Impact of the Interband Transitions in Gold and Silver on the Dynamics of Propagating and Localized Surface Plasmons
Abstract
1. Introduction
2. Electronic and Optical Properties of Silver and Gold
3. Models of the Dielectric Functions
- the free-electron Drude-type DF :which describes the low frequency intraband contribution to the polarizability,
- the simplest effective DF :which accounts for contribution of the ITs in a form of a constant included in the real part of DF, and
- the more realistic, broad-frequency-range DF :which accounts for free-electron contribution and is frequency dependent in both the real and imaginary parts.
3.1. Free-Electron Drude-Type Dielectric Function
Dielectric Function for Metals and Semi-Metals Versus Kramers-Kronig Relations
3.2. Effective DF with Frequency Independent Contribution of the ITs
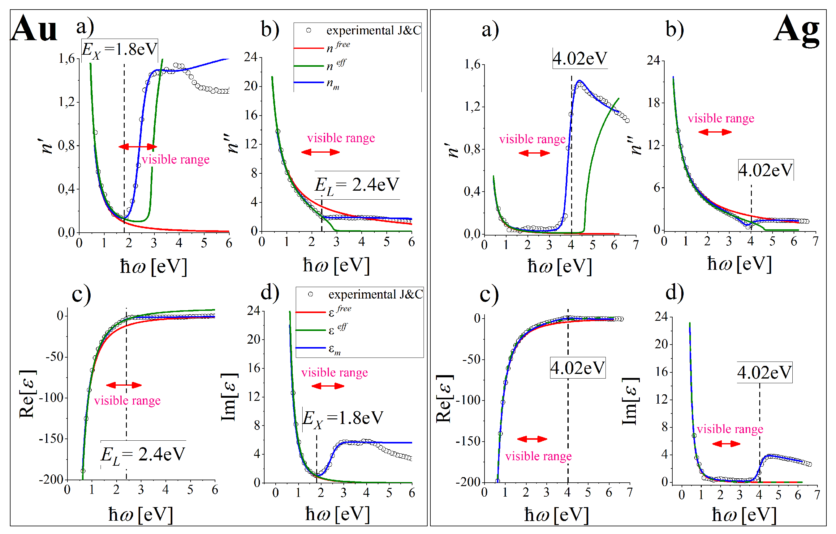
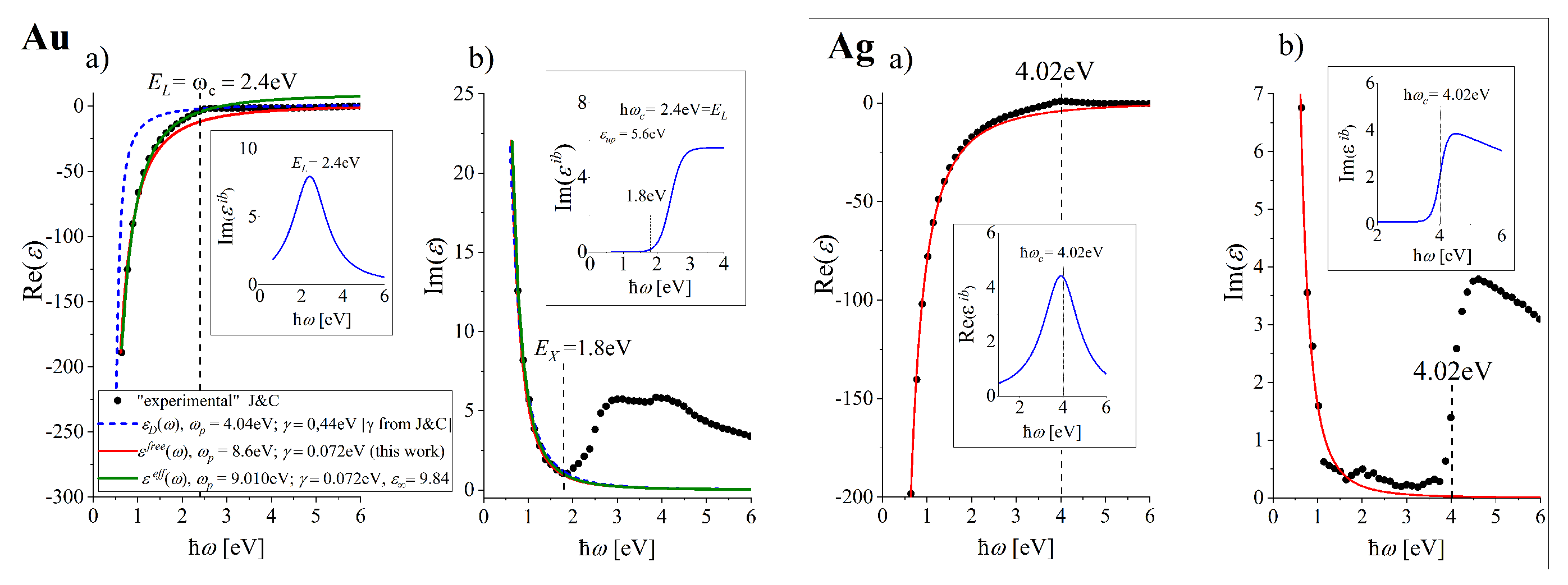
3.3. Frequency Dependence of the Its Reflected in DF for Realistically Described Gold and Silver
4. Characteristics of Surface Plasmons Supported by Metal-Dielectric Interfaces Derived from the Dispersion Relations
4.1. Flat Metal-Dielectric Interfaces
4.1.1. Ideal Free-Electron Metal—Perfect Localization
4.1.2. Lossy Metals
Modification of the Dispersion Relation by the Interband Transitions
Localization of SPP
Anomalous Dispersion of Surface Waves and Sub- and Superluminal Phase Velocities of SPP
4.1.3. Lengthscales of SPP for Realistic Gold and Silver Interfaces
The Oscillation Length and the Propagation Length of SPP
Confinement (Localization) Length of SPPs
4.2. Localised Surface Plasmons (LSPs)
4.2.1. LSP’s Resonance Frequencies and Damping Rates Versus MNP’s Radius
4.2.2. Quality Factors of LSP Modes Versus MNPs Radius
4.2.3. Cross-Section Spectra
5. Conclusions
Author Contributions
Funding
Conflicts of Interest
References
- Barnes, W.L.; Dereux, A.; Ebbesen, T.W. Surface plasmon subwavelength optics. Nature 2003, 424, 824–830. [Google Scholar] [CrossRef] [PubMed]
- Xiong, Y.; Liu, Z.; Sun, C.; Zhang, X. Two-dimensional imaging by far-field superlens at visible wavelengths. Nano Lett. 2007, 7, 3360–3365. [Google Scholar] [CrossRef] [PubMed]
- Rong, G.; Wang, H.; Skewis, L.R.; Reinhard, B.M. Resolving sub-diffraction limit encounters in nanoparticle tracking using live cell plasmon coupling microscopy. Nano Lett. 2008, 8, 3386–3393. [Google Scholar] [CrossRef] [PubMed]
- Atwater, H.A.; Polman, A. Plasmonics for improved photovoltaic devices. Nat. Mater. 2010, 9, 205–213. [Google Scholar] [CrossRef] [PubMed]
- Wang, Y.; Plummer, E.; Kempa, K. Foundations of plasmonics. Adv. Phys. 2011, 60, 799–898. [Google Scholar] [CrossRef]
- Green, M.A.; Pillai, S. Harnessing plasmonics for solar cells. Nat. Photonics 2012, 6, 130–132. [Google Scholar] [CrossRef]
- Couture, M.; Zhao, S.S.; Masson, J.F. Modern surface plasmon resonance for bioanalytics and biophysics. Phys. Chem. Chem. Phys. 2013, 15, 11190–11216. [Google Scholar] [CrossRef]
