Presence of Induced Weak Ferromagnetism in Fe-Substituted YFexCr1−xO3 Crystalline Compounds
Abstract
1. Introduction
2. Materials and Methods
3. Results and Discussion
3.1. XRD and Rietveld Analysis
3.2. SEM Analysis
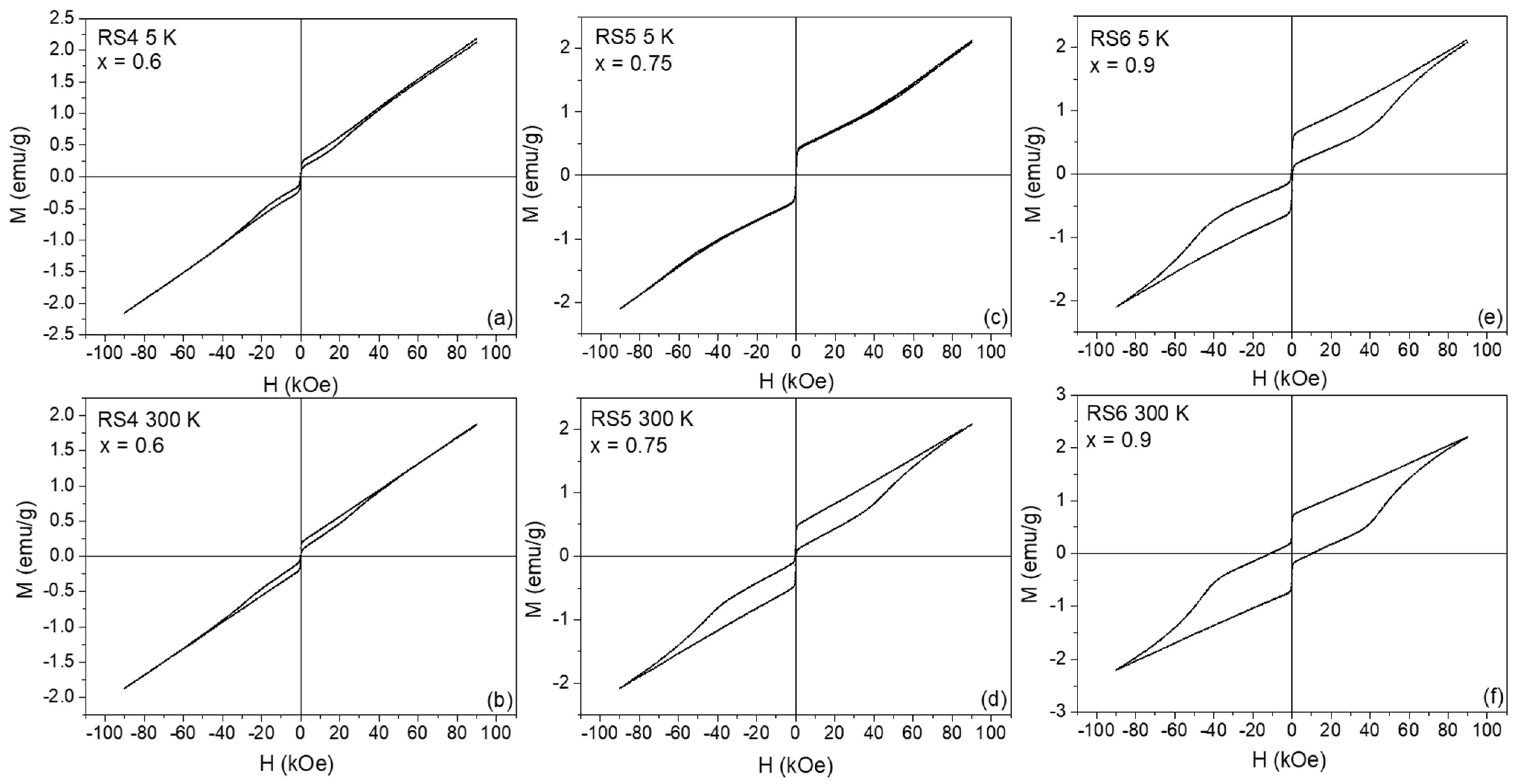
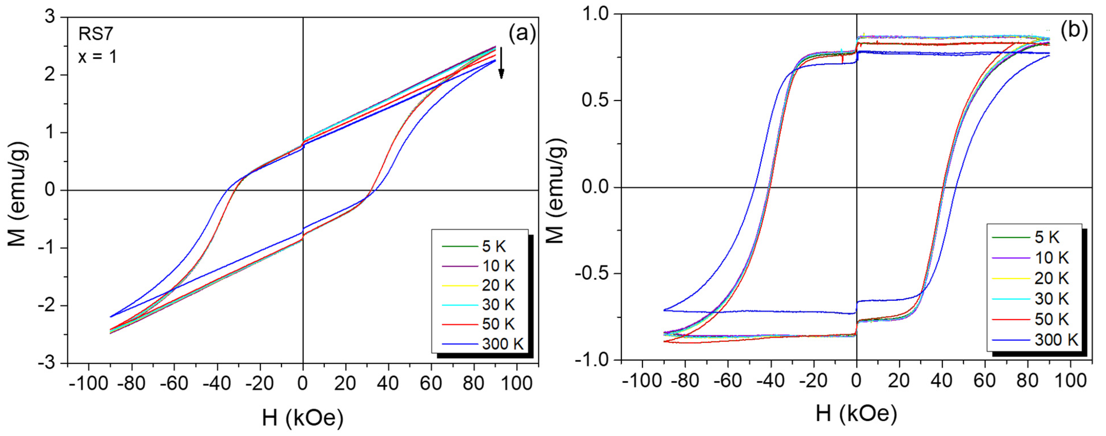
3.3. VSM Analysis
3.4. Mössbauer Analysis
3.4.1. Measurements at 300 K
3.4.2. Measurements at 77 K
4. Conclusions
Author Contributions
Funding
Data Availability Statement
Acknowledgments
Conflicts of Interest
References
- Neusser, S.; Grundler, D. Magnonics: Spin Waves on the Nanoscale. Adv. Mater. 2009, 21, 2927–2932. [Google Scholar] [CrossRef]
- Song, C.; You, Y.; Chen, X.; Zhou, X.; Wang, Y.; Pan, F. How to Manipulate Magnetic States of Antiferromagnets. Nanotechnology 2018, 29, 112001. [Google Scholar] [CrossRef]
- Wu, A.; Shen, H.; Xu, J.; Wang, Z.; Jiang, L.; Luo, L.; Yuan, S.; Cao, S.; Zhang, H. Crystal Growth and Magnetic Property of YFeO3 crystal. Bull. Mater. Sci. 2012, 35, 259–263. [Google Scholar] [CrossRef]
- Zhang, W.; Fang, C.; Yin, W.; Zeng, Y. One-Step Synthesis of Yttrium Orthoferrite Nanocrystals Via Sol-Gel Auto-Combustion and Their Structural and Magnetic Characteristics. Mater. Chem. Phys. 2013, 137, 877–883. [Google Scholar] [CrossRef]
- Popkov, V.I.; Almjasheva, O.V.; Semenova, A.S.; Kellerman, D.G.; Nevedomskiy, V.N.; Gusarov, V.V. Magnetic Properties of Yfeo3 Nanocrystals Obtained by Different Soft-Chemical Methods. J. Mater. Sci. Mater. Electron. 2017, 28, 7163–7170. [Google Scholar] [CrossRef]
- Treves, D. Magnetic Studies of Some Orthoferrites. Phys. Rev. 1962, 25, 1843–1853. [Google Scholar] [CrossRef]
- Mao, J.; Sui, Y.; Zhang, X.; Su, Y.; Wang, X.; Liu, Z.; Wang, Y.; Zhu, R.; Wang, Y.; Liu, W.; et al. Temperature- and Magnetic-Field-Induced Magnetization Reversal in Perovskite YFe0.5Cr0.5O3. Appl. Phys. Lett. 2011, 98, 192510. [Google Scholar] [CrossRef]
- Dasari, N.; Mandal, P.; Sundaresan, A.; Vidhyadhiraja, N.S. Weak Ferromagnetism and Magnetization Reversal in YFe1−xCrxO3. EPL 2012, 99, 17008. [Google Scholar] [CrossRef]
- Calder, S.; An, K.; Boehler, R.; Dela Cruz, C.R.; Frontzek, M.D.; Guthrie, M.; Haberl, B.; Huq, A.; Kimber, S.A.J.; Liu, J.; et al. A Suite-Level Review of the Neutron Powder Diffraction Instruments at Oak Ridge National Laboratory. Rev. Sci. Instrum. 2018, 89, 092701. [Google Scholar] [CrossRef] [PubMed]
