Abstract
In modern marine vessels equipped with electric propulsion systems, rectifiers are commonly used as part of the setup. However, the conventional deadbeat predictive direct power control strategy for three-phase voltage source pulse-width modulation (PWM) rectifiers tends to underperform when subjected to load variations and external disturbances. To address these limitations, this paper proposes an enhanced linear active disturbance rejection control (LADRC), incorporating virtual capacitance and an improved equivalent input disturbance strategy. The integration of virtual capacitance in the LADRC is specifically applied during load transitions. Virtual capacitance is a capacitor element simulated through the control strategy. It enhances voltage stability and dynamic response capability by compensating for voltage fluctuations and power deficits in the system. By providing a virtual active power, this approach substantially improves power tracking performance, reducing the DC voltage drop and settling time by 60% and 74%, respectively. In addition, the proposed strategy is easy to implement and does not add complexity to the LADRC. Moreover, the equivalent input disturbance is refined through virtual capacitance, enabling accurate disturbance estimation. As a result, the active power ripple and current total harmonic distortion under disturbances are reduced by 44% and 40%, respectively. The stability of the proposed strategy is comprehensively analyzed, and experimental results from a prototype system validate its effectiveness and accuracy.
1. Introduction
To mitigate environmental pollution from ships due to emissions of sulfur oxides, nitrogen oxides, and carbon dioxide, the use of electric propulsion systems in marine vessels is increasingly recognized as an effective solution. Conventional electric propulsion ships typically comprise a generator, rectifier, inverter, and propulsion motor [1,2]. The three-phase voltage source pulse-width modulation (PWM) rectifier provides several advantages, including sinusoidal grid currents, bidirectional power flow, and controllability DC voltage [3]. These advantages have led to its widespread application in renewable energy systems, marine vehicle electric propulsion, and electric vehicle charging [4,5,6,7]. With the increasing focus on grid-connected renewable energy technologies, various control strategies for PWM rectifiers have been developed in recent years. Among the most widely used strategies are voltage-oriented control (VOC), direct power control (DPC), and model predictive control (MPC) [8,9,10,11,12].
In contrast to VOC, DPC has gained considerable attention because it uses instantaneous power as the control variable, which notably enhances the flexibility of system analysis and implementation. Additionally, its simpler structure and control algorithm offers excellent dynamic performance. However, conventional table-based DPC encounters challenges such as variable switching frequency, large power ripples, and the need for a high sampling frequency. Deadbeat predictive direct power control (DB-PDPC) has recently been developed by integrating MPC with the concept of instantaneous power. This approach uses an inverse predictive model to calculate the reference voltage and has been extensively studied for its capability to maintain a constant switching frequency while reducing computational requirements. In marine electric propulsion systems, load transients and external disturbances frequently degrade dynamic performance, threatening operational stability. Particularly in harsh environments, rapid response and effective disturbance rejection capabilities become essential for maintaining system reliability and safety. However, the outer loop of DPC uses a proportional–integral (PI) controller, which only initiates control action after a disturbance occurs, resulting in slow dynamic performance. Linear active disturbance rejection control (LADRC) has been proposed to address these limitations [13,14]. LADRC offers superior dynamic tracking performance, and its parameters are easy to tune, making it suitable for linear and nonlinear systems [15,16].
In [17], a strategy that applies LADRC to replace the outer voltage loop and the inner current loop of the PWM rectifier is proposed. Compared to conventional PI control, this approach achieves lower DC voltage ripple and current total harmonic distortion (THD). Nevertheless, the current and power tracking performance is still unsatisfactory. Additionally, a LADRC strategy based on fuzzy control for the outer voltage loop of an active power filter is presented in [18]. This strategy automatically calibrates the LADRC in a random environment, resulting in improved current dynamic tracking performance and enhanced disturbance rejection. Despite these improvements, the strategy still exhibits relatively large DC voltage fluctuations. In [19], a fractional-order LADRC is introduced, incorporating a fractional-order term into the linear extended state observer (LESO). This approach enhances parameter design flexibility and reduces total disturbance estimation errors. In [20], an improved LADRC is developed by incorporating total disturbance compensation and lead–lag correction, which drastically improves disturbance observation capabilities without increasing the observer bandwidth. However, Refs. [19,20] enhance system performance by reconstructing the LESO structure, which not only increases the computational burden but also complicates the LADRC structure. Moreover, all the aforementioned strategies rely on an inner current loop, and the dynamic response of the system remains slow during load changes. To address these issues, this paper integrates LADRC into DB-PDPC for three-phase voltage source PWM rectifiers. This combination leverages the advantages of LADRC, achieving a faster dynamic response in the inner power loop compared to the current loop. Although existing LADRC strategies demonstrate satisfactory robustness during load variations, they still exhibit certain limitations in dynamic response and transient performance. However, the proposed LADRC design based on DB-PDPC establishes a simplified relationship where the gain coefficient depends solely on capacitance C. This characteristic enables the enhancement of dynamic performance through virtual capacitance (VC) parameter adjustment without increasing system complexity.