- Boriskina, S.V.; Ghasemi, H.; Chen, G. Plasmonic materials for energy: From physics to applications. Mater. Today 2013, 16, 375–386. [Google Scholar] [CrossRef]
- Tame, M.S.; McEnery, K.; Özdemir, Ş.; Lee, J.; Maier, S.A.; Kim, M. Quantum plasmonics. Nat. Phys. 2013, 9, 329–340. [Google Scholar] [CrossRef]
- Xu, H.; Li, Q.; Wang, L.; He, Y.; Shi, J.; Tang, B.; Fan, C. Nanoscale optical probes for cellular imaging. Chem. Soc. Rev. 2014, 43, 2650–2661. [Google Scholar] [CrossRef]
- Lee, M.; Kim, J.U.; Lee, K.J.; Ahn, S.; Shin, Y.B.; Shin, J.; Park, C.B. Aluminum nanoarrays for plasmon-enhanced light harvesting. ACS Nano 2015, 9, 6206–6213. [Google Scholar] [CrossRef]
- Li, J.; Cushing, S.K.; Meng, F.; Senty, T.R.; Bristow, A.D.; Wu, N. Plasmon-induced resonance energy transfer for solar energy conversion. Nat. Photonics 2015, 9, 601–607. [Google Scholar] [CrossRef]
- Kolwas, K.; Derkachova, A. Modification of Solar Energy Harvesting in Photovoltaic Materials by Plasmonic Nanospheres: New Absorption Bands in Perovskite Composite Film. J. Phys. Chem. C 2017, 121, 4524–4539. [Google Scholar] [CrossRef]
- McPhillips, J.; Murphy, A.; Jonsson, M.P.; Hendren, W.R.; Atkinson, R.; Höök, F.; Zayats, A.V.; Pollard, R.J. High-performance biosensing using arrays of plasmonic nanotubes. ACS Nano 2010, 4, 2210–2216. [Google Scholar] [CrossRef] [PubMed]
- Dykman, L.; Khlebtsov, N. Biomedical applications of multifunctional gold-based nanocomposites. Biochemistry 2016, 81, 1771–1789. [Google Scholar] [CrossRef]
- Kolwas, K.; Derkachova, A.; Jakubczyk, D. Tailoring Plasmon Resonances in Metal Nanospheres for Optical Diagnostics of Molecules and Cells. In Nanomedicine and Tissue Engineering, State Art Recent Trends; Kalarikkal, N., Augustine, R., Oluwafemi, O., Thomas, S., Eds.; Apple Academic Press: Waretown, NJ, USA, 2016; pp. 141–182. [Google Scholar]
- Scholl, J.A.; Koh, A.L.; Dionne, J.A. Quantum plasmon resonances of individual metallic nanoparticles. Nature 2012, 483, 421–427. [Google Scholar] [CrossRef]
- Zhao, M.; Wang, X.; Ren, S.; Xing, Y.; Wang, J.; Teng, N.; Zhao, D.; Liu, W.; Zhu, D.; Su, S.; et al. Cavity-Type DNA Origami-Based Plasmonic Nanostructures for Raman Enhancement. ACS Appl. Mater. Inter. 2017, 9, 21942–21948. [Google Scholar] [CrossRef]
- Stockman, M.I.; Kneipp, K.; Bozhevolnyi, S.I.; Saha, S.; Dutta, A.; Ndukaife, J.; Kinsey, N.; Reddy, H.; Guler, U.; Shalaev, V.M.; et al. Roadmap on plasmonics. J. Opt. 2018, 20, 043001. [Google Scholar] [CrossRef]
- Schirmer, S.G.; Solomon, A.I. Constraints on relaxation rates for N-level quantum systems. Phys. Rev. A 2004, 70, 022107. [Google Scholar] [CrossRef]
- Waks, E.; Sridharan, D. Cavity QED treatment of interactions between a metal nanoparticle and a dipole emitter. Phys. Rev. A 2010, 82, 043845. [Google Scholar] [CrossRef]
