Crystallization in Zirconia Film Nano-Layered with Silica
Abstract
:1. Introduction
1.1. Thermal Processing Leads to Crystallization
1.2. Optical Scattering and Thermal Noise May Be Related to Crystals
1.3. Nano-Segmentation with Silica as a Performance Benchmark
1.4. Key Findings and Outline
2. Methodology
2.1. Sample Fabrication by Electron-Beam Evaporation
2.2. Annealing Sequence and XRD Characterization
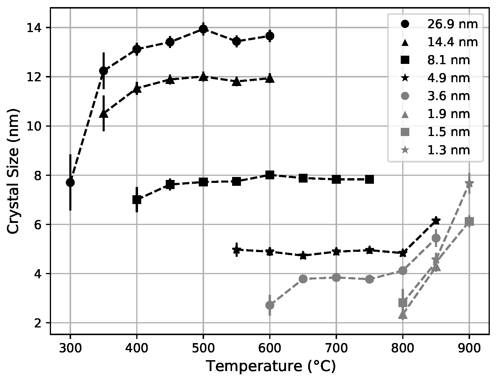
3. Results
4. Summary and Discussion
Author Contributions
Funding
Institutional Review Board Statement
Informed Consent Statement
Data Availability Statement
Acknowledgments
Conflicts of Interest
References
- Aasi, J.; Abbott, B.P.; Abbott, R.; Abbott, T.; Abernathy, M.R.; Ackley, K.; Adams, C.; Adams, T.; Addesso, P.; Adhikari, R.X.; et al. Advanced ligo. Class. Quantum Gravity 2015, 32, 074001. [Google Scholar]
- Acernese, F.; Agathos, M.; Agatsuma, K.; Aisa, D.; Allemandou, N.; Allocca, A.; Amarni, J.; Astone, P.; Balestri, G.; Ballardin, G.; et al. Advanced Virgo: A second-generation interferometric gravitational wave detector. Class. Quantum Gravity 2014, 32, 024001. [Google Scholar] [CrossRef] [Green Version]
- Akutsu, T.; Ando, M.; Arai, K.; Arai, Y.; Araki, S.; Araya, A.; Aritomi, N.; Aso, Y.; Bae, S.; Bae, Y.; et al. Overview of KAGRA: Detector design and construction history. Prog. Theor. Exp. Phys. 2021, 2021, 05A101. [Google Scholar] [CrossRef]
- Ulbricht, S.; Dickmann, J.; Müller, R.A.; Kroker, S.; Surzhykov, A. Gravitational light deflection in Earth-based laser cavity experiments. Phys. Rev. D 2020, 101, 121501. [Google Scholar] [CrossRef]
- Vajente, G.; Gustafson, E.K.; Reitze, D.H. Precision interferometry for gravitational wave detection: Current status and future trends. In Advances In Atomic, Molecular, and Optical Physics; Academic Press: Cambridge, MA, USA, 2019; Volume 68, pp. 75–148. [Google Scholar]
- Danilishin, S.L.; Khalili, F.Y.; Miao, H. Advanced quantum techniques for future gravitational-wave detectors. Living Rev. Relativ. 2019, 22, 2. [Google Scholar] [CrossRef] [Green Version]
- Levin, Y. Internal thermal noise in the LIGO test masses: A direct approach. Phys. Rev. D 1998, 57, 659. [Google Scholar] [CrossRef] [Green Version]
- Reid, S.; Martin, I.W. Development of mirror coatings for gravitational wave detectors. Coatings 2016, 6, 61. [Google Scholar] [CrossRef] [Green Version]
- Glover, L.; Goff, M.; Patel, J.; Pinto, I.; Principe, M.; Sadecki, T.; Savage, R.; Villarama, E.; Arriaga, E.; Barragan, E.; et al. Optical scattering measurements and implications on thermal noise in Gravitational Wave detectors test-mass coatings. Phys. Lett. A 2018, 382, 2259–2264. [Google Scholar] [CrossRef]
- Abadie, J.; Abbott, B.P.; Abbott, R.; Abbott, T.D.; Abernathy, M.; Adams, C.; Adhikari, R.; Affeldt, C.; Allen, B.; Allen, G.S.; et al. A gravitational wave observatory operating beyond the quantum shot-noise limit. Nat. Phys. 2011, 7, 962. [Google Scholar]
- Canuel, B.; Genin, E.; Vajente, G.; Marque, J. Displacement noise from back scattering and specular reflection of input optics in advanced gravitational wave detectors. Opt. Express 2013, 21, 10546–10562. [Google Scholar] [CrossRef]
- Ottaway, D.J.; Fritschel, P.; Waldman, S.J. Impact of upconverted scattered light on advanced interferometric gravitational wave detectors. Opt. Express 2012, 20, 8329–8336. [Google Scholar] [CrossRef]
- Vinet, J.Y.; Brisson, V.; Braccini, S. Scattered light noise in gravitational wave interferometric detectors: Coherent effects. Phys. Rev. D 1996, 54, 1276–1286. [Google Scholar] [CrossRef]
- Flanagan, E.; Thorne, K. Scattered-Light Noise for LIGO (LIGO Technical Report LIGO-T950132-00-R). Available online: https://dcc.ligo.org/LIGO-T950132/public (accessed on 1 April 2021).