In the design of three-phase voltage source PWM rectifier systems, the capacitance value is typically fixed, and adding physical capacitance can negatively impact system performance. By contrast, the virtual capacitance emulates the energy storage characteristics of physical capacitance, enabling rapid provision of virtual active power during load fluctuations to maintain power balance within the system. This ensures prompt attainment of the active power reference during load transients, thereby substantially enhancing both dynamic stability and transient response characteristics of the system. It offers several advantages, including increased flexibility and reduced hardware costs. Specifically, VC enables real-time parameter adjustments, enhancing the adaptability of the system to disturbances. Moreover, the software-based implementation of this system eliminates the need for physical space and avoids energy losses typically associated with real capacitance, resulting in improved system efficiency and stability [21,22]. In practical applications, load variations and disturbances can affect the performance of the system. While LADRC exhibits excellent rejection capability for constant disturbances, its performance significantly degrades when dealing with time-varying disturbances, particularly sinusoidal perturbations, where equivalent input disturbance (EID) demonstrates superior performance. The EID approach effectively rejects various disturbances without requiring plant inverse dynamics, system state availability, or disturbance modeling. By treating nonlinearities as state-dependent disturbances, this method manages disturbances and nonlinearities and has been successfully applied in time-delay, uncertain, and other control systems [23,24]. Considering the complexity of external disturbances in practical systems, this study integrates EID with LADRC to enhance the overall disturbance rejection capability.
This paper presents a novel LADRC with virtual capacitance and equivalent input disturbance (LADRC–VCEID) strategy, aiming to improve dynamic performance and achieve better steady-state characteristics. The strategy effectively addresses key challenges in marine electric propulsion systems, including voltage fluctuations and slow response during load variations, while significantly enhancing system stability and disturbance rejection capability under complex operating conditions. The main contributions and innovations of this article are as follows:
- 1.
- The LADRC structure for the three-phase PWM rectifier DB-PDPC is designed, providing an effective method to enhance system performance.
- 2.
- A VC is incorporated into the LADRC to improve dynamic power tracking performance and reduce DC voltage drop during sudden load applications. The VC parameters are comprehensively analyzed.
- 3.
- Based on the LADRC and VC, an enhanced EID approach is designed to accurately estimate disturbances, thereby reducing DC voltage and power ripple, as well as grid current THD under disturbances.
The rest of this paper is organized as follows. Section 2 introduces the model of the three-phase voltage source PWM rectifier and the LADRC structure for DB-PDPC. Section 3 presents the proposed LADRC–VCEID strategy in detail. Section 4 offers a stability analysis of the system using the LADRC–VCEID strategy. Section 5 constructs a prototype of a three-phase voltage source PWM rectifier to validate the proposed approach, with comparisons to other strategies discussed. Finally, Section 6 provides the conclusion.
2. Three-Phase PWM Rectifier DB-PDPC Strategy Based on LADRC
2.1. Accurate Mathematical Model of DB-PDPC
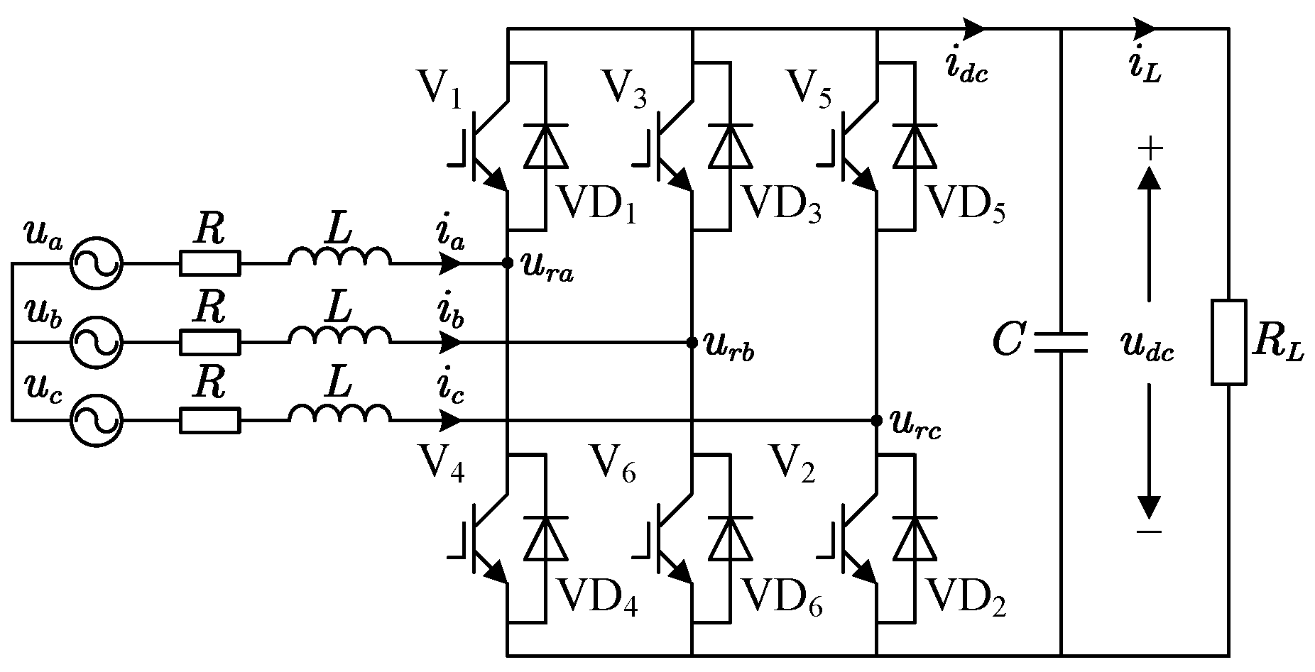
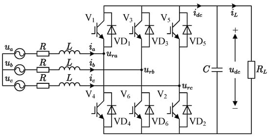
The main circuit topology of the three-phase voltage source PWM rectifier is illustrated in Figure 1. , and are the grid-side three-phase AC voltages. , and are the grid-side three-phase AC currents. , and are the input AC voltages of the rectifier. , , and represent the DC voltage, DC current, and load current, respectively. L and R denote the equivalent inductance and resistance of the inductor, respectively, C represents the DC-side capacitance, and is the DC-side load resistance.
