Photocatalytic Degradation of Ethiofencarb by a Visible Light-Driven SnIn4S8 Photocatalyst
Abstract
1. Introduction
2. Materials and Methods
2.1. Materials
2.2. Preparation and Characterization of SnIn4S8
2.3. Apparatus and Instruments
2.4. Procedures and Analysis
2.5. Procedure for Degradation of Ethiofencarb in Real Samples
3. Results and Discussion
3.1. Characterization of SnIn4S8
3.2. Photocatalytic Reaction
3.2.1. Adsorption Experiments and Catalyst Dosage
3.2.2. Effect of Initial pH Value
3.2.3. Effects of Anions
3.2.4. Identifiction of Active Species (Scavenger and ESR Studies)
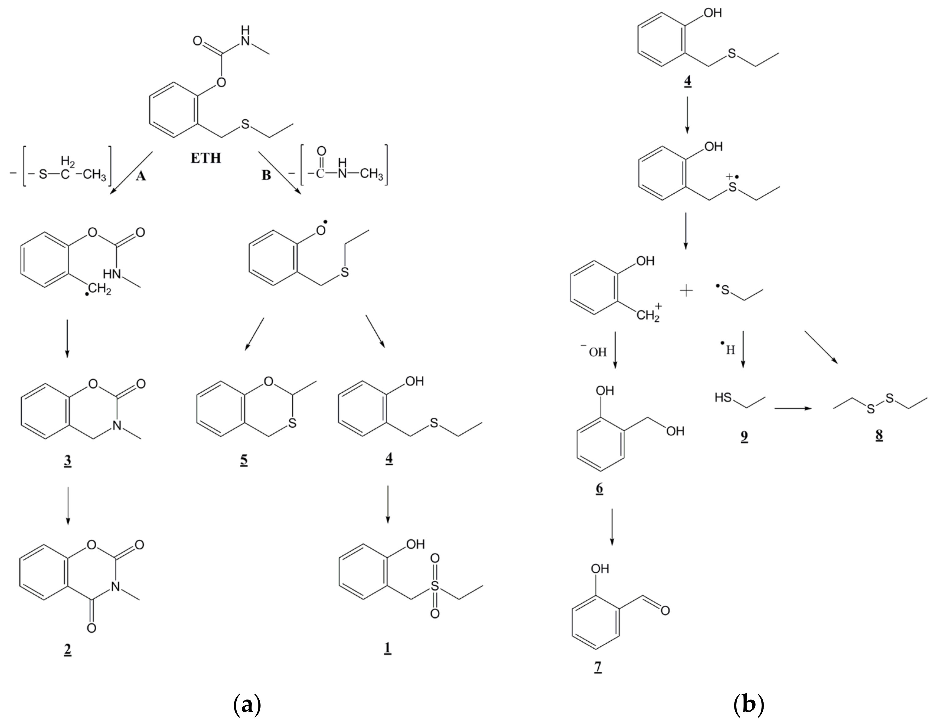
3.2.5. Reaction Pathway of Ethiofencarb Degradation
3.2.6. Performance of Recycled Catalyst
3.2.7. Photocatalytic Process of Real Water Samples
4. Conclusions
Supplementary Materials
Author Contributions
Funding
Data Availability Statement
Acknowledgments
Conflicts of Interest
References
- Zhang, J.; Liu, S.S.; Zhang, J.; Qin, L.T.; Deng, H.P. Two novel indices for quantitatively characterizing the toxicity interaction between ionic liquid and carbamate pesticides. J. Hazard. Mater. 2012, 239–240, 102–109. [Google Scholar] [CrossRef] [PubMed]
- Bogialli, S.; Curini, R.; Di Corcia, A.; Lagana, A.; Nazzari, M.; Tonci, M. Simple and rapid assay for analyzing residues of carbamate insecticides in bovine milk: Hot water extraction followed by liquid chromatography-mass spectrometry. J. Chromatogr. A 2004, 1054, 351–357. [Google Scholar] [CrossRef]
- Nogueira, J.M.F.; Sandra, T.; Sandra, P. Considerations on ultra trace analysis of carbamates in water samples. J. Chromatogr. A 2003, 996, 133–140. [Google Scholar] [CrossRef]
- Ramirez-Santana, M.; Zuniga-Venegas, L.; Corral, S.; Roeleveld, N.; Groenewoud, H.; van der Velden, K.; Scheepers, P.T.J.; Pancetti, F. Association between cholinesterase’s inhibition and cognitive impairment: A basis for prevention policies of environmental pollution by organophosphate and carbamate pesticides in Chile. Environ. Res. 2020, 186, 109539. [Google Scholar] [CrossRef] [PubMed]
- Huang, S.; Chen, C.; Tsai, H.; Shaya, J.; Lu, C. Photocatalytic degradation of thiobencarb by a visible light-driven MoS2 photocatalyst. Sep. Purif. Technol. 2018, 197, 147–155. [Google Scholar] [CrossRef]
- Wu, Q.; Chang, Q.; Wu, C.; Rao, H.; Zeng, X.; Wang, C.; Wang, Z. Ultrasound-assisted surfactant-enhanced emulsification microextraction for the determination of carbamate pesticides in water samples by high performance liquid chromatography. J. Chromatogr. A 2010, 1217, 1773–1778. [Google Scholar] [CrossRef]
- Ouertani, R.; El Atrache, L.L.; Hamida, N.B. Alkaline hydrolysis of ethiofencarb: Kinetic study and mechanism degradation. Int. J. Chem. Kinet. 2013, 45, 118–124. [Google Scholar] [CrossRef]
