Next Issue
Volume 13, December
Previous Issue
Volume 13, October
 
 

Computation, Volume 13, Issue 11 (November 2025) – 25 articles

Cover Story (view full-size image): Rigid body simulation is widely used in robotics, games, and films, and the demand for higher performance continues to grow. As performance scaling reaches its limits, parallel scale-out becomes essential, yet rigid body simulation remains difficult to parallelize efficiently. This paper proposes a GPU-oriented method that accelerates large-scale scenes by hierarchically clustering rigid bodies and mapping these clusters to the GPU’s hardware structure. We further relax the traditional Gauss–Seidel block-parallel condition and show that convergence is preserved. Experiments comparing our approach with widely used physics engines demonstrate that our method achieves significantly faster computation without notable loss of accuracy, enabling performance previously unattainable with existing techniques. View this paper
  • Issues are regarded as officially published after their release is announced to the table of contents alert mailing list.
  • You may sign up for e-mail alerts to receive table of contents of newly released issues.
  • PDF is the official format for papers published in both, html and pdf forms. To view the papers in pdf format, click on the "PDF Full-text" link, and use the free Adobe Reader to open them.
Order results
Result details
Section
Select all
Export citation of selected articles as:
27 pages, 3358 KB  
Article
Computational Infrastructure for Modern Greek: From Grammar to Ontology
by Nikoletta E. Samaridi, Nikitas N. Karanikolas, Evangelos C. Papakitsos and Christos Skourlas
Computation 2025, 13(11), 272; https://doi.org/10.3390/computation13110272 - 19 Nov 2025
Viewed by 1063
Abstract
This study presents a comprehensive NLP infrastructure for Modern Greek that bridges grammatical analysis and ontological representation, integrating linguistic theory, algorithmic modeling, and semantic structuring within a unified computational framework. Modern Greek remains under-resourced in terms of interoperable linguistic tools, with existing systems [...] Read more.
This study presents a comprehensive NLP infrastructure for Modern Greek that bridges grammatical analysis and ontological representation, integrating linguistic theory, algorithmic modeling, and semantic structuring within a unified computational framework. Modern Greek remains under-resourced in terms of interoperable linguistic tools, with existing systems addressing morphology, syntax, or semantics separately. The proposed system fills this gap by connecting data extraction, morphological generation, and syntactic analysis within a single executable environment, validated through diagnostic evaluation and ontology consistency checking. Linguistic data were automatically retrieved from the Dictionary of Standard Modern Greek (55,101 entries), processed through Python-based algorithms, and integrated into an ontology in Protégé. The resulting ontology captures grammatical and semantic relations with high precision and supports reasoning, interoperability, and linguistic knowledge expansion. The system transforms grammatical knowledge into ontological knowledge, providing a scalable linguistic foundation for future advancements in Natural Language Processing and Understanding for Modern Greek. Full article
Show Figures

Figure 1

38 pages, 13087 KB  
Article
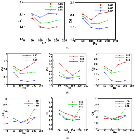
Wake Dynamics and Vortex Synchronization in Multi-Cylinder Arrays: A Computational Insight into Aerodynamic Performance and Flow Interference
by Sunil Chamoli, Chidanand K. Mangrulkar, Anirudh Uniyal, Mohit Bhatt, Nikhil Joshi, Abhishek Rawat, Kapil Bhatt, Pawan Kumar Pant, Varesa Chuwattanakul and Smith Eiamsa-ard
Computation 2025, 13(11), 271; https://doi.org/10.3390/computation13110271 - 18 Nov 2025
Viewed by 821
Abstract
This study presents a detailed computational investigation of unsteady laminar flow around two-dimensional square cylinders arranged in multiple configurations. Simulations were performed using ANSYS Fluent 2019 at Reynolds numbers ranging from 50 to 200, with three geometric layouts as follows: two vertically aligned [...] Read more.
This study presents a detailed computational investigation of unsteady laminar flow around two-dimensional square cylinders arranged in multiple configurations. Simulations were performed using ANSYS Fluent 2019 at Reynolds numbers ranging from 50 to 200, with three geometric layouts as follows: two vertically aligned cylinders, three inline cylinders, and three staggered cylinders. Center-to-center spacing ratios of 1.5D, 2.5D, and 3.5D were evaluated to assess wake interference, vortex shedding behavior, and aerodynamic force fluctuations. Results reveal that a close spacing (1.5D) causes strong wake coupling and highly irregular flow behavior, especially with inline configurations, leading to amplified drag and suppressed vortex shedding with downstream cylinders. In contrast, a staggered three-cylinder arrangement at 3.5D spacing exhibits regular vortex shedding, uniform force distribution, and minimized flow-induced oscillations, indicating aerodynamic stability. The Strouhal number, computed using FFT analysis, confirms the onset of periodic shedding at higher Reynolds numbers and highlights optimal synchronization at wider spacings. The study concludes that staggered configurations with appropriate spacing outperform inline setups in terms of flow control, dynamic stability, and reduced aerodynamic interference, offering insights relevant to high-rise building clusters and industrial heat exchanger design. Full article
(This article belongs to the Section Computational Engineering)
Show Figures

Graphical abstract

19 pages, 4095 KB  
Article
Consideration of Spatially Infinite Loads in the Problem for a Layer with a Cylindrical Cavity and Continuous Supports
by Nataliia Ukrayinets, Tetyana Alyoshechkina, Vitaly Miroshnikov, Oleksandr Savin, Basheer Younis, Vitalii Vynohradov and Olena Murahovska
Computation 2025, 13(11), 270; https://doi.org/10.3390/computation13110270 - 17 Nov 2025
Cited by 1 | Viewed by 528
Abstract
An analytical method is proposed for determining the stress-strain state in an elastic layer with a cylindrical cavity supported by linear continuous supports perpendicular to the cavity. The need for such a development is due to the fact that in aerospace and mechanical [...] Read more.
An analytical method is proposed for determining the stress-strain state in an elastic layer with a cylindrical cavity supported by linear continuous supports perpendicular to the cavity. The need for such a development is due to the fact that in aerospace and mechanical engineering, structural elements are often affected by loads and supports described by infinite functions. This complicates the calculation for spatial bodies with complex geometry and stress concentrators. The methodology is based on the generalized Fourier method within the spatial problem of elasticity theory. The model is considered as a layer with specified stresses at the outer boundaries, where the reactions of the supports are represented as applied loads. A combined approach is used to describe the geometry using a Cartesian coordinate system for the layer and a cylindrical coordinate system for the cavity. The key idea is to decompose the original problem into two simpler ones using the principle of superposition. Auxiliary problem: the stresses in a solid layer (without a cavity) are calculated to determine the stress fields at its nominal location. Main problem: a layer with a cavity is considered, on the surface of which the stresses calculated in the first step are acting but taken with the opposite sign. The complete solution is the sum of the solutions of these two problems. Each of them is reduced to an infinite system of linear algebraic equations, which is solved by the method of reduction. This approach makes it possible to calculate the stress-strain state at any point of the body with high accuracy. Numerical analysis confirmed the correctness of satisfying the boundary conditions and showed the dependence of stresses on the nature of the distributed loads. The cylindrical cavity acts as a stress concentrator, which leads to a local increase in stresses σx and σz at the upper and lower boundaries of the layer to values that exceed both the applied load by and the calculated resistance of concrete of class C25/30. Full article
(This article belongs to the Section Computational Engineering)
Show Figures

