A Study on the Field Emission Characteristics of High-Quality Wrinkled Multilayer Graphene Cathodes
Abstract
1. Introduction
2. Materials and Methods
2.1. Preparation of MLG Powder
2.2. Preparation of MLG Cathode
2.2.1. Cathode Preparation Using the Spin-Coating Method
2.2.2. Cathode Preparation Using the Screen-Printed Method
2.3. Field Emission Measurement Method
2.4. Materials Characterization Methods
3. Results and Discussion
3.1. MLG Characterization Results
3.2. Field Emission Performance
3.2.1. Field Emission Performance of Spin-Coating Cathodes
3.2.2. Field Emission Performance of Screen-Printed Cathodes
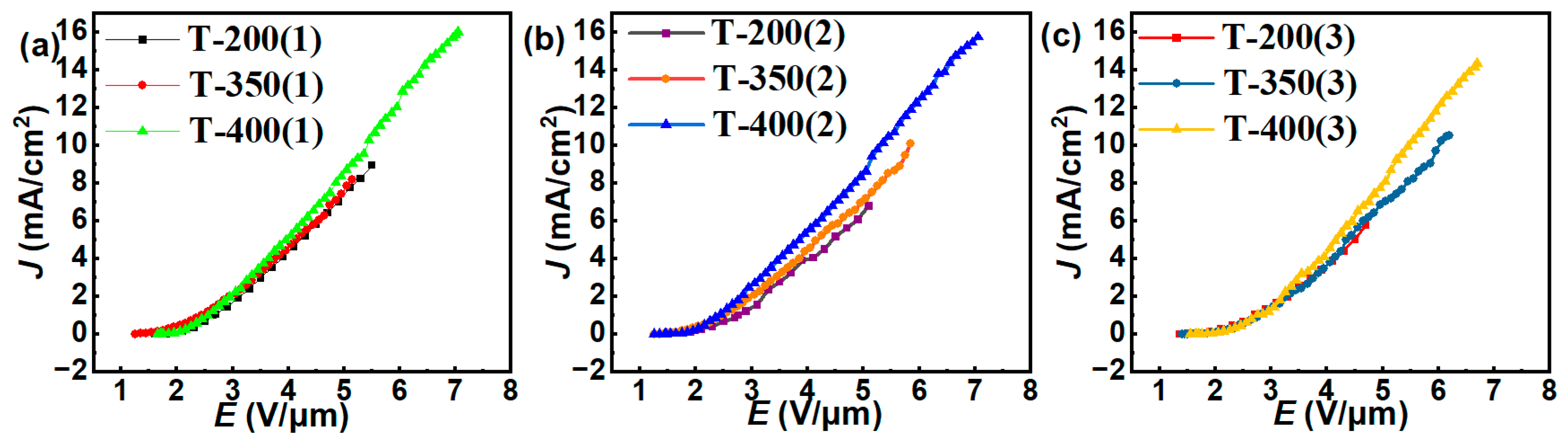
3.2.3. Field Emission Performance of Screen-Printed Cathodes with Silver Buffer Layer
4. Conclusions
Author Contributions
Funding
Data Availability Statement
Conflicts of Interest
References
- Fowler, R.H.; Nordheim, L. Electron emission in intense electric fields. Proc. Math. Phys. Eng. Sci. 1928, 119, 173–181. [Google Scholar]
- Ding, J.; Wei, Y.; Liu, W.; Li, Y.; Wu, Q.; Zhou, J. Highly efficient and thermally stable narrow-band cyan-emitting aluminum oxynitride phosphor for WLEDs and FEDs. Chem. Eng. J. 2021, 403, 126382. [Google Scholar] [CrossRef]
- Wu, Q.; Xie, Y.; She, F.; Zhao, Q.; Ding, J.; Zhou, J. CsBaB3O6: Eu3+ red-emitting phosphors for white LED and FED: Crystal structure, electronic structure and luminescent properties. J. Rare Earths 2021, 39, 1040–1048. [Google Scholar] [CrossRef]
- Lee, Y.D.; Cho, W.-S.; Moon, S.-I.; Lee, Y.-H.; Kim, J.K.; Nahm, S.; Ju, B.-K. Gas sensing properties of printed multiwalled carbon nanotubes using the field emission effect. Chem. Phys. Lett. 2006, 433, 105–109. [Google Scholar] [CrossRef]
- Modi, A.; Koratkar, N.; Lass, E.; Wei, B.; Ajayan, P.M. Miniaturized gas ionization sensors using carbon nanotubes. Nature 2003, 424, 171–174. [Google Scholar] [CrossRef] [PubMed]
- Chu, X.; Xun, T.; Wang, L.; Yang, H.; Liu, J.; He, J.; Zhang, J. Wide-range frequency-agile microwave generation up to 10 GHz based on vanadium-compensated 4H-SiC photoconductive semiconductor switch. IEEE Electron Device Lett. 2022, 43, 1013–1016. [Google Scholar] [CrossRef]
- Jensen, K.L. Field emitter arrays for plasma and microwave source applications. Phys. Plasmas 1999, 6, 2241–2253. [Google Scholar] [CrossRef]
- Graves, W.S.; Kaertner, F.X.; Moncton, D.E.; Piot, P. Intense superradiant x rays from a compact source using a nanocathode array and emittance exchange. Phys. Rev. Lett. 2012, 108, 263904. [Google Scholar] [CrossRef] [PubMed]
- Neto, A.C.; Guinea, F.; Peres, N.M.; Novoselov, K.S.; Geim, A.K. The electronic properties of graphene. Rev. Mod. Phys. 2009, 81, 109. [Google Scholar] [CrossRef]
- Yan, Z.; Nika, D.L.; Balandin, A.A. Thermal properties of graphene and few-layer graphene: Applications in electronics. IET Circuits Devices Syst. 2015, 9, 4–12. [Google Scholar] [CrossRef]
