Impacts of the Wave-Dependent Sea Spray Parameterizations on Air–Sea–Wave Coupled Modeling under an Idealized Tropical Cyclone
Abstract
:1. Introduction
2. Methods
2.1. The Description of Numerical Model
2.2. Sea Spray Models
2.3. The Model Configuration and Experimental Design
3. Results and Discussion
3.1. Impacts on the Air–Sea Heat Flux
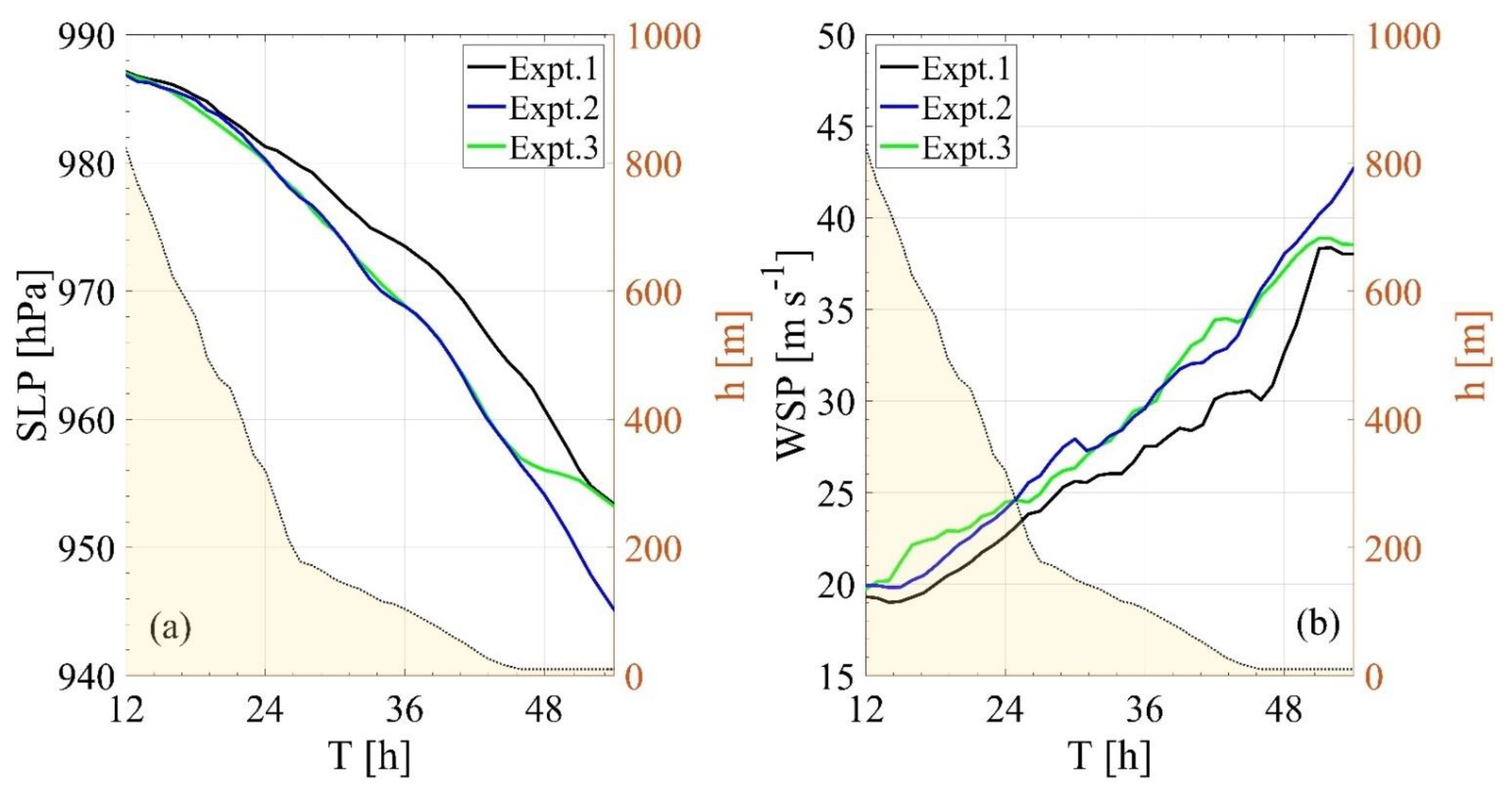
3.2. Impacts on the TC System
3.3. Impacts on the Ocean Waves
3.4. Impacts on the SST
4. Summary and Conclusions
Author Contributions
Funding
Institutional Review Board Statement
Informed Consent Statement
Acknowledgments
Conflicts of Interest
References
- Veron, F. Ocean Spray. Annu. Rev. Fluid Mech. 2015, 47, 507–538. [Google Scholar] [CrossRef]
- Mueller, J.A.; Veron, F. Impact of sea spray on air–sea fluxes. Part II: Feedback effects. J. Phys. Oceanogr. 2014, 44, 2835–2853. [Google Scholar] [CrossRef]
- Veron, F.; Hopkins, C.; Harrison, E.L.; Mueller, J.A. Sea spray spume droplet production in high wind speeds. Geophys. Res. Lett. 2012, 39. [Google Scholar] [CrossRef] [Green Version]
- Troitskaya, Y.; Druzhinin, O.; Kozlov, D.; Zilitinkevich, S. The “Bag Breakup” Spume Droplet Generation Mechanism at High Winds. Part II: Contribution to Momentum and Enthalpy Transfer. J. Phys. Oceanogr. 2018, 48, 2189–2207. [Google Scholar] [CrossRef]
- Andreas, E.L.; Persson, P.O.G.; Hare, J.E. A Bulk Turbulent Air–Sea Flux Algorithm for High-Wind, Spray Conditions. J. Phys. Oceanogr. 2008, 38, 1581–1596. [Google Scholar] [CrossRef]
- Zhang, L.; Zhang, X.; Chu, P.C.; Guan, C.; Fu, H.; Chao, G.; Han, G.; Li, W. Impact of sea spray on the Yellow and East China Seas thermal structure during the passage of Typhoon Rammasun. J. Geophys. Res. Ocean. 2017, 122, 7783–7802. [Google Scholar] [CrossRef] [Green Version]
- Bao, J.W.; Fairall, C.W.; Michelson, S.A.; Bianco, L. Parameterizations of Sea-Spray Impact on the Air–Sea Momentum and Heat Fluxes. Mon. Weather Rev. 2011, 139, 3781–3797. [Google Scholar] [CrossRef]
- Bao, J.; Wilczak, J.; Choi, J.; Kantha, L. Numerical simulations of air–sea interaction under high wind conditions using a coupled model: A study of hurricane development. Mon. Weather Rev. 2000, 128, 2190–2210. [Google Scholar] [CrossRef]
- Wu, L.C.; Rutgersson, A.; Sahlee, E.; Larsen, X.G. The impact of waves and sea spray on modelling storm track and development. Tellus Ser. A-Dyn. Meteorol. Oceanogr. 2015, 67. [Google Scholar] [CrossRef] [Green Version]
- Rizza, U.; Canepa, E.; Miglietta, M.M.; Passerini, G.; Morichetti, M.; Mancinelli, E.; Virgili, S.; Besio, G.; De Leo, F.; Mazzino, A. Evaluation of drag coefficients under medicane conditions: Coupling waves, sea spray and surface friction. Atmos. Res. 2021, 247, 105207. [Google Scholar] [CrossRef]