Figure 1.
Main circuit topology of the three-phase voltage source PWM rectifier.
The DB-PDPC control strategy transforms the three-phase voltages and currents in Figure 1 into the coordinate system, which is then used to calculate instantaneous active and reactive power. Utilizing the DC voltage to calculate active power reference, the control strategy determines optimal switching states for the rectifier, thereby achieving precise regulation of both active and reactive power.
As illustrated in Figure 1, the three-phase rectifier comprises bridge arms a, b, and c. To facilitate analysis of the rectifier’s operational states and establish its mathematical model, we define the switching function with complementary switching states as follows:
where state 1 indicates the upper bridge arm is on while the lower bridge arm is off, and state 0 represents the inverse configuration.
The variables in the coordinate system can be calculated using the following transformations:
where , , and are the grid-side phase voltages and phase currents. and are switching functions of rectifier in the coordinate system.
When the grid-side three-phase AC voltage is balanced, the mathematical model of the three-phase voltage source PWM rectifier in the coordinate system can be derived using Kirchhoff’s law, as follows:
where and are the input phase voltages of the PWM rectifier.
The instantaneous active and reactive powers of the system are calculated as follows:
By differentiating Equation (4), the change rate of instantaneous power can be derived
In DB-DPC the , are assumed constant over the switching period . As a result, the variation of active and reactive powers between two successive sampling instants can be expressed as follows:
Using a discrete first-order approximation of Equation (3), the variation of grid-side phase current is obtained as
DB-PDPC achieves tracking of the active power reference value at the beginning of the next period, which leads to the following:
Thus, the control voltage can be calculated as follows:
where
At the k-th sampling instant, the active power error can be expressed as
DB-PDPC enhances transient response by directly predicting and controlling the system’s transient behavior, enabling rapid tracking of the active power reference within each sampling period. This approach allows the system to quickly adapt to load changes, significantly improving both response speed and stability. In contrast, conventional DPC strategies rely on hysteresis comparators to determine the rectifier’s switching vector, which introduces delay and causes larger voltage and power fluctuations during load variations, leading to poorer dynamic performance.
Equation (12) calculates the reference voltage through the inverse predictive model, ensuring that the active power reference is quickly tracked within each sampling period. This control mechanism drives and to converge to zero. Once the instantaneous active and reactive power errors are eliminated, the controller may fail to select the appropriate control vector effectively, which is essential for the rectifier’s stable operation. To address this issue, the paper introduces feedback correction into the DB-PDPC, ensuring that power errors are corrected and the system remains stable and operates efficiently.
A feedback correction method based on internal model theory is employed as follows:
where h is the weighted correction coefficient.
After each control step, the prediction error of the current step is calculated and then added to the prediction for the next step, correcting the predicted value.
2.2. Design of LADRC for DB-PDPC
A single-input single-output first-order system can be represented as follows:
where y is the output, u is the input, f represents the total disturbance, and is the estimated control gain.