- Van Vlack, C.; Kristensen, P.T.; Hughes, S. Spontaneous emission spectra and quantum light-matter interactions from a strongly coupled quantum dot metal-nanoparticle system. Phys. Rev. B 2012, 85, 075303. [Google Scholar] [CrossRef]
- Martín-Cano, D.; Haakh, H.R.; Murr, K.; Agio, M. Large suppression of quantum fluctuations of light from a single emitter by an optical nanostructure. Phys. Rev. Lett. 2014, 113, 263605. [Google Scholar] [CrossRef]
- Delga, A.; Feist, J.; Bravo-Abad, J.; Garcia-Vidal, F. Quantum emitters near a metal nanoparticle: Strong coupling and quenching. Phys. Rev. Lett. 2014, 112, 253601. [Google Scholar] [CrossRef] [PubMed]
- Doost, M.; Langbein, W.; Muljarov, E.A. Resonant-state expansion applied to three-dimensional open optical systems. Phys. Rev. A 2014, 90, 013834. [Google Scholar] [CrossRef]
- Törmä, P.; Barnes, W.L. Strong coupling between surface plasmon polaritons and emitters: A review. Rep. Prog. Phys. 2014, 78, 013901. [Google Scholar] [CrossRef] [PubMed]
- Esteban, R.; Aizpurua, J.; Bryant, G.W. Strong coupling of single emitters interacting with phononic infrared antennae. New J. Phys. 2014, 16, 013052. [Google Scholar] [CrossRef]
- Sáez-Blázquez, R.; Feist, J.; Fernández-Domínguez, A.; García-Vidal, F. Enhancing photon correlations through plasmonic strong coupling. Optica 2017, 4, 1363–1367. [Google Scholar] [CrossRef]
- Hughes, S.; Richter, M.; Knorr, A. Quantized pseudomodes for plasmonic cavity QED. Opt. Lett. 2018, 43, 1834–1837. [Google Scholar] [CrossRef]
- Lobanov, S.; Langbein, W.; Muljarov, E. Resonant-state expansion of three-dimensional open optical systems: Light scattering. Phys. Rev. A 2018, 98, 033820. [Google Scholar] [CrossRef]
- Kolwas, K. Decay Dynamics of Localized Surface Plasmons: Damping of Coherences and Populations of the Oscillatory Plasmon Modes. Plasmonics 2019, 14, 1629–1637. [Google Scholar] [CrossRef]
- Pitarke, J.; Silkin, V.; Chulkov, E.; Echenique, P. Theory of surface plasmons and surface-plasmon polaritons. Rep. Prog. Phys. 2006, 70, 1. [Google Scholar] [CrossRef]
- Guerrisi, M.; Rosei, R.; Winsemius, P. Splitting of the interband absorption edge in Au. Phys. Rev. B 1975, 12, 557. [Google Scholar] [CrossRef]
- Johnson, P.; Christy, R. Optical constants of noble metals. Phys. Rev. B 1972, 6, 4370–4379. [Google Scholar] [CrossRef]
- Ordal, M.A.; Bell, R.J.; Alexander, R.W.; Long, L.L.; Querry, M.R. Optical properties of fourteen metals in the infrared and far infrared: Al, Co, Cu, Au, Fe, Pb, Mo, Ni, Pd, pt, Ag, Ti, V, and W. Appl. Opt. 1985, 24, 4493–4499. [Google Scholar] [CrossRef] [PubMed]
- Palik, E.D. Handbook of Optical Constants of Solids; Academic Press: New York NY, USA, 1998; Volume 3. [Google Scholar]
- Blanchard, N.; Smith, C.; Martin, D.; Hayton, D.; Jenkins, T.; Weightman, P. High-resolution measurements of the bulk dielectric constants of single crystal gold with application to reflection anisotropy spectroscopy. Phys. Status Solidi 2003, 8, 2931–2937. [Google Scholar] [CrossRef]
