Cryo-SIMPLY: A Reliable STT-MRAM-Based Smart Material Implication Architecture for In-Memory Computing
Abstract
1. Introduction
- To our knowledge, this is the first study presenting a circuit-to-application level characterization and comparative analysis between SMTJ- and DMTJ-based SIMPLY schemes operating at 77 K.
- The DMTJ-based SIMPLY demonstrates a significant improvement in read margin at 77 K, overcoming the conventional SIMPLY scheme at room temperature (300 K) by approximately 2.3 X.
- When implementing logic operations with the SIMPLY scheme operating at 77 K, the DMTJ-based scheme assures energy savings of about 69%, as compared to its SMTJ-based counterpart operating at 77 K.
- The energy efficiency observed at cryogenic temperatures makes the DMTJ-based SIMPLY scheme a viable option for low-power LIM.
2. CMOS and MTJ Technologies Operating at Cryogenic Temperatures
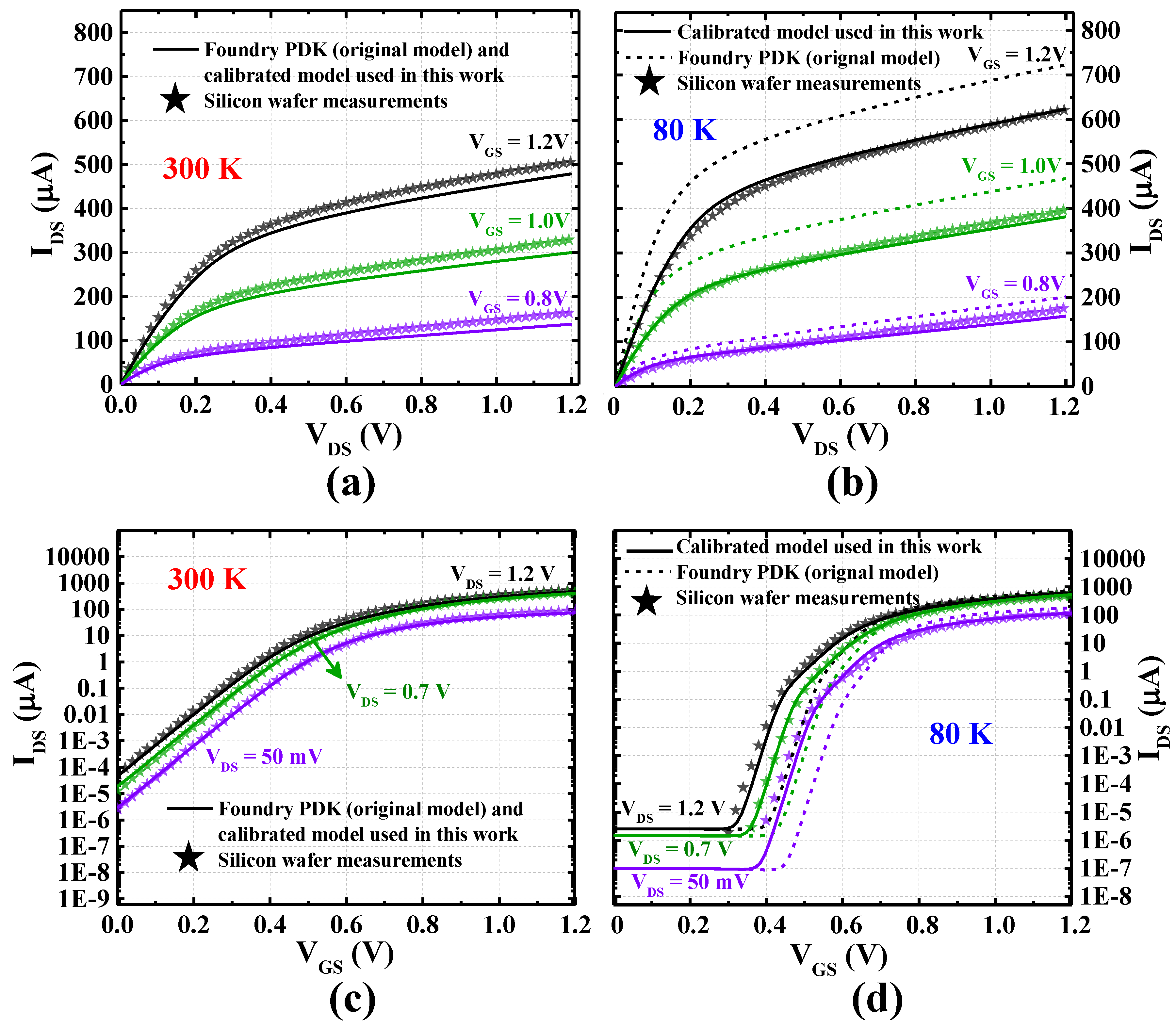
2.1. CMOS Devices Under Cryogenic Operation
2.2. Magnetic Tunnel Junctions (MTJs) Operating at Cryogenic Temperatures
2.3. Related Work
2.4. Spin-Transfer Torque Magnetic Tunnel Junction (STT-MTJ) Devices and Temperature-Dependent Compact Model
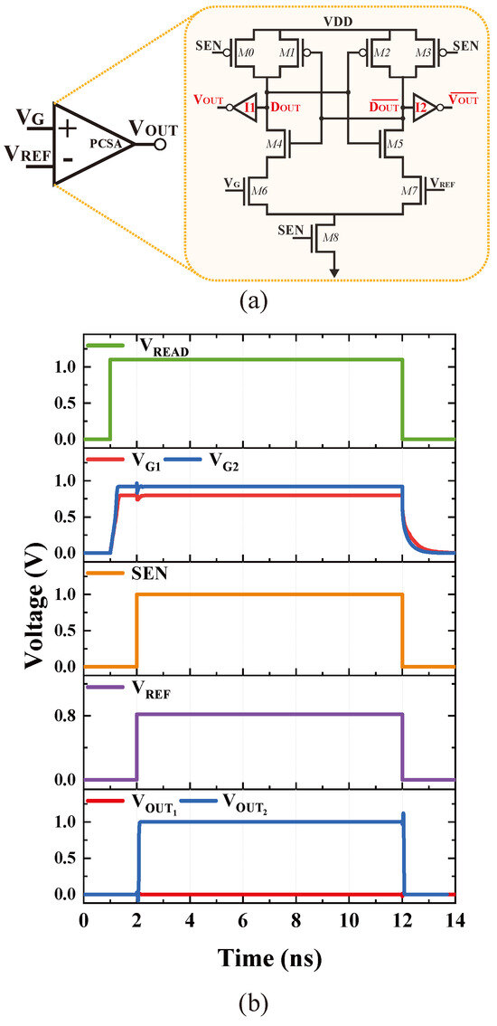
3. Smart Material Implication (SIMPLY) Logic Scheme
4. Simulation Results
4.1. Write Operation
4.2. Reliability of Preliminary Read Operation
4.3. Comparative Results
4.4. Energy Consumption of Logic Operations
4.5. Summary and Application Space
5. Conclusions
Author Contributions
Funding
Institutional Review Board Statement
Informed Consent Statement
Data Availability Statement
Conflicts of Interest
Abbreviations
| IMC | In-memory computing |
| NVM | non-volatile memory |
| RRAM | Resistive random access memory |
| MRAM | Magnetoresistive random access memory |
| LIM | Logic-in-memory |
| IMPLY | Material implication |
| SIMPLY | Smart IMPLY |
| STT-MRAM | Spin-transfer torque magnetic random access memory |
| SMTJ | Single-barrier magnetic tunnel junction |
| DMTJ | Double-barrier magnetic tunnel junction |
| PDK | Process design kit |
| RL | Reference layer |
| Bottom reference layer | |
| Top reference layer | |
| FL | Free layer |
| tOX | Oxide barrier of thickness |
| LRS | Low resistance state |
| HRS | High resistance state |
| PCSA | Precharge sense amplifier |
| TSB | Tri-state buffers |
| RM | Read margin |
References
- Mannocci, P.; Farronato, M.; Lepri, N.; Cattaneo, L.; Glukhov, A.; Sun, Z.; Ielmini, D. In-memory computing with emerging memory devices: Status and outlook. APL Mach. Learn. 2023, 1, 010902. [Google Scholar] [CrossRef]
