Next Issue
Volume 13, May
Previous Issue
Volume 13, March
 
 

J. Mar. Sci. Eng., Volume 13, Issue 4 (April 2025) – 201 articles

Cover Story (view full-size image): This paper reports the findings of an investigation aimed at assessing, for the first time, the natural and anthropogenic radioactivity content of marine sediments collected from selected areas of Sicily, Southern Italy. In particular, it focused on evaluating the average activity concentration of detected radionuclides, i.e., Ra-226, Th-232, and K-40 natural and Cs-137 anthropogenic radioisotopes, and the radiological hazard for humans, above all considering the use of this material for nourishing actual eroded beaches. In addition, Pearson correlation, principal component analysis (PCA), and hierarchical cluster analysis (HCA), i.e., multivariate statistics, were carried out by analyzing detected radioactivity and radiological characteristics to evaluate their relationship with the sampling locations. View this paper
  • Issues are regarded as officially published after their release is announced to the table of contents alert mailing list.
  • You may sign up for e-mail alerts to receive table of contents of newly released issues.
  • PDF is the official format for papers published in both, html and pdf forms. To view the papers in pdf format, click on the "PDF Full-text" link, and use the free Adobe Reader to open them.
Order results
Result details
Section
Select all
Export citation of selected articles as:
18 pages, 10182 KB  
Article
Numerical Simulation Study on Combustion Characteristics of a Low-Speed Marine Engine Using Biodiesel
by Guohe Jiang, Yuhao Yuan, Hao Guo, Gang Wu, Jiachen Chen and Yuanyuan Liu
J. Mar. Sci. Eng. 2025, 13(4), 824; https://doi.org/10.3390/jmse13040824 - 21 Apr 2025
Cited by 3 | Viewed by 1474
Abstract
The growth of global trade has fueled a booming shipping industry, but high pollutant emissions from low-speed marine diesel engines have become a global concern. In this study, it is hypothesized that the combustion efficiency of biodiesel B10 in low-speed two-stroke diesel engines [...] Read more.
The growth of global trade has fueled a booming shipping industry, but high pollutant emissions from low-speed marine diesel engines have become a global concern. In this study, it is hypothesized that the combustion efficiency of biodiesel B10 in low-speed two-stroke diesel engines can be improved and pollutant emissions can be reduced by optimizing the exhaust gas recirculation (EGR) rate and injection time. This study systematically analyzed the effects of EGR rate (5%, 10%, and 20%) and injection time (0 °CA to 6 °CA delay) on combustion and emission characteristics using numerical simulation combined with experimental validation. The results showed that the in-cylinder combustion temperature and NOx emission decreased significantly with the increase in EGR rate, but the soot emission increased. Specifically, NOx emissions decreased by 35.13%, 59.95%, and 85.21% at EGR rates of 5%, 10%, and 15%, respectively, while soot emissions increased by 12.25%, 26.75%, and 58.18%, respectively. Delaying the injection time decreases the in-cylinder pressure and temperature peaks, decreasing NOx emissions but increasing soot emissions. Delaying the injection time from 2 °CA to 4 °CA and 6 °CA decreased NOx emission by 16.01% and 25.44%, while increasing soot emission by 4.98% and 11.64%, respectively. By combining numerical simulation and experimental validation, this study provides theoretical support for the combustion optimization of a low-speed two-stroke diesel engine when using biodiesel, and is of great significance for the green development of the shipping industry. Full article
Show Figures

Figure 1

23 pages, 21739 KB  
Article
Fine-Scale Geomorphologic Classification of Guyots in Representative Areas of the Western Pacific Ocean
by Heshun Wang, Yongfu Sun, Shengli Wang, Wei Gao, Weikun Xu, Zhen Liu, Xuebing Yin, Sidi Ruan and Yihui Shao
J. Mar. Sci. Eng. 2025, 13(4), 823; https://doi.org/10.3390/jmse13040823 - 21 Apr 2025
Cited by 1 | Viewed by 2371
Abstract
Guyots are a special type of seamount with a flat top and are widely distributed in the global ocean. In this paper, a geomorphologic classification method for guyots based on multibeam bathymetry data is proposed. By studying typical guyots, namely, the Jiaxie Guyots, [...] Read more.
Guyots are a special type of seamount with a flat top and are widely distributed in the global ocean. In this paper, a geomorphologic classification method for guyots based on multibeam bathymetry data is proposed. By studying typical guyots, namely, the Jiaxie Guyots, the Caiwei Guyots, and the DD Guyot in the Western Pacific Ocean, in this study, a multilevel classification system was established, integrating elevation, slope, and bathymetric position index (BPI). The method successfully classified seafloor geomorphology into nine types: summit platform, extremely steep slope, steep slope, gentle slope, very gentle slope, gully on the slope, seafloor plain, local crest, and local depression. Significant differences in the area distribution, depth characteristics, and slope extent of different geomorphologic units in the guyots were revealed by quantitative analysis. The flexibility and accuracy of the method were demonstrated through depth profile validation and method comparison validation. This classification system provides a new cognitive framework for defining the boundaries of seamounts, as well as for the study of the genesis mechanisms of the gullies on the slopes, local crests, and local depressions formed by volcanic activity and other actions. Full article
Show Figures

Figure 1

18 pages, 8125 KB  
Article
Estimation of the Motion Response of a Large Ocean Buoy in the South China Sea
by Yunzhou Li, Chuankai Zhao, Penglin Jing, Bangqi Chen, Guanghua He, Zhigang Zhang, Jiming Zhang, Min Li and Juncheng Wang
J. Mar. Sci. Eng. 2025, 13(4), 822; https://doi.org/10.3390/jmse13040822 - 21 Apr 2025
Cited by 2 | Viewed by 1427
Abstract
Ocean data buoys are among the most effective tools for monitoring marine environments. However, their measurement accuracy is affected by the motion of the buoys, making the hydrodynamic characteristics of buoys a critical issue. This study uses computational fluid dynamics to evaluate the [...] Read more.
Ocean data buoys are among the most effective tools for monitoring marine environments. However, their measurement accuracy is affected by the motion of the buoys, making the hydrodynamic characteristics of buoys a critical issue. This study uses computational fluid dynamics to evaluate the motion performance of large ocean buoys under wave loads with different characteristics. A high-fidelity numerical wave tank was established via the overset mesh method and the volume of fluid method to simulate wave–structure interactions. The results indicate that the buoy motion is influenced primarily by the first-order harmonic components of the waves. The response amplitude operators (RAOs) for both surge and heave gradually approach a value of 1 as the wave period increases. The pitch RAO peaks at the natural frequency of 2.84 s. As the wave steepness increases, the nonlinearity of wave–structure interactions becomes more pronounced, resulting in 13.78% and 13.65% increases in the RAO for heave and pitch, respectively. Additionally, the dynamic response under irregular waves was numerically simulated via full-scale field data. Good agreement was obtained compared with field data. Full article
(This article belongs to the Section Ocean Engineering)
Show Figures