- Diez, N.M.; Cabanillas, A.G.; Silva Rodriguez, A.; Goicoechea, H.C. Second-order advantage maintenance with voltammetric data modeling for quantitation of ethiofencarb in the presence of interferences. Talanta 2015, 132, 851–856. [Google Scholar] [CrossRef]
- Sanz-Asensio, J.; Plaza-Medina, M.; Martinez-Soria, M.T. Kinetic study of the degradation of ethiofencarb in aqueous solutions. Pestic. Sci. 1997, 50, 187–194. [Google Scholar] [CrossRef]
- Yang, E.Y.; Shin, H.S. Trace level determinations of carbamate pesticides in surface water by gas chromatography-mass spectrometry after derivatization with 9-xanthydrol. J. Chromatogr. A 2013, 1305, 328–332. [Google Scholar] [CrossRef]
- Oturan, M.A.; Aaron, J.-J. Advanced oxidation processes in water/wastewater treatment: Principles and applications. A review. Crit. Rev. Environ. Sci. Technol. 2014, 44, 2577–2641. [Google Scholar] [CrossRef]
- Wu, Y.; Chen, C.; Huang, Y.; Lin, W.; Yen, Y.; Lu, C. Pirimicarb degradation by BiVO4 photocatalysis: Parameter and reaction pathway investigations. Sep. Sci. Technol. 2016, 51, 2284–2296. [Google Scholar] [CrossRef]
- Lai, H.-F.; Chen, C.-C.; Wu, R.-J.; Lu, C.-S. Thiobencarb degradation by TiO2 photocatalysis: Parameter and reaction pathway investigations. J. Chin. Chem. Soc. 2012, 59, 87–97. [Google Scholar] [CrossRef]
- Wang, C.; Zhang, H.; Li, F.; Zhu, L. Degradation and mineralization of bisphenol A by mesoporous Bi2WO6 under simulated solar light irradiation. Environ. Sci. Technol. 2010, 44, 6843–6848. [Google Scholar] [CrossRef] [PubMed]
- Zhang, H.; Zhang, P.; Ji, Y.; Tian, J.; Du, Z. Photocatalytic degradation of four non-steroidal anti-inflammatory drugs in water under visible light by P25-TiO2/tetraethyl orthosilicate film and determination via ultra performance liquid chromatography electrospray tandem mass spectrometry. Chem. Eng. J. 2015, 262, 1108–1115. [Google Scholar] [CrossRef]
- Polychronopoulou, K.; Malliakas, C.D.; He, J.; Kanatzidis, M.G. Selective surfaces: Quaternary Co(Ni)MoS-based chalcogels with divalent (Pb2+, Cd2+, Pd2+) and trivalent (Cr3+, Bi3+) metals for gas separation. Chem. Mat. 2012, 24, 3380–3392. [Google Scholar] [CrossRef]
- Riley, B.J.; Chun, J.; Um, W.; Lepry, W.C.; Matyas, J.; Olszta, M.J.; Li, X.; Polychronopoulou, K.; Kanatzidis, M.G. Chalcogen-based aerogels as sorbents for radionuclide remediation. Environ. Sci. Technol. 2013, 47, 7540–7547. [Google Scholar] [CrossRef]
- Batabyal, S.K.; Lu, S.E.; Vittal, J.J. Synthesis, characterization, and photocatalytic properties of In2S3, ZnIn2S4, and CdIn2S4 nanocrystals. Cryst. Growth Des. 2016, 16, 2231–2238. [Google Scholar] [CrossRef]
- Carević, M.V.; Čomor, M.I.; Mitrić, M.N.; Barudžija, T.S.; Ahrenkiel, S.P.; Abazović, N.D. The influence of reaction media on CdIn2S4 and ZnIn2S4 nanocrystallite formation and growth of mesocrystal structures. Crystengcomm 2015, 17, 8492–8499. [Google Scholar] [CrossRef]