- Xi, Y.; Gao, B.; Tang, J.; Chen, A.; Chang, M.F.; Hu, X.S.; Van Der Spiegel, J.; Qian, H.; Wu, H. In-memory learning with analog resistive switching memory: A review and perspective. Proc. IEEE 2020, 109, 14–42. [Google Scholar] [CrossRef]
- Pedretti, G.; Ielmini, D. In-memory computing with resistive memory circuits: Status and outlook. Electronics 2021, 10, 1063. [Google Scholar] [CrossRef]
- Li, C.; Belkin, D.; Li, Y.; Yan, P.; Hu, M.; Ge, N.; Jiang, H.; Montgomery, E.; Lin, P.; Wang, Z.; et al. In-memory computing with memristor arrays. In Proceedings of the 2018 IEEE International Memory Workshop (IMW), Kyoto, Japan, 13–16 May 2018; IEEE: New York, NY, USA, 2018; pp. 1–4. [Google Scholar]
- Zhou, H.; Li, S.; Ang, K.W.; Zhang, Y.W. Recent advances in In-memory computing: Exploring memristor and memtransistor arrays with 2D materials. Nano-Micro Lett. 2024, 16, 121. [Google Scholar] [CrossRef] [PubMed]
- Sebastian, A.; Le Gallo, M.; Khaddam-Aljameh, R.; Eleftheriou, E. Memory devices and applications for in-memory computing. Nat. Nanotechnol. 2020, 15, 529–544. [Google Scholar] [CrossRef] [PubMed]
- Zahari, F.; Pérez, E.; Mahadevaiah, M.K.; Kohlstedt, H.; Wenger, C.; Ziegler, M. Analogue pattern recognition with stochastic switching binary CMOS-integrated memristive devices. Sci. Rep. 2020, 10, 14450. [Google Scholar] [CrossRef] [PubMed]
- Barla, P.; Shet, D.; Joshi, V.K.; Bhat, S. Design and analysis of LIM hybrid MTJ/CMOS logic gates. In Proceedings of the 2020 5th International Conference on Devices, Circuits and Systems (ICDCS), Coimbatore, India, 5–6 March 2020; IEEE: New York, NY, USA, 2020; pp. 41–45. [Google Scholar]
- Shen, Z.; Zhao, C.; Qi, Y.; Xu, W.; Liu, Y.; Mitrovic, I.Z.; Yang, L.; Zhao, C. Advances of RRAM devices: Resistive switching mechanisms, materials and bionic synaptic application. Nanomaterials 2020, 10, 1437. [Google Scholar] [CrossRef] [PubMed]
- Moon, K.; Lim, S.; Park, J.; Sung, C.; Oh, S.; Woo, J.; Lee, J.; Hwang, H. RRAM-based synapse devices for neuromorphic systems. Faraday Discuss. 2019, 213, 421–451. [Google Scholar] [CrossRef]
- Jung, S.; Lee, H.; Myung, S.; Kim, H.; Yoon, S.K.; Kwon, S.W.; Ju, Y.; Kim, M.; Yi, W.; Han, S.; et al. A crossbar array of magnetoresistive memory devices for in-memory computing. Nature 2022, 601, 211–216. [Google Scholar] [CrossRef] [PubMed]
- Dutta, S.; Schafer, C.; Gomez, J.; Ni, K.; Joshi, S.; Datta, S. Supervised learning in all FeFET-based spiking neural network: Opportunities and challenges. Front. Neurosci. 2020, 14, 634. [Google Scholar] [CrossRef] [PubMed]
