Abstract
Al-based intermetallic compounds possess excellent mechanical and thermal properties, making them promising candidates for high-temperature structural applications. In this study, the structural stability, mechanical properties, and electronic characteristics of Al5TM (TM = Mo, Nb, Os, Re, Ru, Ta, Tc, Ti) intermetallic compounds were systematically investigated using first-principles calculations based on density functional theory. All alloys exhibit negative formation energy, indicating favorable thermodynamic stability. Elastic constant analysis shows that all compounds satisfy the Born stability criteria, confirming their mechanical stability. Among them, Al5Mo (205.9 GPa), Al5Nb (201.1 GPa), and Al5Ta (204.1 GPa) exhibit relatively high Young’s moduli, while Al5Os, Al5Re, and Al5Ru demonstrate large bulk moduli and good ductility. The high Debye temperatures of Al5Mo (600.5 K) and Al5Nb (606.7 K) suggest excellent thermal stability at elevated temperatures. Electronic structure analysis reveals that all alloys exhibit metallic behavior with no band gap near the Fermi level. The hybridization between TM-d and Al-3p orbitals enhances the covalent bonding between Al and TM atoms. This study provides theoretical guidance for the design and application of high-performance Al-based intermetallic compounds.
1. Introduction
High-temperature alloy materials exhibit excellent mechanical properties, oxidation resistance, and structural stability under extreme high-temperature conditions [1,2,3,4,5,6]. With the increasing demands for higher service temperatures and comprehensive performance in fields such as aerospace, gas turbines, and high-temperature structural components, the development of a new generation of lightweight high-temperature alloys has become a key research focus in materials science [7,8,9,10].
Compared with traditional Ni-based and Co-based high-temperature alloys, Al-based high-temperature alloys offer advantages such as low density, high strength, and superior corrosion resistance, making them a highly promising alternative material [11,12]. In recent years, the structural design and performance analysis of aluminum-based alloys have attracted widespread attention [13]. Wang et al. [14] predicted three new structures of IrAl3 and revealed the differences in mechanical and thermodynamic properties among these structures. Duan et al. [15] conducted a systematic investigation of Zr–Al binary intermetallic compounds and identified ZrAl2 as the most stable compound, while ZrAl exhibited the strongest anisotropy. Huang et al. [16,17,18] conducted a comprehensive study on the structural characteristics and mechanical properties of FeCrAl alloys. With ongoing research advancements, novel aluminum alloys have gradually become a focal point in high-temperature alloy studies [19,20,21,22]. Among various aluminum-based high-temperature alloys, Al-rich alloys have attracted widespread attention because the presence of a substantial amount of Al2O3 oxide films can significantly enhance high-temperature oxidation resistance. In the Al-rich system, Liang et al. [23] successfully fabricated Al4W/Al12W composites in situ via an infiltration method under vacuum conditions. Wang et al. [24] investigated the mechanical and thermodynamic properties of Al4W, Al5W, and Al12W under pressure. Pan [25] studied the structural stability, elastic properties, and thermodynamic behavior of hexagonal and cubic Al5Mo alloys. The results showed that hexagonal Al5Mo exhibits good thermodynamic and kinetic stability, with mechanical properties superior to those of cubic Al5Mo. Wang and Chen [26] studied the mechanical properties, electronic properties, and Debye temperature of Al5Mo under pressure. In addition, Pan and Wei [27,28] predicted and studied the structural stability, elastic anisotropy, and melting point of the Al5W alloy. Luo et al. [29] predicted five structures of Ru2Al5 and analyzed their mechanical and electronic properties, confirming that the experimentally synthesized Ru2Al5 phase adopts an orthorhombic Pmmn crystal structure.
The Al5TM alloy system is an emerging class of aluminum-based high-temperature alloys. In this system, transition metal elements form stable intermetallic compounds with aluminum, exhibiting excellent thermal stability and high melting points. These alloys maintain good structural integrity and mechanical properties even under high-temperature conditions. Although previous studies have provided a solid theoretical foundation for aluminum-based alloys [30,31,32], theoretical research on the Al5TM alloy system remains relatively limited. In this work, we systematically investigated the stability, mechanical properties, Debye temperature, and electronic structure of Al5TM (TM = Mo, Nb, Os, Re, Ru, Ta, Tc, Ti) intermetallic compounds using first-principles calculations. The results indicate that all eight Al5TM alloys exhibit excellent stability and metallic conductivity. Al5Mo exhibits the best thermodynamic stability. Among them, the Al5Mo (205.9 GPa), Al5Nb (201.1 GPa), and Al5Ta (204.1 GPa) alloys exhibit relatively high Young’s moduli. Al5Mo (600.5 K) and Al5Nb (606.7 K) show relatively high Debye temperatures. These findings provide insights into the potential applications of Al5TM compounds in high-performance materials, offering a theoretical foundation for the design and development of a new generation of lightweight high-temperature alloys.