Figure 1

22 pages, 4427 KB  
Article
Numerical Investigation of Cavitation Models Combined with RANS and PANS Turbulence Models for Cavitating Flow Around a Hemispherical Head-Form Body
by Hyeri Lee, Changhun Lee, Myoung-Soo Kim and Woochan Seok
J. Mar. Sci. Eng. 2025, 13(4), 821; https://doi.org/10.3390/jmse13040821 - 21 Apr 2025
Cited by 3 | Viewed by 2456
Abstract
Accurate prediction of cavitating flows is essential for improving the performance and durability of marine and hydrodynamic systems. This study investigates the influence of different cavitation models—Kunz, Merkle, and Schnerr–Sauer—on the numerical prediction of cavitation around a hemispherical head-form body using computational fluid [...] Read more.
Accurate prediction of cavitating flows is essential for improving the performance and durability of marine and hydrodynamic systems. This study investigates the influence of different cavitation models—Kunz, Merkle, and Schnerr–Sauer—on the numerical prediction of cavitation around a hemispherical head-form body using computational fluid dynamics (CFD). Additionally, the effects of turbulence modeling approaches, including Reynolds-averaged Navier–Stokes (RANS) and partially averaged Navier–Stokes (PANS), are examined to assess their capability in capturing transient cavitation structures and turbulence interactions. The results indicate that the Schnerr–Sauer model, which incorporates bubble dynamics based on the Rayleigh–Plesset equation, provides the most accurate prediction of cavitation structures, closely aligning with experimental data. The Merkle model shows intermediate accuracy, while the Kunz model tends to overpredict cavity closure, limiting its ability to capture unsteady cavitation dynamics. Furthermore, the PANS turbulence model demonstrates superior performance over RANS by resolving more transient cavitation phenomena, such as cavity shedding and re-entrant jets, leading to improved accuracy in pressure distribution and vapor volume fraction predictions. The combination of the PANS turbulence model with the Schnerr–Sauer cavitation model yields the most consistent results with experimental observations, highlighting its effectiveness in modeling highly dynamic cavitating flows. Full article
(This article belongs to the Section Ocean Engineering)
Show Figures

Figure 1

24 pages, 8500 KB  
Article
A Study on the Spatial Morphological Evolution and Driving Factors of Coral Islands and Reefs in the South China Sea Based on Multi-Source Satellite Imagery
by Fengyu Li, Wenzhou Wu, Peng Zhang, Bingyue Zhang and Fenzhen Su
J. Mar. Sci. Eng. 2025, 13(4), 820; https://doi.org/10.3390/jmse13040820 - 20 Apr 2025
Cited by 1 | Viewed by 2099
Abstract
The spatial morphology of coral islands and reefs is a fundamental physical and ecological attribute that reflects the developmental and evolutionary processes of coral islands and reefs. The spatial morphology of coral islands and reefs in the South China Sea is highly dynamic. [...] Read more.
The spatial morphology of coral islands and reefs is a fundamental physical and ecological attribute that reflects the developmental and evolutionary processes of coral islands and reefs. The spatial morphology of coral islands and reefs in the South China Sea is highly dynamic. Understanding the evolutionary trends of the spatial morphology of these coral islands and reefs is crucial for their sustainable development and utilization. This study proposes a set of stability evaluation indicators for reef spatial morphology and conducts a systematic analysis of the spatial morphological changes in coral islands and reefs in the South China Sea over the past 15 years, based on 96 satellite images. Additionally, the driving factors behind these changes are explored and discussed. The results indicate the following: (1) The spatial morphology of the Xisha islands and reefs exhibits more significant changes compared to the Nansha islands and reefs. Although both the Xisha and Nansha islands and reefs areas are increasing, the area change in Xisha is 1.3 times greater than that in Nansha. (2) The spatial morphology of the Xisha islands and reefs is shifting in all directions, while the Nansha islands and reefs show a more pronounced northwestward movement. (3) Both the Xisha and Nansha islands and reefs show an overall growth trend, with the growth rate of the Xisha islands and reefs being faster than that of the Nansha islands and reefs. The average growth rate of the Xisha islands and reefs is 1.77 times that of the Nansha islands and reefs. This research provides significant scientific evidence for the protection and resource management of coral islands and reefs in the South China Sea. Full article
(This article belongs to the Section Coastal Engineering)
Show Figures

Figure 1

20 pages, 18374 KB  
Article
A Constant False Alarm Rate Detection Method for Sonar Imagery Targets Based on Segmented Ordered Weighting
by Wankai Na, Haisen Li, Jian Wang, Jiani Wen, Tianyao Xing and Yuxia Hou
J. Mar. Sci. Eng. 2025, 13(4), 819; https://doi.org/10.3390/jmse13040819 - 20 Apr 2025
Viewed by 2955
Abstract
Achieving reliable target detection in the field of sonar imagery represents a significant challenge due to the complex underwater interference patterns characterized by speckle noise, tunnel effects, and low-signal-to-noise ratio (SNR) environments. Currently, constant false alarm rate (CFAR) detection denotes a fundamental target [...] Read more.
Achieving reliable target detection in the field of sonar imagery represents a significant challenge due to the complex underwater interference patterns characterized by speckle noise, tunnel effects, and low-signal-to-noise ratio (SNR) environments. Currently, constant false alarm rate (CFAR) detection denotes a fundamental target detection method in sonar target recognition. However, conventional CFAR methods face some limitations, including a slow computational speed, a high false alarm rate (FAR), and a notable missed detection rate (MDR). To address these limitations, this study proposes an innovative segmentation–detection framework. The proposed framework employs a global segmentation algorithm to identify regions of interest containing potential targets, which is followed by localized two-dimensional CFAR detection. This hierarchical framework can significantly improve computational efficiency while reducing the FAR, thus enabling the practical implementation of advanced, computationally intensive CFAR detection methods in real-time target detection in sonar imagery. In addition, an innovative segmented-ordered-weighting CFAR (SOW-CFAR) detection method that integrates multiple weighting windows to implement ordered weighting of reference cells is developed. This method can effectively reduce both the FAR and MDR through optimized reference cell processing. The experimental results demonstrate that the proposed method can achieve superior detection performance in sonar imagery applications compared to the existing methods. The proposed SOW-CFAR detection method can achieve fast and accurate target detection in the sonar imagery field. Full article
(This article belongs to the Section Ocean Engineering)
Show Figures

Figure 1

21 pages, 2446 KB  
Article
Investigating the Impact of Seafarer Training in the Autonomous Shipping Era
by Jevon P. Chan, Kayvan Pazouki, Rose Norman and David Golightly
J. Mar. Sci. Eng. 2025, 13(4), 818; https://doi.org/10.3390/jmse13040818 - 20 Apr 2025
Cited by 2 | Viewed by 3625
Abstract
The maritime industry is rapidly advancing toward the initial stages of the digitised era of shipping, characterised by considerable advances in maritime autonomous technology in recent times. This study examines the effectiveness of training packages and the impact of rank during the failure [...] Read more.
The maritime industry is rapidly advancing toward the initial stages of the digitised era of shipping, characterised by considerable advances in maritime autonomous technology in recent times. This study examines the effectiveness of training packages and the impact of rank during the failure of a sophisticated autopilot control system. For this study, the fault recognition and diagnostic skills of 60 navigational seafarers conducting a navigational watch in a full mission bridge watchkeeping simulator were analysed. Participants had either significant experience as qualified navigational officers of the watch or were navigational officers of the watch cadets with 12 months’ watchkeeping experience. These groups were subdivided into those who were given a training package focused on behavioural aspects of managing automation, such as maintaining situational awareness, and those given a technical training package. The findings were analysed using an Event Tree Analysis method to assess the participants’ performance in diagnosing a navigation fault. Additionally, the fault recognition skills were assessed between groups of training and rank. The study found that participants who received the behavioural training were more successful in both recognising and diagnosing the fault during the exercise. Behavioural training groups outperformed technical training groups, even when technical training participants were experienced seafarers. This difference in performance occurred without any apparent differences in workload or secondary task performance. Understanding the data gathered from the study could lead to the development of future training regimes for navigational officers of the watch and help to optimise the evolution of the seafaring role. Full article
(This article belongs to the Special Issue Management and Control of Ship Traffic Behaviours)
Show Figures