- Wang, P.; Yu, S. Ferroelectric devices and circuits for neuro-inspired computing. MRS Commun. 2020, 10, 538–548. [Google Scholar] [CrossRef]
- Jang, Y.; Jeong, Y.; Pham, D.P.; Yi, J. Metal-Ferroelectric-Metal Structure for FeFET: Empowering High Performance in Data Storage Technology. Trans. Electr. Electron. Mater. 2024, 25, 393–399. [Google Scholar] [CrossRef]
- Moposita, T.; Garzón, E.; De Rose, R.; Crupi, F.; Vladimirescu, A.; Trojman, L.; Lanuzza, M. SIMPLY+: A Reliable STT-MRAM Based Smart Material Implication Architecture For In-Memory Computing. IEEE Access 2023, 11, 144084–144094. [Google Scholar] [CrossRef]
- Choi, M.G.; In, J.H.; Song, H.; Kim, G.; Rhee, H.; Park, W.; Kim, K.M. Demonstration of a novel majority logic in a memristive crossbar array for in-memory parallel computing. Mater. Horizons 2025. [Google Scholar] [CrossRef] [PubMed]
- Sun, Z.; Kvatinsky, S.; Si, X.; Mehonic, A.; Cai, Y.; Huang, R. A full spectrum of computing-in-memory technologies. Nat. Electron. 2023, 6, 823–835. [Google Scholar] [CrossRef]
- Ou, Q.F.; Xiong, B.S.; Yu, L.; Wen, J.; Wang, L.; Tong, Y. In-memory logic operations and neuromorphic computing in non-volatile random access memory. Materials 2020, 13, 3532. [Google Scholar] [CrossRef]
- Zanotti, T.; Puglisi, F.M.; Pavan, P. Circuit reliability analysis of in-memory inference in binarized neural networks. In Proceedings of the International Integrated Reliability Workshop (IIRW), Virtual, 4 October–1 November 2020; IEEE: New York, NY, USA, 2020; pp. 1–5. [Google Scholar]
- Zanotti, T.; Puglisi, F.M.; Pavan, P. Reconfigurable smart in-memory computing platform supporting logic and binarized neural networks for low-power edge devices. IEEE J. Emerg. Sel. Top. Circuits Syst. 2020, 10, 478–487. [Google Scholar] [CrossRef]
- Puglisi, F.M.; Zanotti, T.; Pavan, P. SIMPLY: Design of a RRAM-based smart logic-in-memory architecture using RRAM compact model. In Proceedings of the ESSDERC 2019-49th European Solid-State Device Research Conference (ESSDERC), Cracow, Poland, 23–26 September 2019; IEEE: New York, NY, USA, 2019; pp. 130–133. [Google Scholar]
- Zanotti, T.; Puglisi, F.M.; Pavan, P. Smart logic-in-memory architecture for low-power non-von neumann computing. IEEE J. Electron Devices Soc. 2020, 8, 757–764. [Google Scholar] [CrossRef]
- Wang, C.; Shi, G.; Qiao, F.; Lin, R.; Wu, S.; Hu, Z. Research progress in architecture and application of RRAM with computing-in-memory. Nanoscale Adv. 2023, 5, 1559–1573. [Google Scholar] [CrossRef] [PubMed]
