Sign in to use this feature.

Years

Between: -

Subjects

remove_circle_outline
remove_circle_outline
remove_circle_outline
remove_circle_outline
remove_circle_outline
remove_circle_outline
remove_circle_outline
remove_circle_outline
remove_circle_outline

Journals

remove_circle_outline
remove_circle_outline
remove_circle_outline
remove_circle_outline
remove_circle_outline
remove_circle_outline
remove_circle_outline
remove_circle_outline
remove_circle_outline
remove_circle_outline
remove_circle_outline

Article Types

Countries / Regions

remove_circle_outline
remove_circle_outline
remove_circle_outline
remove_circle_outline
remove_circle_outline
remove_circle_outline

Search Results (1,494)

Search Parameters:
Keywords = fir

Order results
Result details
Results per page
Select all
Export citation of selected articles as:
16 pages, 3313 KB  
Article
Comparative Analysis of Freeze–Thaw Effects on the Parallel-to-Grain Compressive Properties of Bamboo and Chinese Fir
by Kang Zhao and Yang Wei
Buildings 2026, 16(2), 291; https://doi.org/10.3390/buildings16020291 - 9 Jan 2026
Viewed by 67
Abstract
To evaluate the application potential of bamboo in cold regions, this study systematically compared the differences in the effects of freeze–thaw cycles on the longitudinal compressive properties of moso bamboo (Phyllostachys edulis) and Chinese fir (Cunninghamia lanceolata). By subjecting [...] Read more.
To evaluate the application potential of bamboo in cold regions, this study systematically compared the differences in the effects of freeze–thaw cycles on the longitudinal compressive properties of moso bamboo (Phyllostachys edulis) and Chinese fir (Cunninghamia lanceolata). By subjecting the materials to 0, 5, and 10 standard freeze–thaw cycles, the evolution patterns were analyzed from three aspects: mechanical properties, failure modes, and apparent color. The results show that bamboo exhibits significantly superior freeze–thaw resistance: after 10 cycles, bamboo retained 95.4% of its compressive strength (decreasing from 50.2 MPa to 47.9 MPa), whereas the strength of Chinese fir decreased by 14.2% (from 46.7 MPa to 40.0 MPa). The elastic modulus of bamboo remained stable, while that of Chinese fir decreased by 30.86%. Load–displacement curves revealed that bamboo displayed a ductile plateau after failure, whereas Chinese fir exhibited a linear drop-off. Analysis of failure modes further highlighted the intrinsic differences between the materials: bamboo primarily underwent progressive buckling of fiber bundles, forming typical accordion-like folds; Chinese fir mainly showed brittle failures such as end crushing and longitudinal splitting. Color characterization indicated that the lightness index L of the bamboo outer skin (bamboo green) decreased by 26.1%, while the chromaticity indices a (red) and b* (yellow) increased significantly, showing the most notable changes; the color of Chinese fir and the bamboo inner skin (bamboo yellow) remained relatively stable. This study demonstrates that natural bamboo outperforms Chinese fir in terms of frost resistance, toughness, and strength retention in the short term. The findings provide important experimental evidence and design references for promoting the application of bamboo in engineering projects in cold regions. Full article
18 pages, 4700 KB  
Article
Transforming Fast-Growing Wood into High-Strength Materials via Thermo-Mechanical Densification with Hydrothermal and Alkaline Sulfite Pretreatment
by Di Wu, Duixin Ma, Liqin Song, Qiuping Wu, Huayang Fang, Hongli Liu and Jianping Sun
Forests 2026, 17(1), 89; https://doi.org/10.3390/f17010089 - 9 Jan 2026
Viewed by 46
Abstract
Thermally compressed fast-growing wood exhibits superior mechanical properties, presenting a sustainable and cost-effective alternative to solid wood. However, to prevent structural damage and achieve higher densification during this process, effective pretreatment is essential. This study systematically evaluates the efficacy of hydrothermal and alkaline [...] Read more.
Thermally compressed fast-growing wood exhibits superior mechanical properties, presenting a sustainable and cost-effective alternative to solid wood. However, to prevent structural damage and achieve higher densification during this process, effective pretreatment is essential. This study systematically evaluates the efficacy of hydrothermal and alkaline sulfite pretreatments in modifying Chinese fir (Cunninghamia lanceolata Hook.) and poplar (Populus tomentosa Carr.). The resulting compressed wood was comprehensively characterized in terms of mass loss, mechanical strength, microstructure, chemical composition, and cellulose crystallinity. Results indicate that, under the conditions tested, alkaline sulfite pretreatment was more effective than hydrothermal pretreatment in enhancing the material properties of densified wood, with peak density, compressive strength, and hardness achieved after 5 h for fir and 3 h for poplar, respectively. The results obtained under the present experimental conditions support the fact that alkaline sulfite pretreatment is an effective approach for producing densified wood with enhanced mechanical properties, suggesting its potential suitability for higher-value applications. Full article