- Eda, G.; Emrah Unalan, H.; Rupesinghe, N.; Amaratunga, G.A.; Chhowalla, M. Field emission from graphene based composite thin films. Appl. Phys. Lett. 2008, 93, 233502. [Google Scholar] [CrossRef]
- Qian, M.; Feng, T.; Ding, H.; Lin, L.; Li, H.; Chen, Y.; Sun, Z. Electron field emission from screen-printed graphene films. Nanotechnology 2009, 20, 425702. [Google Scholar] [CrossRef] [PubMed]
- Pei, S.; Cheng, H.-M. The reduction of graphene oxide. Carbon 2012, 50, 3210–3228. [Google Scholar] [CrossRef]
- Chen, Z.; Qi, Y.; Chen, X.; Zhang, Y.; Liu, Z. Direct CVD growth of graphene on traditional glass: Methods and mechanisms. Adv. Mater. 2019, 31, 1803639. [Google Scholar] [CrossRef] [PubMed]
- Khan, A.; Islam, S.M.; Ahmed, S.; Kumar, R.R.; Habib, M.R.; Huang, K.; Hu, M.; Yu, X.; Yang, D. Direct CVD growth of graphene on technologically important dielectric and semiconducting substrates. Adv. Sci. 2018, 5, 1800050. [Google Scholar] [CrossRef] [PubMed]
- Zhang, X.; Yan, C.; Zeng, C.; Sun, T.; Xing, Z.; Shi, W.; Wang, Y.; Pang, C.; Zhang, B. Epitaxial synthesis of graphene on 4H-SiC by microwave plasma chemical vapor deposition. Mater. Res. Express 2020, 7, 116410. [Google Scholar] [CrossRef]
- Zhang, Y.; Du, J.; Tang, S.; Liu, P.; Deng, S.; Chen, J.; Xu, N. Optimize the field emission character of a vertical few-layer graphene sheet by manipulating the morphology. Nanotechnology 2011, 23, 015202. [Google Scholar] [CrossRef] [PubMed]
- Jiang, L.; Yang, T.; Liu, F.; Dong, J.; Yao, Z.; Shen, C.; Deng, S.; Xu, N.; Liu, Y.; Gao, H.-J. Controlled synthesis of large-scale, uniform, vertically standing graphene for high-performance field emitters. Adv. Mater 2013, 25, 250–255. [Google Scholar] [CrossRef] [PubMed]
- Qiao, C.; Che, J.; Wang, J.; Wang, X.; Qiu, S.; Wu, W.; Chen, Y.; Zu, X.; Tang, Y. Cost effective production of high quality multilayer graphene in molten Sn bubble column by using CH4 as carbon source. J. Alloys Compd. 2023, 930, 167495. [Google Scholar] [CrossRef]
- Ferrari, A.C.; Meyer, J.C.; Scardaci, V.; Casiraghi, C.; Lazzeri, M.; Mauri, F.; Piscanec, S.; Jiang, D.; Novoselov, K.S.; Roth, S. Raman spectrum of graphene and graphene layers. Phys. Rev. Lett. 2006, 97, 187401. [Google Scholar] [CrossRef]
- Htwe, Y.; Chow, W.; Suda, Y.; Thant, A.; Mariatti, M. Effect of electrolytes and sonication times on the formation of graphene using an electrochemical exfoliation process. Appl. Surf. Sci. 2019, 469, 951–961. [Google Scholar] [CrossRef]
- Hamra, A.; Lim, H.; Chee, W.; Huang, N. Electro-exfoliating graphene from graphite for direct fabrication of supercapacitor. Appl. Surf. Sci. 2016, 360, 213–223. [Google Scholar] [CrossRef]
- Romero, A.; Lavin-Lopez, M.; Sanchez-Silva, L.; Valverde, J.; Paton-Carrero, A. Comparative study of different scalable routes to synthesize graphene oxide and reduced graphene oxide. Mater. Chem. Phys. 2018, 203, 284–292. [Google Scholar] [CrossRef]
- Fu, J.; Wei, C.; Wang, W.; Wei, J.; Lv, J. Studies of structure and properties of graphene oxide prepared by ball milling. Mater. Res. Innov. 2015, 19, S1-277–S1-280. [Google Scholar] [CrossRef]