The system output and its derivatives are defined as the state variables, and the additional state variable is expanded, this formulation yields Equation (16)
The corresponding state-space representation is expressed as Equation (17)
According to Equations (16) and (17), the state-space expression coefficients of first-order LADRC are shown as follows:
Equation (17) is fully observable; thus, the extended state observer can be used to observe the system state z. The Luenberger observer of Equation (17) has the following form
Therefore, the state-space expression of a first-order LADRC is shown as follows:
where r is the reference signal,
The gains of the observer and controller are
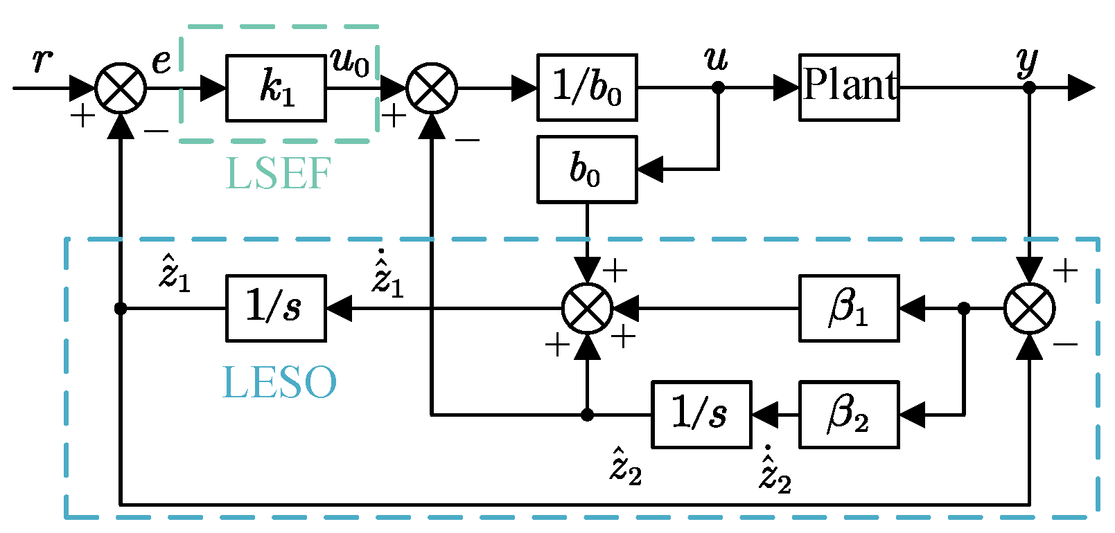
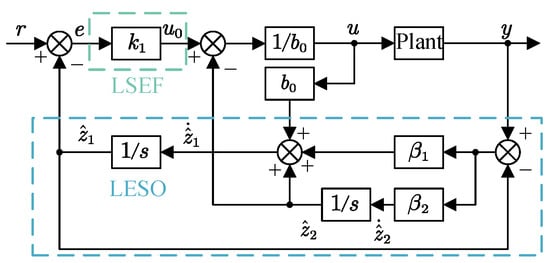
The structure of the first-order LADRC is shown in Figure 2.
Figure 2.
Structure of the first-order LADRC.
Aiming to stabilize the system, the LESO poles are allocated at LESO bandwidth , while the closed-loop poles are allocated at the controlled object bandwidth . The controller bandwidth is selected based on the system’s stability requirements and the frequency of load variations while considering the grid frequency . The observer bandwidth is set to , based on empirical values that balance estimation accuracy with noise immunity. Therefore, the following relations can be established as follows [17]:
where
The estimated control gain for LADRC in DB-PDPC is designed as follows. The DC-side power of the PWM rectifier comprises the power across the capacitor and the power dissipated by the resistor, as expressed by the following equation
The active power reference is calculated as follows:
where is the output of the outer voltage loop, representing the current reference.
According to Equations (24) and (25), Equation (26) can be obtained as follows:
where is the lumped disturbance of the system, and the parameters and are defined as follows:
Equation (27) shows that the in the LADRC is decoupled from other variables and is solely dependent on the capacitance C, allowing for system performance improvement by adjusting the value of C. Moreover, C and are incorporated into , and the LESO estimates and compensates for them to mitigate the influence of load disturbances.
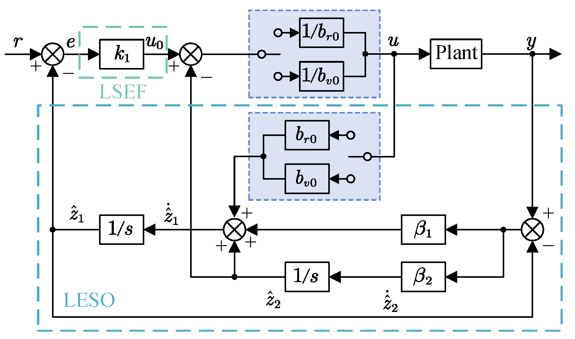
3. Proposed LADRC–VCEID Structure for DB-PDPC Strategy
The conventional LADRC structure exhibits limitations in dynamic response and disturbance rejection capabilities. To address these drawbacks, Section 3 proposes an enhanced LADRC structure, termed LADRC–VCEID, which integrates the VC and EID methods. This improved structure optimizes the DB-PDPC strategy, thereby substantially enhancing the performance of the rectifier system.
3.1. LADRC with VC
In the proposed LADRC–VCEID strategy, VC is engaged when additional load is applied. The relationship is expressed as follows:
where is the value of real capacitance, is the value of VC. represents the initial load condition, while represents the condition with additional load.
The block diagram demonstrates the integration of virtual capacitance into the LADRC control framework, as illustrated in Figure 3.
Figure 3.
Block diagram of LADRC with virtual capacitance.
The power calculation for the capacitance is shown as follows:
where Q represents the virtual power generated by the real capacitance.
The Q is normalized to
where is the active power when the system is under .
The virtual active power required to compensate for load disturbances is calculated as follows:
where is the load power when the system is under .