(This article belongs to the Section Wood Science and Forest Products)
26 pages, 2156 KB  
Review
FIR/PUF60: Multifunctional Molecule Through RNA Splicing for Revealing the Novel Disease Mechanism and Effective Individualized Therapies
by Kazuyuki Matsushita, Kouichi Kitamura, Nobuko Tanaka, Sohei Kobayashi, Yusuke Suenaga and Tyuji Hoshino
Int. J. Mol. Sci. 2026, 27(2), 643; https://doi.org/10.3390/ijms27020643 - 8 Jan 2026
Viewed by 99
Abstract
Disease-specific diversity in RNA transcripts stems from RNA splicing, ribosomal abnormalities, and other factors. However, the mechanisms underlying the regulation of rRNA expression in the nucleolus and mRNA expression in the cytoplasm during cancer and neuronal differentiation remain largely unknown. In this article, [...] Read more.
Disease-specific diversity in RNA transcripts stems from RNA splicing, ribosomal abnormalities, and other factors. However, the mechanisms underlying the regulation of rRNA expression in the nucleolus and mRNA expression in the cytoplasm during cancer and neuronal differentiation remain largely unknown. In this article, we review current knowledge and discuss the regulatory mechanisms of rRNA and mRNA expression in human diseases using the splicing model of PUF60 (poly(U) binding splicing factor 60)—also known as FUSE-binding protein-interacting repressor (FIR) (FUBP1-interacting repressor), RoBPI, SIAHBP1, and VRJS (Gene ID: 22827). Noncoding RNAs, much like coding RNAs, have been found to be translated into proteins with significant physiological functions. Splicing is also involved in dominant ORF RNAs implicated in the expression of both noncoding and coding RNAs. Here, we analyze recent findings regarding gene splicing, ribosome formation, and the determination of selected ORFs (dominant ORFs) in a system modeled on FIR splicing in two databases (RefSeq and ENSEMBL). rRNA transcription affects ribosomes, whereas mRNA expression and splicing affect the intracellular proteome. Our objective is to develop efficient methods for identifying biomarkers for disease diagnosis and therapeutic targets. In the field of cancer treatment, therapeutic drugs targeting intracellular signaling have proven effective. Full article
24 pages, 3069 KB  
Review
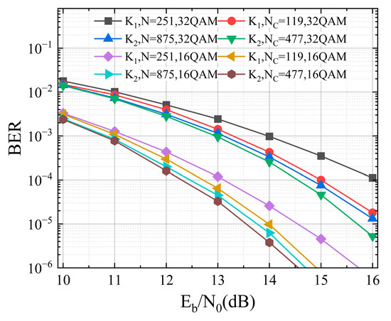
Dispersion Compensation Scheme with a Simple Structure in Ultra-High-Speed Optical Fiber Transmission Systems
by Ying Wu, Ying Wang, Luhan Jiang and Jianjun Yu
Photonics 2026, 13(1), 39; https://doi.org/10.3390/photonics13010039 - 31 Dec 2025
Viewed by 261
Abstract
With the explosive growth of global data traffic, long-distance fiber optic transmission systems are continuously evolving towards higher capacity and longer distances. However, to overcome the high complexity of fiber dispersion compensation algorithms, various dispersion compensation techniques have emerged. This paper aims to [...] Read more.
With the explosive growth of global data traffic, long-distance fiber optic transmission systems are continuously evolving towards higher capacity and longer distances. However, to overcome the high complexity of fiber dispersion compensation algorithms, various dispersion compensation techniques have emerged. This paper aims to systematically review and summarize dispersion compensation algorithms in long-distance fiber optic transmission. First, we briefly introduce the physical mechanism of fiber dispersion. Then, this paper focuses on digital domain compensation algorithms, dividing them into two major categories: compensation algorithms without penalty and with penalty. For compensation algorithms without penalty, we elaborate on traditional block processing strategies such as Overlap-Save (OLS), and various enhanced strategies combining intelligent filter segmentation and optimized frequency domain workflows. For compensation algorithms with penalty, we focus on analyzing a scheme that redesigns chromatic dispersion compensation (CDC) algorithm into a hardware-friendly structure using geometric clustering of taps, and finite-impulse-response (FIR) filters based on frequency response approximating the ideal inverse chromatic dispersion (CD) transfer function. By numerical simulation, we analyze the core principles, computational complexity, and compensation performance of each type of algorithm. Finally, this paper summarizes the limitations and development trends of existing dispersion compensation algorithms, pointing out that low-complexity and small-scale deployment algorithm structures will be an important research direction in the future. Full article
(This article belongs to the Special Issue Machine Learning and Artificial Intelligence for Optical Networks)
Show Figures