Figure 1

18 pages, 10795 KB  
Article
Experimental Study on the Hole-Forming Process at the Borehole Bottom During Hot Water Drilling in Ice and Its Influence Mechanisms
by Zhipeng Deng, Youhong Sun, Xiaopeng Fan, Pavel Talalay, Yifan Yang, Ximu Liu, Da Gong, Bing Li, Ting Wang, Wei Wu, Nan Zhang and Xianzhe Wei
J. Mar. Sci. Eng. 2025, 13(4), 817; https://doi.org/10.3390/jmse13040817 - 20 Apr 2025
Cited by 3 | Viewed by 1750
Abstract
Hot water drilling is a drilling method that employs high-temperature and high-pressure hot water jetting to achieve ice melting drilling. Characterized by rapid drilling speed and large hole diameter, it is widely used for drilling observation holes in polar ice sheets and ice [...] Read more.
Hot water drilling is a drilling method that employs high-temperature and high-pressure hot water jetting to achieve ice melting drilling. Characterized by rapid drilling speed and large hole diameter, it is widely used for drilling observation holes in polar ice sheets and ice shelves. Understanding the hole-enlargement process at the bottom of hot water-drilled holes is crucial for rationally designing the structure of hot water drills. However, due to the complexity of heat transfer processes, no suitable theoretical model currently exists to accurately predict this process. To address this, this paper establishes an experimental platform for hot water drilling and conducts 24 sets of experiments under different drilling parameters using visualization techniques. The study reveals the influence mechanisms of drilling speed, hot water flow rate, hot water temperature, downhole drill shape, and nozzle structure on the hole-forming process at the borehole bottom. Experimental results indicate that the primary hole enlargement occurs near the nozzle, achieving 69–81% of the theoretical maximum borehole diameter. The thermal melting efficiency at the borehole bottom is approximately 80%, with about 20% of the input hot water energy heating the surrounding ice. Under identical hot water parameters, jet shapes and drill shapes exhibit minimal impact on borehole geometry. But the improvement of the jet speed and hot water temperature can accelerate the hole-forming process. Full article
(This article belongs to the Section Ocean Engineering)
Show Figures

Figure 1

26 pages, 13999 KB  
Article
Development Characteristics of Natural Fractures in Metamorphic Basement Reservoirs and Their Impacts on Reservoir Performance: A Case Study from the Bozhong Depression, Bohai Sea Area, Eastern China
by Guanjie Zhang, Jingshou Liu, Lei Zhang, Elsheikh Ahmed, Qi Cheng, Ning Shi and Yang Luo
J. Mar. Sci. Eng. 2025, 13(4), 816; https://doi.org/10.3390/jmse13040816 - 19 Apr 2025
Cited by 1 | Viewed by 1556
Abstract
Archaean metamorphic basement reservoirs, characterized by the development of natural fractures, constitute the primary target for oil and gas exploration in the Bozhong Depression, Bohai Bay Basin, Eastern China. Based on analyses of geophysical image logs, cores, scanning electron microscopy (SEM), and laboratory [...] Read more.
Archaean metamorphic basement reservoirs, characterized by the development of natural fractures, constitute the primary target for oil and gas exploration in the Bozhong Depression, Bohai Bay Basin, Eastern China. Based on analyses of geophysical image logs, cores, scanning electron microscopy (SEM), and laboratory measurements, tectonic fractures are identified as the dominant type of natural fracture. Their development is primarily controlled by lithology, weathering intensity, and faulting. Fractures preferentially develop in metamorphic rocks with low plastic mineral content and are positively correlated with weathering intensity. Fracture orientations are predominantly parallel or subparallel to fault strikes, while localized stress perturbations induced by faulting significantly increase fracture density. Open fractures, constituting more than 60% of the total reservoir porosity, serve as both primary storage spaces and dominant fluid flow conduits, fundamentally governing reservoir quality. Consequently, spatial heterogeneity in fracture distribution drives distinct vertical zonation within the reservoir. The lithological units are ranked by fracture development potential (in descending order): leptynite, migmatitic granite, gneiss, cataclasite, diorite-porphyrite, and diabase. Diabase represents the lower threshold for effective reservoir formation, whereas overlying lithologies may function as reservoirs under favorable conditions. The large-scale compressional orogeny during the Indosinian period marked the primary phase of tectonic fracture formation. Subsequent uplift and inversion during the Yanshanian period further modified and overlaid the Indosinian structures. These structures are characterized by strong strike-slip strain, resulting in a series of conjugate shear fractures. During the Himalayan period, preexisting fractures were primarily reactivated, significantly influencing fracture effectiveness. The development model of the fracture network system in the metamorphic basement reservoirs of the study area is determined by a coupling mechanism of dominant lithology and multiphase fracturing. The spatial network reservoir system, under the control of multistage structure and weathering, is key to the formation of large-scale effective reservoirs in the metamorphic basement. Full article
(This article belongs to the Special Issue Advances in Offshore Oil and Gas Exploration and Development)
Show Figures

Figure 1

19 pages, 11511 KB  
Article
Numerical Study on the Influence of Catamaran Hull Arrangement and Demihull Angle on Calm Water Resistance
by Sumin Guo, Xianhe Yang, Hongyu Li, Weizhuang Ma, Qunhong Tian, Qingfeng Ma, Xin Su and Zongsheng Wang
J. Mar. Sci. Eng. 2025, 13(4), 815; https://doi.org/10.3390/jmse13040815 - 19 Apr 2025
Cited by 3 | Viewed by 1892
Abstract
This study investigates the WAM-V (Wave Adaptive Modular Vessel) catamaran configuration, focusing on the hydrodynamic interaction between its articulated hulls. The unique hinged connection mechanism induces a relative angular displacement between the demihulls during operation, significantly modifying the calm water resistance characteristics. Such [...] Read more.
This study investigates the WAM-V (Wave Adaptive Modular Vessel) catamaran configuration, focusing on the hydrodynamic interaction between its articulated hulls. The unique hinged connection mechanism induces a relative angular displacement between the demihulls during operation, significantly modifying the calm water resistance characteristics. Such resistance variations critically influence both vessel maneuverability and the operational effectiveness of onboard acoustic detection systems. This study using computational fluid dynamics (CFD) technology, the effects of varying demihull spacing and the angles of the demihulls on resistance were calculated. Numerical simulations were performed using STAR-CCM+, employing the Reynolds-averaged Navier–Stokes equations (RANS) method combined with the k-epsilon turbulence model. The study investigates the free surface and double body viscous flow at different Froude numbers in the range of 0.3 to 0.75. The analysis focuses on the effects of the demihull spacing ratio (BS/LPP, Demihull spacing/Length between perpendiculars) on calm water resistance. Specifically, the resistance coefficient at BS/LPP = 0.2 is on average 14% higher than that at BS/LPP = 0.5. Additionally, the influence of demihull angles on resistance was simulated at BS/LPP = 0.42. The results indicate that inner demihull angles result in higher resistance compared to outer angles, with the maximum increase in resistance being approximately 9%, with specific outer angles effectively reducing resistance. This study provides a scientific basis for optimizing catamaran design and offers valuable insights for enhancing sailing performance. Full article
(This article belongs to the Section Ocean Engineering)
Show Figures

Figure 1

11 pages, 8950 KB  
Communication
Research on Characteristics of the Hermite–Gaussian Correlated Vortex Beam
by Rui Cong, Dajun Liu, Yan Yin, Haiyang Zhong, Yaochuan Wang and Guiqiu Wang
J. Mar. Sci. Eng. 2025, 13(4), 814; https://doi.org/10.3390/jmse13040814 - 18 Apr 2025
Cited by 1 | Viewed by 803
Abstract
In this work, a new beam named the Hermite–Gaussian correlated vortex beam (HGCVB) is introduced. The intensity and coherence of this HGCVB in oceanic turbulence are analyzed. The results show that the HGCVB displays a splitting property during propagation, and the HGCVB can [...] Read more.
In this work, a new beam named the Hermite–Gaussian correlated vortex beam (HGCVB) is introduced. The intensity and coherence of this HGCVB in oceanic turbulence are analyzed. The results show that the HGCVB displays a splitting property during propagation, and the HGCVB can evolve into the array profile with hollow center beamlets. The results display that the evolution of the intensity of the HGCVB is manipulated by the coherence length δ0 and topological charge M. Meanwhile, the array distribution of coherence of the HGCVB in oceanic turbulence can evolve into a one-spot pattern on propagation. The results show that this HGCVB evolves from a Gaussian beam into a beam array composed of beamlets with hollow centers and may have a potential application in oceanic turbulence. Full article
(This article belongs to the Special Issue Advances in Wireless Communication Technology in Oceanic Turbulence)
Show Figures