2. Structural and Computational Information
In this study, the stable R32-Al5W structure [28] was used as the prototype, with lattice parameters a = 4.9393 Å, c = 13.1864 Å. Eight Al5TM (TM = Mo, Nb, Os, Re, Ru, Ta, Tc, Ti) alloy structures were constructed by substituting the W atom with transition metal atoms for further investigation. First-principles calculation methods are commonly used to evaluate the structural stability and mechanical properties [33,34,35,36,37,38], enabling accurate predictions of material stability, elastic properties, and electronic behavior based on their electronic structure. We performed calculations of the phonon dispersion, elastic moduli, and band structures for all Al5TM structures using the Vienna Ab initio Simulation Package (VASP) [39]. The electronic exchange-correlation energy was described using the generalized gradient approximation (GGA) with the Perdew–Burke–Ernzerhof (PBE) functional [40], as implemented in the VASP code. In addition, to ensure the accuracy of the computational results, the plane-wave cutoff energy for all Al5TM structures was set to 600 eV, achieving good total energy convergence with a convergence criterion of 1 × 10−5 eV/atom. The k-point sampling grid for the Brillouin zone was set to 15 × 15 × 4. The lattice parameters and atomic positions were fully relaxed after structural optimization. The phonon dispersion relations of the Al5TM structures were obtained through calculations using the PHONOPY package [41]. The formation energy of the Al5TM alloy can be calculated using the following formula [28]:
where E(Al5TM) represents the total energy of the Al5TM. E(Al) and E(TM) represent the total energy of metallic aluminum and the transition metal (TM), respectively.
3. Results and Discussion
The crystal structure of Al5TM belongs to the trigonal crystal system and is in the R32 phase, with its structure shown in Figure 1. Based on the structural diagrams, it is evident that the transition metal (TM) atoms occupy highly symmetric positions within the unit cell and are coordinated by Al atoms in the form of polyhedral structures. In the trigonal unit cell, atoms are stacked in layers along the c-axis, following the close-packed arrangement typically observed in intermetallic compounds. This layered structure, coupled with the dense distribution of Al atoms, contributes to a compact and stable overall configuration. The TM atoms situated between the layers provide additional structural support along the vertical (c-axis) direction.
Figure 1.
Crystal structure of Al5TM (TM = Mo, Nb, Os, Re, Ru, Ta, Tc, Ti): (a) three-dimensional view; (b) top view. The blue and green balls are TM and Al atoms, respectively.
The formation energy of the Al5TM structure was calculated using Equation (1). A negative formation energy indicates that the structure is thermodynamically stable, whereas a positive value suggests instability. Table 1 presents the calculated lattice parameters and formation energy of the Al5TM alloys. The calculation results indicate that the formation energies of all Al5TM alloys are negative, indicating that these structures possess thermodynamic stability. And the order of formation energy is Al5Re > Al5Ta > Al5Os > Al5Ti > Al5Nb > Al5Ru > Al5Tc > Al5Mo, indicating that among the Al5TM alloys obtained through atomic substitution, Al5Mo exhibits the highest thermodynamic stability. It is worth noting that the formation energy of the R32 phase of Al5Mo is lower than that of the P63 phase [26], indicating that the R32 phase of Al5Mo possesses better thermodynamic stability.
Table 1.
Calculated lattice parameters (Å), density ρ (g/cm3), and formation energy Ef (eV/atom) of Al5TM alloys.
Due to their potential applications in high-temperature environments, Al5TM alloys have received widespread attention for their mechanical properties and structural integrity. To evaluate the mechanical performance of Al5TM, particular emphasis must be placed on their elastic properties. For trigonal Al5TM alloys, mechanical stability is conventionally determined by the elastic stiffness constants Cij, which must satisfy the Born stability criteria to ensure resistance to mechanical deformation under external stress [42]. For trigonal crystal systems, the criteria for mechanical stability are:
For Al5TM alloys, accurately obtaining their elastic constants through first-principles calculations provides a critical basis for revealing their anisotropic mechanical properties. As shown in Table 2, the calculated elastic constants of the Al5TM alloys satisfy the relevant mechanical stability criteria, indicating that these structures are mechanically stable. For the Al5Os and Al5Ru alloys, the C11 values exceed the corresponding C33 values, indicating higher linear incompressibility along the [100] crystallographic direction and enhanced resistance to axial compression relative to the [001] direction. This anisotropic behavior is particularly pronounced in Al5Os, which exhibits the most significant C11 > C33 disparity, suggesting superior compressive strength along the a-axis. Such directional dependence of compressive resistance is likely attributed to stronger interatomic bonding aligned predominantly along the [100] direction, whereas weaker bonds are more likely oriented perpendicular to the [001] plane. Furthermore, for the Al5Mo, Al5Nb, Al5Ta, Al5Tc, and Al5Ti alloys, the elastic constant C33 exceeds C11, indicating greater linear incompressibility along the [001] crystallographic direction and enhanced resistance to uniaxial compression compared to the [100] direction. Notably, Al5Re exhibits C11 = C22 = C33, implying isotropic compressive behavior along all three principal crystallographic axes. The elastic constants C44 and C66 represent the shear modulus within the elastic stiffness matrix and reflect the material’s resistance to shear deformation. They play a critical role in characterizing the elastic anisotropy of crystalline materials. The relatively low C44 values of Al5Os and Al5Ru, along with the low C66 value of Al5Ti, indicate limited resistance to shear deformation, suggesting that these materials are more prone to distortion under applied shear stress. In contrast, Al5Mo, Al5Nb, and Al5Ta exhibit comparatively higher C44 and C66 values, reflecting higher shear modulus and thus stronger resistance to shear deformation.