- Polyanskiy, M. RefractiveIndex.INFO. Available online: https://refractiveindex.info (accessed on 18 July 2020).
- Kreibig, U.; Vollmer, M. Optical Properties of Metal Clusters; Springer: Berlin/Heidelberg, Germany, 1995. [Google Scholar]
- Khurgin, J.B. Ultimate limit of field confinement by surface plasmon polaritons. Faraday Discuss. 2015, 178, 109–122. [Google Scholar] [CrossRef]
- Khurgin, J.; Tsai, W.Y.; Tsai, D.P.; Sun, G. Landau damping and limit to field confinement and enhancement in plasmonic dimers. ACS Photonics 2017, 4, 2871–2880. [Google Scholar] [CrossRef]
- Maier, S.A. Plasmonics: Fundamentals and Applications; Springer Science + Business Media: Berlin/Heidelberg, Germany, 2007. [Google Scholar]
- Derkachova, A.; Kolwas, K.; Demchenko, I. Dielectric Function for Gold in Plasmonics Applications: Size Dependence of Plasmon Resonance Frequencies and Damping Rates for Nanospheres. Plasmonics 2016, 11, 941–951. [Google Scholar] [CrossRef]
- Etchegoin, P.G.; Le Ru, E.; Meyer, M. An analytic model for the optical properties of gold. J. Chem. Phys. 2006, 125, 164705. [Google Scholar] [CrossRef]
- Hao, F.; Nordlander, P. Efficient dielectric function for FDTD simulation of the optical properties of silver and gold nanoparticles. Chem. Phys. Lett. 2007, 446, 115–118. [Google Scholar] [CrossRef]
- Rioux, D.; Vallières, S.; Besner, S.; Muñoz, P.; Mazur, E.; Meunier, M. An analytic model for the dielectric function of Au, Ag, and their alloys. Adv. Opt. Mater. 2014, 2, 176–182. [Google Scholar] [CrossRef]
- Pyykko, P.; Desclaux, J.P. Relativity and the periodic system of elements. Acc. Chem. Res. 1979, 12, 276–281. [Google Scholar] [CrossRef]
- Dresselhaus, M.S. “Solid state physics”, Lecture Notes, Part II; Optical Properties of Solids; Massachusetts Institute of Technology: Cambridge, MA, USA, 2001; Volume 17. [Google Scholar]
- Wooten, F. Optical Properties of Solids; Academic Press: New York NY, USA, 1972. [Google Scholar]
- Beversluis, M.R.; Bouhelier, A.; Novotny, L. Continuum generation from single gold nanostructures through near-field mediated intraband transitions. Phys. Rev. B 2003, 68, 115433. [Google Scholar] [CrossRef]
- Ngoc, L.L.T.; Wiedemair, J.; van den Berg, A.; Carlen, E.T. Plasmon-modulated photoluminescence from gold nanostructures and its dependence on plasmon resonance, excitation energy, and band structure. Opt. Express 2015, 23, 5547–5564. [Google Scholar] [CrossRef] [PubMed]
- Toropov, A.A.; Shubina, T.V. Plasmonic Effects in Metal-Semiconductor Nanostructures; OUP: Oxford, UK, 2015; Volume 19. [Google Scholar]
- Fuchs, R.; Halevi, P. Spatial Dispersion in Solids and Plasmas; North-Holland: Amsterdam, The Netherlands; New York, NY, USA, 1992. [Google Scholar]
- Oubre, C.; Nordlander, P. Optical properties of metallodielectric nanostructures calculated using the finite difference time domain method. J. Phys. Chem. B 2004, 108, 17740–17747. [Google Scholar] [CrossRef]