- Canchanya-Huaman, Y.; Mayta-Armas, A.F.; Pomalaya-Velasco, J.; Bendezú-Roca, Y.; Guerra, J.A.; Ramos-Guivar, J.A. Strain and Grain Size Determination of CeO2 and TiO2 Nanoparticles: Comparing Integral Breadth Methods versus Rietveld, μ-Raman, and TEM. Nanomaterials 2021, 11, 2311. [Google Scholar] [CrossRef]
- Salazar-Rodriguez, R.; Aliaga-Guerra, D.B.; Taddei, K.M. X-Ray Diffraction, Mössbauer Spectroscopy, Neutron Diffraction, Optical Absorption and Ab-Initio Calculation of Magnetic Process in Orthorhombic YFexCr(1−x)O3 (0 ≤ x ≤ 1) Compounds. Hyperfine Interact. 2019, 240, 82. [Google Scholar] [CrossRef]
- Popa, N.C. The (hkl) Dependence of Diffraction-Line Broadening Caused by Strain and Size for all Laue Groups in Rietveld Refinement. J. Appl. Cryst. 1998, 31, 176–180. [Google Scholar] [CrossRef]
- Pecharsky, V.J.; Zavalij, P.Y. Fundamentals of Powder Diffraction and Structural Characterization of Materials, 2nd ed.; Springer Science Business Media, LLC: Berlin/Heidelberg, Germany, 2009; pp. 269–292. ISBN 978-0-387-09578-3. [Google Scholar]
- Shi, L.R.; Xia, Z.C.; Wei, M.; Jin, Z.; Shang, C.; Huang, J.W.; Chen, B.R.; Ouyang, Z.W.; Huang, S.; Xiao, G.L. Unusual Effects of Ho3+ Ion on Magnetic Properties of YFe0.5Cr0.5O3. Ceram. Int. 2015, 41, 13455–13460. [Google Scholar] [CrossRef]
- Tiwari, B.; Surendra, M.K.; Rao, M.S.R. HoCrO3 and YCrO3: A Comparative Study. J. Phys. Condens. Matter 2013, 25, 216004. [Google Scholar] [CrossRef]
- Shang, M.; Zhang, C.; Zhang, T.; Yuan, L.; Ge, L.; Yuan, H.; Feng, S. The Multiferroic Perovskite YFeO3. Appl. Phys. Lett. 2013, 102, 062903. [Google Scholar] [CrossRef]
- Mathur, S.; Veith, M.; Rapalaviciute, R.; Shen, H.; Goya, G.F.; Filho, W.L.M.; Berquo, T.S. Molecule Derived Synthesis of Nanocrystalline YFeO3 and Investigations on Its Weak Ferromagnetic Behavior. Chem. Mater. 2004, 16, 1906–1913. [Google Scholar] [CrossRef]
- Wu, L.; Yu, J.C.; Zhang, L.; Wang, X.; Li, S. Selective Self-Propagating Combustion Synthesis of Hexagonal and Orthorhombic Nanocrystalline Yttrium Iron Oxide. J. Solid State Chem. 2004, 177, 3666–3674. [Google Scholar] [CrossRef]