Figure 1

19 pages, 1464 KB  
Article
Simplified Model Characterization and Control of an Unmanned Surface Vehicle
by Aldo Lovo-Ayala, Roosvel Soto-Diaz, Carlos Andres Gutierrez-Martinez, Jose Fernando Jimenez-Vargas, Javier Jiménez-Cabas and Jose Escorcía-Gutierrez
J. Mar. Sci. Eng. 2025, 13(4), 813; https://doi.org/10.3390/jmse13040813 - 18 Apr 2025
Cited by 1 | Viewed by 1985
Abstract
This study presents the modeling and control of the unmanned surface vehicle (USV) SABALO. Two models were built, one based on a transfer function matrix and another based on state variables, and from these models, two control strategies were developed. The first strategy [...] Read more.
This study presents the modeling and control of the unmanned surface vehicle (USV) SABALO. Two models were built, one based on a transfer function matrix and another based on state variables, and from these models, two control strategies were developed. The first strategy is based on independent Proportional-Integral/Proportional-Derivative (PI/PD) controllers complemented by a decoupling system, and the second strategy is based on state variable feedback. The two control strategies were evaluated and contrasted. Results demonstrated that the decoupler effectively eliminated variable interaction, enhancing stability in straight trajectories and directional changes. Meanwhile, state feedback control demonstrated markedly faster response times and superior precision, accompanied by higher energy consumption. The study concludes that both strategies are effective, but their suitability depends on the mission. The decoupler could be ideal for energy-efficient, long-duration operations, while state feedback could be appropriate for dynamic environments requiring rapid maneuvers. Full article
Show Figures

Figure 1

21 pages, 4082 KB  
Article
Data-Driven Carbon Emission Dynamics Under Ship In-Port Congestion
by Weiyu Liu, Bowei Xu and Junjun Li
J. Mar. Sci. Eng. 2025, 13(4), 812; https://doi.org/10.3390/jmse13040812 - 18 Apr 2025
Cited by 3 | Viewed by 2367
Abstract
Berthing operation heterogeneity across ship types causes significant uncertainty in assessing port congestion and carbon emissions over comparable timeframes. This study quantifies in-port emission dynamics for four cargo ship types (container, liquid bulk, dry bulk, and general cargo) using an operational phase-specific emission [...] Read more.
Berthing operation heterogeneity across ship types causes significant uncertainty in assessing port congestion and carbon emissions over comparable timeframes. This study quantifies in-port emission dynamics for four cargo ship types (container, liquid bulk, dry bulk, and general cargo) using an operational phase-specific emission accounting model. We propose a hybrid deep learning model that integrates Two-Dimensional Convolutional Neural Networks (2DCNN) with Squeeze-and-Excitation Attention Mechanisms (SEAM) and Bidirectional Long Short-Term Memory Networks (BiLSTM) layers, optimized via the Triangulation Topology Aggregation Optimizer (TTAO) for hyperparameter tuning. Empirical analysis at Ningbo Zhoushan Port shows that liquid bulk carriers emit 23–41% more than other ship types due to extended auxiliary engine/boiler use during cargo handling. The 2DCNN-SEAM model significantly improves BiLSTM prediction accuracy—reducing Mean Absolute Percentage Error (MAPE) by 18.7% and increasing the R2 value to 0.94—by effectively capturing spatiotemporal congestion features. Results confirm that operational congestion is a critical emission multiplier, especially for ships requiring prolonged auxiliary system use during berthing. These insights inform targeted decarbonization strategies for port authorities, prioritizing operational efficiency and energy transition for high-emission ship categories. Full article
(This article belongs to the Section Ocean Engineering)
Show Figures

Figure 1

22 pages, 16890 KB  
Article
Possible Evolutionary Precursors of Mast Cells: The ‘Granular Cell’ Immunocyte of Botrylloides leachii (Tunicata; Ascidiacea)
by Nicolò Brunelli, Stefano Dalle Palle and Francesca Cima
J. Mar. Sci. Eng. 2025, 13(4), 811; https://doi.org/10.3390/jmse13040811 - 18 Apr 2025
Viewed by 1727
Abstract
Vertebrate mast cells are the first cells to initiate the inflammatory response. The origin of these highly specialised innate immunity cells in chordates is an intriguing unanswered question, and tunicates represent the best candidates to address this question for their close relationship with [...] Read more.
Vertebrate mast cells are the first cells to initiate the inflammatory response. The origin of these highly specialised innate immunity cells in chordates is an intriguing unanswered question, and tunicates represent the best candidates to address this question for their close relationship with vertebrates. In the colonial ascidian Botrylloides leachii, a particular cell type circulates in the haemolymph, namely, ‘granular cell’, which is a distinct immunocyte from both phagocytic and cytotoxic lines. Like mast cells and unlike basophils, granular cells were labelled with anti-c-kit antibody on their plasmalemma and exhibited a high content of heparin in their granules, as revealed by various histochemical techniques. Immunohistochemistry revealed the presence of heparin and histamine inside the same granules resembling the granules of mast cells. Histoenzymatic assays revealed the presence of mast cell enzymes such as β-glucuronidase, arylsulphatase, chloroacetyl esterase, and proteases. These cells degranulated after exposure to bacteria, compound 48/80, or heterologous plasma. During exposure to bacteria, they crowd into the perivisceral sinus and then infiltrate the epithelium of the postbranchial gut, where they release the content of their granules, a behaviour remarkably similar to that of the gastric leukopedesis of mast cells. Full article
(This article belongs to the Section Marine Biology)
Show Figures

Figure 1

15 pages, 4840 KB  
Article
Research on Method for Intelligent Recognition of Deep-Sea Biological Images Based on PSVG-YOLOv8n
by Dali Chen, Xianpeng Shi, Jichao Yang, Xiang Gao and Yugang Ren
J. Mar. Sci. Eng. 2025, 13(4), 810; https://doi.org/10.3390/jmse13040810 - 18 Apr 2025
Cited by 1 | Viewed by 1016
Abstract
Deep-sea biological detection is a pivotal technology for the exploration and conservation of marine resources. Nonetheless, the inherent complexities of the deep-sea environment, the scarcity of available deep-sea organism samples, and the significant refraction and scattering effects of underwater light collectively impose formidable [...] Read more.
Deep-sea biological detection is a pivotal technology for the exploration and conservation of marine resources. Nonetheless, the inherent complexities of the deep-sea environment, the scarcity of available deep-sea organism samples, and the significant refraction and scattering effects of underwater light collectively impose formidable challenges on the current detection algorithms. To address these issues, we propose an advanced deep-sea biometric identification framework based on an enhanced YOLOv8n architecture, termed PSVG-YOLOv8n. Specifically, our model integrates a highly efficient Partial Spatial Attention module immediately preceding the SPPF layer in the backbone, thereby facilitating the refined, localized feature extraction of deep-sea organisms. In the neck network, a Slim-Neck module (GSconv + VoVGSCSP) is incorporated to reduce the parameter count and model size while simultaneously augmenting the detection performance. Moreover, the introduction of a squeeze–excitation residual module (C2f_SENetV2), which leverages a multi-branch fully connected layer, further bolsters the network’s global representational capacity. Finally, an improved detection head synergistically fuses all the modules, yielding substantial enhancements in the overall accuracy. Experiments conducted on a dataset of deep-sea images acquired by the Jiaolong manned submersible indicate that the proposed PSVG-YOLOv8n model achieved a precision of 79.9%, an mAP50 of 67.2%, and an mAP50-95 of 50.9%. These performance metrics represent improvements of 1.2%, 2.3%, and 1.1%, respectively, over the baseline YOLOv8n model. The observed enhancements underscore the effectiveness of the proposed modifications in addressing the challenges associated with deep-sea organism detection, thereby providing a robust framework for accurate deep-sea biological identification. Full article
(This article belongs to the Section Ocean Engineering)
Show Figures