- Deng, F.; Lu, X.; Zhao, L.; Luo, Y.; Pei, X.; Luo, X.; Luo, S. Facile low-temperature co-precipitation method to synthesize hierarchical network-like g-C3N4/SnIn4S8 with superior photocatalytic performance. J. Mater. Sci. 2016, 51, 6998–7007. [Google Scholar] [CrossRef]
- Ding, J.; Sun, S.; Yan, W.; Bao, J.; Gao, C. Photocatalytic H2 evolution on a novel CaIn2S4 photocatalyst under visible light irradiation. Int. J. Hydrogen Energy 2013, 38, 13153–13158. [Google Scholar] [CrossRef]
- Jiang, W.; Yin, X.; Xin, F.; Bi, Y.; Liu, Y.; Li, X. Preparation of CdIn2S4 microspheres and application for photocatalytic reduction of carbon dioxide. Appl. Surf. Sci. 2014, 288, 138–142. [Google Scholar] [CrossRef]
- Shen, S.; Zhao, L.; Guo, L. Crystallite, optical and photocatalytic properties of visible-light-driven ZnIn2S4 photocatalysts synthesized via a surfactant-assisted hydrothermal method. Mater. Res. Bull. 2009, 44, 100–105. [Google Scholar] [CrossRef]
- Yan, T.; Li, L.; Li, G.; Wang, Y.; Hu, W.; Guan, X. Porous SnIn4S8 microspheres in a new polymorph that promotes dyes degradation under visible light irradiation. J. Hazard. Mater. 2011, 186, 272–279. [Google Scholar] [CrossRef] [PubMed]
- Tsai, H.; Shaya, J.; Tesana, S.; Golovko, V.B.; Wang, S.-Y.; Liao, Y.-Y.; Lu, C.-S.; Chen, C.-C. Visible-light driven photocatalytic degradation of pirimicarb by Pt-doped AgInS2 nanoparticles. Catalysts 2020, 10, 857. [Google Scholar] [CrossRef]
- Wang, L.; Li, X.; Teng, W.; Zhao, Q.; Shi, Y.; Yue, R.; Chen, Y. Efficient photocatalytic reduction of aqueous Cr(VI) over flower-like SnIn4S8 microspheres under visible light illumination. J. Hazard. Mater. 2013, 244–245, 681–688. [Google Scholar] [CrossRef]
- Deng, F.; Zhong, F.; Zhao, L.; Luo, X.; Luo, S.; Dionysiou, D.D. One-step in situ hydrothermal fabrication of octahedral CdS/SnIn4S8 nano-heterojunction for highly efficient photocatalytic treatment of nitrophenol and real pharmaceutical wastewater. J. Hazard. Mater. 2017, 340, 85–95. [Google Scholar] [CrossRef] [PubMed]
- Wang, T.; Zhang, Y.; Ding, T. One-step solvothermal synthesis of SnIn4S8/TiO2 nanocomposite with enhanced visible-light-activated photocatalytic activity. Mater. Lett. 2014, 123, 153–155. [Google Scholar] [CrossRef]
- Lai, H.-F.; Chen, C.-C.; Chang, Y.-K.; Lu, C.-S.; Wu, R.-J. Efficient photocatalytic degradation of thiobencarb over BiVO4 driven by visible light: Parameter and reaction pathway investigations. Sep. Purif. Technol. 2014, 122, 78–86. [Google Scholar] [CrossRef]
- Chen, C.C.; Lu, C.S.; Mai, F.D.; Weng, C.S. Photooxidative N-de-ethylation of anionic triarylmethane dye (sulfan blue) in titanium dioxide dispersions under UV irradiation. J. Hazard. Mater. 2006, 137, 1600–1607. [Google Scholar] [CrossRef]