Table 2.
Calculated elastic constants Cij (GPa) of Al5TM alloys.
In order to thoroughly assess the mechanical properties of Al5TM alloys, we calculated the elastic modulus, Poisson’s ratio (v), and the B/G ratio. The Young’s modulus, elastic modulus, and shear modulus were calculated using the Voigt–Reuss–Hill averaging scheme [43]. The calculation results are listed in Table 3. The Young’s modulus of the Al5TM alloys varies significantly, ranging from 117.9 to 205.9 GPa, underscoring the substantial impact of different transition metal elements on the elastic stiffness. Notably, the Al5Mo, Al5Nb, and Al5Ta alloys exhibit the highest Young’s modulus values of 205.9 GPa, 201.1 GPa, and 204.1 GPa, respectively, indicating superior resistance to deformation. This high stiffness is primarily attributed to the ability of Nb, Ta, and Mo atoms to participate in covalent bond formation through their d-orbital electrons, which significantly enhances the bonding interactions between TM–Al and TM–TM. In contrast, alloys such as Al5Ru, Al5Ti, and Al5Os exhibit lower Young’s modulus values of 117.9 GPa, 121.7 GPa, and 133.3 GPa, respectively, indicating weaker interatomic bonding within their crystal structures. This difference may originate from the characteristics of the d-electron configurations of the TM elements. For example, the d orbitals of Ru and Os are nearly fully occupied, which weakens the directionality of covalent bonds and thereby affects the elastic response of the material under applied stress. Furthermore, Al5Re and Al5Tc exhibit intermediate Young’s modulus values of 169.8 GPa and 165.2 GPa, respectively. Overall, the elastic properties of Al5TM alloys are influenced not only by the atomic volume and electronic structure of the TM elements but also by their bonding interactions with Al atoms within the crystal lattice. Figure 2 shows the three-dimensional anisotropy diagrams of Young’s moduli and shear moduli for the Al5TM alloys.
Table 3.
Calculated shear modulus G (in GPa), bulk modulus B (in GPa), Young’s modulus E (in GPa), B/G, and Poisson’s ratio v of Al5TM alloys.
Figure 2.
Three-dimensional anisotropy diagrams of Young’s modulus and shear modulus for the Al5TM alloys: (a) Al5Mo, (b) Al5Nb, (c) Al5Os, (d) Al5Re, (e) Al5Ru, (f) Al5Ta, (g) Al5Tc, and (h) Al5Ti.
The bulk modulus B and shear modulus G are important parameters for analyzing the mechanical properties of materials [44]. The bulk modulus B and shear modulus G reflect a material’s resistance to volumetric compression and shear deformation, respectively. Together, these two elastic moduli govern the overall stiffness and structural stability of the material [45]. As shown in the data presented in Table 3, Al5Os, Al5Re, and Al5Ru exhibit relatively high bulk moduli of 130.3 GPa, 134.6 GPa, and 118.3 GPa, respectively, indicative of strong resistance to volumetric compression. Nevertheless, their shear moduli are relatively low, being 50.1 GPa, 65.8 GPa and 44.2 GPa, respectively, indicating that their resistance to shear deformation is limited. This indicates that although atomic bonding is relatively dense, the materials demonstrate limited resistance to shear deformation, highlighting pronounced elastic anisotropy. In contrast, Al5Mo, Al5Nb, and Al5Ta display both high bulk moduli (116.3 GPa, 106.3 GPa, and 109.9 GPa, respectively) and high shear moduli (85.5 GPa, 84.9 GPa, and 85.7 GPa, respectively), indicating their excellent mechanical performance in resisting both volumetric compression and shear deformation.
Furthermore, the B/G ratio is employed as an evaluation criterion to assess the brittleness and ductility of Al5TM alloys. According to Pugh’s criterion, materials with a B/G ratio below 1.75 exhibit brittle behavior, whereas those with a ratio above 1.75 are considered ductile [46]. The analysis results indicate that Al5Os (2.60), Al5Re (2.04), and Al5Ru (2.68) exhibit pronounced ductile behavior, whereas Al5Nb (1.25), Al5Mo (1.36), and Al5Ta (1.28) display characteristic brittle behavior. In summary, Al5TM alloys maintain high compressive performance while their shear rigidity and ductility are significantly influenced by the TM elements. Poisson’s ratio describes the relationship between transverse strain and axial strain during the deformation of a material under applied stress [47]. For crystal structures, Poisson’s ratio characterizes the deformation response along different crystallographic directions, demonstrating its elastic anisotropy. Poisson’s ratio reflects the bonding characteristics between atoms in the crystal structure, where the bonding strength and directionality directly determine the material’s ability to resist deformation under external forces. According to linear elasticity theory, the mechanical stability criterion for materials requires that Poisson’s ratio lies between −1 and 0.5 [48]. The Poisson’s ratio results presented in Table 3 indicate that the investigated Al5TM alloys exhibit good mechanical stability under elastic deformation.