Graphical abstract

17 pages, 1236 KB  
Article
Beyond Correlation: An Explainable AI Framework for Diagnosing the Contextual Drivers of Financial Inclusion on Universal Health Coverage in the Arab World
by Hasan Mhd Nazha, Mhd Ayham Darwich and Masah Alomari
Computation 2025, 13(11), 269; https://doi.org/10.3390/computation13110269 - 16 Nov 2025
Viewed by 951
Abstract
Universal Health Coverage (UHC) remains a core Sustainable Development Goal challenge for Arab nations, with structural inequalities and conflict ongoing in threatening equal access to health. Although literature concurs on the presence of a relationship between UHC and financial inclusion, contextual mechanisms underpinning [...] Read more.
Universal Health Coverage (UHC) remains a core Sustainable Development Goal challenge for Arab nations, with structural inequalities and conflict ongoing in threatening equal access to health. Although literature concurs on the presence of a relationship between UHC and financial inclusion, contextual mechanisms underpinning this relationship remain poorly understood. This study offers an integrated Explainable AI (XAI)–Econometric methodology to unveil how financial inclusion—through digital as well as physical channels for services—drives UHC progress in 17 Arab nations (2011–2022). With the use of Feasible Generalized Least Squares (FGLS), Panel-Corrected Standard Errors (PCSE), and Random Forest regression with SHAP (SHapley Additive exPlanations) values, we estimate both average causal and heterogeneous contextual effects. The combined model increases predictive strength by 18% over conventional econometric baselines (R2 = 0.83), while the SHAP results identified top predicators. The findings suggest that ATM density and electricity access remain the overriding drivers of UHC whereas digital financial services play a role only with the complement of strong public health expenditures. The diagnostic result allows policymakers to designate country-specific challenges and prioritize joint investments in infrastructure and inclusive finance. While data constraints in conflict settings need cautious interpretation, the proposed XAI–econometric strategy supplies a replicable methodology template for contextualized SDG diagnostics. Full article
(This article belongs to the Section Computational Social Science)
Show Figures

Figure 1

21 pages, 2267 KB  
Article
Detection, Taxonomic Characterization, and Modeling of Extreme Operational Gusts in La Ventosa, Oaxaca, Mexico
by Ángel D. J. Guillén-Olivera, Efraín Dueñas-Reyes, Emmanuel Hernández-Mayoral, Isaac Montoya De Los Santos, Ricardo Carreño-Aguilera and O. A. Jaramillo
Computation 2025, 13(11), 268; https://doi.org/10.3390/computation13110268 - 13 Nov 2025
Viewed by 1133
Abstract
Extreme Operational Gusts (EOGs) are critical for assessing the effects of extreme winds on Wind Energy Conversion Systems (WECSs). In regions like La Ventosa, Oaxaca, Mexico—characterized by strong and frequent gusts—the performance and reliability of low-power WECSs can be severely impacted. Traditionally, EOG [...] Read more.
Extreme Operational Gusts (EOGs) are critical for assessing the effects of extreme winds on Wind Energy Conversion Systems (WECSs). In regions like La Ventosa, Oaxaca, Mexico—characterized by strong and frequent gusts—the performance and reliability of low-power WECSs can be severely impacted. Traditionally, EOG effects have been analyzed using mathematical models from the IEC 61400-2 standard, which assumes a symmetric gust taxonomy. However, field data have revealed inconsistencies with this model, leading to the development of new asymmetrical taxonomies, such as Manwell’s. This study presents a taxonomic characterization of EOGs in La Ventosa using 1 Hz wind speed data collected over one year (December 2017–November 2018), during which 1655 events were detected. A dedicated detection method was implemented to capture gusts with amplitudes and durations exceeding the IEC range, allowing systematic classification of previously unrecognized patterns. Based on these results, a new taxonomy and a mathematical model were developed to simulate any identified gust. These tools provide more realistic simulations for improving WECS protection under extreme conditions. The analysis shows that Manwell’s taxonomy represents 50.39% of events, the proposed classification 37.04%, and IEC 61400-2 only 12.57%, underscoring its limited applicability to high-wind sites like La Ventosa. Full article
(This article belongs to the Section Computational Engineering)
Show Figures

Graphical abstract

32 pages, 9488 KB  
Article
A CAD-Integrated Framework for Dynamic Structural Topology Optimisation via Visual Programming
by Laura Sardone, Stefanos Sotiropoulos and Alessandra Fiore
Computation 2025, 13(11), 267; https://doi.org/10.3390/computation13110267 - 13 Nov 2025
Cited by 1 | Viewed by 1475
Abstract
Structural Topology Optimisation (STO) plays a critical role in computational engineering, enabling the creation of material-efficient, performance-driven structures. However, dynamic STO workflows, particularly those involving time-varying or seismic excitations, are often inaccessible to architects and engineers due to their reliance on standalone solvers, [...] Read more.
Structural Topology Optimisation (STO) plays a critical role in computational engineering, enabling the creation of material-efficient, performance-driven structures. However, dynamic STO workflows, particularly those involving time-varying or seismic excitations, are often inaccessible to architects and engineers due to their reliance on standalone solvers, large-scale data handling, and advanced programming skills. This paper introduces a Computer-Aided Design (CAD)-embedded, time-dependent STO framework built upon a modular, adjoint-based optimisation core integrated into a Visual Programming Language (VPL) interface. Implemented within a parametric CAD environment through a custom C# component, the framework embeds a MATLAB-based solver to support geometry definition, boundary condition control, and dynamic finite element analysis under harmonic and seismic loading. The resulting Graphical User Interface (GUI) lowers technical barriers by enabling users to iteratively configure STO parameters, manage meshing, and visualise real-time results. Case studies on tall building façades under earthquake excitation validate the framework’s ability to minimise displacement at targeted Degrees of Freedom (DOFs), dynamically adapt material distributions, and enhance structural resilience. By bridging high-fidelity computational methods with accessible visual workflows, the proposed system advances the integration of dynamic STO into both architectural and engineering practice. Full article
(This article belongs to the Special Issue Advanced Topology Optimization: Methods and Applications)
Show Figures