- DeSalvo, R.; Pelosi, G.; Pinto, I.M.; Selleri, S. Stepped beam pipes and helical baffles for scattered light absorption in future gravitational wave detectors. Rev. Sci. Instrum. 2020, 91, 054505. [Google Scholar] [CrossRef] [PubMed]
- Saulson, P.R. Fundamentals of Interferometric Gravitational Wave Detectors; World Scientific: Singapore, 1994. [Google Scholar]
- Villar, A.E.; Black, E.D.; DeSalvo, R.; Libbrecht, K.G.; Michel, C.; Morgado, N.; Pinard, L.; Pinto, I.M.; Pierro, V.; Galdi, V.; et al. Measurement of thermal noise in multilayer coatings with optimized layer thickness. Phys. Rev. D 2010, 81, 122001. [Google Scholar] [CrossRef] [Green Version]
- Harry, G.M.; Abernathy, M.R.; Becerra-Toledo, A.E.; Armandula, H.; Black, E.; Dooley, K.; Eichenfield, M.; Nwabugwu, C.; Villar, A.; Crooks, D.R.M.; et al. Titania-doped tantala/silica coatings for gravitational-wave detection. Class. Quantum Gravity 2006, 24, 405–415. [Google Scholar] [CrossRef]
- Penn, S.D.; Sneddon, P.H.; Armandula, H.; Betzwieser, J.C.; Cagnoli, G.; Camp, J.; Crooks, D.R.; Fejer, M.M.; Gretarsson, A.M.; Harry, G.M.; et al. Mechanical loss in Tantala/Silica dielectric mirror coatings. Class. Quantum Gravity 2003, 20, 2917. [Google Scholar] [CrossRef] [Green Version]
- Agresti, J.; Castaldi, G.; DeSalvo, R.; Galdi, V.; Pierro, V.; Pinto, I.M. Optimized multilayer dielectric mirror coatings for gravitational wave interferometers. In Advances in Thin-Film Coatings for Optical Applications III; International Society for Optics and Photonics: Bellingham, WA, USA, 2006; Volume 6286, p. 628608. [Google Scholar]
- Principe, M.; Pinto, I.M.; Pierro, V.; DeSalvo, R.; Taurasi, I.; Villar, A.E.; Black, E.D.; Libbrecht, K.G.; Michel, C.; Morgado, N.; et al. Material loss angles from direct measurements of broadband thermal noise. Phys. Rev. D 2015, 91, 022005. [Google Scholar] [CrossRef] [Green Version]
- Granata, M.; Saracco, E.; Morgado, N.; Cajgfinger, A.; Cagnoli, G.; Degallaix, J.; Dolique, V.; Forest, D.; Franc, J.; Michel, C.; et al. Mechanical loss in state-of-the-art amorphous optical coatings. Phys. Rev. D 2016, 93, 012007. [Google Scholar] [CrossRef] [Green Version]
- Granata, M.; Amato, A.; Cagnoli, G.; Coulon, M.; Degallaix, J.; Forest, D.; Mereni, L.; Michel, C.; Pinard, L.; Sassolas, B.; et al. Progress in the measurement and reduction of thermal noise in optical coatings for gravitational-wave detectors. Appl. Opt. 2020, 59, A229–A235. [Google Scholar] [CrossRef]
- Granata, M.; Amato, A.; Balzarini, L.; Canepa, M.; Degallaix, J.; Forest, D.; Dolique, V.; Mereni, L.; Michel, C.; Pinard, L.; et al. Amorphous optical coatings of present gravitational-wave interferometers. Class. Quantum Gravity 2020, 37, 095004. [Google Scholar] [CrossRef] [Green Version]
- Abernathy, M.; Amato, A.; Ananyeva, A.; Angelova, S.; Baloukas, B.; Bassiri, R.; Billingsley, G.; Birney, R.; Cagnoli, G.; Canepa, M.; et al. Exploration of co-sputtered Ta2O5-ZrO2 thin films for gravitational-wave detectors. arXiv 2021, arXiv:2103.14140. [Google Scholar] [CrossRef]