- Grady, N.K.; Halas, N.J.; Nordlander, P. Influence of dielectric function properties on the optical response of plasmon resonant metallic nanoparticles. Chem. Phys. Lett. 2004, 399, 167–171. [Google Scholar] [CrossRef]
- Blaber, M.G.; Arnold, M.D.; Ford, M.J. Search for the ideal plasmonic nanoshell: the effects of surface scattering and alternatives to gold and silver. J. Phys. Chem. C 2009, 113, 3041–3045. [Google Scholar] [CrossRef]
- Zeman, E.J.; Schatz, G.C. An accurate electromagnetic theory study of surface enhancement factors for silver, gold, copper, lithium, sodium, aluminum, gallium, indium, zinc, and cadmium. J. Phys. Chem. 1987, 91, 634–643. [Google Scholar] [CrossRef]
- Stenzel, O. The Physics of Thin Film Optical Spectra; Springer: Berlin/Heidelberg, Germany; New York, NY, USA, 2015. [Google Scholar]
- Lee, M.H.; Sindoni, O. Kramers-Kronig relations with logarithmic kernel and application to the phase spectrum in the Drude model. Phys. Rev. E 1997, 56, 3891. [Google Scholar] [CrossRef]
- Kreibig, U. Kramers Kronig analysis of the optical properties of small silver particles. Z. Phys. 1970, 234, 307–318. [Google Scholar] [CrossRef]
- Smith, N. Classical generalization of the Drude formula for the optical conductivity. Phys. Rev. B 2001, 64, 155106. [Google Scholar] [CrossRef]
- Sernelius, B.E. Surface Modes in Physics; Wiley-VCH: Berlin, Germany, 2011. [Google Scholar]
- Kolwas, K.; Derkachova, A.; Shopa, M. Size characteristics of surface plasmons and their manifestation in scattering properties of metal particles. JQSRT 2009, 110, 1490–1501. [Google Scholar] [CrossRef]
- Kolwas, K.; Derkachova, A. Damping rates of surface plasmons for particles of size from nano-to micrometers; reduction of the nonradiative decay. JQSRT 2013, 114, 45–55. [Google Scholar] [CrossRef]
- Kolwas, K.; Derkachova, A. Plasmonic abilities of gold and silver spherical nanoantennas in terms of size dependent multipolar resonance frequencies and plasmon damping rates. Opto-Electron. Rev. 2010, 18, 429–437. [Google Scholar] [CrossRef][Green Version]
- Ruppin, R. Electromagnetic Surface Modes; Wiley: Chichester, UK, 1982; Volume 9, p. 349. [Google Scholar]
- Kolwas, K.; Derkachova, A.; Demianiuk, S. The smallest free-electron sphere sustaining multipolar surface plasmon oscillation. Comput. Mat. Sci. 2006, 35, 337–341. [Google Scholar] [CrossRef][Green Version]
- Derkachova, A.; Kolwas, K. Size dependence of multipolar plasmon resonance frequencies and damping rates in simple metal spherical nanoparticles. Eur. Phys. J. Spec. Top. 2007, 144, 93–99. [Google Scholar] [CrossRef]
- Hooper, I.R.; Barnes, W.L. The Basics of Plasmonics. Handb. Surf. Sci. 2014, 4, 34–74. [Google Scholar] [CrossRef]
- Dragoman, M.; Dragoman, D. Plasmonics: Applications to nanoscale terahertz and optical devices. Prog. Quantum Electron. 2008, 32, 1–41. [Google Scholar] [CrossRef]
