Electric Transport in Few-Layer ReSe2 Transistors Modulated by Air Pressure and Light
Abstract
:1. Introduction
2. Materials and Methods
3. Results and Discussion
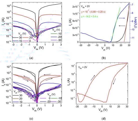
3.1. Transistor Characterization
3.2. Pressure Behavior
3.3. Photoresponse
4. Conclusions
Author Contributions
Funding
Institutional Review Board Statement
Informed Consent Statement
Data Availability Statement
Conflicts of Interest
References
- Friemelt, K.; Lux-Steiner, M.C.; Bucher, E. Optical Properties of the Layered Transition-Metal-Dichalcogenide ReS2: Anisotropy in the van Der Waals Plane. J. Appl. Phys. 1993, 74, 5266–5268. [Google Scholar] [CrossRef]
- Ho, C.H.; Huang, C.E. Optical Property of the Near Band-Edge Transitions in Rhenium Disulfide and Diselenide. J. Alloys Compd. 2004, 383, 74–79. [Google Scholar] [CrossRef]
- Dumcenco, D.O.; Huang, W.Y.; Huang, Y.S.; Tiong, K.K. Anisotropic Optical Characteristics of Au-Doped Rhenium Diselenide Single Crystals. J. Alloys Compd. 2009, 480, 104–106. [Google Scholar] [CrossRef]
- Di Bartolomeo, A. Emerging 2D Materials and Their Van Der Waals Heterostructures. Nanomaterials 2020, 10, 579. [Google Scholar] [CrossRef] [PubMed] [Green Version]
- Cui, F.; Li, X.; Feng, Q.; Yin, J.; Zhou, L.; Liu, D.; Liu, K.; He, X.; Liang, X.; Liu, S.; et al. Epitaxial Growth of Large-Area and Highly Crystalline Anisotropic ReSe2 Atomic Layer. Nano Res. 2017, 10, 2732–2742. [Google Scholar] [CrossRef] [Green Version]
- Ho, C.H.; Huang, Y.S.; Tiong, K.K. In-Plane Anisotropy of the Optical and Electrical Properties of ReS2 and ReSe2 Layered Crystals. J. Alloy. Compd. 2001, 317, 222–226. [Google Scholar] [CrossRef]
- Zhang, E.; Wang, P.; Li, Z.; Wang, H.; Song, C.; Huang, C.; Chen, Z.-G.; Yang, L.; Zhang, K.; Lu, S.; et al. Tunable Ambipolar Polarization-Sensitive Photodetectors Based on High-Anisotropy ReSe2 Nanosheets. ACS Nano 2016, 10, 8067–8077. [Google Scholar] [CrossRef]
- Wolverson, D.; Crampin, S.; Kazemi, A.S.; Ilie, A.; Bending, S.J. Raman Spectra of Monolayer, Few-Layer, and Bulk ReSe2: An Anisotropic Layered Semiconductor. ACS Nano 2014, 8, 11154–11164. [Google Scholar] [CrossRef] [Green Version]
- Hart, L.S.; Webb, J.L.; Dale, S.; Bending, S.J.; Mucha-Kruczynski, M.; Wolverson, D.; Chen, C.; Avila, J.; Asensio, M.C. Electronic Bandstructure and van Der Waals Coupling of ReSe2 Revealed by High-Resolution Angle-Resolved Photoemission Spectroscopy. Sci. Rep. 2017, 7, 5145. [Google Scholar] [CrossRef] [Green Version]
- Pradhan, N.R.; Garcia, C.; Isenberg, B.; Rhodes, D.; Feng, S.; Memaran, S.; Xin, Y.; McCreary, A.; Walker, A.R.H.; Raeliarijaona, A.; et al. Phase Modulators Based on High Mobility Ambipolar ReSe2 Field-Effect Transistors. Sci. Rep. 2018, 8, 12745. [Google Scholar] [CrossRef]
- Yang, S.; Tongay, S.; Li, Y.; Yue, Q.; Xia, J.-B.; Li, S.-S.; Li, J.; Wei, S.-H. Layer-Dependent Electrical and Optoelectronic Responses of ReSe2 Nanosheet Transistors. Nanoscale 2014, 6, 7226. [Google Scholar] [CrossRef] [PubMed]
- Yang, S.; Tongay, S.; Yue, Q.; Li, Y.; Li, B.; Lu, F. High-Performance Few-Layer Mo-Doped ReSe2 Nanosheet Photodetectors. Sci. Rep. 2015, 4, 5442. [Google Scholar] [CrossRef] [PubMed] [Green Version]
- Kim, J.; Heo, K.; Kang, D.; Shin, C.; Lee, S.; Yu, H.; Park, J. Rhenium Diselenide (ReSe2) Near-Infrared Photodetector: Performance Enhancement by Selective P-Doping Technique. Adv. Sci. 2019, 6, 1901255. [Google Scholar] [CrossRef] [PubMed] [Green Version]