- Rizza, U.; Canepa, E.; Ricchi, A.; Bonaldo, D.; Carniel, S.; Morichetti, M.; Passerini, G.; Santiloni, L.; Scremin Puhales, F.; Miglietta, M.M. Influence of wave state and sea spray on the roughness length: Feedback on medicanes. Atmosphere 2018, 9, 301. [Google Scholar] [CrossRef] [Green Version]
- Perrie, W.; Zhang, W.; Andreas, E.L.; Li, W.; Gyakum, J.; McTaggart-Cowan, R. Sea spray impacts on intensifying midlatitude cyclones. J. Atmos. Sci. 2005, 62, 1867–1883. [Google Scholar] [CrossRef]
- Monahan, E.C.; Davidson, K.L.; Spiel, D.E. Whitecap aerosol productivity deduced from simulation tank measurements. J. Geophys. Res. Ocean. 1982, 87, 8898–8904. [Google Scholar] [CrossRef]
- Norris, S.J.; Brooks, I.M.; Salisbury, D.J. A wave roughness Reynolds number parameterization of the sea spray source flux. Geophys. Res. Lett. 2013, 40, 4415–4419. [Google Scholar] [CrossRef] [Green Version]
- Lenain, L.; Melville, W.K. Evidence of Sea-State Dependence of Aerosol Concentration in the Marine Atmospheric Boundary Layer. J. Phys. Oceanogr. 2017, 47, 69–84. [Google Scholar] [CrossRef]
- Zhao, D.; Toba, Y. Dependence of whitecap coverage on wind and wind-wave properties. J. Oceanogr. 2001, 57, 603–616. [Google Scholar] [CrossRef]
- Zhao, D.; Toba, Y.; Sugioka, K.-i.; Komori, S. New sea spray generation function for spume droplets. J. Geophys. Res. 2006, 111. [Google Scholar] [CrossRef]
- Liu, B.; Liu, H.; Xie, L.; Guan, C.; Zhao, D. A Coupled Atmosphere–Wave–Ocean Modeling System: Simulation of the Intensity of an Idealized Tropical Cyclone. Mon. Weather Rev. 2011, 139, 132–152. [Google Scholar] [CrossRef]
- Xu, X.; Voermans, J.J.; Ma, H.; Guan, C.; Babanin, A.V. A Wind–Wave-Dependent Sea Spray Volume Flux Model Based on Field Experiments. J. Mar. Sci. Eng. 2021, 9, 1168. [Google Scholar] [CrossRef]
- Andreas, E.L. Sea Spray and the Turbulent Air-Sea Heat Fluxes. J. Geophys. Res. 1992, 97, 11429–11441. [Google Scholar] [CrossRef]
- Warner, J.C.; Armstrong, B.; He, R.; Zambon, J.B. Development of a Coupled Ocean–Atmosphere–Wave–Sediment Transport (COAWST) Modeling System. Ocean Model. 2010, 35, 230–244. [Google Scholar] [CrossRef] [Green Version]
- Skamarock, W.; Klemp, J.; Dudhia, J.; Gill, D.; Barker, D.; Wang, W.; Powers, J. A Description of the Advanced Research WRF Version 3; NCAR Technical Note NCAR/TN-4751STR; National Center for Atmospheric Research: Boulder, CO, USA, 2008. [Google Scholar]
- Chassignet, E.P.; Arango, H.; Dietrich, D.; Ezer, T.; Ghil, M.; Haidvogel, D.B.; Ma, C.-C.; Mehra, A.; Paiva, A.M.; Sirkes, Z. DAMEE-NAB: The base experiments. Dyn. Atmos. Ocean. 2000, 32, 155–183. [Google Scholar] [CrossRef]
- Haidvogel, D.B.; Arango, H.G.; Hedstrom, K.; Beckmann, A.; Malanotte-Rizzoli, P.; Shchepetkin, A.F. Model evaluation experiments in the North Atlantic Basin: Simulations in nonlinear terrain-following coordinates. Dyn. Atmos. Ocean. 2000, 32, 239–281. [Google Scholar] [CrossRef]