- Pham, V.H.; Cuong, T.V.; Hur, S.H.; Oh, E.; Kim, E.J.; Shin, E.W.; Chung, J.S. Chemical functionalization of graphene sheets by solvothermal reduction of a graphene oxide suspension in N-methyl-2-pyrrolidone. J. Mater. Chem. 2011, 21, 3371–3377. [Google Scholar] [CrossRef]
- Sengupta, I.; Chakraborty, S.; Talukdar, M.; Pal, S.K.; Chakraborty, S. Thermal reduction of graphene oxide: How temperature influences purity. J. Mater. Res. 2018, 33, 4113–4122. [Google Scholar] [CrossRef]
- Wang, Y.; Yang, Y.; Zhao, Z.; Zhang, C.; Wu, Y. Local electron field emission study of two-dimensional carbon. Appl. Phys. Lett. 2013, 103, 033115. [Google Scholar] [CrossRef]
- Gomer, R. Field emission and field ionization in condensed phases. Acc. Chem. Res. 1972, 5, 41–48. [Google Scholar] [CrossRef]
- Chen, L.; Mi, Y.; Ni, H.; Ji, Z.; Xi, J.; Pi, X.; Zhao, H. Enhanced field emission from carbon nanotubes by electroplating of silver nanoparticles. J. Vac. Sci. Technol. B 2011, 29, 041003. [Google Scholar] [CrossRef]
- Chen, L.; Yu, H.; Zhong, J.; Song, L.; Wu, J.; Su, W. Graphene field emitters: A review of fabrication, characterization and properties. Mater. Sci. Eng. B 2017, 220, 44–58. [Google Scholar] [CrossRef]
- Jiang, R.; Liu, J.; Yang, K.; Zhao, J.; Zeng, B. Enhanced field emission of single-wall carbon nanotube cathode prepared by screen printing with a silver paste buffer layer. Nanomaterials 2022, 12, 165. [Google Scholar] [CrossRef]
- Wu, C.; Li, F.; Zhang, Y.; Guo, T. Field emission from vertical graphene sheets formed by screen-printing technique. Vacuum 2013, 94, 48–52. [Google Scholar] [CrossRef]
- Wu, Z.S.; Pei, S.; Ren, W.; Tang, D.; Gao, L.; Liu, B.; Li, F.; Liu, C.; Cheng, H.M. Field emission of single-layer graphene films prepared by electrophoretic deposition. Adv. Mater. 2009, 21, 1756–1760. [Google Scholar] [CrossRef]
- Sankaran, K.J.; Ficek, M.; Kunuku, S.; Panda, K.; Yeh, C.-J.; Park, J.Y.; Sawczak, M.; Michałowski, P.P.; Leou, K.-C.; Bogdanowicz, R. Self-organized multi-layered graphene–boron-doped diamond hybrid nanowalls for high-performance electron emission devices. Nanoscale 2018, 10, 1345–1355. [Google Scholar] [CrossRef] [PubMed]
- Deng, J.-H.; Wu, S.-L.; Yang, Y.-M.; Zheng, R.-T.; Cheng, G.-A. Fabricating vertically aligned ultrathin graphene nanosheets without any catalyst using rf sputtering deposition. Nucl. Instrum. Methods Phys. Res. Sect. B 2013, 307, 177–180. [Google Scholar] [CrossRef]
- Ji, Q.; Wang, B.; Zheng, Y.; Zeng, F.; Lu, B. Field emission performance of bulk graphene. Diamond Relat. Mater. 2022, 124, 108940. [Google Scholar] [CrossRef]











| Number of Cycles | Eto (V/μm) | Eth (V/μm) | Jmax (mA/cm2) |
|---|---|---|---|
| 1 | 1.63 | 2.68 | 7.8 |
| 2 | 1.53 | 3.18 | 7.9 |
| 3 | 2.03 | 3.38 | 6.7 |
| 4 | 2.23 | 3.58 | 7.4 |
| Number of Cycles | Eto (V/μm) | Eth (V/μm) | Jmax (mA/cm2) |
|---|---|---|---|
| 1 | 1.85 | 2.7 | 9.057 |