Figure 1

20 pages, 3273 KB  
Article
Flexural Performance of Glued Laminated Timber Beams Reinforced by the Cross-Section Increasing Method
by Tong Wang, Xuetong Wang, Nan Guo, Mingtao Wu, Ziyang Wu and Mingyang Liang
Buildings 2026, 16(1), 82; https://doi.org/10.3390/buildings16010082 - 24 Dec 2025
Viewed by 138
Abstract
This article addresses the problem of insufficient bearing capacity and stiffness in laminated timber beams during use and proposes a reinforcement method by increasing the cross-section. Twenty glued laminated timber beams with dimensions of 2850 mm × 120 mm × 50 mm were [...] Read more.
This article addresses the problem of insufficient bearing capacity and stiffness in laminated timber beams during use and proposes a reinforcement method by increasing the cross-section. Twenty glued laminated timber beams with dimensions of 2850 mm × 120 mm × 50 mm were produced using Pinus sylvestris var. mongolica as the raw material. Douglas fir with good tensile properties and new self-tapping screws were selected as reinforcement materials. Through adhesive bonding and adhesive–nail combination methods, an enlarged section reinforcement beam was formed. The influence of section height, bonding process, and the arrangement of self-tapping screws on the bending performance of three groups of six adhesive-reinforced specimens and three groups of fourteen adhesive–nail reinforced specimens was examined through bending performance tests. The results showed that compared with specimens reinforced with single-layer panels, the ultimate load of specimens reinforced with double-layer panels increased by 22.82 to 29.49%, and bending stiffness increased by 17.26 to 48.17%. Within the same group, the ultimate load of specimens reinforced with standard compressive stress adhesive increased by 3.88 to 5.71% under bending. Compared with adhesive reinforcement specimens, adhesive–nail combined reinforcement specimens showed an 8.91 to 11.36% increase in ultimate load. In specimens with the same screw insertion angle, the ultimate bearing capacity of beams reinforced with longer screws and smaller spacing was actually lower. Moreover, the ultimate load of specimens reinforced with self-tapping screws inserted at 90° was 4.2% higher than that of specimens with screws inserted at 45°. Full article
(This article belongs to the Section Building Structures)
Show Figures

Figure 1

14 pages, 898 KB  
Article
Changes in Chemical and Mechanical Wood Properties in Silver Fir, Norway Spruce and Scots Pine Trees as a Result of High Temperatures Due to Fire
by Tomáš Holeček, Lukáš Sahula, Kateřina Hájková, Aleš Zeidler, Monika Barbara Gach, Paweł Tylek, Krzysztof Słowiński, Radosław Wąsik, Krzysztof Michalec and Tomasz Marcinik
Fire 2026, 9(1), 6; https://doi.org/10.3390/fire9010006 - 23 Dec 2025
Viewed by 448
Abstract
Wildfires are becoming more frequent in Central Europe, raising questions about the mechanical and chemical integrity of fire-affected conifer wood. Because commercial species such as silver fir (Abies alba), Norway spruce (Picea abies), and Scots pine (Pinus sylvestris [...] Read more.
Wildfires are becoming more frequent in Central Europe, raising questions about the mechanical and chemical integrity of fire-affected conifer wood. Because commercial species such as silver fir (Abies alba), Norway spruce (Picea abies), and Scots pine (Pinus sylvestris) are not evolutionarily adapted to fire, their thermo-mechanical response remains poorly quantified. This study investigates oven-dry density, static bending strength, compressive strength parallel to the grain, Brinell hardness, chemical composition, elemental composition, and heat of combustion of wood collected from a recent post-fire stand in Poland. Fire exposure resulted in a slight reduction in oven-dry density, while compressive and bending strengths increased relative to reported reference values, likely due to moisture depletion and partial thermal modification of cell-wall polymers. Chemical analyses showed moderate thermally induced shifts, including higher lignin and carbon content with depth, consistent with progressive carbonization of the affected tissues. Although surface-affected wood retained measurable mechanical capacity and energy value, its structural applicability remains constrained by potential brittleness and the limited sampling depth. These findings provide essential baseline data for evaluating post-fire conifer wood and its potential use in low-grade material and bioenergy applications. Full article
Show Figures