The thermal stability of materials at elevated temperatures is a critical criterion for assessing their high-temperature performance [49,50,51]. In this study, the Debye temperature is introduced to further evaluate the thermodynamic properties of Al5TM alloys. This parameter reflects the characteristics of phonon vibrations in solids and to a certain extent reveals the dynamic properties of the material. The calculation formula is as follows [52]:
where , , and represent the Boltzmann constant, Planck’s constant, and Avogadro’s constant, respectively. n represents the number of atoms, and M represents the molar mass. vm represents the average sound velocity, which is calculated using the following equation:
where and represent the longitudinal and transverse sound velocities, respectively, and are calculated using the following equations [53]:
The velocity of sound in a material is typically related to its elastic modulus and density. A higher sound velocity indicates stronger interatomic interactions, reflecting greater stiffness and superior elastic properties. The sound velocity data presented in Table 4 reveal the significant influence of different transition metal elements on the longitudinal velocity, transverse velocity, and average sound velocity of the Al5TM alloys. The Al5Mo and Al5Nb alloys exhibit high average sound velocities of 5070 m/s and 5174 m/s, respectively, indicating their excellent elastic and stiffness properties. Additionally, Al5Ti, Al5Ta, and Al5Tc also show relatively high average sound velocities (4388–4405 m/s), reflecting a well-balanced mechanical performance. These differences in sound velocity mainly originate from the varying effects of different transition metal elements on the stiffness of the crystal structure and the strength of interatomic bonding.
Table 4.
Calculated longitudinal elastic wave velocity (in m/s), transverse elastic wave velocity (in m/s), and average sound velocity (in m/s) of Al5TM alloys.
Figure 3 shows the calculated Debye temperatures of Al5TM alloys, revealing significant differences in Debye temperatures among various aluminum-based alloys. As shown in the figure, the Al5Mo and Al5Nb alloys exhibit relatively high Debye temperatures (600.5 K and 606.7 K), indicating that these two alloys possess superior thermodynamic properties. It is worth noting that all Al5TM alloys exhibit favorable thermodynamic properties. Their excellent performance stems from the interatomic interactions and vibrational frequencies within the alloys.
Figure 3.
Debye temperature of Al5TM alloys.
Dynamical stability is a fundamental criterion for evaluating the overall structural stability of crystalline materials [54]. To this end, we investigated the dynamical stability of the Al5TM structures to comprehensively assess their structural stability. Phonon dispersion analysis, which provides insight into atomic vibrational modes and energy distributions within the crystal lattice, was employed to examine their dynamical behavior [55]. The dynamical stability of Al5TM alloys was systematically assessed through a detailed analysis of their phonon dispersion relations and atomic vibrational frequencies. Figure 4 presents the computed phonon spectra for these alloys. For dynamically stable structures, the phonon spectrum contains no imaginary frequencies. It is worth emphasizing that no imaginary frequencies are present in the phonon spectra of all Al5TM alloys, indicating that these alloys exhibit excellent dynamical stability.

Figure 4.
Calculated phonon dispersion curves of Al5TM alloys: (a) Al5Mo, (b) Al5Nb, (c) Al5Os, (d) Al5Re, (e) Al5Ru, (f) Al5Ta, (g) Al5Tc, and (h) Al5Ti.
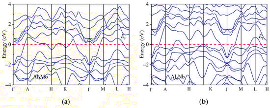
A systematic analysis of the band structures of the Al5TM alloys was carried out to gain a deeper understanding of their electronic properties. Figure 5 presents the calculated band structures of the Al5TM alloys along the high-symmetry path Γ → A → H → K → Γ → M → L → H. The specific coordinates of each high-symmetry point are Γ (0.0 0.0 0.0), A (0.0 0.0 0.5), H (−0.333 0.667 0.5), K (−0.333 0.667 0.0), M (0.0 0.5 0.0), L (0.0 0.5 0.5). The band structure reveals that multiple bands cross the Fermi level, and no evident band gap is observed, indicating that the Al5TM alloys exhibit typical metallic behavior. Based on the distribution of the electronic band structure, it can be inferred that the d electrons of the transition metal elements make the most significant contribution near the Fermi level. Further analysis of the distribution characteristics of electronic density of states confirmed this inference result.

Figure 5.
Calculated band structures of Al5TM alloys: (a) Al5Mo, (b) Al5Nb, (c) Al5Os, (d) Al5Re, (e) Al5Ru, (f) Al5Ta, (g) Al5Tc, and (h) Al5Ti.