The VC can be obtained
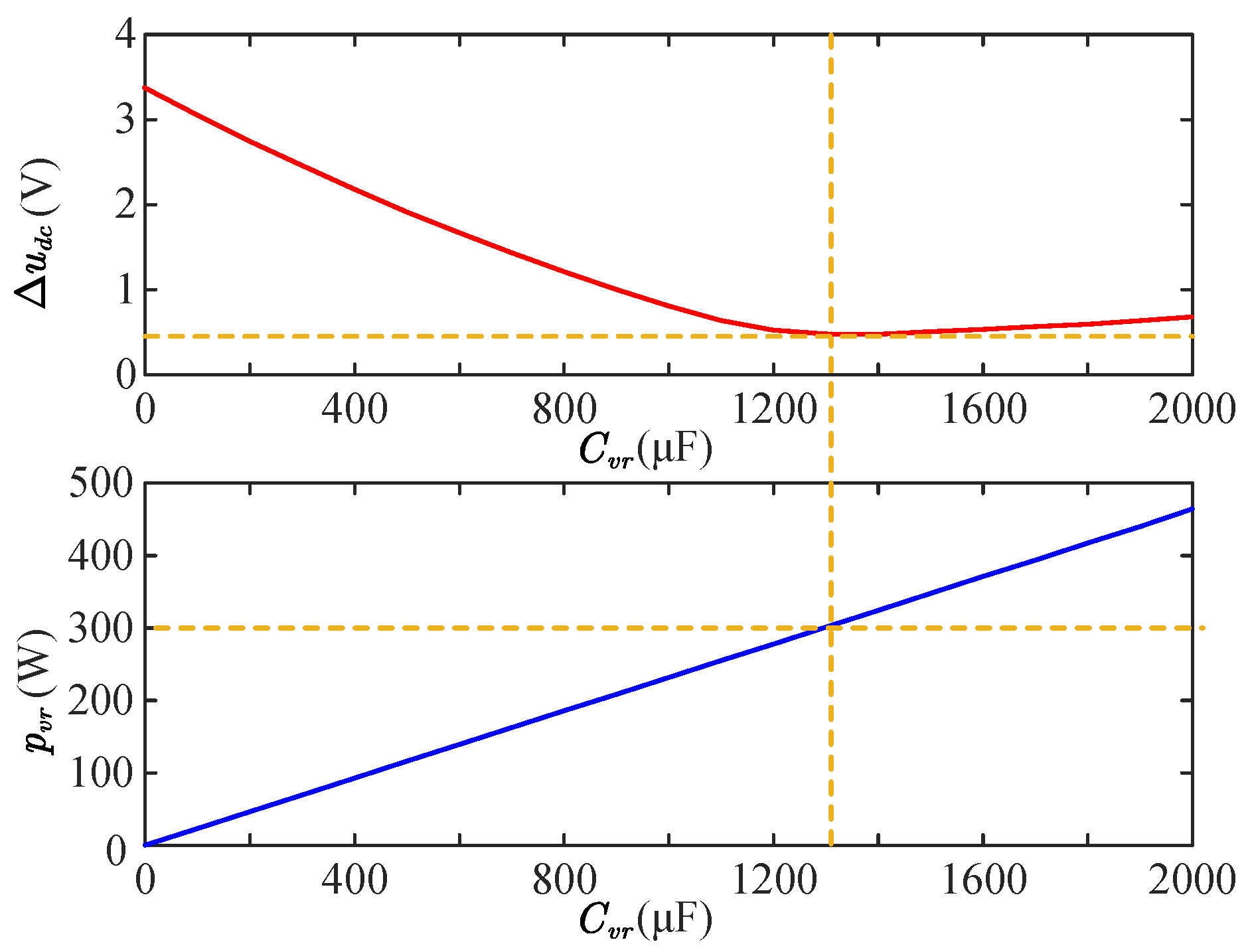
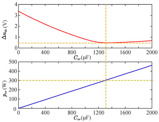
This paper conducts simulations with VC values ranging from 0 to 2000 µF to analyze its influence on system performance, confirming the accuracy of Equation (34). The simulation parameters are identical to those listed in Table 1. The analysis reveals the relationship between virtual capacitance , DC voltage drop , and virtual active power , as illustrated in Figure 4.
Table 1.
System simulation and experiment parameters.
Figure 4.
Relationship between VC, DC voltage drop, and virtual active power.
As shown in Figure 4, increasing the VC notably reduces the DC voltage drop, indicating that an optimal VC value can effectively enhance the dynamic response of the DC voltage under load changes. Furthermore, Figure 4 demonstrates a linear relationship between the VC value and the virtual active power. In this paper, the system power increases from 500 W to 800 W in response to load changes. Consequently, the VC value, which provides 300 W of virtual active power, minimizes the DC voltage drop, as confirmed by Figure 4. Based on Equation (34), the optimal VC value is calculated to be 1280 µF.
3.2. LADRC with EID
This paper used an EID to LADRC, as shown in Figure 5.
Figure 5.
Control structure of the EID.
A plant with an actual disturbance can be interpreted as , and the state-space Equation (17) can be written as follows:
The state observer is then constructed to estimate as follows:
where is a feedback control input.