- Kvatinsky, S.; Satat, G.; Wald, N.; Friedman, E.G.; Kolodny, A.; Weiser, U.C. Memristor-based material implication (IMPLY) logic: Design principles and methodologies. IEEE Trans. Very Large Scale Integr. (VLSI) Systems 2013, 22, 2054–2066. [Google Scholar] [CrossRef]
- Worledge, D.; Hu, G. A snapshot review of double magnetic junctions for STT-MRAM. MRS Adv. 2023, 8, 131–137. [Google Scholar] [CrossRef]
- Garzón, E.; De Rose, R.; Crupi, F.; Trojman, L.; Finocchio, G.; Carpentieri, M.; Lanuzza, M. Assessment of STT-MRAMs based on double-barrier MTJs for cache applications by means of a device-to-system level simulation framework. Integr.-VLSI J. 2020, 71, 56–69. [Google Scholar] [CrossRef]
- Garzón, E.; Teman, A.; Lanuzza, M. Embedded memories for cryogenic applications. Electronics 2021, 11, 61. [Google Scholar] [CrossRef]
- Hou, Y.; Liu-Sun, C.; Liu, B.; Zhang, H.; Cai, H. BIST-Supported Cryogenic Write Trimming With In-MRAM Computing Case Study. IEEE Trans. Nanotechnol. 2023, 22, 126–135. [Google Scholar] [CrossRef]
- Garzón, E.; De Rose, R.; Crupi, F.; Teman, A.; Lanuzza, M. Exploiting STT-MRAMs for cryogenic non-volatile cache applications. IEEE Trans. Nanotechnol. 2021, 20, 123–128. [Google Scholar] [CrossRef]
- Garzón, E.; De Rose, R.; Crupi, F.; Trojman, L.; Teman, A.; Lanuzza, M. Adjusting thermal stability in double-barrier MTJ for energy improvement in cryogenic STT-MRAMs. Solid-State Electron. 2022, 194, 108315. [Google Scholar] [CrossRef]
- Damsteegt, R.A.; Overwater, R.W.; Babaie, M.; Sebastiano, F. A Benchmark of Cryo-CMOS Embedded SRAM/DRAMs in 40-nm CMOS. IEEE J.-Solid-State Circuits 2024, 59, 2042–2054. [Google Scholar] [CrossRef]
- Beckers, A.; Jazaeri, F.; Bohuslavskyi, H.; Hutin, L.; De Franceschi, S.; Enz, C. Characterization and modeling of 28-nm FDSOI CMOS technology down to cryogenic temperatures. Solid-State Electron. 2019, 159, 106–115. [Google Scholar] [CrossRef]
- Zota, C.; Ferraris, A.; Cha, E.; Prathapan, M.; Mueller, P.; Leobandung, E. Energy-efficient computing at cryogenic temperatures. Nat. Electron. 2024, 7, 966–974. [Google Scholar] [CrossRef]
- Dhillon, P.; Dao, N.C.; Leong, P.H.; Wong, H.Y. TCAD modeling of cryogenic nMOSFET ON-state current and subthreshold slope. In Proceedings of the 2021 International Conference on Simulation of Semiconductor Processes and Devices (SISPAD), Dallas, TX, USA, 27–29 September 2021; IEEE: New York, NY, USA, 2021; pp. 255–258. [Google Scholar]
- Huang, J.; Zhang, Y.; Chen, Y.; Xu, J.; Luo, C.; Guo, G. Characterization and compact modeling of short channel MOSFETs at cryogenic temperatures. Solid-State Electron. 2023, 204, 108637. [Google Scholar] [CrossRef]