- Baltar, H.; Drozdowicz-Tomsia, K.; Goldys, E.M. Propagating surface plasmons and dispersion relations for nanoscale multilayer metallic-dielectric films. In Plasmonics—Principles and Applications; Intech: Rijeka, Croatia, 2012; pp. 135–156. [Google Scholar]
- Szunerits, S.; Boukherroub, R. Introduction to Plasmonics: Advances and Applications; Jenny Stanford Publishing: London, UK, 2015. [Google Scholar]
- Maradudin, A.; Sambles, J.R.; Barnes, W.L. Modern Plasmonics; Elsevier Science: Amsterdam, The Netherlands, 2014. [Google Scholar]
- Lee, H.I.; Mok, J. How Backward Poynting Flows Arise for Surface Plasmon Waves with Lossy Metals. Plasmonics 2019, 15, 679–691. [Google Scholar] [CrossRef]
- Bliokh, K.Y.; Nori, F. Transverse spin of a surface polariton. Phys. Rev. A 2012, 85, 061801. [Google Scholar] [CrossRef]
- Born, M.; Wolf, E. Principles of Optics: Electromagnetic Theory of Propagation, Interference and Diffraction of Light; Cambridge University Press: Cambridge, UK, 1999. [Google Scholar]
- Mie, G. Beiträge zur optik trüber medien, speziell kolloidaler metallösungen. Ann. Phys. 1908, 25, 377–445. [Google Scholar] [CrossRef]
- Bohren, C.F.; Huffman, D.R. Absorption and Scattering of Light by Small Particles; Wiley Science Paperback Series; John Wiley & Sons: Weinheim, Germany, 1983. [Google Scholar]
- Quinten, M. Optical Properties of Nanoparticle Systems: Mie and Beyond; John Wiley & Sons: Weinheim, Germany, 2011. [Google Scholar]
- Hergert, W.; Wriedt, T. The Mie Theory: Basics and Applications; Springer Series in Optical Sciences; Springer: New York, NY, USA, 2012; Volume 169. [Google Scholar]
- Ashcroft, N.; Mermin, N. Solid State Physics; Cengage Learning: Belmont, CA, USA, 2011. [Google Scholar]
- Novo, C.; Gomez, D.; Perez-Juste, J.; Zhang, Z.; Petrova, H.; Reismann, M.; Mulvaney, P.; Hartland, G.V. Contributions from radiation damping and surface scattering to the linewidth of the longitudinal plasmon band of gold nanorods: a single particle study. Phys. Chem. Chem. Phys. 2006, 8, 3540–3546. [Google Scholar] [CrossRef] [PubMed]
- Sönnichsen, C. Plasmons in Metal Nanostructures. Ph.D. Thesis, LMU Munich, Munich, Germany, 2001. [Google Scholar]
- Khlebtsov, N.G.; Dykman, L.A. Optical properties and biomedical applications of plasmonic nanoparticles. JQSRT 2010, 111, 1–35. [Google Scholar] [CrossRef]
- Njoki, P.N.; Lim, I.I.S.; Mott, D.; Park, H.Y.; Khan, B.; Mishra, S.; Sujakumar, R.; Luo, J.; Zhong, C.J. Size correlation of optical and spectroscopic properties for gold nanoparticles. J. Phys. Chem. C 2007, 111, 14664–14669. [Google Scholar] [CrossRef]
- Zuloaga, J.; Nordlander, P. On the energy shift between near-field and far-field peak intensities in localized plasmon systems. Nano Lett. 2011, 11, 1280–1283. [Google Scholar] [CrossRef] [PubMed]