- Pan, H.W.; Wang, S.J.; Kuo, L.C.; Chao, S.; Principe, M.; Pinto, I.M.; DeSalvo, R. Thickness-dependent crystallization on thermal anneal for Titania/Silica nm-layer composites deposited by ion beam sputter method. Opt. Express 2014, 22, 29847–29854. [Google Scholar] [CrossRef]
- Cimma, B.; Forest, D.; Ganau, P.; Lagrange, B.; Mackowski, J.M.; Michel, C.; Montorio, J.L.; Morgado, N.; Pignard, R.; Pinard, L.; et al. Ion beam sputtering coatings on large substrates: Toward an improvement of the mechanical and optical performances. Appl. Opt. 2006, 45, 1436–1439. [Google Scholar] [CrossRef] [PubMed]
- Mazor, A.; Srolovitz, D.J.; Hagan, P.S.; Bukiet, A.B. Columnar growth in thin films. Phys. Rev. Lett. 1988, 60, 424. [Google Scholar] [CrossRef]
- Fletcher, N.H. Size effect in heterogeneous nucleation. J. Chem. Phys. 1958, 29, 572–576. [Google Scholar] [CrossRef]
- Callen, H.B.; Greene, R.F. On a theorem of irreversible thermodynamics. Phys. Rev. 1952, 86, 702. [Google Scholar] [CrossRef]
- Gilroy, K.S.; Phillips, W.A. An asymmetric double-well potential model for structural relaxation processes in amorphous materials. Philos. Mag. B 1981, 43, 5. [Google Scholar] [CrossRef]
- Harry, G.; Bodiya, T.P.; DeSalvo, R. (Eds.) Optical Coatings and Thermal Noise in Precision Measurement; Cambridge University Press: Cambridge, UK, 2012; Volume 12. [Google Scholar]
- Penn, S.D.; Harry, G.M.; Gretarsson, A.M.; Kittelberger, S.E.; Saulson, P.R.; Schiller, J.J.; Smith, J.R.; Swords, S.O. High quality factor measured in fused Silica. Rev. Sci. Instrum. 2001, 72, 3670–3673. [Google Scholar] [CrossRef] [Green Version]
- Busby, D.; Willems, P. Report to the 25 April 2003 Core Optics Downselect Committee Meeting. Available online: https://dcc.ligo.org/LIGO-T030087/public (accessed on 25 April 2021).
- Neilson, J.; Ausbeck, C.; Bennet, T.F.; Bobba, F.; Carapella, G.; Chiadini, F.; DeSalvo, G.; DeSalvo, R.; DiGiorgio, C.; Durante, O.; et al. Improving the precision of e-beam evaporation for nanolayered coatings. Appl. Opt. 2011, 50, C253–C256. [Google Scholar]
- Ramirez, L.; Mecartney, M.L.; Krumdieck, S.P. Nanocrystalline ZrO 2 thin films on silicon fabricated by pulsed-pressure metalorganic chemical vapor deposition (PP-MOCVD). J. Mater. Res. 2008, 23, 2202–2211. [Google Scholar] [CrossRef] [Green Version]
- Holzwarth, U.; Gibson, N. The Scherrer equation versus the’Debye-Scherrer equation. Nat. Nanotechnol. 2011, 6, 534. [Google Scholar] [CrossRef] [PubMed]
- Fazio, M.; Yang, L.; Menoni, C.S. Prediction of crystallized phases of amorphous Ta2O5-based mixed oxide thin films using density functional theory calculations. APL Mater. 2021, 9, 031106. [Google Scholar] [CrossRef]
- Linker, S.; Ausbeck, C.; Bennett, T.F.; DeSalvo, G.; DeSalvo, R.; Durante, O.; Granata, V.; Larsen, B.; LeBohec, T.; Miller, A.; et al. Maximum Size for Crystals Formed in Deposited Thin Film Glassy Matrix. In Preparation for Optics Express.