Figure 1

13 pages, 389 KB  
Article
Far-Infrared-Emitting Fabric Improves Neuromuscular Parameters in Humans: Unexpected Result from Eccentric Exercise-Induced Muscle Damage Countermeasure Strategy
by Arthur Fernandes Gáspari, Thiago Mattos Frota de Souza, Patricia dos Santos Guimarães, Manoel Pereira da Silva, Celene Fernandes Bernardes, Renato Barroso, Mara Patrícia Traina Chacon-Mikahil and Antonio Carlos de Moraes
Appl. Sci. 2026, 16(1), 143; https://doi.org/10.3390/app16010143 - 23 Dec 2025
Viewed by 291
Abstract
The present study examined the prophylactic effects of far-infrared-emitting fabric (FIR) on exercise-induced muscle damage and investigated its influence on neuromuscular parameters during eccentric exercise. FIR and placebo garments were worn for 1 h prior to and throughout a knee extension eccentric exercise [...] Read more.
The present study examined the prophylactic effects of far-infrared-emitting fabric (FIR) on exercise-induced muscle damage and investigated its influence on neuromuscular parameters during eccentric exercise. FIR and placebo garments were worn for 1 h prior to and throughout a knee extension eccentric exercise protocol consisting of 10 sets of 15 maximal contractions performed at 210°·s−1, using a randomized, counterbalanced, double-blind, placebo-controlled crossover design. Twenty-one physically active individuals (age: 24 ± 1 years; body mass: 69.7 ± 2.3 kg; height: 1.73 ± 0.02 m) participated in this two-phase study. In the first phase (FIR effects on muscle damage; n = 9), eccentric peak torque (EPT) and total work (TW) were assessed during exercise, while maximal voluntary isometric contraction (MVIC) and creatine kinase (CK) were measured before and 24, 48, and 96 h after the protocol. No fabric × time interaction was observed for MVIC or CK. However, FIR use suggested an increased EPT and TW during exercise. To further investigate this effect and explore potential neuromuscular mechanisms, a second phase was conducted (FIR effects on eccentric exercise; n = 12) using the same exercise protocol. EPT, TW, and electromyographic root mean square (EMG-RMS) activity of the vastus lateralis (VL) and vastus medialis (VM) were assessed. Combined results from both phases (n = 21) demonstrated significant increases of 11% in mean EPT and 18.6% in mean TW, along with greater VL and VM EMG-RMS activity (n = 12), under FIR compared with placebo conditions. These findings indicate that FIR use enhances neuromuscular performance during eccentric exercise. Full article
(This article belongs to the Section Applied Biosciences and Bioengineering)
Show Figures