Graphical abstract

29 pages, 13677 KB  
Article
Normalized Laplacian Diffusion for Robust Cancer Pathway Extension and Critical Gene Identification from Limited Data
by Panisa Janyasupab, Apichat Suratanee and Kitiporn Plaimas
Computation 2025, 13(11), 266; https://doi.org/10.3390/computation13110266 - 10 Nov 2025
Cited by 1 | Viewed by 1321
Abstract
Cancer progression is primarily driven by disruptions in critical biological pathways, including ErbB signaling, p53-mediated apoptosis, and GSK3 signaling. However, experimental and clinical studies typically identify only limited disease-associated genes, challenging traditional pathway analysis methods that require larger gene sets. To overcome this [...] Read more.
Cancer progression is primarily driven by disruptions in critical biological pathways, including ErbB signaling, p53-mediated apoptosis, and GSK3 signaling. However, experimental and clinical studies typically identify only limited disease-associated genes, challenging traditional pathway analysis methods that require larger gene sets. To overcome this limitation, reliably expanded gene sets are required to align with cancer-related pathways. Although various propagation methods are available, the key challenge is to select techniques that can effectively propagate signals from limited seed gene sets through protein interaction networks, thereby generating robust, expanded sets capable of revealing pathway disruptions in cancer. In this study, the number of seed genes was systematically varied to evaluate the alignment of pathways obtained from different propagation methods with known pathways using Gene Ontology (GO) and Kyoto Encyclopedia of Genes and Genomes (KEGG) annotations. Among the evaluated propagation methods, normalized Laplacian diffusion (NLD) demonstrated the strongest alignment with reference pathways, with an average area under the ROC curve (AUC) of 95.11% and an area under precision–recall (AUPR) of 71.20%. Focusing specifically on well-established cancer pathways, we summarized the enriched pathways and discussed their biological relevance with limited gene input. Results from multiple runs were aggregated to identify genes consistently prioritized but absent from core pathway annotations, representing potential pathway extensions. Notable examples include RAC2 (ErbB pathway), FOXO3 and ESR1 (GSK3 signaling), and XIAP and BRD4 (p53 pathway), which were significantly associated with patient survival. Literature validation confirmed their biological relevance, underscoring their potential as prognostic markers and therapeutic targets. In summary, NLD-based diffusion proves effective for pathway discovery from limited input, extending beyond annotated members to reveal clinically relevant genes with therapeutic and biomarker potential. Full article
(This article belongs to the Special Issue Feature Papers in Computational Biology)
Show Figures

Figure 1

21 pages, 4639 KB  
Article
pyMKM: An Open-Source Python Package for Microdosimetric Kinetic Model Calculation in Research and Clinical Applications
by Giuseppe Magro, Vittoria Pavanello, Yihan Jia, Loïc Grevillot, Lars Glimelius and Andrea Mairani
Computation 2025, 13(11), 264; https://doi.org/10.3390/computation13110264 - 9 Nov 2025
Viewed by 1083
Abstract
Among existing radiobiological models, the MKM and its extensions (SMK and OSMK) have demonstrated strong predictive capabilities but remain computationally demanding. To address this, we present pyMKM v0.1.0, an open-source Python package for the generation of microdosimetric tables and radiobiological quantities based on [...] Read more.
Among existing radiobiological models, the MKM and its extensions (SMK and OSMK) have demonstrated strong predictive capabilities but remain computationally demanding. To address this, we present pyMKM v0.1.0, an open-source Python package for the generation of microdosimetric tables and radiobiological quantities based on these models. The package includes modules for track structure integration, saturation and stochastic corrections, oxygen modulation, and survival fraction computation. Validation was conducted against multiple published datasets across various ion species, LET values, and cell lines under both normoxic and hypoxic conditions. Quantitative comparisons showed high agreement with reference data, with average log errors typically below 0.06 and symmetric mean absolute percentage errors under 2%. The software achieved full unit test coverage and successful execution across multiple Python versions through continuous integration workflows. These results confirm the numerical accuracy, structural robustness, and reproducibility of pyMKM. The package provides a transparent, modular, and extensible tool for microdosimetric modeling in support of radiobiological studies, Monte Carlo-based dose calculation, and biologically guided treatment planning. Full article
(This article belongs to the Section Computational Biology)
Show Figures

Figure 1

15 pages, 3349 KB  
Article
Digging SiC Semiconductor Efficiency for Trapping Main Group Metals in Cell Batteries: Application of Computational Chemistry by Mastering the Density Functional Theory Study
by Fatemeh Mollaamin and Majid Monajjemi
Computation 2025, 13(11), 265; https://doi.org/10.3390/computation13110265 - 8 Nov 2025
Viewed by 802
Abstract
In this research article, a silicon carbide (SiC) nanocluster has been designed and characterized as an anode electrode for lithium (Li), sodium (Na), potassium (K), beryllium (Be), magnesium (Mg), boron (B), aluminum (Al) and gallium (Ga)-ion batteries through the formation of SiLiC, SiNaC, [...] Read more.
In this research article, a silicon carbide (SiC) nanocluster has been designed and characterized as an anode electrode for lithium (Li), sodium (Na), potassium (K), beryllium (Be), magnesium (Mg), boron (B), aluminum (Al) and gallium (Ga)-ion batteries through the formation of SiLiC, SiNaC, SiKC, SiBeC, SiMgC, SiBC, SiAlC and SiGaC nanoclusters. A vast study on energy-saving by SiLiC, SiNaC, SiKC, SiBeC, SiMgC, SiBC, SiAlC and SiGaC complexes was probed using computational approaches accompanying density state analysis of charge density differences (CDDs), total density of states (TDOS) and molecular electrostatic potential (ESP) for hybrid clusters of SiLiC, SiNaC, SiKC, SiBeC, SiMgC, SiBC, SiAlC and SiGaC. The functionalization of Li, Na, K, Be, Mg, B, Al and Ga metal/metalloid elements can raise the negative charge distribution of carbon elements as electron acceptors in SiLiC, SiNaC, SiKC, SiBeC, SiMgC, SiBC, SiAlC and SiGaC nanoclusters. Higher Si/C content can increase battery capacity through SiLiC, SiNaC, SiKC, SiBeC, SiMgC, SiBC, SiAlC and SiGaC nanoclusters for energy storage processes and to improve the rate performance by enhancing electrical conductivity. Full article
(This article belongs to the Section Computational Chemistry)
Show Figures