The density of states (DOS) refers to the number of electronic states available per unit energy interval that can be occupied by electrons, reflecting the distribution of electrons at specific energy levels. Projected density of states (PDOS) is a further analysis of the total DOS, revealing the contributions of specific elements or atomic orbitals within a certain energy range. The total density of states (TDOS) and PDOS of the Al5TM alloys are shown in Figure 6, providing insight into their electronic structure and bonding characteristics. It is evident from the figure that the TDOS at the Fermi level (EF) is nonzero for all alloys, indicating that these compounds exhibit typical metallic behavior. In terms of electronic state distribution, the d orbitals of the transition metal elements dominate across the entire energy range, particularly near the Fermi level. The d orbitals of the transition metals make the most significant contribution to the TDOS and are the key factor determining the electronic properties of the alloys. In contrast, the contributions from the Al p and s orbitals near the Fermi level are relatively minor, indicating that Al atoms primarily serve a structural role in the alloy and participate in bonding indirectly. The p and s orbitals of Al exhibit a certain degree of hybridization with the d orbitals of the TM elements in the lower energy region of the band structure. In particular, the hybridization between the TM-d and Al-p orbitals is more pronounced, enhancing the covalent bonding interactions between Al and TM atoms. In summary, the density of states analysis not only confirms the metallic nature of the Al5TM alloys but also highlights the crucial role of TM d orbitals in determining their electronic structure and bonding behavior. The hybridization between aluminum atoms and transition metal elements enhances the electronic interactions and bonding strength within the material, significantly improving the overall performance of the Al5TM alloys.

Figure 6.
Projected and total density of states of Al5TM alloys: (a) Al5Mo, (b) Al5Nb, (c) Al5Os, (d) Al5Re, (e) Al5Ru, (f) Al5Ta, (g) Al5Tc, and (h) Al5Ti.
4. Conclusions
In this study, first-principles calculations based on density functional theory were employed to systematically investigate the structural stability, mechanical properties, and electronic characteristics of Al5TM (TM = Mo, Nb, Os, Re, Ru, Ta, Tc, Ti) intermetallic compounds. All Al5TM alloys exhibit negative formation energies, indicating good thermodynamic stability. Among them, Al5Mo has the lowest formation energy, making it the most stable structure within the system. Compared with the P63 phase, the R32 phase of Al5Mo possesses a lower formation energy, demonstrating superior thermodynamic stability. The calculated elastic constants and moduli indicate that all Al5TM alloy structures satisfy the Born mechanical stability criteria, exhibiting good mechanical stability. Among them, Al5Mo, Al5Nb, and Al5Ta exhibit high Young’s and shear moduli, indicating excellent rigidity and resistance to shear deformation. Al5Os, Al5Re, and Al5Ru exhibit high bulk moduli, indicating excellent resistance to volumetric compression. According to Pugh’s criterion, Al5Os, Al5Re, and Al5Ru exhibit good ductility, whereas Al5Nb, Al5Mo, and Al5Ta show pronounced brittle characteristics. Phonon dispersion analysis reveals no imaginary frequencies, indicating that all Al5TM alloys possess good dynamical stability. The Debye temperatures of Al5Mo and Al5Nb reach 600.5 K and 606.7 K, respectively, indicating excellent thermal stability at high temperatures. The electronic states near the Fermi level primarily originate from the d orbitals of the transition metals and exhibit strong hybridization with the Al-3p orbitals. This hybridization enhances the bonding interactions between TM and Al atoms, thereby effectively improving the structural stability and mechanical properties of the alloys. In summary, Al5TM alloys exhibit a combination of structural stability, excellent mechanical properties, and good electrical conductivity, demonstrating great potential for applications as high-temperature structural materials or advanced functional materials.
Author Contributions
Methodology, J.Y.; software, J.Y.; validation, J.L. and M.Z.; formal analysis, J.Y.; investigation, Q.W., J.Y., and J.L.; data curation, J.Y. and J.L.; writing—original draft preparation, J.Y.; writing—review and editing, Q.W. and M.Z.; supervision, B.W.; project administration, B.W. All authors have read and agreed to the published version of the manuscript.
Funding
This research was funded by the National Natural Science Foundation of China (Grant Nos. 11965005 and 11964026) and the Natural Science Basic Research Plan in Shaanxi Province, China (Grant No. 2025JC-YBMS-027).
Data Availability Statement
The raw data supporting the conclusions of this article will be made available by the authors upon request.
Acknowledgments
All authors are grateful for access to the computing facilities at the High Performance Computing Center of Xidian University.
Conflicts of Interest
The authors declare no conflicts of interest.