Figure 1

23 pages, 2476 KB  
Article
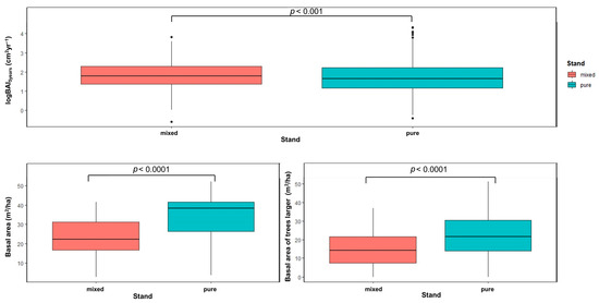
Climate and Competition Effects on Basal Area Growth Vary with Beech–Fir Mixture and Stand Structure
by Soraya Versace, Michele Innangi, Marco Ottaviano, Bruno Lasserre, Mirko Di Febbraro, Francesco Parisi, Marco Marchetti, Gherardo Chirici, Giovanni D’Amico, Walter Mattioli, Giancarlo Papitto and Roberto Tognetti
Forests 2026, 17(1), 11; https://doi.org/10.3390/f17010011 - 21 Dec 2025
Viewed by 253
Abstract
Mixed stands enhance climate resilience and ecosystem service provision through functional diversity, but their productivity depends on intra- and interspecific competition, forest structure, stand density, and site conditions. In this study, we analyzed the effects of competition and aridity on the growth of [...] Read more.
Mixed stands enhance climate resilience and ecosystem service provision through functional diversity, but their productivity depends on intra- and interspecific competition, forest structure, stand density, and site conditions. In this study, we analyzed the effects of competition and aridity on the growth of European beech (Fagus sylvatica L.) in mixed and pure stands, using data from 38 plots of the Italian National Forest Inventory (NFI, 2015). To understand the variables influencing European beech growth, tree-level basal area increment models were applied, incorporating different competition structures (intraspecific, interspecific, size-symmetric, and size-asymmetric) and aridity index (De Martonne). Results showed that size-asymmetric intraspecific competition negatively affected European beech growth, highlighting low self-tolerance, especially in pure stands where growth was lower than in mixed stands. In mixed stands, European beech growth was shaped by size-dependent competition and the relative dominance of coexisting species, benefiting from size-asymmetric and hindered by size-symmetric interactions. Additionally, European beech growth was shaped by aridity and stand structure (Gini coefficient and density), with drought sensitivity mitigated in mixed stands and enhanced growth in structurally diverse, low-density stands. This study highlights how species interactions, aridity, and stand structure jointly shape tree growth, underscoring their importance for climate-adaptive forest management. Full article
(This article belongs to the Section Forest Ecology and Management)
Show Figures

Figure 1

13 pages, 3369 KB  
Article
Particulate Retention, Transfer and Release by Cut and Potted Christmas Trees
by Hanna Moniuszko, Arkadiusz Przybysz, Weronika Połaska, Edmund Jerzy Popek, Natalia Ropelewska and Robert Popek
Forests 2026, 17(1), 10; https://doi.org/10.3390/f17010010 - 21 Dec 2025
Viewed by 351
Abstract
Coniferous species are known for their ability to purify air from particulate matter (PM), yet particulates accumulated during cultivation, transport, and outdoor storage may be transferred indoors. This study assesses the particulate load, subsequent retention, and further accumulation/release of PM by commercially available [...] Read more.
Coniferous species are known for their ability to purify air from particulate matter (PM), yet particulates accumulated during cultivation, transport, and outdoor storage may be transferred indoors. This study assesses the particulate load, subsequent retention, and further accumulation/release of PM by commercially available Christmas trees—Norway spruce (Picea abies (L.) H. Karst.) and Caucasian fir (Abies nordmanniana (Steven) Spach). Trees were examined in two commercial forms and maintained in six typical households (three with cut and potted P. abies, three with cut and potted A. nordmanianna) for 30 days. Measurements at four intervals included concentration dynamics of total PM, PM size fractions, as well as surface vs. in-wax PM ratios and epicuticular waxes on needles. Results showed that potted trees carried substantially higher initial PM loads than cut trees, with P. abies exceeding 200 µg·cm−2, likely due to differences in production and handling. Potted P. abies and cut A. nordmanniana retained large PM fractions more effectively than cut P. abies. In contrast, the fine PM fraction, the most health-relevant, was best accumulated by cut P. abies. Wax-bound PM shares increased time in potted trees and decreased in the cut. Overall, the findings suggest that choosing a Christmas tree is not only an aesthetic preference but a decision with measurable implications for winter indoor air quality. Full article
Show Figures