Figure 1

36 pages, 12082 KB  
Article
Comparative Study of Oscillator Dynamics Under Deterministic and Stochastic Influences with Soliton Robustness Darboux Transformations and Chaos Transition
by Maham Munawar, Adil Jhangeer and Mudassar Imran
Computation 2025, 13(11), 263; https://doi.org/10.3390/computation13110263 - 7 Nov 2025
Cited by 2 | Viewed by 1025
Abstract
This paper presents a comprehensive study of nonlinear wave and oscillator dynamics under both deterministic and stochastic influences. By comparing soliton-like and dispersive waveforms, we employ spectral solvers, Darboux transformations, and nonlinear diagnostics, including Lyapunov exponents, power spectral analysis, and multidimensional phase-space reconstructions, [...] Read more.
This paper presents a comprehensive study of nonlinear wave and oscillator dynamics under both deterministic and stochastic influences. By comparing soliton-like and dispersive waveforms, we employ spectral solvers, Darboux transformations, and nonlinear diagnostics, including Lyapunov exponents, power spectral analysis, and multidimensional phase-space reconstructions, to examine transitions from quasiperiodic motion to chaotic and stochastic regimes. The results highlight the robustness of soliton solutions in preserving energy and structure, in contrast to the degradation observed in dispersive waves under noise and damping. We also show that spectral broadening, entropy growth, and ergodic phase-space patterns are caused by the critical influence of initial conditions and noise intensity on system behavior. Incorporating control strategies such as OGY chaos control, this work provides a flexible framework for analyzing, modeling, and stabilizing nonlinear systems. Applications span nonlinear optics, fluid flows, and electrical lattices, offering insight into the interplay of nonlinearity and noise with implications for both theoretical understanding and practical system design. Full article
(This article belongs to the Section Computational Engineering)
Show Figures

Figure 1

18 pages, 4389 KB  
Article
An Efficient Filter Implementation Method and Its Applications in Topology Optimization Utilizing k-d Tree Data Structure
by Jingbo Huang, Ayesha Saeed, Kai Long, Yutang Chen, Rongrong Geng, Jiao Jia and Tao Tao
Computation 2025, 13(11), 262; https://doi.org/10.3390/computation13110262 - 6 Nov 2025
Viewed by 1061
Abstract
Topology optimization (TO) with the variable density concept has made significant advancements in academic research and engineering applications; yet it still encounters obstacles associated with computer inefficiencies in the filtering process. This work introduces a novel filter implementation method that significantly enhances the [...] Read more.
Topology optimization (TO) with the variable density concept has made significant advancements in academic research and engineering applications; yet it still encounters obstacles associated with computer inefficiencies in the filtering process. This work introduces a novel filter implementation method that significantly enhances the optimization process by adapting the k-d tree data structure. The proposed method converts traditional neighborhood search operations into extremely efficient spatial searches while preserving solution accuracy. This method inherently accommodates a comprehensive array of manufacturability constraints, including symmetry, local volume control, periodic patterning, stamping-oriented overhang control, and more, without compromising computational duration. Extensive numerical examples validate the proposed method’s efficiency yielding precise, scalable designs, achieving substantial acceleration relative to conventional methods The method demonstrates specific advantage in large scale optimization challenges and intricate complex geometric restrictions, encompassing unstructured meshes. This study explores a new paradigm for effective constraint integration in topology optimization through advanced data structures, providing extensive applicability in engineering design. Full article
(This article belongs to the Special Issue Advanced Topology Optimization: Methods and Applications)
Show Figures

Figure 1

21 pages, 775 KB  
Article
Computation in Algebraic Hyperstructures
by Yuming Feng, Enrico Talotti and Violeta Leoreanu-Fotea
Computation 2025, 13(11), 261; https://doi.org/10.3390/computation13110261 - 4 Nov 2025
Cited by 1 | Viewed by 877
Abstract
The concept of the relation β plays a central role in the study of hypercompositional structures. In this paper, we extend the definition of β to the general framework of hypergroupoids and develop an algorithm to compute its elements and its transitive closure [...] Read more.
The concept of the relation β plays a central role in the study of hypercompositional structures. In this paper, we extend the definition of β to the general framework of hypergroupoids and develop an algorithm to compute its elements and its transitive closure β. We then apply this algorithm to determine the β-class of partial identities in a hypergroup, a process equivalent to computing the heart of the given algebraic structure. Furthermore, we propose a more general algorithm that is also applicable to the case of Hv-groups. By extracting the quotient set with respect to β and endowing it with an appropriate group structure, we obtain the so-called fundamental group. The identity of this fundamental group can then be computed directly, yielding the heart of the structure. Full article
(This article belongs to the Section Computational Engineering)
Show Figures