References
- King, D.J.M.; Knowles, A.J.; Bowden, D.; Wenman, M.R.; Capp, S.; Gorley, M.; Shimwell, J.; Packer, L.; Gilbert, M.R.; Harte, A. High temperature zirconium alloys for fusion energy. J. Nucl. Mater. 2022, 559, 153431. [Google Scholar] [CrossRef]
- Zhang, W.; Qian, Y.; Sun, R.; Lin, X.; Yao, M.; Qiu, Y.; Yang, J.; Cheng, G.G.; Dong, J.X. Oxidation characteristics of Fe22Cr5Al3Mo-xNb alloys in high temperature steam. Corros. Sci. 2021, 191, 109722. [Google Scholar] [CrossRef]
- Liu, B.; Li, G.; Xiao, X.; Lu, S.; Peng, P. Alloying effect on the mechanical properties of Laves phase NbCr2: A first-principles study. Comput. Mater. Sci. 2023, 218, 111949. [Google Scholar] [CrossRef]
- Pan, Y.; Pu, D. The structural, mechanical, and thermodynamic properties of B2-type TMZr (TM = Ru, Mo, Rh, Os, and Re) compounds from first-principles calculations. Int. J. Quantum Chem. 2019, 119, e26015. [Google Scholar] [CrossRef]
- Liu, Y.; Qu, N.; Zhao, X.; Chen, J.; Zhu, J.; Lai, Z. Stability of FeCrNiTiAl high-entropy alloy at high temperature. Heat Treat. Surf. Eng. 2021, 3, 29–36. [Google Scholar] [CrossRef]
- Bai, Y.; Sun, D.; Li, N.; Kong, F.; Qi, X.; He, X.; Wang, R.; Zheng, Y. High-temperature mechanical properties and thermal shock behavior of ternary-layered MAB phases Fe2AlB2. Int. J. Refract. Met. Hard Mater. 2019, 80, 151–160. [Google Scholar] [CrossRef]
- Ning, W.; Zhai, H.; Xiao, R.; He, D.; Liang, G.; Wu, Y.; Li, W.; Li, X. The corrosion resistance mechanism of Fe-based amorphous coatings synthesised by detonation gun spraying. J. Mater. Eng. Perform. 2020, 29, 3921. [Google Scholar] [CrossRef]
- Wang, Y.; Wang, L.; Shang, L.; Bai, G.; Li, J.; Xue, F.; Gong, W. Fiber texture-dependent oxidation behaviour of Cr-coated zirconium alloy in high temperature steam. Corros. Sci. 2022, 205, 110449. [Google Scholar] [CrossRef]
- Chen, X.; Liao, D.; Jiang, X.; Zhang, D.; Shi, T. Effect of tungsten doping on the performance of MAO coatings on a Ti6Al4V drill pipe. Surf. Innov. 2020, 8, 279–286. [Google Scholar] [CrossRef]
- Yang, Y.; Li, Y.; Liang, Z.; Bai, P.; Nie, J.; Liu, S.; Chen, B.; Wei, S.; Guan, Q.; Cai, J. Continuous hot corrosion behaviour of an FeCrAlSi coating prepared by laser cladding. Surf. Coat. Technol. 2021, 421, 127424. [Google Scholar] [CrossRef]
- Gussev, M.N.; Field, K.G.; Yamamoto, Y. Design, properties, and weldability of advanced oxidation-resistant FeCrAl alloys. Mater. Des. 2017, 129, 227–238. [Google Scholar] [CrossRef]
- Li, J.; Xu, Y.; Xiao, W.; Ma, C.; Huang, X. Development of Ti–Al–Ta–Nb–(Re) near-α high temperature titanium alloy: Microstructure, thermal stability and mechanical properties. J. Mater. Sci. Technol. 2022, 109, 1–11. [Google Scholar] [CrossRef]
- Wang, K.; Zhang, X.; Wang, F. The electronic, mechanical, anisotropic and thermodynamic properties of ZrAlNi, ZrAlNi2, ZrAl5Ni2 and Zr6Al2Ni ternary intermetallics. Vacuum 2024, 226, 113260. [Google Scholar] [CrossRef]
- Pan, Y.; Wang, P. First-principles investigation of the novel structure, elastic and thermodynamic properties of IrAl3 coating. Mol. Simul. 2019, 45, 1058–1065. [Google Scholar] [CrossRef]
- Duan, Y.; Huang, B.; Sun, Y.; Peng, M.; Zhou, S. Stability, elastic properties and electronic structures of the stable Zr–Al intermetallic compounds: A first-principles investigation. J. Alloys Compd. 2014, 590, 50–60. [Google Scholar] [CrossRef]
- Huang, S.; Dolley, E.; An, K.; Yu, D.; Crawford, C.; Othon, M.A.; Spinelli, I.; Knussman, M.P.; Rebak, R.B. Microstructure and tensile behavior of powder metallurgy FeCrAl accident tolerant fuel cladding. J. Nucl. Mater. 2022, 560, 153524. [Google Scholar] [CrossRef]
- Wang, R.; Zeng, S.; Wang, X.; Ni, J. Machine learning for hierarchical prediction of elastic properties in Fe–Cr–Al system. Comput. Mater. Sci. 2019, 166, 119–123. [Google Scholar] [CrossRef]
- Pan, Y. Exploring the phase stability, mechanical and thermodynamic properties of FeCrAl ternary alloy. J. Mater. Res. Technol. 2023, 26, 8813–8821. [Google Scholar] [CrossRef]
- Guo, S.; Wang, F.; Wang, Y.; Xie, G. Microstructural evolution and properties of Ti/Al clad plate fabricated by vacuum rolling and heat treatment. Mater. Sci. Eng. A 2023, 882, 145445. [Google Scholar] [CrossRef]