- Ye, X.; Chen, D.; Li, K.; Shah, V.; Kesmez, M.; Vajifdar, K. Photocatalytic oxidation of aldehydes/PCE using porous anatase titania and visible-light-responsive brookite titania. Chem. Eng. Comm. 2007, 194, 368–381. [Google Scholar] [CrossRef]
- Xu, P.; Huang, S.; Lv, Y.; Chen, Y.; Liu, M.; Fan, H. Surfactant-assisted hydrothermal synthesis of rGO/SnIn4S8 nanosheets and their application in complete removal of Cr(VI). RSC Adv. 2018, 8, 5749–5759. [Google Scholar] [CrossRef]
- Shi, H.; Zhao, Y.; Fan, J.; Tang, Z. Construction of novel Z-scheme flower-like Bi2S3/SnIn4S8 heterojunctions with enhanced visible light photodegradation and bactericidal activity. Appl. Surf. Sci. 2019, 465, 212–222. [Google Scholar] [CrossRef]
- Tang, J.; Zou, Z.; Ye, J. Efficient photocatalytic decomposition of organic contaminants over CaBi2O4 under visible-light irradiation. Angew. Chem. Int. Edit. 2004, 43, 4463–4466. [Google Scholar] [CrossRef]
- Chen, C.C.; Fan, H.J.; Shaya, J.; Chang, Y.K.; Golovko, V.B.; Toulemonde, O.; Huang, C.H.; Song, Y.X.; Lu, C.S. Accelerated ZnMoO4 photocatalytic degradation of pirimicarb under UV light mediated by peroxymonosulfate. Appl. Organomet. Chem. 2019, 33, e5113. [Google Scholar]
- Chen, C.-C.; Shaya, J.; Fan, H.-J.; Chang, Y.-K.; Chi, H.-T.; Lu, C.-S. Silver vanadium oxide materials: Controlled synthesis by hydrothermal method and efficient photocatalytic degradation of atrazine and CV dye. Sep. Purif. Technol. 2018, 206, 226–238. [Google Scholar] [CrossRef]
- Ma, D.; Zhou, H.; Zhang, J.; Qian, Y. Controlled synthesis and possible formation mechanism of leaf-shaped SnS2 nanocrystals. Mater. Chem. Phys. 2008, 111, 391–395. [Google Scholar] [CrossRef]
- El-Maiss, J.; Mohy El Dine, T.; Lu, C.-S.; Karamé, I.; Kanj, A.; Polychronopoulou, K.; Shaya, J. Recent advances in metal-catalyzed alkyl–boron (C(sp3)–C(sp2)) Suzuki-Miyaura cross-couplings. Catalysts 2020, 10, 296. [Google Scholar] [CrossRef]
- Shaya, J.; Deschamps, M.-A.; Michel, B.Y.; Burger, A. Air-stable Pd catalytic systems for sequential one-pot synthesis of challenging unsymmetrical aminoaromatics. J. Org. Chem. 2016, 81, 7566–7573. [Google Scholar] [CrossRef] [PubMed]
- Wu, R.J.; Chen, C.C.; Chen, M.H.; Lu, C.S. Titanium dioxide-mediated heterogeneous photocatalytic degradation of terbufos: Parameter study and reaction pathways. J. Hazard. Mater. 2009, 162, 945–953. [Google Scholar] [CrossRef] [PubMed]
- Cho, S.P.; Hong, S.C.; Hong, S.-I. Photocatalytic degradation of the landfill leachate containing refractory matters and nitrogen compounds. Appl. Catal. B-Environ. 2002, 39, 125–133. [Google Scholar] [CrossRef]
- Yoshikawa, N.; Kimura, T.; Kawase, Y. Oxidative degradation of nonionic surfactants with TiO2 photocatalyst in a bubble column reactor. Can. J. Chem. Eng. 2003, 81, 719–724. [Google Scholar] [CrossRef]
