed Consent Statement
Acknowledgments
Conflicts of Interest
References
- Villarreal, B.L.; Gordillo, J.L. Bioinspired Smell Sensor: Nostril Model and Design. IEEE/ASME Trans. Mechatron. 2015, 21, 912–921. [Google Scholar] [CrossRef]
- Kadir, R.A.; Abdul Rani, R.; Zoolfakar, A.S.; Ou, J.Z.; Shafiei, M.; Wlodarski, W.; Kalantar-zadeh, K. Nb2O5 Schottky based ethanol vapour sensors: Effect of metallic catalysts. Sens. Actuators B Chem. 2014, 202, 74–82. [Google Scholar] [CrossRef]
- Mirzaei, A.; Leonardi, S.; Neri, G. Detection of hazardous volatile organic compounds (VOCs) by metal oxide nanostructures-based gas sensors: A review. Ceram. Int. 2016, 42, 15119–15141. [Google Scholar] [CrossRef]
- Aksoy, F.A.; Gumus, C.; Er, A.O.; Farha, A.H.; Akgul, G.; Ufuktepe, Y.; Liu, Z. Structural and electronic properties of SnO2. J. Alloy. Compd. 2013, 579, 50–56. [Google Scholar]
- Mech, K.; Kowalik, R.; Fitzner, K. Electrochemical synthesis of tetragonal SnO2 phase. Arch. Met. Mater. 2011, 56, 599–663. [Google Scholar] [CrossRef]
- Lupan, O.; Chow, L.; Chai, G.; Heinrich, H.; Park, S.; Schulte, A. Growth of tetragonal SnO2 microcubes and their char-acterization. J. Cryst. Growth 2008, 311, 152–155. [Google Scholar] [CrossRef]
- Nejati, K. Synthesis by precipitation method and investigation of SnO2 nanoparticles. Cryst. Res. Technol. 2012, 47, 567–572. [Google Scholar] [CrossRef]
- Carvalho, D.H.; Schiavon, M.; Raposo, M.; De Paiva, R.; Alves, J.; Paniago, R.M.; Speziali, N.; Ferlauto, A.; Ardisson, J. Synthesis and characterization of SnO2 thin films prepared by dip-coating method. Phys. Procedia 2012, 28, 22–27. [Google Scholar] [CrossRef]
- Subramaniam, M.P.; Arunachalam, G.; Kandasamy, R.; Veluswamy, P.; Hiroya, I. Effect of pH and annealing temperature on the properties of tin oxide nanoparticles prepared by sol-gel method. J. Mater. Sci. Mater. Electron. 2017, 29, 658–666. [Google Scholar] [CrossRef]
- Sun, Y.-F.; Liu, S.-B.; Meng, F.-L.; Liu, J.-H.; Jin, Z.; Kong, L.-T. Metal Oxide Nanostructures and Their Gas Sensing Properties: A Review. Sensors 2012, 12, 2610–2631. [Google Scholar] [CrossRef]
- Tomchenko, A.A.; Harmer, G.P.; Marquis, B.T.; Allen, J.W. Semiconducting metal oxide sensor array for the selective detection of combustion gases. Sens. Actuators B Chem. 2003, 93, 126–134. [Google Scholar] [CrossRef]
- Kanan, S.M.; El-Kadri, O.M.; Abu-Yousef, I.A.; Kanan, M.C. Semiconducting Metal Oxide Based Sensors for Selective Gas Pollutant Detection. Sensors 2009, 9, 8158–8196. [Google Scholar] [CrossRef]
- Bouchikhi, B.; Schludzinski, T.; Saidi, T.; Smulko, J.; El Bari, N.; Wen, H.; Ionescu, R. Formaldehyde detection with chemical gas sensors based on WO3 nanowires decorated with metal na-noparticles under dark conditions and UV light irradiation. Sens. Actuators B Chem. 2020, 320, 128331. [Google Scholar] [CrossRef]
- Neri, G. First fifty years of chemoresistive gas sensors. Chemosensors 2015, 3, 1–20. [Google Scholar] [CrossRef]