- Cristóbal, A.A.; Botta, P.M.; Bercoff, P.G.; Ramos, C.P. Hyperfine and Magnetic Properties of a YxLa1−xFeO3 series (0≤ x≤1). Mater. Res. Bull. 2015, 64, 347–354. [Google Scholar] [CrossRef]
- Shen, J.; Xu, J.; Wu, A.; Zhao, J.; Shi, M. Magnetic and thermal properties of perovskite YFeO3 single crystals. Mater. Sci. Eng. B 2009, 157, 77–80. [Google Scholar] [CrossRef]
- Jacobs, I.S.; Burne, H.F.; Levinson, L.M. Field-Induced Spin Reorientation in YFeO3 and YCrO3. J. Appl. Phys. 1971, 42, 1631. [Google Scholar] [CrossRef]
- Dahmani, A.; Taibi, M.; Nogues, M.; Aride, J.; Loudghiri, E.; Belayachi, A. Magnetic Properties of the Perovskite Compounds YFe1–xCrxO3 (0.5≤x≤1). Mater. Chem. Phys. 2003, 77, 912–917. [Google Scholar] [CrossRef]
- Nair, V.; Das, A.; Subramanian, V.; Santhosh, P.N. Magnetic Structure and Magnetodielectric Effect of YFe0.5Cr0.5O3. J. Appl. Phys. 2013, 113, 213907. [Google Scholar] [CrossRef]
- Zhou, J.S.; Alonso, J.A.; Pomjakushin, V.; Goodenough, J.B.; Ren, Y.; Yan, J.Q.; Cheng, J.G. Intrinsic Structural Distortion and Superexchange Interaction in the Orthorhombic Rare-Earth Perovskites RCrO3. Phys. Rev. B 2010, 81, 214115. [Google Scholar] [CrossRef]












| Sample | Y (% wt) ± 2 | Cr (% wt) ± 2 | Fe (% wt) ± 1 | O (% wt) ± 1 |
|---|---|---|---|---|
| RS1 | 52 | 31 | - | 17 |
| RS2 | 51 | 25 | 9 | 15 |
| RS3 | 47 | 17 | 23 | 14 |
| RS4 | 51 | 14 | 20 | 15 |
| RS5 | 51 | 9 | 25 | 16 |
| RS6 | 51 | 4 | 30 | 15 |
| RS7 | 51 | - | 33 | 16 |
| x | T (K) | Mr (emu/g) ± 0.05 | HC (kOe) ± 0.5 | σSat (emu/g) ± 0.05 | Susc. (emu/g × Oe) ± 0.01 |
|---|---|---|---|---|---|
| 1.00 | 300 | 0.75 | 46.7 | 0.79 | 0.02 |
| 1.00 | 5 | 0.84 | 40.9 | 0.87 | 0.02 |
| 0.90 | 300 | 0.64 | 43.2 | 0.77 | 0.02 |
| 0.90 | 5 | 0.27 | 0.3 | 0.61 | 0.02 |
| 0.75 | 300 | 0.18 | 0.3 | 0.55 | 0.02 |
| 0.75 | 5 | 0.02 | 0.02 (5) | 0.41 | 0.02 |
| 0.60 | 300 | 0.05 | 0.1 | 0.20 | 0.02 |
| 0.60 | 5 | 0.05 | 0.1 | 0.23 | 0.02 |
| 0.50 | 300 | 0 | 0 | 0 | 0.02 |
| 0.50 | 5 | 0 | 0 | 0 | 0.02 |
| 0.25 | 300 | 0 | 0 | 0 | 0.02 |
| 0.25 | 5 | 0 | 0 | 0 | 0.03 |
| 0.00 | 300 | 0 | 0 | 0 | 0.02 |
| 0.00 | 5 | 0.80 | 18.9 | 0.89 | 0.03 |
| x | T (K) | IS (mm/s) ± 0.01 | 2ε or Δ (mm/s) ± 0.01 | Bhf (T) ± 0.5 | Absorption Area Ratio % ± 2 |
