Effect of CO Molecule Orientation on the Reduction of Cu-Based Nanoparticles
Abstract
1. Introduction
2. Materials and Methods
3. Results and Discussion
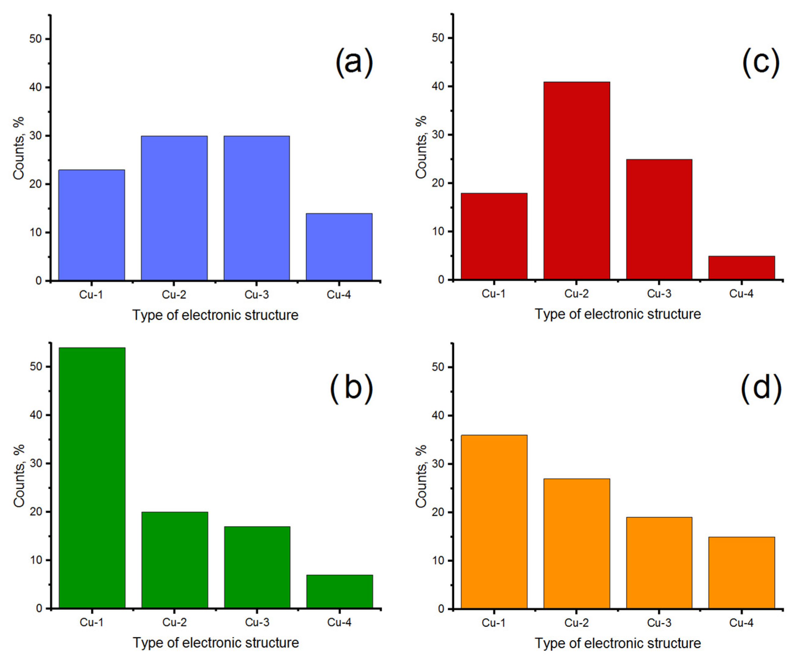
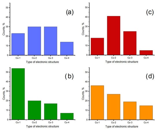
3.1. Morphology, Local Electronic Structure and Chemical Composition
3.2. CO Adsorption Experiments in Presence of External Electric Field
3.3. Simulation
4. Conclusions
Author Contributions
Funding
Data Availability Statement
Conflicts of Interest
References
- Amblard, F.; Cho, J.H.; Schinazi, R.F. Cu(I)-Catalyzed Huisgen Azide-Alkyne 1,3-Dipolar Cycloaddition Reaction in Nucleoside, Nucleotide, and Oligonucleotide Chemistry. Chem. Rev. 2009, 109, 4207–4220. [Google Scholar] [CrossRef] [PubMed]
- Meldal, M.; Tornøe, C.W. Cu-Catalyzed Azide-Alkyne Cycloaddition. Chem. Rev. 2008, 108, 2952–3015. [Google Scholar] [CrossRef] [PubMed]
- Baig, R.B.N.; Varma, R.S. Copper on Chitosan: A Recyclable Heterogeneous Catalyst for Azide-Alkyne Cycloaddition Reactions in Water. Green Chem. 2013, 15, 1839–1843. [Google Scholar] [CrossRef]
- Alonso, F.; Moglie, Y.; Radivoy, G.; Yus, M. Click Chemistry from Organic Halides, Diazonium Salts and Anilines in Water Catalysed by Copper Nanoparticles on Activated Carbon. Org. Biomol. Chem. 2011, 9, 6385–6395. [Google Scholar] [CrossRef]
- Kim, J.H.; Chung, Y.K. Copper Nanoparticle-Catalyzed Borylation of Alkyl Bromides with an Organodiboron Compound. RSC Adv. 2014, 4, 39755–39758. [Google Scholar] [CrossRef]
- Nador, F.; Fortunato, L.; Moglie, Y.; Vitale, C.; Radivoy, G. A Simple One-Pot Procedure for the Direct Homocoupling of Terminal Alkynes Promoted by Copper Nanoparticles. Synthesis 2009, 2009, 4027–4031. [Google Scholar] [CrossRef]
- Sakoda, K.; Mihara, J.; Ichikawa, J. Heck-Type 5-Endo-Trig Cyclization Promoted by Vinylic Fluorines: Synthesis of 5-Fluoro-3H-Pyrroles. Chem. Commun. 2005, 37, 4684–4686. [Google Scholar] [CrossRef]
- Kou, J.H.; Saha, A.; Bennett-Stamper, C.; Varma, R.S. Inside-Out Core-Shell Architecture: Controllable Fabrication of Cu2O@Cu with High Activity for the Sonogashira Coupling Reaction. Chem. Commun. 2012, 48, 5862–5864. [Google Scholar] [CrossRef]
- Khalilzadeh, M.A.; Keipour, H.; Hosseini, A.; Zareyee, D. KF/Clinoptilolite, an Effective Solid Base in Ullmann Ether Synthesis Catalyzed by CuO Nanoparticles. New J. Chem. 2014, 38, 42–45. [Google Scholar] [CrossRef]
- Chung-Hsin, L.; Chung-Han, L.; Chung-Hsien, W. Microemulsion-mediated Solvothermal Synthesis of Copperindiumdiselenide Powders. Sol. Energy Mater. Sol. Cells 2010, 94, 1622–1626. [Google Scholar] [CrossRef]
- Marella, R.K.; Neeli, C.K.P.; Kamaraju, S.R.R.; Burri, D.R. Highly Active Cu/MgO Catalysts for Selective Dehydrogenation of Benzyl Alcohol into Benzaldehyde Using Neither O2 Nor H2 Acceptor. Catal. Sci. Technol. 2012, 2, 1833–1838. [Google Scholar] [CrossRef]
