Influence of Particle Concentration on the Elemental Penetration Region and Properties of Ni-P-SiC Composite Coatings Prepared through Sandblasting and Scanning Electrodeposition on 45 Steel Surfaces
Abstract
:1. Introduction
2. Experiment
2.1. Experimental Procedures
2.2. Preparation of Workpiece and Coatings
2.3. Instruments and Characterization
3. Result and Discussion
3.1. Characterization of Coating Morphology
3.1.1. Coating Surface Morphology
3.1.2. Microscopic Morphology and Element Analysis of the Coating Section
3.1.3. Schematic of Element Penetration Mechanism
3.2. Characterization of Coating Performance
3.2.1. Adhesion Performance
3.2.2. Corrosion Resistance
4. Conclusions
- Scanning electron microscope detection showed that with the increase in particle concentration, the coating thickness and element penetration region increased first and then gradually stabilized. When the concentration of SiC nanoparticles was 3 g·L−1, the coating on the substrate surface exhibited the best deposition quality, and various unit cell structures were formed on the surface. The coating thickness was the largest at 17.3 μm, and the element penetration region of the coating was the largest at 28.39 μm. In addition, the best inter-penetration and diffusion ability of the elements between the interfaces was observed.
- Adhesion scratch test and scratch microscopic morphology detection showed that with the gradual increase in the concentration of SiC nanoparticles, the element penetration region first increased and then decreased, thereby prompting the surface quality of the scratches to increase first and then decrease. Coating adhesion presented a trend of first increasing and then decreasing. When the concentration of nanoparticles was 3 g·L−1, the best surface quality of scratches, 36.5 N coating adhesion, and the best adhesion performance were observed.
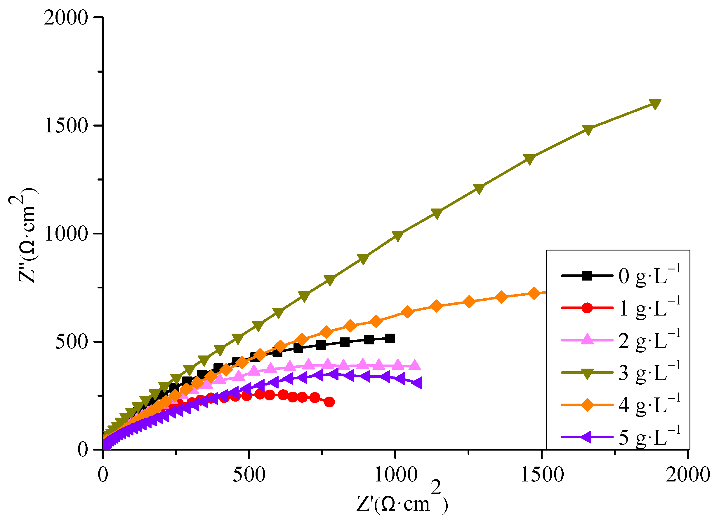
- The potentiodynamic polarization curve and electrochemical impedance spectroscopy curve were detected using the electrochemical corrosion and microscopic morphology tests after corrosion. The results showed that with the increase in the concentration of SiC nanoparticles, the corrosion resistance of the composite coating showed a trend of gradually increasing first and then gradually decreasing. The optimum SiC particle concentration was 3 g·L−1. The Ni-P-SiC composite coating prepared by scanning electrodeposition had −0.30 V self-corrosion potential, 8.45 × 10−7 A·cm−2 self-corrosion current density, slowest corrosion rate, largest impedance arc radius with corresponding equivalent impedance R2 of 3108 Ω, best corrosion resistance and morphology quality after corrosion, and the least corroded surface.