- Chen, X.; Jiang, S.; Chen, Y.; Gou, H.; Xie, Q.; Shen, B. Transient modeling and loss analysis of SiC MOSFETs at cryogenic and room temperatures. IEEE Trans. Appl. Supercond. 2021, 31, 1–4. [Google Scholar] [CrossRef]
- Lang, L.; Jiang, Y.; Lu, F.; Wang, C.; Chen, Y.; Kent, A.D.; Ye, L. A low temperature functioning CoFeB/MgO-based perpendicular magnetic tunnel junction for cryogenic nonvolatile random access memory. Appl. Phys. Lett. 2020, 116, 022409. [Google Scholar] [CrossRef]
- Veiga, P.; Mora-Hernandez, A.; Dammak, M.; Auffret, S.; Joumard, I.; Vila, L.; Buda-Prejbeanu, L.D.; Prejbeanu, I.; Dieny, B.; Sousa, R.C. Control of interface anisotropy for spin transfer torque in perpendicular magnetic tunnel junctions for cryogenic temperature operation. AIP Adv. 2023, 13, 025253. [Google Scholar] [CrossRef]
- Lyu, D.; Khanal, P.; Lv, Y.; Zhou, B.; Yun, H.; Jia, Q.; Zink, B.R.; Fan, Y.; Mkhoyan, K.A.; Wang, W.; et al. Sub-ns switching and cryogenic-temperature performance of Mo-based perpendicular magnetic tunnel junctions. IEEE Electron Device Lett. 2022, 43, 1215–1218. [Google Scholar] [CrossRef]
- Cao, K.; Li, H.; Cai, W.; Wei, J.; Wang, L.; Hu, Y.; Jiang, Q.; Cui, H.; Zhao, C.; Zhao, W. Low-Temperature Performance of Nanoscale Perpendicular Magnetic Tunnel Junctions With Double MgO-Interface Free Layer. IEEE Trans. Magn. 2019, 55, 1–4. [Google Scholar] [CrossRef]
- Rehm, L.; Wolf, G.; Kardasz, B.; Pinarbasi, M.; Kent, A.D. Sub-nanosecond spin-torque switching of perpendicular magnetic tunnel junction nanopillars at cryogenic temperatures. Appl. Phys. Lett. 2019, 115, 182404. [Google Scholar] [CrossRef]
- Hou, Y.; Ge, W.; Guo, Y.; Naviner, L.; Wang, Y.; Liu, B.; Yang, J.; Cai, H. Cryogenic in-MRAM computing. In Proceedings of the 2021 IEEE/ACM International Symposium on Nanoscale Architectures (NANOARCH), Edmonton, AB, Canada, 8–10 November 2021; IEEE: New York, NY, USA, 2021; pp. 1–6. [Google Scholar]
- Garzón, E.; De Rose, R.; Crupi, F.; Carpentieri, M.; Teman, A.; Lanuzza, M. Simulation analysis of DMTJ-based STT-MRAM operating at cryogenic temperatures. IEEE Trans. Magn. 2021, 57, 1–6. [Google Scholar] [CrossRef]
- Zhang, Z.; Fan, X.; Xiong, D.; Sun, H.; Shang, X.; Man, B.; Zhang, C.; Li, S.; Su, R.; Sun, C.; et al. Process optimization and cryogenic evaluation of spin-orbit torque magnetic random access memory. In Proceedings of the 2024 IEEE International Memory Workshop (IMW), Seoul, Republic of Korea, 12–15 May 2024; IEEE: New York, NY, USA, 2024; pp. 1–4. [Google Scholar]