- Cao, L.; Zhang, X.; Wang, F. Structural, elastic, anisotropic, electronic, thermal properties and tensile strength of AlTM2Ti (TM = Ni, Fe, Cu, Co, Au) studied by first-principles calculations. Chem. Phys. Lett. 2023, 830, 140796. [Google Scholar] [CrossRef]
- Liu, X.; Zhang, T.; He, Y.; Shang, J.; Wang, K.; Wu, H.; Fan, G. Fabrication and microstructure evolution of novel laminated TiAl composite. Mater. Charact. 2022, 194, 112446. [Google Scholar] [CrossRef]
- Hu, A.; Cai, S. Research on the novel Al–W alloy powder with high volumetric combustion enthalpy. J. Mater. Res. Technol. 2021, 13, 311–320. [Google Scholar] [CrossRef]
- Wang, C.; Liang, S.; Jiang, Y. In-situ fabrication and characteristics of an Al4W/Al12W composite using infiltration method. Vacuum 2019, 160, 95–101. [Google Scholar] [CrossRef]
- Wang, C.; Liang, S.; Cui, J.; Wang, X.; Wei, Y. First-principles study of the mechanical and thermodynamic properties of Al4W, Al5W and Al12W under pressure. Vacuum 2019, 169, 108844. [Google Scholar] [CrossRef]
- Pan, Y. First-principles investigation of the structural, mechanical, and thermodynamic properties of hexagonal and cubic MoAl5 alloy. J. Mater. Eng. Perform. 2021, 30, 8289–8295. [Google Scholar] [CrossRef]
- Wang, M.; Chen, Z.; Xia, C.; Wu, Y.; Chen, D. Theoretical study of elastic and electronic properties of Al5Mo and Al5W intermetallics under pressure. Mater. Chem. Phys. 2017, 197, 145–153. [Google Scholar] [CrossRef]
- Pan, Y.; Zhang, X. Theoretical predict the structure, elastic anisotropy and thermodynamic properties of Al5W in Al-rich region. J. Mater. Res. Technol. 2023, 24, 1792–1801. [Google Scholar] [CrossRef]
- Xie, X.; Wei, Q.; Luo, J.; Jia, X.; Zhang, M.; Zhu, X. R32-Al5W: A new stable high-temperature alloy. Results Phys. 2024, 63, 107880. [Google Scholar] [CrossRef]
- Luo, J.; Zhang, M.; Jia, X.; Zhu, X.; Wei, Q. Determination of crystal structure and physical properties of Ru2Al5 intermetallic from first-principles calculations. Chin. Phys. B 2025, 34, 016301. [Google Scholar] [CrossRef]
- Fang, Z.; Hu, Z.; Lv, B.; Sun, B.; Wang, H.; He, P.; Wang, X.; Liang, X.B.; Jin, G. The new Iridium–Hafnium–Aluminum alloy thin films with excellent mechanical properties and oxidation resistance. Appl. Surf. Sci. 2024, 657, 159802. [Google Scholar] [CrossRef]
- Mo, L.; Zhou, X.; Liu, X.; Zhan, M.; Zhao, Y.; Du, J. Microstructure and thermal-physical properties of hypereutectic Al–Ni alloys. J. Mater. Res. Technol. 2023, 24, 6227–6237. [Google Scholar] [CrossRef]
- Hu, X.; Wang, C.; Ma, G.; He, K. Effect of Er on microstructure, electrical conductivity, mechanical properties, and corrosion resistance of an Al–Zr alloy. J. Mater. Eng. Perform. 2025, 34, 6026–6034. [Google Scholar] [CrossRef]
- Yan, H.; Zhang, W.; Chen, L.; Zhang, Y.; Wang, H.; Zhang, M.; Wei, Q. Structural, strength and fracture mechanisms of superconducting transition metal nitrides TM3N5 (TM = W and Mo). Phys. Chem. Chem. Phys. 2025, 27, 6134–6145. [Google Scholar] [CrossRef]
- Yan, H.; Chen, L.; Feng, L.; Chen, Y.; Zhang, M.; Wei, Q. Two dense semiconducting phases of LiInTe2 under high pressure. Vacuum 2024, 225, 113256. [Google Scholar] [CrossRef]
- Wang, X.; Wei, Q.; Luo, J.; Jia, X.; Zhag, M.; Zhu, X.; Wei, B. Pressure-induced phase transitions and electronic structure evolution of Ba4Au. Materials 2025, 18, 3728. [Google Scholar] [CrossRef]
- Wei, Q.; Yang, J.; Jia, X.; Luo, J.; Zhang, M.; Zhu, X. Crystal structures, mechanical properties, and electronic structure analysis of ternary FeCrAl alloys. Phys. Lett. A 2025, 533, 130228. [Google Scholar] [CrossRef]
- Chen, L.; Wei, Q.; Jia, Q.; Zhang, M.; Xu, J.; Jiang, Z. Theoretical exploring superior stiffness and strength of ternary carbosilicides TM0.5Si0.5C (TM = Cr, Mo, W) with excellent stability for extreme conditions. J. Mater. Res. Technol. 2024, 33, 9979–9991. [Google Scholar] [CrossRef]
- Luo, J.; Wei, Q.; Jia, X.; Zhang, M.; Zhu, X. Stability and properties of six new Ru3Al structures: A first-principles study of mechanical, electronic, and superconducting properties. Phys. Lett. A 2024, 525, 129922. [Google Scholar] [CrossRef]