Author Contributions
Funding
Institutional Review Board Statement
Informed Consent Statement
Data Availability Statement
Conflicts of Interest
References
- Ma, T.J.; Li, W.Y.; Xu, Q.Z.; Zhang, Y.; Li, J.L.; Yang, S.Q.; Liao, H.L. Microstructure evolution and mechanical properties of linear friction welded 45 steel joint. Adv. Eng. Mater. 2007, 9, 703–707. [Google Scholar] [CrossRef]
- Lu, Y.Z.; Li, H.G.; Zhang, H.; Huang, G.K.; Xu, H.D.; Qin, Z.X.; Lu, X. Zr-based metallic glass coating for corrosion resistance improvement of 45 steel. Mater. Trans. 2017, 58, 1319–1321. [Google Scholar] [CrossRef] [Green Version]
- Gronostajski, Z.; Pater, Z.; Madej, L.; Gontarz, A.; Lisiecki, L.; Lukaszek-Solek, A.; Luksza, J.; Mroz, S.; Muskalski, Z.; Muzykiewicz, W.; et al. Recent development trends in metal forming. Arch. Civ. Mech. Eng. 2019, 19, 898–941. [Google Scholar] [CrossRef]
- Leszek, G.; Jacek, C.; Dalibor, B. Research of composite materials used in the construction of vehicle bodywork. Adv. Sci. Technol. Res. J. 2018, 12, 181–187. [Google Scholar]
- Huang, G.K.; Qu, L.D.; Lu, Y.Z.; Wang, Y.Z.; Li, H.G.; Qin, Z.X.; Lu, X. Corrosion resistance improvement of 45 steel by Fe-based amorphous coating. Vacuum 2018, 153, 39–42. [Google Scholar] [CrossRef]
- Miao, B.; Zhao, X.B.; Song, L.; Wei, K.X.; Hu, J. Raising the corrosion resistance of plasma-nitrided steel 45 (AISI 1045) by preliminary sandblasting. Met. Sci. Heat Treat. 2019, 60, 808–813. [Google Scholar] [CrossRef]
- Dudkina, N.G. Corrosion resistance of steel 45 subjected to electromechanical treatment and surface plastic deformation. metal science and heat treatment. Met. Sci. Heat Treat. 2018, 59, 584–587. [Google Scholar] [CrossRef]
- Luo, X.X.; Yao, Z.J.; Zhang, P.Z.; Zhou, K.Y. Corrosion resistance of Al–Cr composite strengthening layer on the surface of 45(#) steel. Rare Met. Mater. Eng. 2018, 47, 3127–3133. [Google Scholar]
- Li, G.; Gan, Y.Y.; Liu, C.H.; Shi, Y.; Zhao, Y.C.; Kou, S.Z. Corrosion and wear resistance of fe-based amorphous coatings. Coatings 2020, 10, 73. [Google Scholar] [CrossRef] [Green Version]
- Kaszuba, M.; Widomski, P.; Bialucki, P.; Lange, A.; Boryczko, B.; Walczak, M. Properties of new-generation hybrid layers combining hardfacing and nitriding dedicated to improvement in forging tools’ durability. Met. Sci. Heat Treat. 2020, 20, 70. [Google Scholar] [CrossRef]
- Morozow, D.; Barlak, M.; Werner, Z.; Pisarek, M.; Konarski, P.; Zagorski, J.; Rucki, M.; Chalko, L.; Lagodzinski, M.; Narojczyk, J.; et al. Wear resistance improvement of cemented tungsten carbide deep-hole drills after ion implantation. Materials 2021, 14, 239. [Google Scholar] [CrossRef] [PubMed]
- Latka, L.; Michalak, M.; Szala, M.; Walczak, M.; Sokolowski, P.; Ambroziak, A. Influence of 13 wt. % TiO2 content in alumina-titania powders on microstructure, sliding wear and cavitation erosion resistance of APS sprayed coatings. Surf. Coat. Technol. 2021, 410, 126979. [Google Scholar] [CrossRef]
- Shen, L.D.; Xu, M.Y.; Jiang, W.; Qiu, M.B.; Fan, M.Z.; Ji, G.B.; Tian, Z.J. A novel superhydrophobic Ni/Nip coating fabricated by magnetic field induced selective scanning electrodeposition. Appl. Surf. Sci. 2019, 489, 25–33. [Google Scholar] [CrossRef]