Figure 1

35 pages, 15716 KB  
Article
Experimental Study of the Hydrodynamic Forces of Pontoon Raft Aquaculture Facilities Around a Wind Farm Monopile Under Wave Conditions
by Deming Chen, Mingchen Lin, Jinxin Zhou, Yanli Tang, Fenfang Zhao, Xinxin Wang, Mengjie Yu, Qiao Li and Daisuke Kitazawa
J. Mar. Sci. Eng. 2025, 13(4), 809; https://doi.org/10.3390/jmse13040809 - 18 Apr 2025
Cited by 1 | Viewed by 1681
Abstract
The integrated development of offshore wind power and marine aquaculture represents a promising approach to the sustainable utilization of ocean resources. The present study investigated the hydrodynamic response of an innovative combination of a wind farm monopile and pontoon raft aquaculture facilities (PRAFs). [...] Read more.
The integrated development of offshore wind power and marine aquaculture represents a promising approach to the sustainable utilization of ocean resources. The present study investigated the hydrodynamic response of an innovative combination of a wind farm monopile and pontoon raft aquaculture facilities (PRAFs). Physical water tank experiments were conducted on PRAFs deployed around a wind farm monopile using the following configurations: single- and three-row arrangements of PRAFs with and without a monopile. The interaction between the aquaculture structure and the wind farm monopile was examined, with a particular focus on the mooring line tensions and bridle line tensions under different wave conditions. Utilizing the wind farm monopile foundation as an anchor, the mooring line tension was reduced significantly by 16–66% in the single-row PRAF. The multi-row PRAF arrangement experienced lower mooring line tension in comparison with the single-row PRAF arrangement, with the highest reduction of 73%. However, for the bridle line tension, the upstream component was enhanced, while the downstream one was weakened with a monopile, and they both decreased in the multi-row arrangement. Finally, we developed numerical models based on flume tank tests that examined the interactions between the monopile and PRAFs, including configurations of a single monopile, along with single- and three-row arrangements of PRAFs. The numerical simulation results confirmed that the monopile had a dampening effect on the wave propagation of 5% to 20%, and the impact of the pontoons on the monopile was negligible, implying that the integration of aquaculture facilities around wind farm infrastructure may not significantly alter the hydrodynamic loads experienced by the monopile. Full article
Show Figures

Figure 1

15 pages, 7285 KB  
Article
Research on Sea Ice and Local Ice Load Monitoring System for Polar Cargo Vessels
by Jinhui Jiang, Shuaikang He, Herong Jiang, Xiaodong Chen and Shunying Ji
J. Mar. Sci. Eng. 2025, 13(4), 808; https://doi.org/10.3390/jmse13040808 - 18 Apr 2025
Cited by 4 | Viewed by 1969
Abstract
Sea ice and the resulting loads are major safety concerns for vessels operating in ice-covered regions. This study presents a tailored sea ice and local ice load monitoring system specifically designed for polar cargo vessels. The system employs shipboard cameras coupled with a [...] Read more.
Sea ice and the resulting loads are major safety concerns for vessels operating in ice-covered regions. This study presents a tailored sea ice and local ice load monitoring system specifically designed for polar cargo vessels. The system employs shipboard cameras coupled with a DeepLab v3+-based algorithm to achieve real-time ice concentration identification, demonstrating 90.68% accuracy when validated against historical Arctic Sea ice imagery. For structural load monitoring, we developed a hybrid methodology integrating numerical simulations, full-scale strain measurements, and classification society standards, enabling the precise evaluation of ice-induced structural responses. The system’s operational process is demonstrated through comprehensive case studies of characteristic ice collision scenarios. Furthermore, this system serves as an exemplary implementation of a navigation assistance framework for polar cargo vessels, offering both real-time operational guidance and long-term reference data for enhancing ice navigation safety. Full article
Show Figures

Figure 1

13 pages, 2796 KB  
Article
Determining Offshore Ocean Significant Wave Height (SWH) Using Continuous Land-Recorded Seismic Data: An Example from the Northeast Atlantic
by Samaneh Baranbooei, Christopher J. Bean, Meysam Rezaeifar and Sarah E. Donne
J. Mar. Sci. Eng. 2025, 13(4), 807; https://doi.org/10.3390/jmse13040807 - 18 Apr 2025
Cited by 2 | Viewed by 2174
Abstract
Long-term continuous and reliable real-time ocean wave height data are important for climatologists, offshore industries, leisure craft users, and marine forecasters. However, maintaining data continuity and reliability is challenging due to offshore equipment failures and sparse in situ observations. Opposing interactions between wind-driven [...] Read more.
Long-term continuous and reliable real-time ocean wave height data are important for climatologists, offshore industries, leisure craft users, and marine forecasters. However, maintaining data continuity and reliability is challenging due to offshore equipment failures and sparse in situ observations. Opposing interactions between wind-driven ocean waves generate acoustic waves near the ocean surface, which can convert to seismic waves at the seafloor and travel through the Earth’s solid structure. These low-frequency seismic waves, known as secondary microseisms, are clearly recorded on terrestrial seismometers offering land-based access to ocean wave states via seismic ground vibrations. Here, we demonstrate the potential of this by estimating ocean Significant Wave Heights (SWHs) in the Northeast Atlantic using continuous recordings from a land-based seismic network in Ireland. Our method involves connecting secondary microseism amplitudes with the ocean waves that generate them, using an Artificial Neural Network (ANN) to quantify the relationship. Time series data of secondary microseism amplitudes together with buoy-derived and numerical model ocean significant wave heights are used to train and test the ANN. Application of the ANN to previously unseen data yields SWH estimates that closely match in situ buoy observations, located approximately 200 km offshore, Northwest of Ireland. Terrestrial seismic data are relatively cheap to acquire, with reliable weather-independent data streams. This suggests a pathway to a complementary, exceptionally cost-effective, data-driven approach for future operational applications in real-time SWH determination. Full article
(This article belongs to the Section Physical Oceanography)
Show Figures

Figure 1

22 pages, 12219 KB  
Article
Internal Tide Generation and Propagation in the Sulu Sea Under the Influence of Circulation
by Yuhao Rong, Yunchao Yang, Chao Wang, Heng Li, Jiahui Li and Xiaodong Huang
J. Mar. Sci. Eng. 2025, 13(4), 806; https://doi.org/10.3390/jmse13040806 - 18 Apr 2025
Cited by 1 | Viewed by 1534
Abstract
The Sulu Sea has active internal tides (ITs) and basin-scale circulation. This study, for the first time, employs three-dimensional simulations to investigate the effects of the Sulu Sea circulation on IT generation and propagation. Results reveal that the cyclonic circulation can enhance the [...] Read more.
The Sulu Sea has active internal tides (ITs) and basin-scale circulation. This study, for the first time, employs three-dimensional simulations to investigate the effects of the Sulu Sea circulation on IT generation and propagation. Results reveal that the cyclonic circulation can enhance the semi-diurnal and diurnal IT energy conversion in the Sulu Archipelago by approximately 17% and 77%, respectively, compared to those without circulation for semi-diurnal ITs (4.36 GW) and diurnal ITs (2.76 GW). This different increase portion between semi-diurnal and diurnal ITs is attributed to different influences of circulation on the positive and negative conversion rates for semi-diurnal and diurnal ITs. Energy budget analysis indicates that circulation increases the proportion of dissipation near source regions from 88% (90%) to 94% (93%) and reduces the proportion of energy flux radiation from 12% (10%) to 6% (7%) for semi-diurnal (diurnal) ITs. The ray-tracing results indicate that the cyclonic circulation induces significant westward refraction of IT rays by modulating IT speeds in counter-current/co-current regions. Further sensitive experiments reveal that circulation-induced stratification weakens the refraction, whereas the background currents strengthen it, with the latter dominating. These findings advance our understanding of the IT behaviors in the Sulu Sea under the modulation of circulation. Full article
(This article belongs to the Section Physical Oceanography)
Show Figures