- Kats, M.A.; Yu, N.; Genevet, P.; Gaburro, Z.; Capasso, F. Effect of radiation damping on the spectral response of plasmonic components. Opt. Express 2011, 19, 21748–21753. [Google Scholar] [CrossRef]
- Cacciola, A.; Iatì, M.; Saija, R.; Borghese, F.; Denti, P.; Maragò, O.; Gucciardi, P. Spectral shift between the near-field and far-field optoplasmonic response in gold nanospheres, nanoshells, homo-and hetero-dimers. J. Quant. Spectrosc. Radiat. Transf. 2016. [Google Scholar] [CrossRef]
- Schider, G.; Krenn, J.R.; Hohenau, A.; Ditlbacher, H.; Leitner, A.; Aussenegg, F.R.; Schaich, W.L.; Puscasu, I.; Monacelli, B.; Boreman, G. Plasmon dispersion relation of Au and Ag nanowires. Phys. Rev. B 2003, 68, 155427. [Google Scholar] [CrossRef]
- Kostiučenko, O.; Fiutowski, J.; Kawalec, T.; Bordo, V.; Rubahn, H.G.; Jozefowski, L. Surface plasmon polariton dispersion relation at organic/dielectric/metal interfaces. Opt. Commun. 2014, 331, 77–81. [Google Scholar] [CrossRef]
- Kawalec, T.; Sierant, A.; Panaś, R.; Fiutowski, J.; Bartoszek-Bober, D.; Józefowski, L.; Rubahn, H.G. Surface plasmon polaritons probed with cold atoms. Plasmonics 2018, 13, 639–644. [Google Scholar] [CrossRef]
- Dionne, J.; Sweatlock, L.; Atwater, H.; Polman, A. Planar metal plasmon waveguides: Frequency-dependent dispersion, propagation, localization, and loss beyond the free electron model. Phys. Rev. B 2005, 72, 075405. [Google Scholar] [CrossRef]














| External | Fitted | Nr | |||||||
|---|---|---|---|---|---|---|---|---|---|
| Interband Contribution | Free electrons Contribution | ||||||||
| [eV] | S [1/eV] | A [eV] | [eV] | [eV] | [eV] | ||||
| Au | 2.4 | 5.6 | - | 5.87 | 7.78 | 0.977 | 8.6 | 0.072 | 7 |
| Ag | 3.9 | 6.37–0.54 [1/eV] | 0.1 | 7.90 | 4.02 | 1.00 | 9.0 | 0.020 | 8 |
© 2020 by the authors. Licensee MDPI, Basel, Switzerland. This article is an open access article distributed under the terms and conditions of the Creative Commons Attribution (CC BY) license (http://creativecommons.org/licenses/by/4.0/).
Share and Cite
Kolwas, K.; Derkachova, A. Impact of the Interband Transitions in Gold and Silver on the Dynamics of Propagating and Localized Surface Plasmons. Nanomaterials 2020, 10, 1411. https://doi.org/10.3390/nano10071411
Kolwas K, Derkachova A. Impact of the Interband Transitions in Gold and Silver on the Dynamics of Propagating and Localized Surface Plasmons. Nanomaterials. 2020; 10(7):1411. https://doi.org/10.3390/nano10071411
Chicago/Turabian StyleKolwas, Krystyna, and Anastasiya Derkachova. 2020. "Impact of the Interband Transitions in Gold and Silver on the Dynamics of Propagating and Localized Surface Plasmons" Nanomaterials 10, no. 7: 1411. https://doi.org/10.3390/nano10071411
APA StyleKolwas, K., & Derkachova, A. (2020). Impact of the Interband Transitions in Gold and Silver on the Dynamics of Propagating and Localized Surface Plasmons. Nanomaterials, 10(7), 1411. https://doi.org/10.3390/nano10071411