- Dhakshinamoorthy, A.; Hermenegildo, G. Metal-organic Frameworks as Solid Catalysts for the Synthesis of Nitrogen-Containing Heterocycles. Chem. Soc. Rev. 2014, 43, 5750–5765. [Google Scholar] [CrossRef] [PubMed]
- Pham, L.Q.; Sohn, J.H.; Kim, C.W.; Park, J.H.; Kang, H.S.; Lee, B.C.; Kang, Y.S. Copper Nanoparticles Incorporated with Conducting Polymer: Effects of Copper Concentration and Surfactants on the Stability and Conductivity. J. Colloid Interface Sci. 2012, 365, 103–109. [Google Scholar] [CrossRef] [PubMed]
- Gawande, M.B.; Goswami, A.; Felpin, F.-X.; Asefa, T.; Huang, X.; Silva, R.; Zou, X.; Zboril, R.; Varma, R.S. Cu and Cu-Based Nanoparticles: Synthesis and Applications in Catalysis. Chem. Rev. 2016, 116, 3722–3811. [Google Scholar] [CrossRef] [PubMed]
- Shaik, S.; de Visser, S.P.; Kumar, D. External electric field will control the selectivity of enzymatic-like bond activations. J. Am. Chem. Soc. 2004, 126, 11746–11749. [Google Scholar] [CrossRef]
- Aragonès, A.C.; Haworth, N.L.; Darwish, N.; Ciampi, S.; Bloomfield, N.J.; Wallace, G.G.; Diez-Perez, I.; Coote, M.L. Electrostatic catalysis of a Diels-Alder reaction. Nature 2016, 531, 88–91. [Google Scholar] [CrossRef]
- Balashov, E.M.; Gatin, A.K.; Grishin, M.V.; Dalidchik, F.I.; Kolchenko, N.N.; Shub, B.R. The influence of strong electric fields on the growth of platinum oxide nanoparticles and their interaction with molecular hydrogen. Russ. J. Phys. Chem. B 2010, 4, 340–345. [Google Scholar] [CrossRef]
- Gatin, A.K.; Grishin, M.V.; Kolchenko, N.N.; Sarvadii, S.Y.; Shub, B.R. Effect of the Electric Potential on the Interaction of Gold Nanoparticles Deposited on a Graphite Substrate with Molecular Hydrogen. Russ. J. Phys. Chem. B 2017, 11, 370–374. [Google Scholar] [CrossRef]
- Sarvadiy, S.Y.; Gatin, A.K.; Grishin, M.V.; Kharitonov, V.A.; Kolchenko, N.N.; Dokhlikova, N.V.; Shub, B.R. Electric field–prevented adsorption of hydrogen on supported gold nanoparticles. Gold Bull. 2019, 52, 61–67. [Google Scholar] [CrossRef]
- Grishin, M.V.; Gatin, A.K.; Slutskii, V.G.; Kharitonov, V.A.; Tsyganov, S.A.; Shub, B.R. Effect of the electric potential of organoboron nanoparticles on their catalytic activity in the decomposition of ammonia. Russ. J. Phys. Chem. B 2016, 10, 538–542. [Google Scholar] [CrossRef]
- Grishin, M.V.; Gatin, A.K.; Slutskii, V.G.; Kharitonov, V.A.; Tsyganov, S.A.; Shub, B.R. Ammonia decomposition on a platinum nanocoating at various electric potentials. Russ. J. Phys. Chem. B 2016, 10, 760–763. [Google Scholar] [CrossRef]
- Korchak, V.N.; Grishin, M.V.; Bykhovskii, M.Y.; Gatin, A.K.; Slutskii, V.G.; Kharitonov, V.A.; Tsyganov, S.A.; Shub, B.R. Ethylene Hydrogenation on a Platinum Nanocoating at Various Electric Potentials. Russ. J. Phys. Chem. B 2017, 11, 932–936. [Google Scholar] [CrossRef]