Graphical abstract

21 pages, 4380 KB  
Article
Combination of Soviet-Era Surface Gravity and Modern Satellite Data for Geoid Model Computation: A Case Study for Kazakhstan
by Daniya Shoganbekova, Asset Urazaliyev, Serik Nurakynov, Magzhan Kozhakhmetov, Nailya Zhaksygul and Roman Sermiagin
Computation 2025, 13(11), 260; https://doi.org/10.3390/computation13110260 - 4 Nov 2025
Viewed by 1178
Abstract
Accurate geoid determination is essential for height system unification and for converting Global Navigation Satellite System (GNSS) ellipsoidal heights to orthometric heights. This study demonstrates a national-scale workflow that integrates digitized Soviet-era gravimetric maps at 1:200,000 scale with modern satellite and ancillary datasets [...] Read more.
Accurate geoid determination is essential for height system unification and for converting Global Navigation Satellite System (GNSS) ellipsoidal heights to orthometric heights. This study demonstrates a national-scale workflow that integrates digitized Soviet-era gravimetric maps at 1:200,000 scale with modern satellite and ancillary datasets to compute a high-resolution gravimetric geoid for Kazakhstan. Legacy gravity maps were systematically digitized, harmonized, and quality-controlled, then integrated with a global geopotential model (XGM2019e_2159) for long-wavelength information and a digital elevation model (FABDEM) for terrain corrections. Geoid computation employed the Least-Squares Modification of Stokes’ Formula, with spectral testing used to select optimal parameters; external control and validation relied on an extensive set of GNSS observations and geometric levelling benchmarks from the national network. The resulting geoid surface captures the country’s full topographic range, from the Caspian Depression to the Tien Shan and Altai. After regression-based removal of residual tilts linked to distortions in the Baltic 1977 height system, we achieved a root-mean-square error of 0.066 m. The integrated use of 1:200,000 gravity maps and modern satellite-derived models yields accuracy improvements over widely used global solutions, establishing a consistent vertical reference for Kazakhstan and supporting datum modernization, GNSS-based heighting, infrastructure development, and environmental monitoring. These results show that digitized Soviet-era gravity maps, when fused with modern satellite datasets, can provide robust, high-accuracy geoid solutions. Full article
(This article belongs to the Section Computational Engineering)
Show Figures

Figure 1

22 pages, 5388 KB  
Article
Statistical Synthesis and Analysis of Optimal Radar Imaging Algorithm for LFM-CW SAR
by Danyil Kovalchuk, Semen Zhyla, Volodymyr Trofymenko, Dmytro Vlasenko, Ihor Prokofiev, Oleksii Kosolapov and Maksym Vonsovych
Computation 2025, 13(11), 259; https://doi.org/10.3390/computation13110259 - 4 Nov 2025
Viewed by 758
Abstract
This paper presents a statistically grounded algorithm for surface imaging with linear frequency-modulated continuous wave synthetic aperture radar. The approach is based on the maximum likelihood principle, where solving the optimization problem naturally leads to the introduction of a spectral decorrelation filter. The [...] Read more.
This paper presents a statistically grounded algorithm for surface imaging with linear frequency-modulated continuous wave synthetic aperture radar. The approach is based on the maximum likelihood principle, where solving the optimization problem naturally leads to the introduction of a spectral decorrelation filter. The proposed method increases the effective number of statistically independent samples, reduces speckle, and improves the accuracy of radar cross section estimation. Simulation experiments demonstrate consistent advantages over classical SAR processing: the proposed method achieves up to a 21% improvement in feature similarity metrics and an average 4% improvement across standard quantitative image quality measures. Full article
Show Figures

Figure 1

36 pages, 1090 KB  
Article
Integrating Linguistic and Eye Movements Features for Arabic Text Readability Assessment Using ML and DL Models
by Ibtehal Baazeem, Hend Al-Khalifa and Abdulmalik Al-Salman
Computation 2025, 13(11), 258; https://doi.org/10.3390/computation13110258 - 3 Nov 2025
Viewed by 1796
Abstract
Evaluating text readability is crucial for supporting both language learners and native readers in selecting appropriate materials. Cognitive psychology research, leveraging behavioral data such as eye-tracking and electroencephalogram (EEG) signals, has demonstrated effectiveness in identifying cognitive activities associated with text difficulty during reading. [...] Read more.
Evaluating text readability is crucial for supporting both language learners and native readers in selecting appropriate materials. Cognitive psychology research, leveraging behavioral data such as eye-tracking and electroencephalogram (EEG) signals, has demonstrated effectiveness in identifying cognitive activities associated with text difficulty during reading. However, the distinctive linguistic characteristics of Arabic present unique challenges for applying such data in readability assessments. While behavioral signals have been explored for this purpose, their potential for Arabic remains underutilized. This study aims to advance Arabic readability assessments by integrating eye-tracking features into computational models. It presents a series of experiments that utilize both text-based and gaze-based features within machine learning (ML) and deep learning (DL) frameworks. The gaze-based features were extracted from the AraEyebility corpus, which contains eye-tracking data collected from 15 native Arabic speakers. The experimental results show that ensemble ML models, particularly AdaBoost with linguistic and eye-tracking handcrafted features, outperform ML models using TF-IDF and DL models employing word embedding vectorization. Among the DL models, convolutional neural networks (CNNs) achieved the best performance with combined linguistic and eye-tracking features. These findings underscore the value of cognitive data and emphasize the need for exploration to fully realize its potential in Arabic readability assessment. Full article
Show Figures

Figure 1

11 pages, 1711 KB  
Article
Investigation on the Flow and Heat Transfer Behavior of Molten Steel During Continuous Casting
by Guohui Li, Fengming Du, Tianyi Li and Shuai Zhang
Computation 2025, 13(11), 257; https://doi.org/10.3390/computation13110257 - 2 Nov 2025
Viewed by 1203
Abstract
The flow and heat transfer inside the mold play an important role in the quality of the casting billet during continuous casting. In this work, a three-dimensional coupled model of flow and heat transfer was established, and the flow field and temperature distribution [...] Read more.
The flow and heat transfer inside the mold play an important role in the quality of the casting billet during continuous casting. In this work, a three-dimensional coupled model of flow and heat transfer was established, and the flow field and temperature distribution characteristics of molten steel were explored in depth. The results indicated that the narrow impact position is 315 mm away from the meniscus. The maximum turbulence kinetic energy of the centerline reached 0.00284 m2∙s−2, 108 mm from the narrow surface. The temperature of the steel liquid on the path of the two splitting strands located in the upper and lower circulation zones was above 1781 K. The temperature range from the center of the billet to the narrow 1/4 section, which was enclosed by the upper annular flow zone and 400 mm below the liquid level, was relatively low and lower than the liquidus temperature. The model can provide guidance for improving and optimizing the quality of continuous casting billets. Full article
(This article belongs to the Special Issue Advances in Computational Methods for Fluid Flow)
Show Figures