Graphical abstract

26 pages, 2340 KB  
Article
Productivity Dynamics in Chinese Fir Plantations: The Driving Role of Plant–Soil–Microbe Interactions in Northern Subtropical China
by Lijie Wang, Honggang Sun, Jianfeng Zhang and Linshui Dong
Forests 2025, 16(12), 1854; https://doi.org/10.3390/f16121854 - 13 Dec 2025
Viewed by 433
Abstract
Chinese fir (Cunninghamia lanceolata) is a cornerstone timber species in southern China. However, yet its plantation productivity frequently declines under successive rotations, threatening long-term sustainability. While belowground processes are suspected drivers, the mechanisms—particularly plant–soil–microbe interactions—remain poorly resolved. To address this, we [...] Read more.
Chinese fir (Cunninghamia lanceolata) is a cornerstone timber species in southern China. However, yet its plantation productivity frequently declines under successive rotations, threatening long-term sustainability. While belowground processes are suspected drivers, the mechanisms—particularly plant–soil–microbe interactions—remain poorly resolved. To address this, we examined a chronosequence of C. lanceolata plantations (5, 15, 20, and 30 years) in Jingdezhen, Jiangxi Province, integrating soil physicochemical assays, high-throughput sequencing, and extracellular enzyme activity profiling. We found that near-mature stands (20 years) exhibited a 60.7% decline in mean annual volume increment relative to mid-aged stands (15 years), despite continued increases in individual tree volume—suggesting a strategic shift from resource-acquisitive to nutrient-conservative growth. Peak values of soil organic carbon (32.87 g·kg−1), total nitrogen (2.51 g·kg−1), microbial biomass carbon (487.33 mg·kg−1), and phosphorus (25.65 mg·kg−1) coincided with this stage, reflecting accelerated nutrient turnover and intensified plant–microbe competition. Microbial communities shifted markedly over time: Basidiomycota and Acidobacteria became dominant in mature stands, replacing earlier Ascomycota and Proteobacteria. Random Forest and Partial Least Squares Path Modeling (PLS-SEM) identified total nitrogen, ammonium nitrogen, and total phosphorus as key predictors of productivity. PLS-SEM further revealed that stand age directly enhanced productivity (β = 0.869) via improved soil properties, but also indirectly suppressed it by stimulating microbial biomass (β = 0.845)—a “dual-effect” that intensified nutrient competition. Fungal and bacterial functional profiles were complementary: under phosphorus limitation, fungi upregulated acid phosphatase to enhance P acquisition, while bacteria predominately mediated nitrogen mineralization. Our results demonstrate a coordinated “soil–microbe–enzyme” feedback mechanism regulating productivity dynamics in C. lanceolata plantations. These insights advance a mechanistic understanding of rotation-associated decline and underscore the potential for targeted nutrient and microbial management to sustain long-term plantation yields. Full article
(This article belongs to the Section Forest Ecology and Management)
Show Figures

Figure 1

27 pages, 5697 KB  
Article
Interaction Analysis of Offshore Power Systems: A Comparative Study
by Michał Piekarz, Sylwester Robak and Mateusz Polewaczyk
Energies 2025, 18(24), 6531; https://doi.org/10.3390/en18246531 - 13 Dec 2025
Viewed by 192
Abstract
This paper presents a comparative assessment of interaction analysis methods applied to a multi-variant offshore power system model. Complementary analytical techniques—eigenvalue analysis, frequency–response characteristics, RGA, DRGA, and GDRG—are used to quantify interactions across electromechanical and electromagnetic frequency ranges. The main novelty of this [...] Read more.
This paper presents a comparative assessment of interaction analysis methods applied to a multi-variant offshore power system model. Complementary analytical techniques—eigenvalue analysis, frequency–response characteristics, RGA, DRGA, and GDRG—are used to quantify interactions across electromechanical and electromagnetic frequency ranges. The main novelty of this study is a modified DRGA approach that incorporates a hybrid FIR/IIR digital filtering stage, significantly improving the accuracy of interaction evaluations. The results show that no single method provides complete data and that the enhanced DRGA and GDRG techniques are essential for interaction analysis. The proposed framework offers practical guidelines for analyzing and coordinating control loops in offshore grids. Full article
(This article belongs to the Section F1: Electrical Power System)
Show Figures