- Annapoorani, R.; Dhananjeyan, M.R.; Renganathan, R. An investigation on ZnO photocatalysed oxidation of uracil. J. Photochem. Photobiol. A-Chem. 1997, 111, 215–221. [Google Scholar] [CrossRef]
- Cunningham, J.; Corkery, S. Reactions involving electron transfer at semiconductor surfaces. VI. Electron spin resonance studies on dark and illuminated aqueous suspensions of zinc oxides. J. Phys. Chem. 1975, 79, 933–941. [Google Scholar] [CrossRef]
- Mahmoodi, N.M.; Arami, M.; Limaee, N.Y.; Gharanjig, K. Photocatalytic degradation of agricultural N-heterocyclic organic pollutants using immobilized nanoparticles of titania. J. Hazard. Mater. 2007, 145, 65–71. [Google Scholar] [CrossRef] [PubMed]
- Mahmoodi, N.M.; Arami, M.; Limaee, N.Y.; Gharanjig, K.; Nourmohammadian, F. Nanophotocatalysis using immobilized titanium dioxide nanoparticle. Mater. Res. Bull. 2007, 42, 797–806. [Google Scholar] [CrossRef]
- Zhiyong, Y.; Chaonan, D.; Ruiying, Q.; Lijin, X.; Aihua, Z. Photocatalytic degradation of methyl orange by PbXO4 (X = Mo, W). J. Colloid Interface Sci. 2015, 438, 323–331. [Google Scholar] [CrossRef] [PubMed]
- Ma, W.; Wang, N.; Fan, Y.; Tong, T.; Han, X.; Du, Y. Non-radical-dominated catalytic degradation of bisphenol A by ZIF-67 derived nitrogen-doped carbon nanotubes frameworks in the presence of peroxymonosulfate. Chem. Eng. J. 2018, 336, 721–731. [Google Scholar] [CrossRef]
- Kopf, G.; Schwack, W. Photodegradation of the carbamate insecticide ethiofencarb. Pestic. Sci. 1995, 43, 303–309. [Google Scholar] [CrossRef]
- Galadi, A.; Julliard, M. Photosensitized oxidative degradation of pesticides. Chemosphere 1996, 33, 1–15. [Google Scholar] [CrossRef]
- Sanz-Asensio, J.; Plaza-Medina, M.; Martínez-Soria, M.T.; Pérez-Clavijo, M. Study of photodegradation of the pesticide ethiofencarb in aqueous and non-aqueous media, by gas chromatography–mass spectrometry. J. Chromatogr. A 1999, 840, 235–247. [Google Scholar] [CrossRef]
- Vialaton, D.; Richard, C. Direct photolyses of thiobencarb and ethiofencarb in aqueous phase. J. Photochem. Photobiol. A-Chem. 2000, 136, 169–174. [Google Scholar] [CrossRef]
- Konstantinou, I.K.; Sakkas, V.A.; Albanis, T.A. Photocatalytic degradation of the herbicides propanil and molinate over aqueous TiO2 suspensions: Identification of intermediates and the reaction pathway. Appl. Catal. B-Environ. 2001, 34, 227–239. [Google Scholar] [CrossRef]
- Evgenidou, E.; Konstantinou, I.; Fytianos, K.; Albanis, T. Study of the removal of dichlorvos and dimethoate in a titanium dioxide mediated photocatalytic process through the examination of intermediates and the reaction mechanism. J. Hazard. Mater. 2006, 137, 1056–1064. [Google Scholar] [CrossRef]
- Fox, M.A.; Abdel-Wahab, A.A. Selectivity in the TiO2-mediated photocatalytic oxidation of thioethers. Tetrahedron Lett. 1990, 31, 4533–4536. [Google Scholar] [CrossRef]