Figure 1

45 pages, 4194 KB  
Article
AI-Driven Multi-Agent Energy Management for Sustainable Microgrids: Hybrid Evolutionary Optimization and Blockchain-Based EV Scheduling
by Abhirup Khanna, Divya Srivastava, Anushree Sah, Sarishma Dangi, Abhishek Sharma, Sew Sun Tiang, Jun-Jiat Tiang and Wei Hong Lim
Computation 2025, 13(11), 256; https://doi.org/10.3390/computation13110256 - 2 Nov 2025
Cited by 2 | Viewed by 4097
Abstract
The increasing complexity of urban energy systems requires decentralized, sustainable, and scalable solutions. The paper presents a new multi-layered framework for smart energy management in microgrids by bringing together advanced forecasting, decentralized decision-making, evolutionary optimization and blockchain-based coordination. Unlike previous research addressing these [...] Read more.
The increasing complexity of urban energy systems requires decentralized, sustainable, and scalable solutions. The paper presents a new multi-layered framework for smart energy management in microgrids by bringing together advanced forecasting, decentralized decision-making, evolutionary optimization and blockchain-based coordination. Unlike previous research addressing these components separately, the proposed architecture combines five interdependent layers that include forecasting, decision-making, optimization, sustainability modeling, and blockchain implementation. A key innovation is the use of Temporal Fusion Transformer (TFT) for interpretable multi-horizon forecasting of energy demand, renewable generation, and electric vehicle (EV) availability which outperforms conventional LSTM, GRU and RNN models. Another novelty is the hybridization of Genetic Algorithms (GA) and Particle Swarm Optimization (PSO), to simultaneously support discrete and continuous decision variables, allowing for dynamic pricing, efficient energy dispatching and adaptive EV scheduling. Multi-Agent Reinforcement Learning (MARL) which is improved by sustainability shaping by including carbon intensity, renewable utilization ratio, peak to average load ratio and net present value in agent rewards. Finally, Ethereum-based smart contracts add another unique contribution by providing the implementation of transparent and tamper-proof peer-to-peer energy trading and automated sustainability incentives. The proposed framework strengthens resilient infrastructure through decentralized coordination and intelligent optimization while contributing to climate mitigation by reducing carbon intensity and enhancing renewable integration. Experimental results demonstrate that the proposed framework achieves a 14.6% reduction in carbon intensity, a 12.3% increase in renewable utilization ratio, and a 9.7% improvement in peak-to-average load ratio compared with baseline models. The TFT-based forecasting model achieves RMSE = 0.041 kWh and MAE = 0.032 kWh, outperforming LSTM and GRU by 11% and 8%, respectively. Full article
(This article belongs to the Special Issue Evolutionary Computation for Smart Grid and Energy Systems)
Show Figures

Graphical abstract

15 pages, 21768 KB  
Article
Linear Heat Diffusion Inverse Problem Solution with Spatio-Temporal Constraints for 3D Finite Element Models
by Luis Fernando Alvarez-Velasquez and Eduardo Giraldo
Computation 2025, 13(11), 255; https://doi.org/10.3390/computation13110255 - 2 Nov 2025
Viewed by 654
Abstract
High-voltage ceramic insulators are routinely exposed to short-duration overvoltages such as lightning impulses, switching surges, and partial discharges. These events occur on microsecond to millisecond timescales and can produce highly localized thermal spikes that are difficult to measure directly but may compromise long-term [...] Read more.
High-voltage ceramic insulators are routinely exposed to short-duration overvoltages such as lightning impulses, switching surges, and partial discharges. These events occur on microsecond to millisecond timescales and can produce highly localized thermal spikes that are difficult to measure directly but may compromise long-term material integrity. This paper addresses the estimation of the internal temperature distribution immediately after a lightning impulse by solving a three-dimensional inverse heat conduction problem (IHCP). The forward problem is modeled by the transient heat diffusion equation with constant thermal diffusivity, discretized using the finite element method (FEM). Surface temperature measurements are assumed available from a 12 kV ceramic post insulator and are used to reconstruct the unknown initial condition. To address the ill-posedness of the IHCP, a spatio-temporal regularization framework is introduced and compared against spatial-only regularization. Numerical experiments investigate the effect of measurement time (T=60 s, 600 s, and 1800 s), mesh resolution (element sizes of 20 mm, 15 mm, and 10 mm), and measurement noise (σ=1 K and 5 K). The results show that spatio-temporal regularization significantly improves reconstruction accuracy and robustness to noise, particularly when early-time measurements are available. Moreover, it is observed that mesh refinement enhances accuracy but yields diminishing returns when measurements are delayed. These findings demonstrate the potential of spatio-temporal IHCP methods as a diagnostic tool for the condition monitoring of ceramic insulators subjected to transient electrical stresses. Full article
(This article belongs to the Section Computational Engineering)
Show Figures

Figure 1

23 pages, 5145 KB  
Article
Modeling Disease Dynamics in a Prey–Predator System with Competition, Fear, and Cooperative Hunting
by Alyaa Hussain Naser and Dahlia Khaled Bahlool
Computation 2025, 13(11), 254; https://doi.org/10.3390/computation13110254 - 2 Nov 2025
Viewed by 890
Abstract
This study developed an eco-epidemiological model of a prey–predator system with three populations—susceptible prey, infected prey, and predator—to model the transmission of disease and contact epidemiology based on direct interactions between susceptible and infected prey. For the predictive modeling to be relevant, we [...] Read more.
This study developed an eco-epidemiological model of a prey–predator system with three populations—susceptible prey, infected prey, and predator—to model the transmission of disease and contact epidemiology based on direct interactions between susceptible and infected prey. For the predictive modeling to be relevant, we developed a system and performed stability analysis at global and local scales to assess species persistence or extinction. We conducted bifurcation analysis to identify the optimal values of important parameters in which small modifications produced noticeable changes in the population dynamics. Under varying ecological and epidemiological elements, the simulation findings revealed population stability. Based on its effect on species survival and food chain dynamics, our results shed light on the function of cooperative hunting in preserving ecological equilibrium. We discuss how ecosystems are formed by disease and predator–prey interactions, offering data for wildlife management and conservation. Full article
(This article belongs to the Section Computational Biology)
Show Figures