Letting and substituting it into Equation (35) yields the following:
Assume the existence of a control input that satisfies the following:
Substituting Equation (38) into Equation (37), and using the estimate of the EID , the plant can be expressed as shown below:
can then be calculated
where
is the pseudo-inverse matrix of B, , and can be expressed as
Based on the VC, the EID is improved to achieve a fast dynamic response, and the is
The estimated value of disturbance is
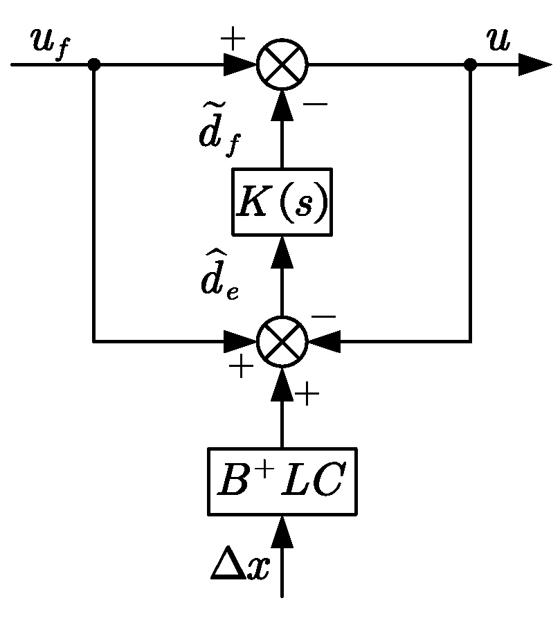
However, this structure is quite complicated. By following the approach in [23] and simplifying the EID estimator structure presented in Figure 6, the final estimate value of the disturbance is given as follows:
Figure 6.
Control block diagram of the proposed LADRC–VCEID structure for DB-PDPC.
The above analysis reveals that the EID accurately estimates disturbances and effectively suppresses their adverse effects. The output of the LADRC is connected to the EID as in Figure 6, and the current reference is obtained in accordance with the EID. This design improves the dynamic response during load applications and enhances steady-state performance under disturbances.
The control block diagram of the LADRC–VCEID structure for DB-PDPC is presented in Figure 6. When a sudden load is applied, switches from to , where the value of is determined by the VC. The output of the LADRC–VCEID is the current reference, which is then used to calculate the active power reference. The reactive power is set to zero to maintain a unity power factor. Subsequently, the active and reactive power references are used to calculate the voltage reference. According to SVPWM, pulse signals are generated and applied to the three-phase PWM rectifier.
4. Disturbance Rejection Characteristics and Stability Analysis of LADRC–VCEID
4.1. Disturbance Rejection Characteristics
Based on Figure 6, a state observer is constructed to estimate extended state as follows:
Using the structure of the proposed LADRC–VCEID strategy,
where
Figure 7.
Block diagram of LADRC–VCEID.
The transfer functions , , and are
The control object can be expressed as
According to Equation (59), the transfer function relating the disturbance input to the system output can be derived as follows:
In Equation (60), the influence of the disturbance term is related to and . Figure 8 shows the frequency domain characteristics of the disturbance. In Figure 8a, 300 rad/s, and ranges from 100 rad/s to 500 rad/s. Similarly, in Figure 8b, 300 rad/s, and ranges from 100 rad/s to 500 rad/s. Based on the diagrams, increasing and reduces the disturbance gain and enhances the anti-disturbance capability of the system.
Figure 8.
Frequency domain characteristics of disturbance. (a) when . (b) when .
4.2. Stability Analysis of LADRC–VCEID
Based on Figure 7, the closed-loop transfer function of the system is
Substituting , , and
where
Notably,
The Hurwitz stability criterion is a fundamental method for ensuring system stability. By satisfying the Hurwitz condition , it is ensured that the closed-loop poles of the system lie in the left half-plane, thereby guaranteeing stability. According to the Hurwitz stability criterion, the above analysis shows that the proposed LADRC–VCEID strategy maintains stability.
5. Experimental Results and Analysis
In this paper, a LADRC–VCEID strategy for DB-PDPC is proposed, enhancing system control performance through the design of VC and EID. Experimental results are presented and compared with systems that only employ the LADRC strategy or the LADRC-VC strategy, aiming to validate the effectiveness of the proposed LADRC–VCEID strategy. The experimental parameters of the system are shown in Table 1.
A three-phase voltage source PWM rectifier direct power control experimental platform was built, as shown in Figure 9. The platform is powered by a TSGC2-9 voltage regulator (CHNT, Hangzhou, China), with the rectifier system controlled by a DSP TMS320F28335 (Texas Instruments, Dallas, TX, USA). The experimental waveforms are recorded using a YOKOGAWA DL750 ScopeCorder (Yokogawa, Musashino, Japan).
Figure 9.
Experimental platform of three-phase voltage source PWM rectifier. (1) Voltage source and load resistance. (2) Three-phase PWM rectifier system. (3) PC and ScopeCorder.
Experimental waveforms of the grid phase-a voltage , grid phase-a current , grid phase-a current THD, DC voltage , active power p, and reactive power q during the operation of the three control strategies are shown in Figure 10, Figure 11 and Figure 12. The grid-side phase-a current waveform data from the experimental process were exported through the DL750 ScopeCorder and analyzed using FFT to calculate the THD, as shown in Figure 13.
Figure 10.