| 2 | 2.05 | 2.9 | 8.543 |
| 3 | 2.05 | 3 | 8.516 |
| 4 | 2.15 | 3.1 | 8.409 |
| Samples | Annealing Temperature for Silver Buffer | Eto (V/μm) | Eth (V/μm) | ||||
|---|---|---|---|---|---|---|---|
| 1st | 2nd | 3rd | 1st | 2nd | 3rd | ||
| T-200 | 200 °C | 1.65 | 1.5 | 1.45 | 2.65 | 2.75 | 2.7 |
| T-350 | 350 °C | 1.25 | 1.35 | 1.5 | 2.45 | 2.45 | 2.65 |
| T-400 | 400 °C | 1.72 | 1.47 | 1.7 | 2.55 | 2.45 | 2.75 |
| Samples | Eto (MV/m) | Eth (MV/m) | β | Imax (mA) | Jmax (mA/cm2) | Ref. |
|---|---|---|---|---|---|---|
| Screen printing | 1.5 (1 μA/cm2) | 3.5 (1 mA/cm2) | 4539 | 2.6 | 2.6 | [12] |
| Screen printing | 1.56 (10 μA/cm2) | 5.12 (10 mA/cm2) | 3892 | - | 39.8 | [32] |
| Electrophoretic deposition | 2.3 (10 μA/cm2) | 5.2 (10 mA/cm2) | 3700 | 0.18 | 22.5 | [33] |
| Microwave-plasma-enhanced CVD | 2.4 (10 μA/cm2) | 3.5 (1 mA/cm2) | 4500 | 0.13 | 4.2 | [34] |
| Microwave plasma CVD | 1.3 (10 μA/cm2) | 3 (1 mA/cm2) | 11,000 | 0.83 | 1.3 | [17] |
| RF sputtering | 2.522 (10 μA/cm2) | 3.401 (1 mA/cm2) | 1781 | - | 4 | [35] |
| Cold pressing (G-280,30st) | 1.48 (100 μA/cm2) | 1.9 (10 mA/cm2) | 4820 | 4.12 | 515.46 | [36] |
| Spin coating | 4 (10−2 μA/cm2) | - | 1200 | 1 | [11] | |
| This work | 1.5 (10 μA/cm2) | 2.65 (1 mA/cm2) 6 (10 mA/cm2) | 8154 | 10.5 | 10.5 |
Disclaimer/Publisher’s Note: The statements, opinions and data contained in all publications are solely those of the individual author(s) and contributor(s) and not of MDPI and/or the editor(s). MDPI and/or the editor(s) disclaim responsibility for any injury to people or property resulting from any ideas, methods, instructions or products referred to in the content. |
© 2024 by the authors. Licensee MDPI, Basel, Switzerland. This article is an open access article distributed under the terms and conditions of the Creative Commons Attribution (CC BY) license (https://creativecommons.org/licenses/by/4.0/).
Share and Cite
Lv, W.; Wang, L.; Lu, Y.; Wang, D.; Wang, H.; Hao, Y.; Zhang, Y.; Sun, Z.; Tang, Y. A Study on the Field Emission Characteristics of High-Quality Wrinkled Multilayer Graphene Cathodes. Nanomaterials 2024, 14, 613. https://doi.org/10.3390/nano14070613
Lv W, Wang L, Lu Y, Wang D, Wang H, Hao Y, Zhang Y, Sun Z, Tang Y. A Study on the Field Emission Characteristics of High-Quality Wrinkled Multilayer Graphene Cathodes. Nanomaterials. 2024; 14(7):613. https://doi.org/10.3390/nano14070613
Chicago/Turabian StyleLv, Wenmei, Lian Wang, Yiwei Lu, Dong Wang, Hui Wang, Yuxin Hao, Yuanpeng Zhang, Zeqi Sun, and Yongliang Tang. 2024. "A Study on the Field Emission Characteristics of High-Quality Wrinkled Multilayer Graphene Cathodes" Nanomaterials 14, no. 7: 613. https://doi.org/10.3390/nano14070613
APA StyleLv, W., Wang, L., Lu, Y., Wang, D., Wang, H., Hao, Y., Zhang, Y., Sun, Z., & Tang, Y. (2024). A Study on the Field Emission Characteristics of High-Quality Wrinkled Multilayer Graphene Cathodes. Nanomaterials, 14(7), 613. https://doi.org/10.3390/nano14070613