Figure 1

19 pages, 3255 KB  
Article
A Hybrid Approach for Automated Identification of the Two-Phase Wellbore Flow Model
by Anton Gryzlov, Eugene Magadeev and Muhammad Arsalan
Computation 2025, 13(11), 253; https://doi.org/10.3390/computation13110253 - 2 Nov 2025
Viewed by 713
Abstract
It is demonstrated that the general representation of a dynamic multiphase wellbore flow model may be identified from the available physical measurements. The proposed approach is based on the techniques of numerical optimization and also requires the availability of solvers for the general [...] Read more.
It is demonstrated that the general representation of a dynamic multiphase wellbore flow model may be identified from the available physical measurements. The proposed approach is based on the techniques of numerical optimization and also requires the availability of solvers for the general type of partial differential equations describing two-phase gas–oil flow. A solution is obtained both for the case of the homogeneous no-slip model and the drift-flux model with velocity slip. The feasibility of the proposed approach for system identification and parameter estimation has been demonstrated using simulated flow data. Two distinct scenarios have been considered: firstly, when the well is fully instrumented with multiple pressure sensors and a multiphase flow meter, and secondly, when only a single downhole pressure gauge is available. Full article
(This article belongs to the Special Issue Advances in Computational Methods for Fluid Flow)
Show Figures

Figure 1

29 pages, 2147 KB  
Article
An Analysis of the Computational Complexity and Efficiency of Various Algorithms for Solving a Nonlinear Model of Radon Volumetric Activity with a Fractional Derivative of a Variable Order
by Dmitrii Tverdyi
Computation 2025, 13(11), 252; https://doi.org/10.3390/computation13110252 - 2 Nov 2025
Cited by 1 | Viewed by 1174
Abstract
The article presents a study of the computational complexity and efficiency of various parallel algorithms that implement the numerical solution of the equation in the hereditary α(t)-model of radon volumetric activity (RVA) in a storage chamber. As a test [...] Read more.
The article presents a study of the computational complexity and efficiency of various parallel algorithms that implement the numerical solution of the equation in the hereditary α(t)-model of radon volumetric activity (RVA) in a storage chamber. As a test example, a problem based on such a model is solved, which is a Cauchy problem for a nonlinear fractional differential equation with a Gerasimov–Caputo derivative of a variable order and variable coefficients. Such equations arise in problems of modeling anomalous RVA variations. Anomalous RVA can be considered one of the short-term precursors to earthquakes as an indicator of geological processes. However, the mechanisms of such anomalies are still poorly understood, and direct observations are impossible. This determines the importance of such mathematical modeling tasks and, therefore, of effective algorithms for their solution. This subsequently allows us to move on to inverse problems based on RVA data, where it is important to choose the most suitable algorithm for solving the direct problem in terms of computational resource costs. An analysis and an evaluation of various algorithms are based on data on the average time taken to solve a test problem in a series of computational experiments. To analyze effectiveness, the acceleration, efficiency, and cost of algorithms are determined, and the efficiency of CPU thread loading is evaluated. The results show that parallel algorithms demonstrate a significant increase in calculation speed compared to sequential analogs; hybrid parallel CPU–GPU algorithms provide a significant performance advantage when solving computationally complex problems, and it is possible to determine the optimal number of CPU threads for calculations. For sequential and parallel algorithms implementing numerical solutions, asymptotic complexity estimates are given, showing that, for most of the proposed algorithm implementations, the complexity tends to be n2 in terms of both computation time and memory consumption. Full article
(This article belongs to the Section Computational Engineering)
Show Figures

Figure 1

26 pages, 3560 KB  
Article
Intelligent Identification Method of Valve Internal Leakage in Thermal Power Station Based on Improved Kepler Optimization Algorithm-Support Vector Regression (IKOA-SVR)
by Fengsheng Jia, Tao Jin, Ruizhou Guo, Xinghua Yuan, Zihao Guo and Chengbing He
Computation 2025, 13(11), 251; https://doi.org/10.3390/computation13110251 - 2 Nov 2025
Cited by 1 | Viewed by 740
Abstract
Valve internal leakage in thermal power stations exhibits a strong concealed nature. If it cannot be discovered and predicted of development trend in time, it will affect the safe and economical operation of plant equipment. This paper proposed an intelligent identification method for [...] Read more.
Valve internal leakage in thermal power stations exhibits a strong concealed nature. If it cannot be discovered and predicted of development trend in time, it will affect the safe and economical operation of plant equipment. This paper proposed an intelligent identification method for valve internal leakage that integrated an Improved Kepler Optimization Algorithm (IKOA) with Support Vector Regression (SVR). The Kepler Optimization Algorithm (KOA) was improved using the Sobol sequence and an adaptive Gaussian mutation strategy to achieve self-optimization of the key parameters in the SVR model. A multi-step sliding cross-validation method was employed to train the model, ultimately yielding the IKOA-SVR intelligent identification model for valve internal leakage quantification. Taking the main steam drain pipe valve as an example, a simulation case validation was carried out. The calculation example used Mean Squared Error (MSE), Root Mean Squared Error (RMSE), Mean Absolute Error (MAE), Mean Absolute Percentage Error (MAPE) and determination coefficient (R2) as performance evaluation metrics, and compared and analyzed the training and testing dataset using IKOA-SVR, KOA-SVR, Particle Swarm Optimization (PSO)-SVR, Random Search (RS)-SVR, Grid Search (GS)-SVR, and Bayesian Optimization (BO)-SVR methods, respectively. For the testing dataset, the MSE of IKOA-SVR is 0.65, RMSE is 0.81, MAE is 0.49, and MAPE is 0.0043, with the smallest values among the six methods. The R2 of IKOA-SVR is 0.9998, with the largest value among the six methods. It indicated that IKOA-SVR can effectively solve problems such as getting stuck in local optima and overfitting during the optimization process. An Out-Of-Distribution (OOD) test was conducted for two scenarios: noise injection and Region-Holdout. The identification performance of all six methods decreased, with IKOA-SVR showing the smallest performance decline. The results show that IKOA-SVR has the strongest generalization ability and robustness, the best effect in improving fitting ability, the smallest identification error, the highest identification accuracy, and results closer to the actual value. The method presented in this paper provides an effective approach to solve the problem of intelligent identification of valve internal leakage in thermal power station. Full article
Show Figures