- Kerzhentsev, M.; Guillard, C.; Herrmann, J.-M.; Pichat, P. Photocatalytic pollutant removal in water at room temperature: Case study of the total degradation of the insecticide fenitrothion (phosphorothioic acid O,O-dimethyl-O-(3-methyl-4-nitro-phenyl) ester). Catal. Today 1996, 27, 215–220. [Google Scholar] [CrossRef]
- Vidal, A.; Dinya, Z.; Mogyorodi, F., Jr.; Mogyorodi, F. Photocatalytic degradation of thiocarbamate herbicide active ingredients in water. Appl. Catal. B-Environ. 1999, 21, 259–267. [Google Scholar] [CrossRef]
- Hong, F.; Pehkonen, S. Hydrolysis of phorate using simulated environmental conditions: Rates, mechanisms, and product analysis. J. Agric. Food Chem. 1998, 46, 1192–1199. [Google Scholar] [CrossRef]












| pH | kapp (h−1) | R2 |
|---|---|---|
| 3 | 0.1546 | 0.998 |
| 5 | 0.0982 | 0.986 |
| 7 | 0.0773 | 0.977 |
| 9 | 0.0661 | 0.978 |
| Peaks | Photodegradation Intermediates | R.T. (min) | MS Peaks (m/z) |
|---|---|---|---|
| 1 | ![]() | 26.36 | 200, 107, 77 |
| 2 | ![]() | 25.07 | 177, 120, 92 |
| 3 | ![]() | 23.88 | 163, 106, 78 |
| 4 | ![]() | 23.74 | 168, 107, 77 |
| 5 | ![]() | 21.08 | 166, 107, 78 |
| 6 | ![]() | 16.56 | 124, 106, 78 |
| 7 | ![]() | 14.28 | 122, 93, 65 |
| 8 | ![]() | 11.48 | 122, 94, 66 |
| 9 | ![]() | 4.27 | 62, 47, 29 |
Publisher’s Note: MDPI stays neutral with regard to jurisdictional claims in published maps and institutional affiliations. |
© 2021 by the authors. Licensee MDPI, Basel, Switzerland. This article is an open access article distributed under the terms and conditions of the Creative Commons Attribution (CC BY) license (https://creativecommons.org/licenses/by/4.0/).
Share and Cite
Chen, C.-C.; Shaya, J.; Polychronopoulou, K.; Golovko, V.B.; Tesana, S.; Wang, S.-Y.; Lu, C.-S. Photocatalytic Degradation of Ethiofencarb by a Visible Light-Driven SnIn4S8 Photocatalyst. Nanomaterials 2021, 11, 1325. https://doi.org/10.3390/nano11051325
Chen C-C, Shaya J, Polychronopoulou K, Golovko VB, Tesana S, Wang S-Y, Lu C-S. Photocatalytic Degradation of Ethiofencarb by a Visible Light-Driven SnIn4S8 Photocatalyst. Nanomaterials. 2021; 11(5):1325. https://doi.org/10.3390/nano11051325
Chicago/Turabian StyleChen, Chiing-Chang, Janah Shaya, Kyriaki Polychronopoulou, Vladimir B. Golovko, Siriluck Tesana, Syuan-Yun Wang, and Chung-Shin Lu. 2021. "Photocatalytic Degradation of Ethiofencarb by a Visible Light-Driven SnIn4S8 Photocatalyst" Nanomaterials 11, no. 5: 1325. https://doi.org/10.3390/nano11051325
APA StyleChen, C.-C., Shaya, J., Polychronopoulou, K., Golovko, V. B., Tesana, S., Wang, S.-Y., & Lu, C.-S. (2021). Photocatalytic Degradation of Ethiofencarb by a Visible Light-Driven SnIn4S8 Photocatalyst. Nanomaterials, 11(5), 1325. https://doi.org/10.3390/nano11051325