- Nguyen, M.H.; Ribeill, G.J.; Gustafsson, M.V.; Shi, S.; Aradhya, S.V.; Wagner, A.P.; Ranzani, L.M.; Zhu, L.; Baghdadi, R.; Butters, B.; et al. Cryogenic memory architecture integrating spin Hall effect based magnetic memory and superconductive cryotron devices. Sci. Rep. 2020, 10, 248. [Google Scholar] [CrossRef] [PubMed]
- Cai, H.; Bian, Z.; Hou, Y.; Zhou, Y.; Guo, Y.; Tian, X.; Liu, B.; Si, X.; Wang, Z.; Yang, J.; et al. 33.4 A 28 nm 2 Mb STT-MRAM computing-in-memory macro with a refined bit-cell and 22.4-41.5 TOPS/W for AI inference. In Proceedings of the 2023 IEEE International Solid-State Circuits Conference (ISSCC), San Francisco, CA, USA, 19–23 February 2023; IEEE: New York, NY, USA, 2023; pp. 500–502. [Google Scholar]
- Kou, X.; Schmalhorst, J.; Thomas, A.; Reiss, G. Temperature dependence of the resistance of magnetic tunnel junctions with MgO barrier. Appl. Phys. Lett. 2006, 88, 212115. [Google Scholar] [CrossRef]
- Zhao, W.; Prenat, G. Spintronics-Based Computing; Springer: Berlin/Heidelberg, Germany, 2015. [Google Scholar]
- Zhang, L.; Cheng, Y.; Kang, W.; Torres, L.; Zhang, Y.; Todri-Sanial, A.; Zhao, W. Addressing the Thermal Issues of STT-MRAM From Compact Modeling to Design Techniques. IEEE Trans. Nanotechnol. 2018, 17, 345–352. [Google Scholar] [CrossRef]
- Zanotti, T.; Zambelli, C.; Puglisi, F.M.; Milo, V.; Pérez, E.; Mahadevaiah, M.K.; Ossorio, O.G.; Wenger, C.; Pavan, P.; Olivo, P.; et al. Reliability of logic-in-memory circuits in resistive memory arrays. IEEE Trans. Electron. Devices 2020, 67, 4611–4615. [Google Scholar] [CrossRef]
- Asgari, S.; Reshadinezhad, M.R.; Fatemieh, S.E. Energy-efficient and fast IMPLY-based approximate full adder applying NAND gates for image processing. Comput. Electr. Eng. 2024, 113, 109053. [Google Scholar] [CrossRef]
- Haron, A.; Mahdzair, F.; Luqman, A.; Osman, N.; Al Junid, S.A.M. Implementation of digital equality comparator circuit on memristive memory crossbar array using material implication logic. Proc. IOP Conf. Ser. Mater. Sci. Eng. 2018, 341, 012025. [Google Scholar] [CrossRef]
- Zanotti, T.; Puglisi, F.M.; Pavan, P. Reliability and performance analysis of logic-in-memory based binarized neural networks. IEEE Trans. Device Mater. Reliab. 2021, 21, 183–191. [Google Scholar] [CrossRef]








| Parameter | Description | DMTJ-300 K | DMTJ-77 K | SMTJ-300 K | SMTJ-77 K |
|---|---|---|---|---|---|
| d | Diameter | 30 nm | 30 nm | ||
| FL thickness | 1.2 nm | 1.2 nm | |||
| Top barrier thickness | 0.85 nm | 0.85 nm | |||
| Botton barrier thickness | 0.4 nm | ||||
| P | Spin polarization factor | 660 m | 730 m | 660 m | 730 m |
| Gilbert damping factor | 30 m | 30 m | |||