- Lee, K.; Yang, S.; Sung, Y.; Chang, Y.; Lin, C.; Yang, F.; Li, M.; Watanabe, K.; Taniguchi, T.; Ho, C.; et al. Analog Circuit Applications Based on All-2D Ambipolar ReSe2 Field-Effect Transistors. Adv. Funct. Mater. 2019, 29, 1809011. [Google Scholar] [CrossRef]
- Corbet, C.M.; Sonde, S.S.; Tutuc, E.; Banerjee, S.K. Improved Contact Resistance in ReSe2 Thin Film Field-Effect Transistors. Appl. Phys. Lett. 2016, 108, 162104. [Google Scholar] [CrossRef]
- Khan, M.F.; Rehman, S.; Akhtar, I.; Aftab, S.; Ajmal, H.M.S.; Khan, W.; Kim, D.; Eom, J. High Mobility ReSe2 Field Effect Transistors: Schottky-Barrier-Height-Dependent Photoresponsivity and Broadband Light Detection with Co Decoration. 2D Mater. 2019, 7, 015010. [Google Scholar] [CrossRef]
- Xing, L.; Yan, X.; Zheng, J.; Xu, G.; Lu, Z.; Liu, L.; Wang, J.; Wang, P.; Pan, X.; Jiao, L. Highly Crystalline ReSe2 Atomic Layers Synthesized by Chemical Vapor Transport. InfoMat 2019, 1, 552–558. [Google Scholar] [CrossRef] [Green Version]
- Tian, X.; Liu, Y. Van Der Waals Heterojunction ReSe2/WSe2 Polarization-Resolved Photodetector. J. Semicond. 2021, 42, 032001. [Google Scholar] [CrossRef]
- Oliva, R.; Laurien, M.; Dybala, F.; Kopaczek, J.; Qin, Y.; Tongay, S.; Rubel, O.; Kudrawiec, R. Pressure Dependence of Direct Optical Transitions in ReS2 and ReSe2. Npj 2D Mater. Appl. 2019, 3, 20. [Google Scholar] [CrossRef] [Green Version]
- Tongay, S.; Sahin, H.; Ko, C.; Luce, A.; Fan, W.; Liu, K.; Zhou, J.; Huang, Y.-S.; Ho, C.-H.; Yan, J.; et al. Monolayer Behavior in Bulk ReS2 Due to Electronic and Vibrational Decoupling. Nat. Commun. 2014, 5, 3252. [Google Scholar] [CrossRef] [Green Version]
- Di Bartolomeo, A.; Urban, F.; Passacantando, M.; McEvoy, N.; Peters, L.; Iemmo, L.; Luongo, G.; Romeo, F.; Giubileo, F. A WSe2 Vertical Field Emission Transistor. Nanoscale 2019, 11, 1538–1548. [Google Scholar] [CrossRef] [PubMed] [Green Version]
- Urban, F.; Martucciello, N.; Peters, L.; McEvoy, N.; Di Bartolomeo, A. Environmental Effects on the Electrical Characteristics of Back-Gated WSe2 Field-Effect Transistors. Nanomaterials 2018, 8, 901. [Google Scholar] [CrossRef] [PubMed] [Green Version]
- Grillo, A.; Di Bartolomeo, A. A Current–Voltage Model for Double Schottky Barrier Devices. Adv. Electron. Mater. 2021, 7, 2000979. [Google Scholar] [CrossRef]
- Di Bartolomeo, A.; Grillo, A.; Urban, F.; Iemmo, L.; Giubileo, F.; Luongo, G.; Amato, G.; Croin, L.; Sun, L.; Liang, S.-J.; et al. Asymmetric Schottky Contacts in Bilayer MoS2 Field Effect Transistors. Adv. Funct. Mater. 2018, 28, 1800657. [Google Scholar] [CrossRef] [Green Version]
- Ezhilmaran, B.; Patra, A.; Benny, S.; Sreelakshmi, M.R.; Akshay, V.V.; Bhat, S.V.; Rout, C.S. Recent Developments in the Photodetector Applications of Schottky Diodes Based on 2D Materials. J. Mater. Chem. C 2021, 9, 6122–6150. [Google Scholar] [CrossRef]
- Giubileo, F.; Di Bartolomeo, A. The Role of Contact Resistance in Graphene Field-Effect Devices. Prog. Surf. Sci. 2017, 92, 143–175. [Google Scholar] [CrossRef] [Green Version]
- Pelella, A.; Grillo, A.; Urban, F.; Giubileo, F.; Passacantando, M.; Pollmann, E.; Sleziona, S.; Schleberger, M.; Di Bartolomeo, A. Gate-Controlled Field Emission Current from MoS2 Nanosheets. Adv. Electron. Mater. 2021, 7, 2000838. [Google Scholar] [CrossRef]