- Yang, F.; Guo, Z. Comparison of the enhanced gas sensing properties of tin dioxide samples doped with different catalytic transition elements. J. Colloid Interface Sci. 2015, 448, 265–274. [Google Scholar] [CrossRef] [PubMed]
- Mohanapriya, P.; Segawa, H.; Watanabe, K.; Watanabe, K.; Samitsu, S.; Natarajan, T.S.; Jaya, N.V.; Ohashi, N. Enhanced ethanol-gas sensing performance of Ce-doped SnO2 hollow nanofibers prepared by elec-trospinning. Sens. Actuators B. Chem. 2013, 188, 872–878. [Google Scholar] [CrossRef]
- Sahm, T.; Mädler, L.; Gurlo, A.; Barsan, N.; Pratsinis, S.E.; Weimar, U. Flame spray synthesis of tin dioxide nanoparticles for gas sensing. Sens. Actuators B Chem. 2004, 98, 148–153. [Google Scholar] [CrossRef]
- Ionescu, R. Ageing and p-type conduction in SnO2 gas sensors. Sens. Actuators B Chem. 1999, 58, 375–379. [Google Scholar] [CrossRef]
- Zhao, J.; Huo, L.-H.; Gao, S.; Zhao, H.; Zhao, J.-G. Alcohols and acetone sensing properties of SnO2 thin films deposited by dip-coating. Sens. Actuators B Chem. 2006, 115, 460–464. [Google Scholar] [CrossRef]
- Roberts, R.; Villarreal, B.L.; Rodriguez-Leal, E.; Gordillo, J.L. Haptically assisted chemotaxis for odor source localization. SN Appl. Sci. 2019, 1, 382. [Google Scholar] [CrossRef]
- Villarreal, B.L.; Olague, G.; Gordillo, J.L. Odor plume tracking algorithm inspired on evolution. In Pattern Recognition; Springer: Cham, Switzerland, 2014; pp. 321–330. [Google Scholar]
- Villarreal, B.L.; Olague, G.; Gordillo, J.L. Synthesis of odor tracking algorithms with genetic programming. Neurocomputing 2016, 175, 1019–1032. [Google Scholar] [CrossRef]
- El Qader, A.A.; Lieberman, D.; Avni, Y.S.; Svobodin, N.; Lazarovitch, T.; Sagi, O.; Zeiri, Y. Volatile organic compounds generated by cultures of bacteria and viruses associated with respiratory infections. Biomed. Chromatogr. 2015, 29, 1783–1790. [Google Scholar] [CrossRef] [PubMed]
- Sethi, S.; Nanda, R.; Chakraborty, T. Clinical application of volatile organic compound analysis for detecting infectious diseases. Clin. Microbiol. Rev. 2013, 26, 462–475. [Google Scholar] [CrossRef] [PubMed]
- Nasiri, S.; Khosravani, M.R. Progress and challenges in fabrication of wearable sensors for health monitoring. Sens. Actuators A Phys. 2020, 312, 112105. [Google Scholar] [CrossRef]
- Tai, H.; Wang, S.; Duan, Z.; Jiang, Y. Evolution of breath analysis based on humidity and gas sensors: Potential and challenges. Sens. Actuators B Chem. 2020, 318, 128104. [Google Scholar] [CrossRef]
- Kosack, C.S.; Page, A.-L.; Klatser, P.R. A guide to aid the selection of diagnostic tests. Bull. World Heal. Organ. 2017, 95, 639–645. [Google Scholar] [CrossRef]
- Yin, Y.-X.; Jiang, L.-Y.; Wan, L.-J.; Li, C.-J.; Guo, Y.-G. Polyethylene glycol-directed SnO2 nanowires for enhanced gas-sensing properties. Nanoscale 2011, 3, 1802–1806. [Google Scholar] [CrossRef] [PubMed]
- Lee, Y.; Joo, B.; Choi, N.; Kang, B.; Lee, D. Pattern recognition of a gas sensor array using impedance. Sens. Actuators B Chem. 2000, 37, 862–865. [Google Scholar]
- Karthik, T.V.K.; De La Luz Olvera, M.; Maldonado, A.; Gomez Pozos, H. CO gas sensing properties of pure and Cu-incorporated SnO2 nanoparticles: A study of Cu-induced modifications. Sensors 2016, 16, 1283. [Google Scholar] [CrossRef] [PubMed]
