Numerical Study on Enhanced Line Focusing via Buried Metallic Nanowire Assisted Binary Plate
Abstract
1. Introduction
2. Materials and Methods
3. Results
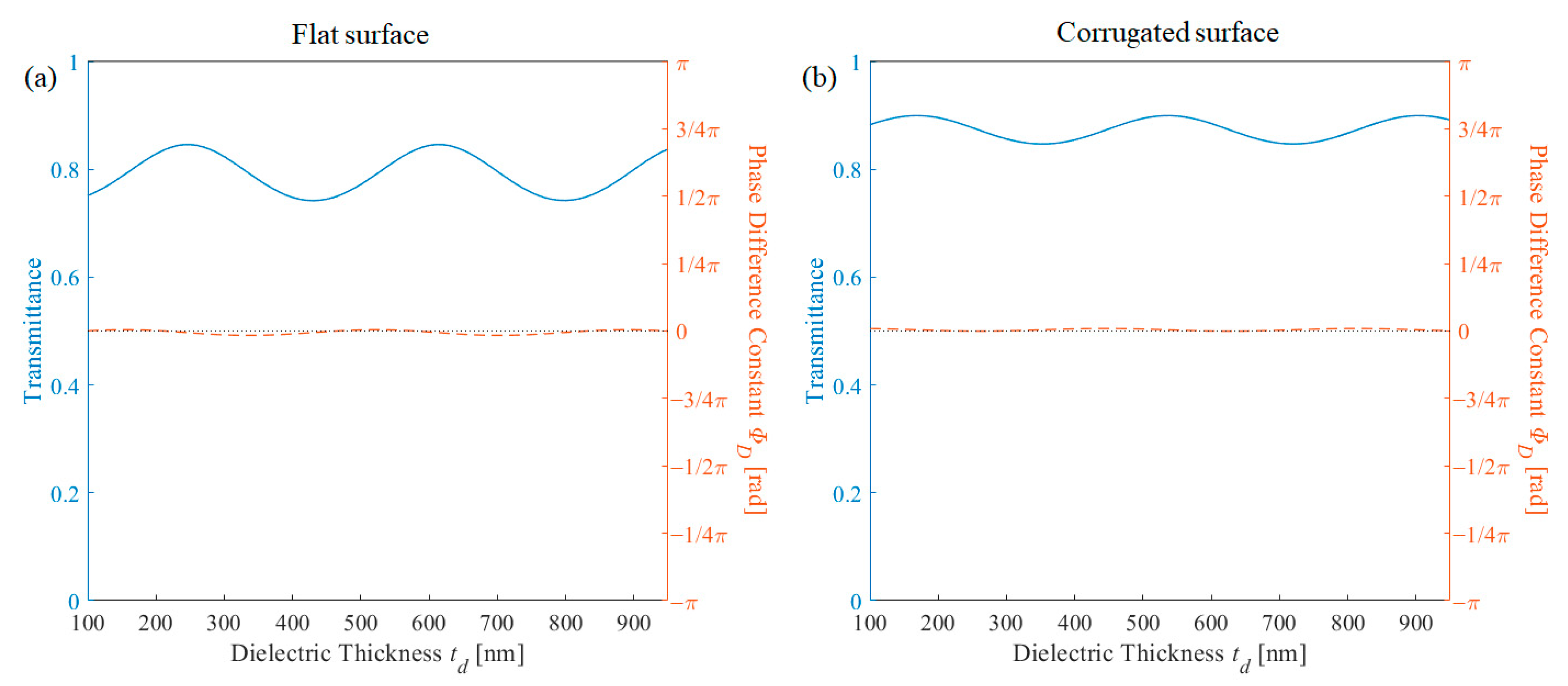
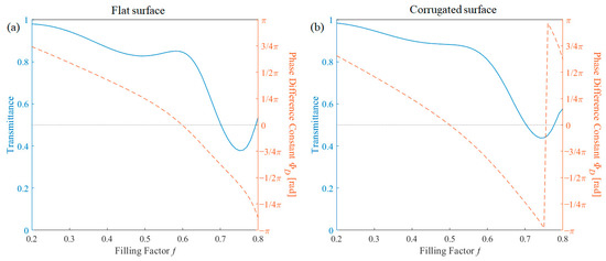
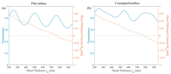
3.1. Wire Parameter Optimization
3.2. Lens Design
4. Discussion
5. Conclusions
Funding
Data Availability Statement
Conflicts of Interest
References
- Collins, S.A. Lens-system diffraction integral written in terms of matrix optics. J. Opt. Soc. Am. 1970, 60, 1168–1177. [Google Scholar] [CrossRef]
- Goodman, J.W.; Cox, M.E. Introduction to Fourier Optics. Phys. Today 1969, 22, 97–101. [Google Scholar] [CrossRef]
- Penz, P.A. Voltage-Induced Vorticity and Optical Focusing in Liquid Crystals. Phys. Rev. Lett. 1970, 24, 1405–1409. [Google Scholar] [CrossRef]
- Uchida, T.; Furukawa, M.; Kitano, I.; Koizumi, K.; Matsumura, H. Optical characteristics of a light-focusing fiber guide and its applications. IEEE J. Quantum Electron. 1970, 6, 606–612. [Google Scholar] [CrossRef]
- Grosjean, T.; Courjon, D.; Bainier, C. Smallest lithographic marks generated by optical focusing systems. Opt. Lett. 2007, 32, 976–978. [Google Scholar] [CrossRef]
- Rioux, M.; Tremblay, R.; Bélanger, P.A. Linear, annular, and radial focusing with axicons and applications to laser machining. Appl. Opt. 1978, 17, 1532–1536. [Google Scholar] [CrossRef]
- Ivanda, M.; Furic, K. Line focusing in micro-raman spectroscopy. Appl. Opt. 1992, 31, 6371–6375. [Google Scholar] [CrossRef]
- Mateo, M.P.; Cabalín, L.M.; Laserna, J. Line-focused laser ablationfor depth-profiling analysis of coated and layered materials. Appl. Opt. 2003, 42, 6057–6062. [Google Scholar] [CrossRef]
- Horta, P.; Osório, T. Optical Characterization Parameters for Line-focusing Solar Concentrators: Measurement Procedures and Extended Simulation Results. Energy Procedia 2014, 49, 98–108. [Google Scholar] [CrossRef][Green Version]
- Mills, D.R.; Morrison, G.L. Compact Linear Fresnel Reflector solar thermal powerplants. Sol. Energy 2000, 68, 263–283. [Google Scholar] [CrossRef]
- D’Auria, L.; Huignard, J.; Roy, A.; Spitz, E. Photolithographic fabrication of thin film lenses. Opt. Commun. 1972, 5, 232–235. [Google Scholar] [CrossRef]
- Kim, H.; Kim, J.; An, H.; Lee, Y.; Lee, G.-Y.; Na, J.; Park, K.; Lee, S.; Lee, S.-Y.; Lee, B.; et al. Metallic Fresnel zone plate implemented on an optical fiber facet for super-variable focusing of light. Opt. Express 2017, 25, 30290–30303. [Google Scholar] [CrossRef]
- Fu, Y.; Zhou, W.; Lim, L.E.N.; Du, C.L.; Luo, X.G. Plasmonic microzone plate: Superfocusing at visible regime. Appl. Phys. Lett. 2007, 91, 061124. [Google Scholar] [CrossRef]
- Gordon, R. Light in a subwavelength slit in a metal: Propagation and reflection. Phys. Rev. B 2006, 73, 153405. [Google Scholar] [CrossRef]