|---|---|---|---|---|---|
| 1 | 300 | 0.37 | 0.00 | 50.1 | 100 |
| 77 | 0.48 | 0.01 | 55.2 | 100 | |
| 0.75 | 300 | <0.38> | <0.04> | <40.7> | 100 |
| 77 | 0.47 | 0.03 | 53.8 | 49 | |
| 0.47 | 0.05 | 52.6 | 51 | ||
| <0.47> | <0.04> | <53.2> | |||
| 0.50 | 300 | 0.39 | 0.28 | 62 | |
| 0.40 | −0.24 | 50.1 | 22 | ||
| 0.46 | −0.12 | 48.5 | 8 | ||
| 0.35 | 0.15 | 13.3 | 8 | ||
| 77 | 0.48 | 0.02 | 51.0 | 62 | |
| 0.48 | −0.10 | 52.7 | 38 | ||
| <0.48> | <−0.02> | <51.7> | |||
| 0.25 | 300 | 0.36 | 0.28 | 100 | |
| 77 | 0.47 | 0.08 | 47.9 | 74 | |
| 0.47 | 0.08 | 45.0 | 23 | ||
| 0.47 | 0.79 | 3 |
Publisher’s Note: MDPI stays neutral with regard to jurisdictional claims in published maps and institutional affiliations. |
© 2022 by the authors. Licensee MDPI, Basel, Switzerland. This article is an open access article distributed under the terms and conditions of the Creative Commons Attribution (CC BY) license (https://creativecommons.org/licenses/by/4.0/).
Share and Cite
Salazar-Rodriguez, R.; Aliaga Guerra, D.; Greneche, J.-M.; Taddei, K.M.; Checca-Huaman, N.-R.; Passamani, E.C.; Ramos-Guivar, J.A. Presence of Induced Weak Ferromagnetism in Fe-Substituted YFexCr1−xO3 Crystalline Compounds. Nanomaterials 2022, 12, 3516. https://doi.org/10.3390/nano12193516
Salazar-Rodriguez R, Aliaga Guerra D, Greneche J-M, Taddei KM, Checca-Huaman N-R, Passamani EC, Ramos-Guivar JA. Presence of Induced Weak Ferromagnetism in Fe-Substituted YFexCr1−xO3 Crystalline Compounds. Nanomaterials. 2022; 12(19):3516. https://doi.org/10.3390/nano12193516
Chicago/Turabian StyleSalazar-Rodriguez, Roberto, Domingo Aliaga Guerra, Jean-Marc Greneche, Keith M. Taddei, Noemi-Raquel Checca-Huaman, Edson C. Passamani, and Juan A. Ramos-Guivar. 2022. "Presence of Induced Weak Ferromagnetism in Fe-Substituted YFexCr1−xO3 Crystalline Compounds" Nanomaterials 12, no. 19: 3516. https://doi.org/10.3390/nano12193516
APA StyleSalazar-Rodriguez, R., Aliaga Guerra, D., Greneche, J.-M., Taddei, K. M., Checca-Huaman, N.-R., Passamani, E. C., & Ramos-Guivar, J. A. (2022). Presence of Induced Weak Ferromagnetism in Fe-Substituted YFexCr1−xO3 Crystalline Compounds. Nanomaterials, 12(19), 3516. https://doi.org/10.3390/nano12193516