- Shen, L.D.; Fan, M.Z.; Qiu, M.B. Superhydrophobic nickel coating fabricated by scanning electrodeposition. Appl. Surf. Sci. 2019, 483, 706–712. [Google Scholar] [CrossRef]
- Xu, M.Y.; Shen, L.D.; Jiang, W.; Zhao, F.; Chen, Y.; Tian, Z.J. Fabrication of Ni-SiC superhydrophilic surface by magnetic field-assisted scanning electrodeposition. J. Alloys Compd. 2019, 799, 224–230. [Google Scholar] [CrossRef]
- Fu, X.Q.; Shen, Z.Y.; Chen, X.X.; Lin, J.R.; Cao, H.B. Influence of element penetration region on adhesion and corrosion performance of ni-base coatings. Coatings 2020, 10, 895. [Google Scholar] [CrossRef]
- Wang, G.F.; Shen, L.D.; Dou, L.M.; Tian, Z.J.; Liu, Z.D. Porous metal and method for preparation by the scanning and swinging jet electrodeposition. Int. J. Electrochem. Sci. 2014, 9, 3319–3326. [Google Scholar]
- Song, Z.Y.; Zhang, H.W.; Fu, X.Q.; Lin, J.R.; Shen, M.Q.; Wang, Q.Q.; Duan, S.L. Effect of current density on the performance of Ni-P–ZrO2–CeO2 composite coatings prepared by jet-electrodeposition. Coatings 2020, 10, 616. [Google Scholar] [CrossRef]
- Chen, J.S.; Huang, Y.H.; Qiao, B.; Yang, J.M.; He, Y.Q. A study on nanocrystalline nickel parts prepared by jet electrodeposition. Appl. Mech. Mater. 2011, 37–38, 64–67. [Google Scholar] [CrossRef]
- Cheng, A.Y.; Sheu, H.H.; Liu, Y.M.; Hou, K.H.; Hsieh, P.Y.; Ger, M.D. Effect of pretreatment process on the adhesion and corrosion resistance of nickel-boron coatings deposited on 8620H alloy steel. Int. J. Electrochem. Sci. 2020, 15, 61–89. [Google Scholar] [CrossRef]
- Reicheneder, C.; Hofrichter, B.; Faltermeier, A.; Proff, P.; Lippold, C.; Kirschneck, C. Shear bond strength of different retainer wires and bonding adhesives in consideration of the pretreatment process. Head Face Med. 2014, 10, 51. [Google Scholar] [CrossRef]
- Shen, X.T.; Wang, X.C.; Sun, F.H.; Ding, C.Y. Sandblasting pretreatment for deposition of diamond films on WC–Co hard metal substrates. Diamond Relat. Mater. 2017, 73, 7–14. [Google Scholar] [CrossRef]
- Zhang, Z.W.; Shen, Z.Y.; Wu, H.B.; Li, L.Q.; Fu, X.Q. Study on preparation of superhydrophobic Ni–Co coating and corrosion resistance by sandblasting-electrodeposition. Coatings 2020, 10, 1164. [Google Scholar] [CrossRef]
- Xu, W.T.; Haarberg, G.M.; Sunde, S.; Seland, F.; Ratvik, A.P.; Holmin, S.; Gustavsson, J.; Afvander, A.; Zimmerman, E.; Akre, T. Sandblasting effect on performance and durability of Ti based IrO2–Ta2O5 anode in acidic solutions. Electrochim. Acta 2019, 295, 204–214. [Google Scholar] [CrossRef]
- Liu, J.K.; Yang, L.J.; Song, Z.L.; Xu, C. Microstructures and capacitance performance of MnO2 films fabricated by ultrasonic-assisted electrodeposition. Appl. Surf. Sci. 2019, 478, 94–102. [Google Scholar] [CrossRef]
- Huang, C.; Wang, P.P.; Guan, W.; Yang, S.; Gao, L.M.; Wang, L.Q.; Song, X.P.; Murakami, R. Improved microstructure and magnetic properties of iron-cobalt nanowire via an ac electrodeposition with a multistep voltage. Mater. Lett. 2010, 64, 2465–2467. [Google Scholar] [CrossRef]
- Rosas-Laverde, N.M.; Pruna, A.I.; Cembrero, J.; Busquets-Mataix, D. Electrodeposition of ZnO/Cu2O heterojunctions on Ni–Mo–P electroless coating. Coatings 2020, 10, 935. [Google Scholar] [CrossRef]