Figure 1

24 pages, 3497 KB  
Article
An Innovation Machine Learning Approach for Ship Fuel-Consumption Prediction Under Climate-Change Scenarios and IMO Standards
by Bassam M. Aljahdali, Yazeed Alsubhi, Ayman F. Alghanmi, Hussain T. Sulaimani and Ahmad E. Samman
J. Mar. Sci. Eng. 2025, 13(4), 805; https://doi.org/10.3390/jmse13040805 - 17 Apr 2025
Cited by 7 | Viewed by 3794
Abstract
This study introduces an innovative Emotional Artificial Neural Network (EANN) model to predict ship fuel consumption with high accuracy, addressing the challenges posed by complex environmental conditions and operational variability. This research examines the impact of climate change on maritime operations and fuel [...] Read more.
This study introduces an innovative Emotional Artificial Neural Network (EANN) model to predict ship fuel consumption with high accuracy, addressing the challenges posed by complex environmental conditions and operational variability. This research examines the impact of climate change on maritime operations and fuel efficiency by analyzing climatic variables such as wave period, wind speed, and sea-level rise. The model’s performance is assessed using two ship types (bulk carrier and container ship with max 60,000 dead weight tonnage (DWT)) under various climate scenarios. A comparative analysis demonstrates that the EANN model significantly outperforms the conventional Feedforward Neural Network (FFNN) in predictive accuracy. For bulk carriers, the EANN achieved a Root Mean Squared Error (RMSE) of 5.71 tons/day during testing, compared to 9.91 tons/day for the FFNN model. Similarly, for container ships, the EANN model achieved an RMSE of 5.97 tons/day, significantly better than the FFNN model’s 10.18 tons/day. A sensitivity analysis identified vessel speed as the most critical factor, contributing 33% to the variance in fuel consumption, followed by engine power and current speed. Climate-change simulations showed that fuel consumption increases by an average of 22% for bulk carriers and 19% for container ships, highlighting the importance of operational optimizations. This study emphasizes the efficacy of the EANN model in predicting fuel consumption and optimizing ship performance. The proposed model provides a framework for improving energy efficiency and supporting compliance with International Maritime Organization Standards (IMO) environmental standards. Meanwhile, the Carbon Intensity Indicator (CII) evaluation results emphasize the urgent need for measures to reduce carbon emissions to meet the IMO’s 2030 standards. Full article
Show Figures

Figure 1

16 pages, 3405 KB  
Article
Modeling and Control of Tugboat-Assisted Operation for Marine Vessels
by Jung-Suk Park, Tan-Ngoc Nguyen, Cao-Tri Dinh, Thinh Huynh and Young-Bok Kim
J. Mar. Sci. Eng. 2025, 13(4), 804; https://doi.org/10.3390/jmse13040804 - 17 Apr 2025
Cited by 3 | Viewed by 2798
Abstract
This paper introduces a novel approach to modeling and control system design for tugboat-assisted operations, such as the docking and rescue of marine vessels. In these scenarios, one or more tugboats push, pull, or guide large vessels to ensure precise and safe maneuvering. [...] Read more.
This paper introduces a novel approach to modeling and control system design for tugboat-assisted operations, such as the docking and rescue of marine vessels. In these scenarios, one or more tugboats push, pull, or guide large vessels to ensure precise and safe maneuvering. Their control systems ensure accurate coordination, vessel positioning, and overall stability, even in the presence of system uncertainties, imperfect control allocation, and ocean disturbances. To address these challenges, a mathematical model of a general tugboat-assisted system is first derived. Then, a new vector of variables is introduced, leading to a modified model representation where the mismatches from the allocation and lower-level tugboat controllers can be realized in the vessel’s motion equation. Thus, the design of a controller can take this aspect into account to enhance the overall system’s performance and stability. Thirdly, a control system design method is proposed, employing a centralized control framework and ensuring a mixed H/H performance criterion. Finally, a case study is conducted with a particular tugboat-assisted configuration and the results validate the effectiveness of the control solution. Full article
(This article belongs to the Section Ocean Engineering)
Show Figures

Figure 1

25 pages, 13401 KB  
Article
Enhanced U-Net for Underwater Laser Range-Gated Image Restoration: Boosting Underwater Target Recognition
by Peng Liu, Shuaibao Chen, Wei He, Jue Wang, Liangpei Chen, Yuguang Tan, Dong Luo, Wei Chen and Guohua Jiao
J. Mar. Sci. Eng. 2025, 13(4), 803; https://doi.org/10.3390/jmse13040803 - 17 Apr 2025
Cited by 4 | Viewed by 2203
Abstract
Underwater optical imaging plays a crucial role in maritime safety, enabling reliable navigation, efficient search and rescue operations, precise target recognition, and robust military reconnaissance. However, conventional underwater imaging methods often suffer from severe backscattering noise, limited detection range, and reduced image clarity—challenges [...] Read more.
Underwater optical imaging plays a crucial role in maritime safety, enabling reliable navigation, efficient search and rescue operations, precise target recognition, and robust military reconnaissance. However, conventional underwater imaging methods often suffer from severe backscattering noise, limited detection range, and reduced image clarity—challenges that are exacerbated in turbid waters. To address these issues, Underwater Laser Range-Gated Imaging has emerged as a promising solution. By selectively capturing photons within a controlled temporal gate, this technique effectively suppresses backscattering noise-enhancing image clarity, contrast, and detection range. Nevertheless, residual noise within the imaging slice can still degrade image quality, particularly in challenging underwater conditions. In this study, we propose an enhanced U-Net neural network designed to mitigate noise interference in underwater laser range-gated images, improving target recognition performance. Built upon the U-Net architecture with added residual connections, our network combines a VGG16-based perceptual loss with Mean Squared Error (MSE) as the loss function, effectively capturing high-level semantic features while preserving critical target details during reconstruction. Trained on a semi-synthetic grayscale dataset containing synthetically degraded images paired with their reference counterparts, the proposed approach demonstrates improved performance compared to several existing underwater image restoration methods in our experimental evaluations. Through comprehensive qualitative and quantitative evaluations, underwater target detection experiments, and real-world oceanic validations, our method demonstrates significant potential for advancing maritime safety and related applications. Full article
Show Figures