- Kim, H.; Lee, S.-Y. Optical phase properties of small numbers of nanoslits and an application for higher-efficiency fresnel zone plates. Curr. Opt. Photonics 2019, 3, 285–291. [Google Scholar]
- Park, K.; Kim, H. Sub-Wavelength Slit-Assisted Binary Metallic Lens Design for Effective Multifocusing via Phase Superposition Method. IEEE Access 2020, 8, 115196–115201. [Google Scholar] [CrossRef]
- Kim, H.; Rogers, E.T. Sub-wavelength annular-slit-assisted super-oscillatory lens for longitudinally-polarized super-resolution focusing. Sci. Rep. 2020, 10, 1–8. [Google Scholar]
- Over, H.; Seitsonen, A. Oxidation of metal surfaces. Science 2002, 297, 2003–2005. [Google Scholar] [CrossRef]
- Haggans, C.W.; Li, L.; Kostuk, R.K. Effective-medium theory of zeroth-order lamellar gratings in conical mountings. J. Opt. Soc. Am. A 1993, 10, 2217–2225. [Google Scholar] [CrossRef]
- Kim, H. Metallic triangular pillar grating arrays for high transmission polarizers for air:glass interfaces. Jpn. J. Appl. Phys. 2019, 58, 042001. [Google Scholar] [CrossRef]
- Kim, H.; Jeong, Y. Theoretical and numerical study of cylindrical-vector-mode radiation characteristics in periodic metallic annular slits and their applications. Curr. Opt. Photonics 2018, 2, 482–487. [Google Scholar]
- Malitson, I.H. Inter specimen comparison of the refractive index of fused silica. J. Opt. Soc. Am. 1965, 55, 1205–1209. [Google Scholar] [CrossRef]
- Johnson, P.B.; Christy, R.W. Optical Constants of the Noble Metals. Phys. Rev. B 1972, 6, 4370–4379. [Google Scholar] [CrossRef]
- Kim, J.; Kim, H.; Lee, G.-Y.; Kim, J.; Lee, B.; Jeong, Y. Numerical andexperimental study on multi-focal metallic fresnel zone plates designed by the phase selection rule via virtual point sources. Appl. Sci. 2018, 8, 449. [Google Scholar] [CrossRef]








Publisher’s Note: MDPI stays neutral with regard to jurisdictional claims in published maps and institutional affiliations. |
© 2021 by the author. Licensee MDPI, Basel, Switzerland. This article is an open access article distributed under the terms and conditions of the Creative Commons Attribution (CC BY) license (http://creativecommons.org/licenses/by/4.0/).
Share and Cite
Kim, H. Numerical Study on Enhanced Line Focusing via Buried Metallic Nanowire Assisted Binary Plate. Nanomaterials 2021, 11, 281. https://doi.org/10.3390/nano11020281
Kim H. Numerical Study on Enhanced Line Focusing via Buried Metallic Nanowire Assisted Binary Plate. Nanomaterials. 2021; 11(2):281. https://doi.org/10.3390/nano11020281
Chicago/Turabian StyleKim, Hyuntai. 2021. "Numerical Study on Enhanced Line Focusing via Buried Metallic Nanowire Assisted Binary Plate" Nanomaterials 11, no. 2: 281. https://doi.org/10.3390/nano11020281
APA StyleKim, H. (2021). Numerical Study on Enhanced Line Focusing via Buried Metallic Nanowire Assisted Binary Plate. Nanomaterials, 11(2), 281. https://doi.org/10.3390/nano11020281