Figure 1

20 pages, 7370 KB  
Article
Hierarchical Deep Learning Framework for Mapping Honey-Producing Tree Species in Dense Forest Ecosystems Using Sentinel-2 Imagery
by Athanasios Antonopoulos, Tilemachos Moumouris, Vasileios Tsironis, Athena Psalta, Evangelia Arapostathi, Antonios Tsagkarakis, Panayiotis Trigas, Paschalis Harizanis and Konstantinos Karantzalos
Agronomy 2025, 15(12), 2858; https://doi.org/10.3390/agronomy15122858 - 12 Dec 2025
Viewed by 350
Abstract
The sustainability of apiculture within Mediterranean forest ecosystems is contingent upon the extent and health of melliferous tree habitats. This study outlines a five-year initiative (2020–2024) aimed at mapping and monitoring four principal honey-producing tree species—pine (Pinus halepensis and Pinus nigra), [...] Read more.
The sustainability of apiculture within Mediterranean forest ecosystems is contingent upon the extent and health of melliferous tree habitats. This study outlines a five-year initiative (2020–2024) aimed at mapping and monitoring four principal honey-producing tree species—pine (Pinus halepensis and Pinus nigra), Greek fir (Abies cephalonica), oak (Quercus ithaburensis subsp. macrolepis), and chestnut (Castanea sativa)—across Evia, Greece. This is achieved through the utilization of high-resolution Sentinel-2 satellite imagery in conjunction with a hierarchical deep learning framework. Distinct from prior vegetation mapping endeavors, this research introduces an innovative application of a hierarchical framework for species-level semantic segmentation of apicultural flora, employing a U-Net convolutional neural network to capture fine-scale spatial and temporal dynamics. The proposed framework first stratifies forests into broadleaf and coniferous types using Copernicus DLT data, and subsequently applies two specialized U-Net models trained on Sentinel-2 NDVI time series and DEM-derived topographic variables to (i) discriminate pine from fir within coniferous forests and (ii) distinguish oak from chestnut within broadleaf stands. This hierarchical decomposition reduces spectral confusion among structurally similar species and enables fine-scale semantic segmentation of apicultural flora. Our hierarchical framework achieves 92.1% overall accuracy, significantly outperforming traditional multiclass approaches (89.5%) and classical ML methods (76.9%). The results demonstrate the framework’s efficacy in accurately delineating species distributions, quantifying the ecological and economic impacts of the catastrophic 2021 forest fires, and projecting long-term habitat recovery trajectories. The integration of a novel hierarchical approach with Deep Learning-driven monitoring of climate- and disturbance-driven changes in honey-producing habitats marks a significant step towards more effective assessment and management of four major beekeeping tree species. These findings highlight the significance of such methodologies in guiding conservation, restoration, and adaptive management strategies, ultimately supporting resilient apiculture and safeguarding ecosystem services in fire-prone Mediterranean landscapes. Full article
(This article belongs to the Special Issue Digital Twins in Precision Agriculture)
Show Figures

Figure 1

15 pages, 3802 KB  
Article
Experimental Study on the Evolution and Mechanism of Mechanical Properties of Chinese Fir Under Long-Term Service
by Qiong Zou, Shilong Wang, Jiaxing Hu and Feng Zou
Buildings 2025, 15(24), 4500; https://doi.org/10.3390/buildings15244500 - 12 Dec 2025
Viewed by 289
Abstract
This study investigates the long-term service effects on Chinese fir (Cunninghamia lanceolata) components from ancient timber buildings in southern China. Anisotropic mechanical tests were performed to examine the evolution of mechanical properties from the perspectives of moisture absorption behavior, chemical composition, and microstructural [...] Read more.
This study investigates the long-term service effects on Chinese fir (Cunninghamia lanceolata) components from ancient timber buildings in southern China. Anisotropic mechanical tests were performed to examine the evolution of mechanical properties from the perspectives of moisture absorption behavior, chemical composition, and microstructural characteristics. The results show that, after approximately 217 ± 12 years (Lvb specimens) and 481 ± 23 years (Xuc specimens) of service, the longitudinal compressive strength and corresponding elastic modulus of Chinese fir increased by about 11% and 15% and 33% and 71%, respectively, compared with fresh timber. The bending strength of the Lvb sample exhibited a slight reduction (approximately 6%), whereas the Xuc specimens showed the highest increase (33%). This difference is mainly attributed to long-term bending loads that caused structural damage in the Lvb beam specimens. In contrast, changes in lateral mechanical properties were negligible. Chemical composition analysis revealed an increase in extractive content and a reduction in cellulose and hemicellulose, leading to a notable rise in crystallinity. Scanning electron microscopy (SEM) observations further showed interlayer separation, wrinkling, and local collapse of the cell walls, suggesting significant cell wall densification. Overall, the evolution of mechanical properties is governed by the combined effects of increased crystallinity and microstructural densification, which together enhance the longitudinal and bending performance of aged timber with increasing service time. The findings provide a scientific basis for evaluating the performance and structural safety of aged timber components in the conservation of ancient timber buildings. Full article
(This article belongs to the Section Building Materials, and Repair & Renovation)
Show Figures