Figure 1

19 pages, 2045 KB  
Article
Enhancing Joint Probability of Maxima Method Through ENSO Integration: A Case Study of Annapolis, Maryland
by Paul F. Magoulick and Li P. Sung
J. Mar. Sci. Eng. 2025, 13(4), 802; https://doi.org/10.3390/jmse13040802 - 17 Apr 2025
Cited by 1 | Viewed by 955
Abstract
This study advances coastal flood risk assessment by incorporating El Niño–Southern Oscillation (ENSO) phase information into the Joint Probability of Maxima Method (ENSO-JPMM) for extreme water level prediction in Annapolis, MD. Using data from GLOSS/Extended Sea 135 Level Analysis Version 3 (GESLA-3) dataset [...] Read more.
This study advances coastal flood risk assessment by incorporating El Niño–Southern Oscillation (ENSO) phase information into the Joint Probability of Maxima Method (ENSO-JPMM) for extreme water level prediction in Annapolis, MD. Using data from GLOSS/Extended Sea 135 Level Analysis Version 3 (GESLA-3) dataset and water level records from 1950–2021, we demonstrate that ENSO phases significantly affects flood risk probabilities through their influence on mean sea level, astronomical tides, and skew surge components. We introduce an enhanced JPMM framework that employs phase-specific scaling factors and vertical offsets derived from historical observations, with El Niño conditions associated with higher mean water levels (0.433 m) compared to La Niña (0.403 m) and Neutral phases (0.409 m). The ENSO-JPMM demonstrates improved predictive accuracy across all phases, with root mean square error reductions of up to 5.96% during Neutral conditions and 3.56% during El Niño phases. By implementing a detailed methodology for mean sea level estimation and skew surge analysis, our approach provides a more detailed framework for separating tidal and non-tidal components while accounting for climate variability. The results indicate that traditional extreme value analyses may underestimate flood risks by failing to account for ENSO-driven variability, which can modulate mean water levels by up to 3.0 cm in Annapolis. This research provides insight for coastal infrastructure planning and flood risk management, particularly as climate change potentially alters ENSO characteristics and their influence on extreme water levels. The methodology presented here, while specific to Annapolis MD, can be adapted for other coastal regions to improve flood risk assessments and enhance community resilience planning. Full article
(This article belongs to the Section Coastal Engineering)
Show Figures

Figure 1

20 pages, 5079 KB  
Article
Research on the Wetland Vegetation Classification Method Based on Cross-Satellite Hyperspectral Images
by Min Yang, Jing Qin, Xiaodan Wang and Yanfeng Gu
J. Mar. Sci. Eng. 2025, 13(4), 801; https://doi.org/10.3390/jmse13040801 - 17 Apr 2025
Cited by 3 | Viewed by 1491
Abstract
In recent years, the global commercial aerospace industry has flourished, witnessing a rapid surge in customized satellite services. Deep learning has emerged as a pivotal tool for accurately identifying wetland vegetation. However, hyperspectral remote sensing images are often plagued by varying degrees of [...] Read more.
In recent years, the global commercial aerospace industry has flourished, witnessing a rapid surge in customized satellite services. Deep learning has emerged as a pivotal tool for accurately identifying wetland vegetation. However, hyperspectral remote sensing images are often plagued by varying degrees of noise during acquisition, leading to subtle differences in spectral responses. Currently, vegetation classification models are tailored specifically for each hyperspectral sensor, making it challenging to generalize a model designed for one sensor to others. Furthermore, discrepancies in data distribution between training and test sets result in a notable decline in model performance, impeding model sharing across satellite hyperspectral sensors and hindering the interpretation of wetland scenes. Domain adaptation methods leveraging Generative Adversarial Networks (GANs) have been extensively researched and applied in the realm of cross-sensor land feature classification. Nevertheless, these data-level cross-domain classification strategies typically focus on band selection or alignment using relatively similar data to address image differences, without addressing spectral variability or incorporating pseudo-labels to enhance classification accuracy. Noise changes aggravate the distribution characteristics and model differences of vegetation in classification tasks. This has a negative impact on subsequent classification accuracy. To alleviate these problems, we have designed a linear unbiased stochastic network classification framework based on adversarial learning. The framework employs a style randomization algorithm to simulate spectral drift. It generates simulated images to enhance the model’s generalization ability. Supervised contrastive learning is utilized to prevent redundant learning of the same training images. Domain discrimination and domain-invariant characteristics are considered. We optimize the generator and discriminator using inter-class and intra-class contrast loss functions. The dual regularization training method is adopted, and non-redundant expansion is realized. It achieves similarity and addresses offsets. This method minimizes computational cost. Cross-sensor classification experiments were conducted, with comparative tests performed on a self-made wetland dataset. This method demonstrates significant advantages in wetland vegetation classification. According to the visualization results, our classification strategy can be used for cross-domain vegetation classification in coastal wetlands. It can also be applied to other small-satellite hyperspectral images and cross-satellite multispectral data, reducing on-site sampling costs and proving cost-effective. Full article
Show Figures

Figure 1

16 pages, 2715 KB  
Article
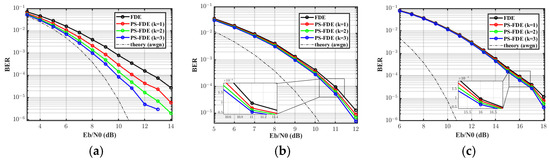
Posterior Probability-Based Symbol Detection Algorithm for CPM in Underwater Acoustic Channels
by Ruigang Han, Ning Jia, Yufei Liu, Jianchun Huang, Suna Qu and Shengming Guo
J. Mar. Sci. Eng. 2025, 13(4), 800; https://doi.org/10.3390/jmse13040800 - 17 Apr 2025
Viewed by 1213
Abstract
The underwater acoustic (UWA) communication system is characterized by limited bandwidth, while continuous phase modulation (CPM) offers a constant envelope, improving power and spectrum utilization efficiency. However, severe inter-symbol interference (ISI) poses a significant challenge in CPM-based UWA communication. Traditional CPM frequency domain [...] Read more.
The underwater acoustic (UWA) communication system is characterized by limited bandwidth, while continuous phase modulation (CPM) offers a constant envelope, improving power and spectrum utilization efficiency. However, severe inter-symbol interference (ISI) poses a significant challenge in CPM-based UWA communication. Traditional CPM frequency domain equalization (FDE) combined with simple phase detection neglects the inherent coding gain from CPM, leading to performance degradation. Although Viterbi detection provides high performance, its complexity makes it unsuitable for computationally constrained UWA systems. This paper proposes a symbol detection algorithm based on posterior probabilities combined with FDE (PS-FDE). PS-FDE improves CPM signal detection performance by effectively separating information, applying delay, and performing multiple rounds of information merging. Simulations using minimum shift keying (MSK) and Gaussian MSK signals demonstrate significant performance improvement in just a few iterations over UWA channels. A sea trial further validates the algorithm, showing a 15.83% reduction in bit error rate after three information mergings. Full article
(This article belongs to the Special Issue Underwater Acoustic Field Modulation Technology)
Show Figures

Figure 1

18 pages, 16933 KB  
Article
Research on Variable Circulation Design Method and Internal Flow Characteristic of the Axial Flow Pump
by Xuewei Yu, Qili Gan, Zifan Ling, Jiahui Gong, Jiajia Tang and Lijian Shi
J. Mar. Sci. Eng. 2025, 13(4), 799; https://doi.org/10.3390/jmse13040799 - 16 Apr 2025
Cited by 1 | Viewed by 1280
Abstract
To investigate the influence of circulation distribution on axial-flow pump performance, this study integrates numerical simulation and theoretical analysis methods, establishing a simulation framework based on MATLAB and CFX. By adjusting the circulation distribution function from the hub to the tip of the [...] Read more.
To investigate the influence of circulation distribution on axial-flow pump performance, this study integrates numerical simulation and theoretical analysis methods, establishing a simulation framework based on MATLAB and CFX. By adjusting the circulation distribution function from the hub to the tip of the impeller, various design models were constructed. Three-dimensional parametric modeling of the blades was achieved through MATLAB programming, generating key parameters such as blade profile coordinates. Subsequently, the geometric data were imported into CFX to establish a full-flow passage numerical model. The simulation employed the RANS equations with the k-ε turbulence model to analyze flow field characteristics and hydraulic performance under different circulation schemes. Numerical results indicate that under identical circulation distributions, the head–flow curve exhibits a monotonically decreasing trend, while the efficiency curve demonstrates a distinct single-peak characteristic. Notably, under specific design conditions, variations in design parameters can shift the best efficiency point while simultaneously improving efficiency. Cavitation performance analysis reveals that as the hub-to-tip ratio increases, the velocity circulation initially rises rapidly before gradually stabilizing. This distribution pattern effectively optimizes the pressure gradient at the impeller outlet, thereby significantly enhancing cavitation resistance across a wide operational range. The proposed circulation control methodology provides critical theoretical support and engineering guidance for the hydrodynamic optimization of low-head axial flow pumps. Full article
(This article belongs to the Section Ocean Engineering)
Show Figures