- Roldan Cuenya, B. Synthesis and catalytic properties of metal nanoparticles: Size, shape, support, composition, and oxidation state effects. Thin Solid Films 2010, 518, 3127–3150. [Google Scholar] [CrossRef]
- Umer, A.; Naveed, S.; Ramzan, N.; Rafique, M.S. Selection of a Suitable Method for the Synthesis of Copper Nanoparticles. NANO Brief Rep. Rev. 2012, 7, 1230005. [Google Scholar] [CrossRef]
- Güntherodt, H.J.; Wiesendanger, R. (Eds.) Scanning Tunneling Microscopy I: General Principles and Applications to Clean and Absorbate-Covered Surfaces; Springer: Berlin, Germany, 1994; p. 280. [Google Scholar] [CrossRef]
- Binnig, G.; Rohrer, H.; Berber, C.; Weibel, E. Tunneling through a controllable vacuum gap. Appl. Phys. Lett. 1982, 40, 178–180. [Google Scholar] [CrossRef]
- Meyer, E.; Hug, H.J.; Bennewitz, R. (Eds.) Scanning Probe Microscopy; Springer: Berlin/Heidelberg, Germany, 2004; p. 210. [Google Scholar] [CrossRef]
- Hamers, R.J.; Wang, Y.J. Atomically-resolved studies of the chemistry and bonding at silicon surfaces. Chem. Rev. 1996, 96, 1261–1290. [Google Scholar] [CrossRef] [PubMed]
- Hamers, R.J.; Tromp, R.M.; Demuth, J.E. Surface electronic structure of Si (111)-(7×7) resolved in real space. Phys. Rev. Lett. 1986, 56, 1972–1975. [Google Scholar] [CrossRef] [PubMed]
- Fitzer, E.; Kochling, K.-H.; Boehm, H.P.; Marsh, H. Recommended terminology for the description of carbon as a solid (IUPAC recommendations 1995). Pure Appl. Chem. 1995, 67, 473–506. [Google Scholar] [CrossRef]
- Kirsankin, A.A.; Grishin, M.V.; Sarvadii, S.Y.; Zamota, P.F.; Shub, B.R. Physicochemical Properties of Copper Nanoparticles Synthesized by the Different Methods. Russ. J. Phys. Chem. B 2017, 11, 521–525. [Google Scholar] [CrossRef]
- Heinemann, M.; Eifert, B.; Heiliger, C. Band structure and phase stability of the copper oxides Cu2O, CuO, and Cu4O3. Phys. Rev. B 2013, 87, 115111. [Google Scholar] [CrossRef]
- Meyer, B.K.; Polity, A.; Reppin, D.; Becker, M.; Hering, P.; Klar, P.J.; Sander, T.; Reindl, C.; Benz, J.; Eickhoff, M.; et al. Binary copper oxide semiconductors: From materials towards devices. Phys. Status Solidi B 2012, 249, 1487–1647. [Google Scholar] [CrossRef]
- Ghijsen, J.; Tjeng, L.H.; van Elp, J.; Eskes, H.; Westerink, J.; Sawatzky, G.A.; Czyzyk, M.T. Electronic structure of Cu2O and CuO. Phys. Rev. B 1988, 38, 11322–11330. [Google Scholar] [CrossRef] [PubMed]
- Koffyberg, F.P.; Benko, F.A. A photoelectrochemical determination of the position of the conduction and valence band edges of p-type CuO. J. Appl. Phys. 1982, 53, 1173–1177. [Google Scholar] [CrossRef]
- Marabelli, F.; Parravicini, G.B.; Salghetti-Drioli, F. Optical gap of CuO. Phys. Rev. B 1995, 52, 1433–1436. [Google Scholar] [CrossRef]
- Pierson, J.F.; Thobor-Keck, A.; Billard, A. Cuprite, paramelaconite and tenorite films deposited by reactive magnetron sputtering. Appl. Surf. Sci. 2003, 210, 359–367. [Google Scholar] [CrossRef]