- Huang, Y.L.; Zhu, L.A.; Ye, Y.C.; Zhang, H.; Bai, S.X. Iridium coatings with various grain structures prepared by electrodeposition from molten salts: Growth mechanism and high temperature oxidation resistance. Surf. Coat. Technol. 2017, 325, 190–199. [Google Scholar] [CrossRef]
- Fan, L.; Suni, I.I. Electrodeposition of elemental sulfur from dimethyl sulfoxide (DMSO). J. Electrochem. Soc. 2018, 165, D1–D5. [Google Scholar] [CrossRef]
- Ozdemir, R.; Karahan, I.H. Effect of solution Zn concentration on electrodeposition of CuxZn1-x alloys: Materials and resistivity characterization. Trans. Inst. Met. Finish. 2019, 97, 95–99. [Google Scholar] [CrossRef]
- Sheu, H.H.; Chen, Y.R.; Lin, T.T.; Ger, M.D. Effect of pretreatment process on the adhesion and corrosion resistance of chromium-carbon coatings deposited on copper substrates. Int. J. Electrochem. Sci. 2019, 14, 3281–3290. [Google Scholar] [CrossRef]
- Jiang, W.; Shen, L.D.; Xu, M.Y.; Wang, Z.W.; Tian, Z.J. Mechanical properties and corrosion resistance of Ni–Co–SiC composite coatings by magnetic field-induced jet electrodeposition. J. Alloys Compd. 2019, 791, 847–855. [Google Scholar] [CrossRef]
- Zhang, Y.; Kang, M.; Nyambura, S.M.; Yao, L.; Jin, M.F.; Zhu, J.P. Fabrication of Ni–Co–P alloy coatings using jet electrodeposition with varying reciprocating sweep speeds and jet gaps to improve wear and seawater corrosion resistance. Coatings 2020, 10, 924. [Google Scholar] [CrossRef]
- Jiang, W.; Shen, L.D.; Qiu, M.B.; Wang, X.; Fan, M.Z.; Tian, Z.J. Preparation of Ni–SiC composite coatings by magnetic field-enhanced jet electrodeposition. J. Alloys Compd. 2019, 762, 115–124. [Google Scholar] [CrossRef]
- Ji, R.J.; Han, K.; Jin, H.; Li, X.P.; Liu, Y.H.; Liu, S.G.; Dong, T.C.; Cai, B.P.; Cheng, W.H. Preparation of Ni–SiC nano-composite coating by rotating magnetic field-assisted electrodeposition. J. Manuf. Process. 2020, 57, 787–797. [Google Scholar] [CrossRef]

















| Element | C | Si | Mn | Cr | Ni | Cu |
|---|---|---|---|---|---|---|
| content | 0.42–0.50 | 0.17–0.37 | 0.50–0.80 | ≤0.25 | ≤0.30 | ≤0.25 |
| Sandblasting Parameters | Content/(g·L−1) |
|---|---|
| Sand size | 80 mesh number |
| Sandblasting pressure | 0.7 MPa |
| Sandblasting distance | 15 cm |
| Sandblasting time | 20 s |
| Sandblasting angle | 90° |
| Step | Content/(g·L−1) |
|---|---|
| electro-cleaning degreasing | NaOH 25.0 g·L−1, NaCO3 21.7 g·L−1, Na3PO4 50.0 g·L−1, NaCl 2.1 g·L−1, pH = 13 |
| anode activation | HCl 25 g·L−1, NaCl 140.1 g·L−1, pH = 0.3 |
| pre-nickel coating | Na3C6H5O7·2H2O 141.2 g·L−1, H3C6H5O7·H2O 94.3 g·L−1, NiCl2·6H2O 3.0 g·L−1, pH = 4 |
| Compositions | Content/(g·L−1) | Producer | Effect |
|---|---|---|---|
| NiSO4·6H2O | 200 | Shanghai Jingchun Biochemical Technology Co. Ltd, Shanghai, China | The main source of Ni2+ |
| NiCl2·6H2O | 30 | Shanghai Jingchun Biochemical Technology Co. Ltd, Shanghai, China | Anode activator |
| H3PO3 | 20 | Shanghai Jingchun Biochemical Technology Co. Ltd, Shanghai, China | Provide P atoms in the coating |
| H3BO3 | 30 | Shanghai Jingchun Biochemical Technology Co. Ltd, Shanghai, China | Adjust the pH value of the bath |
| C6H8O7 | 60 | Shanghai Jingchun Biochemical Technology Co. Ltd, Shanghai, China | Accelerate deposition rate and stability |