Dynamic experimental waveforms of three strategies during sudden load application. (a) The LADRC strategy. (b) The LADRC-VC strategy. (c) The proposed LADRC–VCEID strategy.
Figure 11.
Dynamic experimental waveforms of three strategies when the DC voltage reference is changed. (a) The LADRC strategy. (b) The LADRC-VC strategy. (c) The proposed LADRC–VCEID strategy.
Figure 12.
Steady-state experimental waveforms of three strategies under disturbance injection conditions. (a) The LADRC strategy. (b) The LADRC-VC strategy. (c) The proposed LADRC–VCEID strategy.
Figure 13.
Phase-a current THD of three strategies under disturbance injection conditions. (a) The LADRC strategy. (b) The LADRC-VC strategy. (c) The proposed LADRC–VCEID strategy.
Dynamic experimental waveforms of the three strategies under a sudden load application are presented in Figure 10. Initially, the system operates with a load resistance of 45 , followed by the application of a 75 . The waveform is amplified 10 times and positioned below the original waveform, aiming to facilitate observation and comparison. Figure 10 demonstrates that upon load application, all three control strategies stabilize the system, align the grid voltage and current in the same phase, and produce sinusoidal current waveforms. Each strategy provides a smooth and rapid dynamic response. However, the LADRC strategy experiences a DC voltage drop of 3.52 V after load application, while the LADRC-VC strategy and the proposed LADRC–VCEID strategy show notable reductions of 1.47 and 1.41 V, respectively. This finding indicates that the incorporation of VC substantially enhances the dynamic characteristics of the LADRC strategy under load changes. Furthermore, the active power in Figure 10b,c rapidly reaches the reference value due to the VC, resulting in a reduced settling time . Consequently, the for the LADRC, LADRC-VC, and proposed LADRC–VCEID strategies are 33.5, 14.8, and 8.6 ms, respectively. Thus, the proposed LADRC–VCEID strategy exhibits lower DC voltage drop and shorter settling time than the other two strategies.
Figure 11 depicts the dynamic experimental waveforms of the three strategies when the DC voltage reference steps from 150 V to 160 V. The waveform is also amplified 10 times and positioned below. During the transient process, the grid phase-a current remains sinusoidal with no overshoot in for any strategy. However, the peak phase-a current value after the DC voltage reference step differs among the strategies. As shown in Figure 11, is 18.3 A for the LADR strategy, while that for the LADRC-VC and the proposed LADRC–VCEID strategies is 15.67 and 14.45 A, respectively. During the dynamic process, the rise with the proposed LADRC–VCEID strategy is smoother compared to the other two strategies. Moreover, the active power rise for the LADR and LADRC-VC strategies is larger than that of the proposed LADRC–VCEID strategy, with values of 860, 836, and 724 W, respectively. The active power overshoot is expressed as 62.3%, 60.1%, and 49.4% to facilitate a reasonable comparison. Hence, the dynamic responses of the proposed LADRC–VCEID strategy are superior to the other two strategies.
As illustrated in Figure 12, the steady-state experimental waveforms of the three strategies under disturbance injection conditions are presented. The system operates at the rated load with a 150 V DC voltage reference, and a sinusoidal disturbance is then introduced. The DC voltage, active power, and reactive power ripples are quantified using the standard deviation function, which is expressed as follows:
where represents the DC voltage, active power, or reactive power, and N is the number of samples in 0.2 s.
As shown in Figure 12, all strategies maintain stable control even after the disturbance is introduced. Before the disturbance, ripples in DC voltage, active power, and reactive power are similar across all strategies. After disturbance injection, the DC voltage ripple for LADRC is 0.12 V, with active and reactive power ripples of 40.79 W and 11.58 var, respectively. Alternatively, for the LADRC-VC strategy, the values are 0.11 V, 40.54 W, and 11.06 var, respectively. The LADRC and LADRC-VC strategies show similar steady-state performance and are unable to effectively suppress the influence of the disturbance. In contrast, the proposed LADRC–VCEID strategy achieves a DC voltage ripple of 0.08 V, an active power ripple of 22.81 W, and a reactive power ripple of 11.14 var. This reduction in and p ripples demonstrates the superior disturbance rejection capability of the LADRC–VCEID strategy. Furthermore, the proposed LADRC–VCEID strategy improves the current THD.
Figure 13 denotes the grid phase-a current THD during steady-state operation for all three strategies under rated power. Notably, the phase-a current THD for the three strategies is similar before disturbance injection, with values of 2.31%, 2.30%, and 2.39%. However, after the disturbance is injected, the phase-a current THD for the LADRC and LADRC-VC strategies increases to 5.06% and 5.02%, respectively. On the contrary, the phase-a current THD in the proposed LADRC–VCEID strategy is only 3.03%, which is considerably lower than that of the other two strategies. Reducing THD in power systems is crucial. A lower THD indicates that the grid current more closely resembles a sine wave, reducing harmonic distortion and improving both the system’s power quality and efficiency. In marine electric propulsion systems, lower THD also minimizes interference with other onboard electronic devices, thereby enhancing the overall reliability of the system.