- Yang, L.; Fazio, M.; Vajente, G.; Ananyeva, A.; Billingsley, G.; Markosyan, A.; Bassiri, R.; Fejer, M.M.; Menoni, C.S. Structural evolution of binary oxide nanolaminates with annealing and its impact on room-temperature internal friction. arXiv 2020, arXiv:2010.04272. [Google Scholar]
- Glover, L.; Goff, M.; Linker, S.; Neilson, J.; Patel, J.; Pinto, I.; Principe, M.; Villarama, E.; Arriaga, E.; Barragan, E.; et al. A Multi-Step Approach to Assessing LIGO Test Mass Coatings. J. Phys. Conf. Ser. 2018, 957, 012010. [Google Scholar] [CrossRef]
- Yamamoto, H.; Tohoku University, Sendai, Japan. Personal communication, 1 June 2021.
- Tzarouchis, D.; Sihvola, A. Light scattering by a dielectric sphere: Perspectives on the Mie resonances. Appl. Sci. 2018, 8, 184. [Google Scholar] [CrossRef] [Green Version]
- Mie, G. Beiträge zur Optik trïber Medien, speziell kolloidaler Metallösungen. Ann. Phys. 1908, 330, 377–445. [Google Scholar] [CrossRef]
- Kerker, M. The Scattering of Light and Other Electromagnetic Radiation: Physical Chemistry: A Series of Monographs; Academic Press: Cambridge, MA, USA, 2013; Volume 22. [Google Scholar]






| SiO2 | ZrO2 | |||||||
|---|---|---|---|---|---|---|---|---|
| Layer Count | Overall Thickness (nm) | Number of Layers | Layer Thickness (nm) | Sum of Layers (nm) | Number of Layers | Layer Thickness (nm) | Sum of Layers (nm) | |
| 14 | 200.2 | 7 | 11.9 | 7 | 118.3 | |||
| 28 | 226.8 | 14 | 25.2 | 14 | 201.6 | |||
| 50 | 247.5 | 25 | 45.0 | 25 | 202.5 | |||
| 84 | 277.2 | 42 | 71.4 | 42 | 205.8 | |||
| 126 | 346.5 | 63 | 119.7 | 63 | 226.8 | |||
| 168 | 319.2 | 84 | 159.6 | 84 | 159.6 | |||
| 200 | 340.0 | 100 | 190.0 | 100 | 150.0 | |||
| 224 | 358.4 | 112 | 212.8 | 112 | 145.6 | |||
Publisher’s Note: MDPI stays neutral with regard to jurisdictional claims in published maps and institutional affiliations. |
© 2021 by the authors. Licensee MDPI, Basel, Switzerland. This article is an open access article distributed under the terms and conditions of the Creative Commons Attribution (CC BY) license (https://creativecommons.org/licenses/by/4.0/).
Share and Cite
Larsen, B.; Ausbeck, C.; Bennet, T.F.; DeSalvo, G.; DeSalvo, R.; LeBohec, T.; Linker, S.; Mondin, M.; Neilson, J. Crystallization in Zirconia Film Nano-Layered with Silica. Nanomaterials 2021, 11, 3444. https://doi.org/10.3390/nano11123444
Larsen B, Ausbeck C, Bennet TF, DeSalvo G, DeSalvo R, LeBohec T, Linker S, Mondin M, Neilson J. Crystallization in Zirconia Film Nano-Layered with Silica. Nanomaterials. 2021; 11(12):3444. https://doi.org/10.3390/nano11123444
Chicago/Turabian StyleLarsen, Brecken, Christopher Ausbeck, Timothy F. Bennet, Gilberto DeSalvo, Riccardo DeSalvo, Tugdual LeBohec, Seth Linker, Marina Mondin, and Joshua Neilson. 2021. "Crystallization in Zirconia Film Nano-Layered with Silica" Nanomaterials 11, no. 12: 3444. https://doi.org/10.3390/nano11123444
APA StyleLarsen, B., Ausbeck, C., Bennet, T. F., DeSalvo, G., DeSalvo, R., LeBohec, T., Linker, S., Mondin, M., & Neilson, J. (2021). Crystallization in Zirconia Film Nano-Layered with Silica. Nanomaterials, 11(12), 3444. https://doi.org/10.3390/nano11123444