| C12H25SO4Na | 0.08 | Shanghai McLean Biochemical Technology Co. Ltd, Shanghai, China | Increase the amount of SiC nanoparticles suspended in the solution |
| CH4N2S | 0.01 | Shanghai McLean Biochemical Technology Co. Ltd, Shanghai, China | Reduced hydrogen evolution |
| SiC (SiliPn carbide) | 0 g·L−1, 1 g·L−1, 2 g·L−1, 3 g·L−1, 4 g·L−1, 5 g·L−1 | Shanghai Jingchun Biochemical Technology Co. Ltd, Shanghai, China | Preparation of composite coatings |
| Samples | Ecorr (V) | Icorr (A·cm−2) | Corrosion Rate (mm/a) |
|---|---|---|---|
| 0 g·L−1 | −0.41 | 6.06 × 10−6 | 0.073395 |
| 1 g·L−1 | −0.62 | 2.20 × 10−5 | 0.19241 |
| 2 g·L−1 | −0.44 | 4.55 × 10−6 | 0.09981 |
| 3 g·L−1 | −0.30 | 8.45 × 10−7 | 0.041128 |
| 4 g·L−1 | −0.38 | 1.47 × 10−6 | 0.062861 |
| 5 g·L−1 | −0.53 | 1.65 × 10−5 | 0.14399 |
| R1/Ω | R2/Ω | R3/Ω | R4/Ω | R5/Ω | R6/Ω | CPE1/F | CPE2/F | CPE3/F | |
|---|---|---|---|---|---|---|---|---|---|
| 0 g·L−1 | 5.29 | 963 | 1.86 × 106 | 32.41 | 221.9 | 1.19 × 10−6 | 1.31 × 10−5 | 2.89 × 10−6 | |
| 1 g·L−1 | 4.07 | 443 | 1.82 × 106 | 45.97 | 284.5 | 0.13 | 6.64 × 10−6 | 5.54 × 10−5 | 4.07 × 10−5 |
| 2 g·L−1 | 2.44 | 700 | 2.87 × 106 | 48.3 | 348.5 | 0.34 | 4.28 × 10−6 | 1.88 × 10−5 | 2.56 × 10−5 |
| 3 g·L−1 | 1.52 | 3108 | 4.73 × 108 | 56.1 | 516.4 | 0.410 | 1.00 × 10−6 | 2.35 × 10−6 | 1.84 × 10−5 |
| 4 g·L−1 | 2.08 | 1505 | 8.82 × 107 | 30.7 | 407.8 | 0.55 | 4.43 × 10−6 | 2.87 × 10−6 | 2.07 × 10−5 |
| 5 g·L−1 | 3.72 | 649 | 2.30 × 106 | 54.58 | 240.2 | 0.27 | 6.58 × 10−6 | 3.53 × 10−5 | 3.42 × 10−5 |
Publisher’s Note: MDPI stays neutral with regard to jurisdictional claims in published maps and institutional affiliations. |
© 2021 by the authors. Licensee MDPI, Basel, Switzerland. This article is an open access article distributed under the terms and conditions of the Creative Commons Attribution (CC BY) license (https://creativecommons.org/licenses/by/4.0/).
Share and Cite
Zhang, Z.; Xian, J.; Wu, H.; Jin, M.; Shen, Z. Influence of Particle Concentration on the Elemental Penetration Region and Properties of Ni-P-SiC Composite Coatings Prepared through Sandblasting and Scanning Electrodeposition on 45 Steel Surfaces. Coatings 2021, 11, 1237. https://doi.org/10.3390/coatings11101237
Zhang Z, Xian J, Wu H, Jin M, Shen Z. Influence of Particle Concentration on the Elemental Penetration Region and Properties of Ni-P-SiC Composite Coatings Prepared through Sandblasting and Scanning Electrodeposition on 45 Steel Surfaces. Coatings. 2021; 11(10):1237. https://doi.org/10.3390/coatings11101237
Chicago/Turabian StyleZhang, Zhengwei, Jieyu Xian, Hongbin Wu, Meifu Jin, and Zhenyu Shen. 2021. "Influence of Particle Concentration on the Elemental Penetration Region and Properties of Ni-P-SiC Composite Coatings Prepared through Sandblasting and Scanning Electrodeposition on 45 Steel Surfaces" Coatings 11, no. 10: 1237. https://doi.org/10.3390/coatings11101237
APA StyleZhang, Z., Xian, J., Wu, H., Jin, M., & Shen, Z. (2021). Influence of Particle Concentration on the Elemental Penetration Region and Properties of Ni-P-SiC Composite Coatings Prepared through Sandblasting and Scanning Electrodeposition on 45 Steel Surfaces. Coatings, 11(10), 1237. https://doi.org/10.3390/coatings11101237