Figure 1

20 pages, 1287 KB  
Article
Integrated Approach to Marine Engine Maintenance Optimization: Weibull Analysis, Markov Chains, and DEA Model
by Damir Budimir, Dario Medić, Vlatka Ružić and Mateja Kulej
J. Mar. Sci. Eng. 2025, 13(4), 798; https://doi.org/10.3390/jmse13040798 - 16 Apr 2025
Cited by 3 | Viewed by 3044
Abstract
This study addresses the growing need for predictive maintenance in the maritime industry by proposing an optimized strategy for ship engine maintenance. The aim is to reduce unplanned failures that cause significant financial losses and disrupt global logistics flows. The methodology integrates Weibull [...] Read more.
This study addresses the growing need for predictive maintenance in the maritime industry by proposing an optimized strategy for ship engine maintenance. The aim is to reduce unplanned failures that cause significant financial losses and disrupt global logistics flows. The methodology integrates Weibull reliability analysis, Markov chains, and Data Envelopment Analysis (DEA). A dataset of 512 diesel engine components from container ships was analysed, where the Weibull distribution (β = 1.8; α = 18,500 h) accurately modelled failure patterns, and Markov chains captured transitions between operational states (normal, degraded, failure). DEA was used to evaluate the efficiency of different maintenance strategies. Results indicate that targeting interventions in the degraded state significantly reduces downtime and improves component reliability, particularly for high-pressure fuel pumps and turbochargers. Optimizing maintenance extended the Mean Time to Failure (MTTF) up to 22,000 h and reduced the proportion of failures in critical components from 64.3% to 40%. These findings support a transition from reactive to proactive maintenance models, contributing to enhanced fleet availability, safety, and cost-effectiveness. The approach provides a quantitative foundation for predictive maintenance planning, with potential application in fleet management systems and smart ship platforms. Full article
(This article belongs to the Section Ocean Engineering)
Show Figures

Figure 1

29 pages, 2777 KB  
Review
Digitalization in the Maritime Logistics Industry: A Systematic Literature Review of Enablers and Barriers
by Fangli Zeng, Anqi Chen, Shuojiang Xu, Hing Kai Chan and Yusong Li
J. Mar. Sci. Eng. 2025, 13(4), 797; https://doi.org/10.3390/jmse13040797 - 16 Apr 2025
Cited by 18 | Viewed by 17359
Abstract
Digitalization is gaining its popularity in the maritime logistics sector due to its potential to enhance information sharing and automation. These advantages can significantly improve efficiency and have the potential to replace complex manual tasks. However, the diffusion of digitalization faces certain challenges, [...] Read more.
Digitalization is gaining its popularity in the maritime logistics sector due to its potential to enhance information sharing and automation. These advantages can significantly improve efficiency and have the potential to replace complex manual tasks. However, the diffusion of digitalization faces certain challenges, which, in turn, has drawn the attention of researchers. Implementing digitalization is a complex process, as it is affected by various enablers and barriers, while research providing a comprehensive overview of digitalization in the maritime logistics sector is limited. This study aims to fill the gap by conducting a literature review that reveals digitalization’s enablers and barriers in the maritime logistics sector and constructs a theoretical framework. It analyzes 117 articles that have made significant contributions to this field. The development of innovative technologies, such as blockchain, digital twins, and autonomous shipping, fosters digitalization in maritime logistics. Conversely, barriers like the lack of awareness about the benefits of digitalization can slow down its progress. In total, this paper identifies 19 enablers of and 10 barriers to digitalization in the maritime logistics sector. These enablers and barriers are classified into three groups–technology, organization, and environment–following the Technology–Organization–Environment (TOE) framework. We develop a theoretical framework accordingly using, as its basis, relevant innovation diffusion theories and studies. This study contributes to the development of effective digitalization strategies for maritime organizations and provides a theoretical foundation for future research. Full article
(This article belongs to the Special Issue AI-Empowered Marine Energy)
Show Figures

Figure 1

16 pages, 3395 KB  
Article
Improved Snake Optimization and Particle Swarm Fusion Algorithm Based on AUV Global Path Planning
by Haobo Jiang and Xinghong Kuang
J. Mar. Sci. Eng. 2025, 13(4), 796; https://doi.org/10.3390/jmse13040796 - 16 Apr 2025
Cited by 4 | Viewed by 1158
Abstract
An improved snake optimization algorithm (ISO) is proposed to obtain an effective and reliable three-dimensional path for an autonomous underwater vehicle (AUV) to navigate seabed barrier environments and ocean currents. First, a three-dimensional seafloor environment model, seafloor obstacles, and a model of a [...] Read more.
An improved snake optimization algorithm (ISO) is proposed to obtain an effective and reliable three-dimensional path for an autonomous underwater vehicle (AUV) to navigate seabed barrier environments and ocean currents. First, a three-dimensional seafloor environment model, seafloor obstacles, and a model of a Lamb vortex current are constructed. Second, the designed mathematical framework for three-dimensional path planning comprehensively considers a variety of constraints such as sailing distance, path threat, sailing altitude, and optimized ocean current energy consumption. Finally, ISO diversifies the snake population’s distribution space by implementing a good point set initialization approach, a Cauchy variation strategy to enhance the convergence accuracy, and a fusion particle swarm algorithm strategy to improve the convergence speed. To evaluate ISO’s optimization performance, by minimizing the fitness value, the optimization outcomes are contrasted with those of five different algorithms. The experimental results show that the ISO algorithm can generate safe, low-energy, and path-optimal AUV navigation planning, which presents a novel effective approach for AUV path planning. Full article
(This article belongs to the Section Ocean Engineering)
Show Figures

Figure 1

19 pages, 11253 KB  
Article
Analysis of the Main Influencing Factors of Marine Environment on the Nuclear Pressure Vessel of Floating Nuclear Power Plants
by Fuxuan Ma, Meng Zhang and Xianqiang Qu
J. Mar. Sci. Eng. 2025, 13(4), 795; https://doi.org/10.3390/jmse13040795 - 16 Apr 2025
Viewed by 1236
Abstract
Nuclear energy inherently possesses both immense utility and significant risks. To ensure global safety, designers of floating nuclear power plants (FNPPs) must thoroughly consider the influence of the marine environment on the reactor pressure vessel (RPV). Wave loads act on the hull of [...] Read more.
Nuclear energy inherently possesses both immense utility and significant risks. To ensure global safety, designers of floating nuclear power plants (FNPPs) must thoroughly consider the influence of the marine environment on the reactor pressure vessel (RPV). Wave loads act on the hull of an FNPP, causing structural deformation, which is subsequently transferred to the RPV. Additionally, wave-induced forces generate six degrees of freedom (6-DOF) motion in the hull, resulting in inertial loads. Consequently, the RPV is subjected to both deformation loads transmitted from the hull and inertial loads associated with the 6-DOF motion. To accurately account for the effects of the marine environment while minimizing the computational cost of RPV fatigue analysis, it is essential to identify the primary influencing factors. This study determined that the predominant factors affecting RPV fatigue in an FNPP were the hull’s pitch, roll, and yaw motions. In mechanical analyses of the RPV, including ultimate strength and fatigue assessments, only rotational inertial loads need to be considered, while the influence of translational inertial loads and hull deformation can be neglected. Full article
(This article belongs to the Special Issue Wave Loads on Offshore Structure)
Show Figures

Figure 1

Previous Issue
Next Issue
Back to TopTop