- Di Bartolomeo, A.; Pelella, A.; Urban, F.; Grillo, A.; Iemmo, L.; Passacantando, M.; Liu, X.; Giubileo, F. Field Emission in Ultrathin PdSe2 Back-Gated Transistors. Adv. Electron. Mater. 2020, 6, 2000094. [Google Scholar] [CrossRef]
- Sun, J.; Passacantando, M.; Palummo, M.; Nardone, M.; Kaasbjerg, K.; Grillo, A.; Di Bartolomeo, A.; Caridad, J.M.; Camilli, L. Impact of Impurities on the Electrical Conduction of Anisotropic Two-Dimensional Materials. Phys. Rev. Appl. 2020, 13, 044063. [Google Scholar] [CrossRef]
- Di Bartolomeo, A.; Urban, F.; Pelella, A.; Grillo, A.; Iemmo, L.; Faella, E.; Giubileo, F. Electrical Transport in Two-Dimensional PdSe2 and Mos2 Nanosheets. In Proceedings of the 2020 IEEE 20th International Conference on Nanotechnology (IEEE-NANO), Montreal, QC, Canada, 28–31 July 2020; pp. 276–281. [Google Scholar]
- Kang, B.; Kim, Y.; Cho, J.H.; Lee, C. Ambipolar Transport Based on CVD-Synthesized ReSe2. 2D Mater. 2017, 4, 025014. [Google Scholar] [CrossRef]
- Urban, F.; Lupina, G.; Grillo, A.; Martucciello, N.; Di Bartolomeo, A. Contact Resistance and Mobility in Back-Gate Graphene Transistors. Nano Express 2020, 1, 010001. [Google Scholar] [CrossRef]
- Pelella, A.; Kharsah, O.; Grillo, A.; Urban, F.; Passacantando, M.; Giubileo, F.; Iemmo, L.; Sleziona, S.; Pollmann, E.; Madauß, L.; et al. Electron Irradiation of Metal Contacts in Monolayer MoS2 Field-Effect Transistors. ACS Appl. Mater. Interfaces 2020, 12, 40532–40540. [Google Scholar] [CrossRef] [PubMed]
- Di Bartolomeo, A.; Genovese, L.; Giubileo, F.; Iemmo, L.; Luongo, G.; Foller, T.; Schleberger, M. Hysteresis in the Transfer Characteristics of MoS2 Transistors. 2D Mater. 2017, 5, 015014. [Google Scholar] [CrossRef] [Green Version]
- Giubileo, F.; Iemmo, L.; Passacantando, M.; Urban, F.; Luongo, G.; Sun, L.; Amato, G.; Enrico, E.; Di Bartolomeo, A. Effect of Electron Irradiation on the Transport and Field Emission Properties of Few-Layer MoS2 Field-Effect Transistors. J. Phys. Chem. C 2019, 123, 1454–1461. [Google Scholar] [CrossRef] [Green Version]
- Sangwan, V.K.; Jariwala, D.; Kim, I.S.; Chen, K.-S.; Marks, T.J.; Lauhon, L.J.; Hersam, M.C. Gate-Tunable Memristive Phenomena Mediated by Grain Boundaries in Single-Layer MoS2. Nat. Nanotechnol. 2015, 10, 403–406. [Google Scholar] [CrossRef] [PubMed]
- Di Bartolomeo, A.; Pelella, A.; Liu, X.; Miao, F.; Passacantando, M.; Giubileo, F.; Grillo, A.; Iemmo, L.; Urban, F.; Liang, S. Pressure-Tunable Ambipolar Conduction and Hysteresis in Thin Palladium Diselenide Field Effect Transistors. Adv. Funct. Mater. 2019, 29, 1902483. [Google Scholar] [CrossRef]
- Urban, F.; Giubileo, F.; Grillo, A.; Iemmo, L.; Luongo, G.; Passacantando, M.; Foller, T.; Madauß, L.; Pollmann, E.; Geller, M.P.; et al. Gas Dependent Hysteresis in MoS2 Field Effect Transistors. 2D Mater. 2019, 6, 045049. [Google Scholar] [CrossRef]
- Lee, C.; Rathi, S.; Khan, M.A.; Lim, D.; Kim, Y.; Yun, S.J.; Youn, D.-H.; Watanabe, K.; Taniguchi, T.; Kim, G.-H. Comparison of Trapped Charges and Hysteresis Behavior in HBN Encapsulated Single MoS2 Flake Based Field Effect Transistors on SiO2 and HBN Substrates. Nanotechnology 2018, 29, 335202. [Google Scholar] [CrossRef]
- Knobloch, T.; Rzepa, G.; Illarionov, Y.Y.; Waltl, M.; Schanovsky, F.; Stampfer, B.; Furchi, M.M.; Mueller, T.; Grasser, T. A Physical Model for the Hysteresis in MoS2 Transistors. IEEE J. Electron Devices Soc. 2018, 6, 972–978. [Google Scholar] [CrossRef]