- Kresse, G.; Furthmüller, J. Efficient iterative schemes for ab initio total-energy calculations using a plane-wave basis set. Phys. Rev. B 1996, 54, 11169. [Google Scholar] [CrossRef]
- Perdew, J.P.; Burke, K.; Ernzerhof, M. Generalized gradient approximation made simple. Phys. Rev. Lett. 1996, 77, 3865. [Google Scholar] [CrossRef]
- Togo, A. First-principles phonon calculations with phonopy and phono3py. J. Phys. Soc. Jpn. 2023, 92, 012001. [Google Scholar] [CrossRef]
- Mouhat, F.; Coudert, F.-X. Necessary and sufficient elastic stability conditions in various crystal systems. Phys. Rev. B 2014, 90, 224104. [Google Scholar] [CrossRef]
- Hill, R. The elastic behaviour of a crystalline aggregate. Proc. Phys. Soc. A 1952, 65, 349. [Google Scholar] [CrossRef]
- Pan, Y. First-principles investigation of the structural stability and mechanical properties of TM3Al2C (TM = Mo, Cr and W) carbides. Mater. Today Commun. 2023, 37, 107178. [Google Scholar] [CrossRef]
- Wei, Q.; Yan, Y.; Jia, X.; Zhang, M. Structural stability, mechanical and electronic properties of TM5Si3B (TM = Zr, Mo, Ta, W) MAB phases. Phys. Lett. A 2024, 519, 129724. [Google Scholar] [CrossRef]
- Pugh, S.F. XCII. Relations between the elastic moduli and the plastic properties of polycrystalline pure metals. Philos. Mag. 1954, 45, 823–843. [Google Scholar] [CrossRef]
- Tian, M.; Zhang, X.; Wang, F. Structural, mechanical, electronic and thermodynamic properties of YBC, YB2C, YB2C2, Y2B3C2 intermetallics. Mater. Today Commun. 2024, 39, 108696. [Google Scholar] [CrossRef]
- Li, Y.; Duan, Y.; Peng, M.; Zheng, S. Structural, elastic, and thermal properties of TM5Si3C (TM = Ti, Cr, Y) carbides from first-principles calculations. Vacuum 2023, 218, 112616. [Google Scholar] [CrossRef]
- Pu, D.; Pan, Y. New insight into the structural stability, ductility and melting point of Mo5SiB2 under high-pressure environment. Vacuum 2022, 196, 110727. [Google Scholar] [CrossRef]
- Bendjemai, M.; Rached, A.A.; Husain, M.; Bentouaf, A.; Rahman, N.; Tirth, V.; Algahtani, A.; Alghtani, A.H.; Al-Mughanam, T. First-principles calculations to investigate structural, elastic and thermodynamic properties of new M2ScSnC2 (M = V or Nb) quaternary compounds for 312 MAX phases. J. Mater. Res. Technol. 2023, 24, 3211–3221. [Google Scholar] [CrossRef]
- Pu, D.; Pan, Y. First-principles investigation of solution mechanism of C in TM–Si–C matrix as the potential high-temperature ceramics. J. Am. Ceram. Soc. 2022, 105, 2858–2868. [Google Scholar] [CrossRef]
- Anderson, O.L. A simplified method for calculating the Debye temperature from elastic constants. J. Phys. Chem. Solids 1963, 24, 909–917. [Google Scholar] [CrossRef]
- Panda, K.B.; Chandran, K.S.R. Determination of elastic constants of titanium diboride (TiB2) from first principles using FLAPW implementation of the density functional theory. J. Comput. Mater. Sci. 2006, 35, 134–150. [Google Scholar] [CrossRef]
- Li, B.; Qi, H.; Duan, Y.; Peng, M. First-principles calculations: Structural stability, electronic structure, optical properties and thermodynamic properties of AlBN2, Al3BN4 and AlB3N4 nitrides. Mater. Sci. Semicond. Process. 2023, 160, 107400. [Google Scholar] [CrossRef]
- Wu, R.; Liu, D.; Lai, J.; Jiang, D. Prediction of high temperature mechanical and thermodynamic properties of W–Mn alloys based on first principles method. Fusion Eng. Des. 2024, 200, 114218. [Google Scholar] [CrossRef]
Disclaimer/Publisher’s Note: The statements, opinions and data contained in all publications are solely those of the individual author(s) and contributor(s) and not of MDPI and/or the editor(s). MDPI and/or the editor(s) disclaim responsibility for any injury to people or property resulting from any ideas, methods, instructions or products referred to in the content. |
© 2025 by the authors. Licensee MDPI, Basel, Switzerland. This article is an open access article distributed under the terms and conditions of the Creative Commons Attribution (CC BY) license (https://creativecommons.org/licenses/by/4.0/).