Figure 1

26 pages, 2178 KB  
Article
Hierarchical Parallelization of Rigid Body Simulation with Soft Blocking Method on GPU
by Rikuya Tomii and Tetsu Narumi
Computation 2025, 13(11), 250; https://doi.org/10.3390/computation13110250 - 2 Nov 2025
Viewed by 1455
Abstract
This paper proposes and implements a method to efficiently parallelize constraint solving in rigid body simulation using GPUs. Rigid body simulation is widely used in robot development, computer games, movies, and other fields, and there is a growing need for faster computation. As [...] Read more.
This paper proposes and implements a method to efficiently parallelize constraint solving in rigid body simulation using GPUs. Rigid body simulation is widely used in robot development, computer games, movies, and other fields, and there is a growing need for faster computation. As current computers are reaching their limits in terms of scale-up, such as clock frequency improvements, performance improvements are being sought through scale-out, which increases parallelism. However, rigid body simulation is difficult to parallelize efficiently due to its characteristics. This is because, unlike fluid or molecular physics simulations, where each particle or lattice can be independently extracted and processed, rigid bodies can interact with a large number of distant objects depending on the instance. This characteristic causes significant load imbalance, making it difficult to evenly distribute computational resources using simple methods such as spatial partitioning. Therefore, this paper proposes and implements a computational method that enables high-speed computation of large-scale scenes by hierarchically clustering rigid bodies based on their number and associating the hierarchy with the hardware structure of GPUs. In addition, to effectively utilize parallel computing resources, we considered a more relaxed parallelization condition for the conventional Gauss–Seidel block parallelization method and demonstrated that convergence is guaranteed. We investigated how speed and convergence performance change depending on how much computational cost is allocated to each hierarchy and discussed the desirable parameter settings. By conducting experiments comparing our method with several widely used software packages, we demonstrated that our approach enables calculations at speeds previously unattainable with existing techniques, while leveraging GPU computational resources to handle multiple rigid bodies simultaneously without significantly compromising accuracy. Full article
(This article belongs to the Section Computational Engineering)
Show Figures

Figure 1

17 pages, 4949 KB  
Article
Numerical Analysis Applying a Complex Model of the Foot Bone Structure Under Loading Conditions During Race Walking Practice
by Edder Jair Rodríguez-Granados, Guillermo Urriolagoitia-Sosa, Beatriz Romero-Ángeles, Jorge Alberto Gomez-Niebla, Jonathan Rodolfo Guereca-Ibarra, Maria de la Luz Suarez-Hernandez, Yonatan Yael Rojas-Castrejon, Manuel Nazario Rocha-Martinez, Reyner Iván Yparrea-Arreola and Guillermo Manuel Urriolagoitia-Calderón
Computation 2025, 13(11), 249; https://doi.org/10.3390/computation13110249 - 22 Oct 2025
Viewed by 1115
Abstract
This study presents a three-dimensional finite element (FE) analysis of the human foot bone structure under mid-stance loading during race walking. A subject-specific biomodel comprising 26 bones and over 40 ligaments was reconstructed from computed tomography (CT) data using Materialise Mimics Research 21.0 [...] Read more.
This study presents a three-dimensional finite element (FE) analysis of the human foot bone structure under mid-stance loading during race walking. A subject-specific biomodel comprising 26 bones and over 40 ligaments was reconstructed from computed tomography (CT) data using Materialise Mimics Research 21.0 and 3-Matic Research 13.0, and subsequently analyzed in ANSYS Workbench 2024 R1. The model included explicit cortical, trabecular, and ligamentous volumes, each assigned linear-elastic, isotropic material properties based on biomechanical literature data. Boundary conditions simulated the mid-stance phase of race walking, applying a distributed plantar pressure of 0.25 MPa over the metatarsal and phalangeal regions. Numerical simulations yielded maximum total displacements of 0.00018 mm, maximum von Mises stresses of 0.171 MPa, and maximum strains of 2.5 × 10−5, all remaining well within the elastic range of bone tissue. The results confirm the model’s numerical stability, geometric fidelity, and capacity to represent physiologically realistic loading responses. The developed framework demonstrates the potential of high-resolution, image-based finite element modelling for investigating stress–strain patterns of the foot during athletic gait, and establishes a reproducible reference for future analyses involving pathological gait, orthotic optimisation, and musculoskeletal load assessment in sports biomechanics. Full article
(This article belongs to the Special Issue Application of Biomechanical Modeling and Simulation)
Show Figures

Graphical abstract

15 pages, 6252 KB  
Article
EKAResNet: Enhancing ResNet with Kolmogorov–Arnold Network-Based Nonlinear Feature Mapping
by Zhiming Dang, Tonghua Wu, Wulin Zhang, Jianxin Chen, Huanlin Chen, Xuan Liu and Zirui Liu
Computation 2025, 13(11), 248; https://doi.org/10.3390/computation13110248 - 22 Oct 2025
Viewed by 1080
Abstract
Residual Networks (ResNet) address the vanishing gradient problem through skip connections and have become a fundamental architecture for computer vision tasks. However, standard convolutional layers exhibit limited capacity in modeling complex nonlinear relationships. We present EKAResNet, a residual backbone enhanced with a spline-based [...] Read more.
Residual Networks (ResNet) address the vanishing gradient problem through skip connections and have become a fundamental architecture for computer vision tasks. However, standard convolutional layers exhibit limited capacity in modeling complex nonlinear relationships. We present EKAResNet, a residual backbone enhanced with a spline-based Kolmogorov–Arnold Network (KAN) head. Specifically, we introduce a KAN-based Feature Classification Module (KAN-FCM) that replaces a portion of the traditional fully connected classifier. This module employs piecewise polynomial (spline) approximation to achieve adaptive nonlinear mapping while maintaining a controlled parameter budget. We evaluate EKAResNet on CIFAR-10 and CIFAR-100, achieving top accuracies of 95.84% and 80.06%, respectively. Importantly, the model maintains a parameter count comparable to strong ResNet and WideResNet baselines. Ablation studies on spline configurations further confirm the contribution of the KAN head. These results demonstrate the effectiveness of integrating KAN structures into ResNet for modeling high-dimensional, complex features. Our work highlights a promising direction for designing deep learning architectures that balance accuracy and computational efficiency. Full article
(This article belongs to the Section Computational Engineering)
Show Figures

Figure 1

Previous Issue
Next Issue
Back to TopTop