- Shaalan, N.M.; Hamad, D.; Aljaafari, A.; Abdel-Latief, A.Y.; Abdel-Rahim, M. A Preparation and characterization of developed CuxSn1-xO2 nanocomposite and its promising methane gas sensing properties. Sensors 2019, 368, 2257. [Google Scholar] [CrossRef] [PubMed]
- Ahlers, S.; Müller, G.; Doll, T. A rate equation approach to the gas sensitivity of thin film metal oxide materials. Sens. Actuators B Chem. 2005, 107, 587–599. [Google Scholar] [CrossRef]
- Yeh, M.-H.; Hwang, W.-S.; Lee, G.-B.; Lu, Y.-M. Characterization of SnO2/TiO2 double-layer films as alcohol sensing materials. Mater. Trans. 2004, 45, 3318–3323. [Google Scholar] [CrossRef]
- Sabilla, S.I.; Sarno, R.; Siswantoro, J. Estimating gas concentration using artificial neural network for electronic nose. Procedia Comput. Sci. 2017, 124, 181–188. [Google Scholar] [CrossRef]
- Khameneian, A.; Wang, X.; Dice, P.; Shahbakhti, M.; Naber, J.D.; Archer, C.; Moilanen, P.; Glugla, C.; Huberts, G. Model-Based Dynamic In-Cylinder Air Charge, Residual Gas and Temperature Estimation for a GDI Spark Ignition Engine Using Cylinder, Intake and Exhaust Pressures. In Proceedings of the Dynamic Systems and Control Conference, online conference, 5–7 October 2020. [Google Scholar]









| Concentration (ppm) | Time (s) |
|---|---|
| 10 | Ra = 29.6 ± 0.7 |
| Rg = 194.0 ± 0.6 | |
| 20 | Ra = 11.9 ± 0.3 |
| Rg = 50.7 ± 0.8 | |
| 40 | Ra = 30.52 ± 0.5 |
| Rg = 220.1 ± 0.5 |
| Concentration (ppm) | τres (s) | τrec (s) |
|---|---|---|
| 5 | 53 | 220 |
| 10 | 53 | 223 |
| 20 | 47 | 271 |
| 40 | 47 | 272 |
Publisher’s Note: MDPI stays neutral with regard to jurisdictional claims in published maps and institutional affiliations. |
© 2021 by the authors. Licensee MDPI, Basel, Switzerland. This article is an open access article distributed under the terms and conditions of the Creative Commons Attribution (CC BY) license (http://creativecommons.org/licenses/by/4.0/).
Share and Cite
Sotelo, J.G.; Bonilla-Ríos, J.; García-Escobar, F.; Gordillo, J.L. Film Growth of Tetragonal SnO2 on Glass Substrate by Dip-Coating Technique for Ethanol Sensing Applications. Coatings 2021, 11, 303. https://doi.org/10.3390/coatings11030303
Sotelo JG, Bonilla-Ríos J, García-Escobar F, Gordillo JL. Film Growth of Tetragonal SnO2 on Glass Substrate by Dip-Coating Technique for Ethanol Sensing Applications. Coatings. 2021; 11(3):303. https://doi.org/10.3390/coatings11030303
Chicago/Turabian StyleSotelo, Juan G., Jaime Bonilla-Ríos, Fernando García-Escobar, and José L. Gordillo. 2021. "Film Growth of Tetragonal SnO2 on Glass Substrate by Dip-Coating Technique for Ethanol Sensing Applications" Coatings 11, no. 3: 303. https://doi.org/10.3390/coatings11030303
APA StyleSotelo, J. G., Bonilla-Ríos, J., García-Escobar, F., & Gordillo, J. L. (2021). Film Growth of Tetragonal SnO2 on Glass Substrate by Dip-Coating Technique for Ethanol Sensing Applications. Coatings, 11(3), 303. https://doi.org/10.3390/coatings11030303