- Shu, J.; Wu, G.; Guo, Y.; Liu, B.; Wei, X.; Chen, Q. The Intrinsic Origin of Hysteresis in MoS2 Field Effect Transistors. Nanoscale 2016, 8, 3049–3056. [Google Scholar] [CrossRef]
- Silva, B.; Rodrigues, J.; Sompalle, B.; Liao, C.-D.; Nicoara, N.; Borme, J.; Cerqueira, F.; Claro, M.; Sadewasser, S.; Alpuim, P.; et al. Efficient ReSe2 Photodetectors with CVD Single-Crystal Graphene Contacts. Nanomaterials 2021, 11, 1650. [Google Scholar] [CrossRef] [PubMed]
- Han, Y.; Zheng, X.; Fu, M.; Pan, D.; Li, X.; Guo, Y.; Zhao, J.; Chen, Q. Negative Photoconductivity of InAs Nanowires. Phys. Chem. Chem. Phys. 2016, 18, 818–826. [Google Scholar] [CrossRef] [PubMed]
- Di Bartolomeo, A.; Urban, F.; Faella, E.; Grillo, A.; Pelella, A.; Giubileo, F.; Askari, M.B.; McEvoy, N.; Gity, F.; Hurley, P.K. PtSe2 Phototransistors with Negative Photoconductivity. J. Phys. Conf. Ser. 2021, 1866, 012001. [Google Scholar] [CrossRef]
- Urban, F.; Gity, F.; Hurley, P.K.; McEvoy, N.; Di Bartolomeo, A. Isotropic Conduction and Negative Photoconduction in Ultrathin PtSe2 Films. Appl. Phys. Lett. 2020, 117, 193102. [Google Scholar] [CrossRef]
- Grillo, A.; Faella, E.; Pelella, A.; Giubileo, F.; Ansari, L.; Gity, F.; Hurley, P.K.; McEvoy, N.; Di Bartolomeo, A. Coexistence of Negative and Positive Photoconductivity in Few-Layer PtSe2 Field-Effect Transistors. Adv. Funct. Mater. 2021, 31, 2105722. [Google Scholar] [CrossRef]
- Cui, B.; Xing, Y.; Han, J.; Lv, W.; Lv, W.; Lei, T.; Zhang, Y.; Ma, H.; Zeng, Z.; Zhang, B. Negative Photoconductivity in Low-Dimensional Materials. Chin. Phys. B 2021, 30, 028507. [Google Scholar] [CrossRef]





Publisher’s Note: MDPI stays neutral with regard to jurisdictional claims in published maps and institutional affiliations. |
© 2022 by the authors. Licensee MDPI, Basel, Switzerland. This article is an open access article distributed under the terms and conditions of the Creative Commons Attribution (CC BY) license (https://creativecommons.org/licenses/by/4.0/).
Share and Cite
Faella, E.; Intonti, K.; Viscardi, L.; Giubileo, F.; Kumar, A.; Lam, H.T.; Anastasiou, K.; Craciun, M.F.; Russo, S.; Di Bartolomeo, A. Electric Transport in Few-Layer ReSe2 Transistors Modulated by Air Pressure and Light. Nanomaterials 2022, 12, 1886. https://doi.org/10.3390/nano12111886
Faella E, Intonti K, Viscardi L, Giubileo F, Kumar A, Lam HT, Anastasiou K, Craciun MF, Russo S, Di Bartolomeo A. Electric Transport in Few-Layer ReSe2 Transistors Modulated by Air Pressure and Light. Nanomaterials. 2022; 12(11):1886. https://doi.org/10.3390/nano12111886
Chicago/Turabian StyleFaella, Enver, Kimberly Intonti, Loredana Viscardi, Filippo Giubileo, Arun Kumar, Hoi Tung Lam, Konstantinos Anastasiou, Monica F. Craciun, Saverio Russo, and Antonio Di Bartolomeo. 2022. "Electric Transport in Few-Layer ReSe2 Transistors Modulated by Air Pressure and Light" Nanomaterials 12, no. 11: 1886. https://doi.org/10.3390/nano12111886
APA StyleFaella, E., Intonti, K., Viscardi, L., Giubileo, F., Kumar, A., Lam, H. T., Anastasiou, K., Craciun, M. F., Russo, S., & Di Bartolomeo, A. (2022). Electric Transport in Few-Layer ReSe2 Transistors Modulated by Air Pressure and Light. Nanomaterials, 12(11), 1886. https://doi.org/10.3390/nano12111886