Figure 1

14 pages, 1799 KB  
Article
Wide-Temperature-Range Optical Thermometry Based on Yb3+,Er3+:CaYAlO4 Phosphor
by Shaozhen Lv, Shaobo Yao and Zhuohong Feng
Crystals 2025, 15(12), 1055; https://doi.org/10.3390/cryst15121055 - 12 Dec 2025
Viewed by 274
Abstract
In order to meet the demand for new optical temperature-sensing materials with high sensitivity and a wide application temperature range, Yb3+/Er3+: CaYAlO4 phosphor with excellent physical and chemical stability and thermal conductivity was studied for the first time. [...] Read more.
In order to meet the demand for new optical temperature-sensing materials with high sensitivity and a wide application temperature range, Yb3+/Er3+: CaYAlO4 phosphor with excellent physical and chemical stability and thermal conductivity was studied for the first time. Yb3+/Er3+: CaYAlO4 phosphors have been synthesized by the high-temperature solid-state method. Under 980 nm excitation, three characteristic emission bands peaking at 528, 549 and 665 nm were observed which are attributed to the transitions 2H11/2, 4S3/2 and 4F9/2 to 4I15/2, respectively. The temperature-sensing behaviors of the phosphor were investigated using the luminescence intensity ratio technique based on both the TCL (2H11/2/4S3/2) and NTCL (4F9/2/4S3/2, 2H11/2/4F9/2) model over a wide temperature range of 163–700 K. The maximum relative sensitivities of TCLs (2H11/2/4S3/2), NTCLs (4F9/2/4S3/2) and NTCLs (2H11/2/4F9/2) were 3.69% K−1, 0.443% K−1 and 3.86% K−1 at 163 K, 275 K and 163 K, while the maximum absolute sensitivities were 4.04 × 10−3 K−1, 15.2 × 10−3 K−1 and 7.81 × 10−4 K−1 at 499 K, 499 K and 247 K, respectively. Results suggest that Yb3+/Er3+: CaYAlO4 phosphor is a promising temperature-measuring material with advanced optical sensing capabilities over a wide temperature range. Full article
Show Figures

Figure 1

23 pages, 4510 KB  
Article
Alternative Approach to the Synthesis of Vinyl Ester Resins—Composites and Their Biomedical Application
by Przemysław Pączkowski, Karolina Głogowska, Małgorzata Miazga-Karska, Grażyna Ginalska and Barbara Gawdzik
Polymers 2025, 17(24), 3251; https://doi.org/10.3390/polym17243251 - 6 Dec 2025
Viewed by 465
Abstract
The paper presents the results of research on composites containing wood flour and vinyl ester resins as matrices. One of the resins was a commercially available vinyl ester resin (VER) based on bisphenol A, while the other (VPE)—not containing bisphenol A, was obtained [...] Read more.
The paper presents the results of research on composites containing wood flour and vinyl ester resins as matrices. One of the resins was a commercially available vinyl ester resin (VER) based on bisphenol A, while the other (VPE)—not containing bisphenol A, was obtained by us in an innovative way protected by a patent, whereas light yellow wood flour (WF) powder was obtained from spruce (Picea) and fir (Abies). Due to the fact that vinyl ester resins are characterized by large mechanical and chemical resistance, they are used mainly in the form of composites for the production of everyday products. To verify the possibilities of their biomedical applications, our studies focused on the evaluation and comparison of cytotoxicity of both resins using human skin fibroblasts and their resistance to bacterial bio-film adhesion for the aerobic Gram-positive bacteria Staphylococcus aureus ATCC 25923, Enterococcus faecalis PCM 896 (Polish Collection of Microorganisms), and the aerobic Gram-negative bacteria Escherichia coli ATCC 25992. Full article
(This article belongs to the Special Issue Current and Future Trends in Thermosetting Resins)
Show Figures

Figure 1

Back to TopTop