- Booij, N.; Holthuijsen, L.; Ris, R. The “SWAN” wave model for shallow water. In Proceedings of the 25th International Conference on Coastal Engineering, Orlando, FL, USA, 2–6 September 1996; pp. 668–676. [Google Scholar]
- Larson, J.; Jacob, R.; Ong, E. The model coupling toolkit: A new Fortran90 toolkit for building multiphysics parallel coupled models. Int. J. High Perform. Comput. Appl. 2005, 19, 277–292. [Google Scholar] [CrossRef]
- Jacob, R.; Larson, J.; Ong, E. M × N communication and parallel interpolation in Community Climate System Model Version 3 using the model coupling toolkit. Int. J. High Perform. Comput. Appl. 2005, 19, 293–307. [Google Scholar] [CrossRef]
- Fairall, C.W.; Bradley, E.F.; Rogers, D.P.; Edson, J.B.; Young, G.S. Bulk parameterization of air-sea fluxes for Tropical Ocean-Global Atmosphere Coupled-Ocean Atmosphere Response Experiment. J. Geophys. Res. Ocean. 1996, 101, 3747–3764. [Google Scholar] [CrossRef]
- Perrie, W. Simulation of extratropical Hurricane Gustav using a coupled atmosphere-ocean-sea spray model. Geophys. Res. Lett. 2004, 31. [Google Scholar] [CrossRef]
- Kwok, J.H.; Chan, J.C. The influence of uniform flow on tropical cyclone intensity change. J. Atmos. Sci. 2005, 62, 3193–3212. [Google Scholar] [CrossRef]
- Chan, J.C.; Williams, R. Analytical and numerical studies of the beta-effect in tropical cyclone motion. Part I: Zero mean flow. J. Atmos. Sci. 1987, 44, 1257–1265. [Google Scholar] [CrossRef] [Green Version]
- Lin, Y.-L.; Farley, R.D.; Orville, H.D. Bulk Parameterization of the Snow Field in a Cloud Model. J. Appl. Meteorol. Climatol. 1983, 22, 1065–1092. [Google Scholar] [CrossRef] [Green Version]
- Mlawer, E.J.; Taubman, S.J.; Brown, P.D.; Iacono, M.J.; Clough, S.A. Radiative transfer for inhomogeneous atmospheres: RRTM, a validated correlated-k model for the longwave. J. Geophys. Res. Atmos. 1997, 102, 16663–16682. [Google Scholar] [CrossRef] [Green Version]
- Dudhia, J. Numerical study of convection observed during the winter monsoon experiment using a mesoscale two-dimensional model. J. Atmos. Sci. 1989, 46, 3077–3107. [Google Scholar] [CrossRef]
- Nakanishi, M.; Niino, H. An improved Mellor–Yamada level-3 model: Its numerical stability and application to a regional prediction of advection fog. Bound.-Layer Meteorol. 2006, 119, 397–407. [Google Scholar] [CrossRef]
- Chen, F.; Dudhia, J. Coupling an advanced land surface–hydrology model with the Penn State–NCAR MM5 modeling system. Part I: Model implementation and sensitivity. Mon. Weather Rev. 2001, 129, 569–585. [Google Scholar] [CrossRef] [Green Version]
- Warner, J.C.; Sherwood, C.R.; Signell, R.P.; Harris, C.K.; Arango, H.G. Development of a three-dimensional, regional, coupled wave, current, and sediment-transport model. Comput. Geosci. 2008, 34, 1284–1306. [Google Scholar] [CrossRef]
- Zambon, J.B.; He, R.; Warner, J.C. Investigation of hurricane Ivan using the coupled ocean–atmosphere–wave–sediment transport (COAWST) model. Ocean Dyn. 2014, 64, 1535–1554. [Google Scholar] [CrossRef]