- Balashov, E.M.; Dalidchik, F.I.; Shub, B.R. Structure and electronic properties of imperfect oxides and nanooxides. Russ. J. Phys. Chem. B 2008, 2, 840–855. [Google Scholar] [CrossRef]
- Goldstein, E.A.; Mitchell, R.E. Chemical kinetics of copper oxide reduction with carbon monoxide. Proc. Combust. Inst. 2011, 33, 2803–2810. [Google Scholar] [CrossRef]
- Kim, J.Y.; Rodriguez, J.A.; Hanson, J.C.; Frenkel, A.I.; Lee, P.L. Reduction of CuO and Cu2O with H2: H embedding and kinetic effects in the formation of suboxides. J. Am. Chem. Soc. 2003, 125, 10684–10692. [Google Scholar] [CrossRef]
- Wang, X.; Hanson, J.C.; Frenkel, A.I.; Kim, J.-Y.; Rodriguez, J.A. Time-resolved Studies for the Mechanism of Reduction of Copper Oxides with Carbon Monoxide: Complex Behavior of Lattice Oxygen and the Formation of Suboxides. J. Phys. Chem. B 2004, 108, 13667–13673. [Google Scholar] [CrossRef]
- Atkins, P.W.; de Paula, J. Physical Chemistry, 8th ed.; W.H. Freeman and Company: New York, NY, USA, 2006; p. 1085. [Google Scholar]
- Zhang, Y.; Pluchery, O.; Caillard, L.; Lamic-Humblot, A.-F.; Casale, S.; Chabal, Y.J.; Salmeron, M. Sensing the charge state of single gold nanoparticles via work function measurements. Nano Lett. 2015, 15, 51–55. [Google Scholar] [CrossRef]



| k1, m3·mol–1·s–1 | k2, s–1 | k3, s–1 | |
|---|---|---|---|
| CuO → Cu | 10–5 | 10–1 | 1 |
| Cu2O → Cu | 10–7 | 10–1 | 10–4 |
Publisher’s Note: MDPI stays neutral with regard to jurisdictional claims in published maps and institutional affiliations. |
© 2021 by the authors. Licensee MDPI, Basel, Switzerland. This article is an open access article distributed under the terms and conditions of the Creative Commons Attribution (CC BY) license (http://creativecommons.org/licenses/by/4.0/).
Share and Cite
Sarvadii, S.Y.; Gatin, A.K.; Kharitonov, V.A.; Dokhlikova, N.V.; Ozerin, S.A.; Grishin, M.V.; Shub, B.R. Effect of CO Molecule Orientation on the Reduction of Cu-Based Nanoparticles. Nanomaterials 2021, 11, 279. https://doi.org/10.3390/nano11020279
Sarvadii SY, Gatin AK, Kharitonov VA, Dokhlikova NV, Ozerin SA, Grishin MV, Shub BR. Effect of CO Molecule Orientation on the Reduction of Cu-Based Nanoparticles. Nanomaterials. 2021; 11(2):279. https://doi.org/10.3390/nano11020279
Chicago/Turabian StyleSarvadii, Sergey Y., Andrey K. Gatin, Vasiliy A. Kharitonov, Nadezhda V. Dokhlikova, Sergey A. Ozerin, Maxim V. Grishin, and Boris R. Shub. 2021. "Effect of CO Molecule Orientation on the Reduction of Cu-Based Nanoparticles" Nanomaterials 11, no. 2: 279. https://doi.org/10.3390/nano11020279
APA StyleSarvadii, S. Y., Gatin, A. K., Kharitonov, V. A., Dokhlikova, N. V., Ozerin, S. A., Grishin, M. V., & Shub, B. R. (2021). Effect of CO Molecule Orientation on the Reduction of Cu-Based Nanoparticles. Nanomaterials, 11(2), 279. https://doi.org/10.3390/nano11020279