| TMR(0) | Tunnel magnetoresistance | ∼130% | ∼200% | ∼140% | ∼220% |
| LRS | Low resistance state | 15.5 kΩ | 15.6 kΩ | 14.2 kΩ | 14.4 kΩ |
| HRS | High resistance state | 37 kΩ | 47 kΩ | 35 kΩ | 46 kΩ |
| Critical switching current parallel | 8.6 μA | 10.4 μA | 30.7 μA | 44 μA | |
| Critical switching current antiparallel | 8.6 μA | 10.4 μA | 12.1 μA | 13.6 μA | |
| Thermal stability factor | 40 | 175 | 40 | 216 | |
| 2T1SMTJ | 1T1DMTJ | |||
|---|---|---|---|---|
| T | (ns) | (fJ) | (ns) | (fJ) |
| 300 | 8.70 | 301 | 1.56 | 67 |
| 77 | 13 | 458 | 3.28 | 106 |
| SIMPLY | sFALSE | |||||||
|---|---|---|---|---|---|---|---|---|
| SMTJ | DMTJ | SMTJ | DMTJ | |||||
| Temperature (K) | 300 | 77 | 300 | 77 | 300 | 77 | 300 | 77 |
| Vbias (V) | 1 | 1 | 1 | 1 | 0.85 | 0.85 | 0.85 | 0.85 |
| RM (mV) | 51 | 127 | 53 | 122 | 86 | 186 | 90 | 182 |
| (mV) | 36 | 94.8 | 36.6 | 89.5 | 63.8 | 146.3 | 65.9 | 141.7 |
| (fJ) | 86.4 | 210.1 | 35.3 | 77.2 | 44.1 | 61.9 | 16.7 | 37.1 |
| (fJ) | 301 | 458 | 67 | 106 | 301 | 458 | 67 | 106 |
Disclaimer/Publisher’s Note: The statements, opinions and data contained in all publications are solely those of the individual author(s) and contributor(s) and not of MDPI and/or the editor(s). MDPI and/or the editor(s) disclaim responsibility for any injury to people or property resulting from any ideas, methods, instructions or products referred to in the content. |
© 2024 by the authors. Licensee MDPI, Basel, Switzerland. This article is an open access article distributed under the terms and conditions of the Creative Commons Attribution (CC BY) license (https://creativecommons.org/licenses/by/4.0/).
Share and Cite
Moposita, T.; Garzón, E.; Teman, A.; Lanuzza, M. Cryo-SIMPLY: A Reliable STT-MRAM-Based Smart Material Implication Architecture for In-Memory Computing. Nanomaterials 2025, 15, 9. https://doi.org/10.3390/nano15010009
Moposita T, Garzón E, Teman A, Lanuzza M. Cryo-SIMPLY: A Reliable STT-MRAM-Based Smart Material Implication Architecture for In-Memory Computing. Nanomaterials. 2025; 15(1):9. https://doi.org/10.3390/nano15010009
Chicago/Turabian StyleMoposita, Tatiana, Esteban Garzón, Adam Teman, and Marco Lanuzza. 2025. "Cryo-SIMPLY: A Reliable STT-MRAM-Based Smart Material Implication Architecture for In-Memory Computing" Nanomaterials 15, no. 1: 9. https://doi.org/10.3390/nano15010009
APA StyleMoposita, T., Garzón, E., Teman, A., & Lanuzza, M. (2025). Cryo-SIMPLY: A Reliable STT-MRAM-Based Smart Material Implication Architecture for In-Memory Computing. Nanomaterials, 15(1), 9. https://doi.org/10.3390/nano15010009