- Andreas, E.L.; Emanuel, K.A. Effects of Sea Spray on Tropical Cyclone Intensity. J. Atmos. Sci. 2001, 58, 3741–3751. [Google Scholar] [CrossRef] [Green Version]
- Liu, B.; Ding, Y.; Guan, C. A relationship between wave steepness and wave age for wind waves in deep water. Chin. J. Oceanol. Limnol. 2007, 25, 36–41. [Google Scholar] [CrossRef]
- Powell, M.D.; Vickery, P.J.; Reinhold, T.A. Reduced drag coefficient for high wind speeds in tropical cyclones. Nature 2003, 422, 279–283. [Google Scholar] [CrossRef]
- Sroka, S.; Emanuel, K. A Review of Parameterizations for Enthalpy and Momentum Fluxes from Sea Spray in Tropical Cyclones. J. Phys. Oceanogr. 2021, 51, 3053–3069. [Google Scholar] [CrossRef]
- Zhang, L.; Zhang, X.; Perrie, W.; Guan, C.; Dan, B.; Sun, C.; Wu, X.; Liu, K.; Li, D. Impact of Sea Spray and Sea Surface Roughness on the Upper Ocean Response to Super Typhoon Haitang. J. Phys. Oceanogr. 2021, 51, 1929–1945. [Google Scholar] [CrossRef]
- Holthuijsen, L.H.; Powell, M.D.; Pietrzak, J.D. Wind and waves in extreme hurricanes. J. Geophys. Res. Ocean. 2012, 117. [Google Scholar] [CrossRef] [Green Version]








| Experiments | Sea Spray | Sea Spray Model |
|---|---|---|
| Expt. 1 | No | - |
| Expt. 2 | Yes | Equations (1) and (2) |
| Expt. 3 | Yes | Equation (3) |
Publisher’s Note: MDPI stays neutral with regard to jurisdictional claims in published maps and institutional affiliations. |
© 2021 by the authors. Licensee MDPI, Basel, Switzerland. This article is an open access article distributed under the terms and conditions of the Creative Commons Attribution (CC BY) license (https://creativecommons.org/licenses/by/4.0/).
Share and Cite
Xu, X.; Voermans, J.J.; Liu, Q.; Moon, I.-J.; Guan, C.; Babanin, A.V. Impacts of the Wave-Dependent Sea Spray Parameterizations on Air–Sea–Wave Coupled Modeling under an Idealized Tropical Cyclone. J. Mar. Sci. Eng. 2021, 9, 1390. https://doi.org/10.3390/jmse9121390
Xu X, Voermans JJ, Liu Q, Moon I-J, Guan C, Babanin AV. Impacts of the Wave-Dependent Sea Spray Parameterizations on Air–Sea–Wave Coupled Modeling under an Idealized Tropical Cyclone. Journal of Marine Science and Engineering. 2021; 9(12):1390. https://doi.org/10.3390/jmse9121390
Chicago/Turabian StyleXu, Xingkun, Joey J. Voermans, Qingxiang Liu, Il-Ju Moon, Changlong Guan, and Alexander V. Babanin. 2021. "Impacts of the Wave-Dependent Sea Spray Parameterizations on Air–Sea–Wave Coupled Modeling under an Idealized Tropical Cyclone" Journal of Marine Science and Engineering 9, no. 12: 1390. https://doi.org/10.3390/jmse9121390
APA StyleXu, X., Voermans, J. J., Liu, Q., Moon, I.-J., Guan, C., & Babanin, A. V. (2021). Impacts of the Wave-Dependent Sea Spray Parameterizations on Air–Sea–Wave Coupled Modeling under an Idealized Tropical Cyclone. Journal of Marine Science and Engineering, 9(12), 1390. https://doi.org/10.3390/jmse9121390