To clearly demonstrate the substantial performance improvements of the proposed LADRC–VCEID strategy in both dynamic response and steady-state characteristics, a comprehensive comparison of key experimental data is presented in Figure 14 using the bar chart.
Figure 14.
Comparison of the dynamic and steady-state characteristics of the three control strategies. (a) The LADRC strategy. (b) The LADRC-VC strategy. (c) The proposed LADRC–VCEID strategy.
A summary of the dynamic and steady-state characteristics of the three strategies, as shown in Figure 10, Figure 11, Figure 12 and Figure 13, is illustrated in Figure 15, emphasizing the performance differences among the three strategies. Figure 15 demonstrates that the LADRC–VCEID strategy outperforms others under load transients and disturbance conditions, exhibiting superior dynamic and steady-state performance. This strategy significantly reduces DC voltage drop, power ripples, and current THD, highlighting its strong disturbance rejection capability. In particular, during load transients, the virtual active power provided by virtual capacitance notably reduces the system’s regulation time.
Figure 15.
Comparative performance of the three strategies.
6. Conclusions
In this paper, an improved LADRC–VCEID strategy is proposed for the DB-PDPC of a three-phase voltage source PWM rectifier. First, LADRC is implemented to replace the PI controller in the outer voltage loop of the DB-PDPC. The VC and EID are then applied to enhance the dynamic response and steady-state characteristics of the system. The proposed LADRC–VCEID strategy not only presents theoretical novelty but also offers significant practical advantages. It effectively enhances both dynamic and steady-state performance in marine electric propulsion systems, reducing power fluctuations and current harmonic distortion while improving the system’s disturbance rejection capability. This strategy shows great potential for ensuring the stable operation of ships in complex marine environments. The effectiveness of the proposed strategy is verified through detailed comparisons with other strategies, and experimental results confirm the following features.
- 1.
- Compared to the LADRC strategy, the proposed LADRC–VCEID strategy uses VC in response to load disturbances, enabling the active power to track the reference value quickly. Therefore, the DC voltage drop is reduced, and the system settling time is decreased. Additionally, the VC parameter depends only on , requiring no modifications to the LADRC structure, thereby simplifying implementation.
- 2.
- Moreover, when the DC voltage reference undergoes a step change, the LADRC–VCEID strategy demonstrates superior performance, revealing a reduced peak current value and minimizing active power overshoot, which ensures smooth system response.
- 3.
- Furthermore, the EID effectively estimates and suppresses system disturbances. Consequently, when a sinusoidal disturbance is injected, the LADRC–VCEID strategy achieves improved steady-state performance. Specifically, the LADRC–VCEID strategy notably reduces DC voltage ripple, active power ripple, reactive power ripple, and current THD, exhibiting its robust disturbance rejection capabilities.
Author Contributions
Conceptualization, H.M. and X.Y.; methodology, H.M.; software, H.M.; validation, H.M., S.H. and X.L.; formal analysis, H.M.; investigation, H.M.; resources, H.M.; data curation, H.M.; writing—original draft preparation, H.M.; writing—review and editing, H.M. and J.W.; visualization, H.M.; supervision, X.Y.; project administration, H.M.; funding acquisition, X.Y. All authors have read and agreed to the published version of the manuscript.
Funding
This research received no external funding.
Institutional Review Board Statement
Not applicable.
Informed Consent Statement
Not applicable.
Data Availability Statement
Data are contained within the article.
Conflicts of Interest
Author Shengqi Huang was employed by the company Shanghai Marine Equipment Research Institute. The remaining authors declare that the research was conducted in the absence of any commercial or financial relationships that could be construed as a potential conflict of interest.
References
- Jeon, H.; Kim, J.; Yoon, K. Large-Scale Electric Propulsion Systems in Ships Using an Active Front-End Rectifier. J. Mar. Sci. Eng. 2019, 7, 168. [Google Scholar] [CrossRef]
- Kim, S.; Jeon, H. Comparative Analysis on AC and DC Distribution Systems for Electric Propulsion Ship. J. Mar. Sci. Eng. 2022, 10, 559. [Google Scholar] [CrossRef]
- Yan, S.; Yang, Y.; Hui, S.Y.; Blaabjerg, F. A review on direct power control of pulsewidth modulation converters. IEEE Trans. Power Electron. 2021, 36, 11984–12007. [Google Scholar] [CrossRef]
- Zhang, Z.; Fang, H.; Gao, F.; Rodríguez, J.; Kennel, R. Multiple-vector model predictive power control for grid-tied wind turbine system with enhanced steady-state control performance. IEEE Trans. Ind. Electron. 2017, 64, 6287–6298. [Google Scholar] [CrossRef]
- Zheng, Z.; Wang, N.; Sun, Z. Fuzzy PI compound control of PWM rectifiers with applications to marine vehicle electric propulsion system. Int. J. Fuzzy Syst. 2018, 20, 587–596. [Google Scholar] [CrossRef]
- Song, T.; Zhang, Y.; Gao, F.; Zhu, X.; Shan, J.; Kong, Z. Power model free voltage ripple suppression method of three-phase PWM rectifier under unbalanced grid. IEEE Trans. Power Electron. 2022, 37, 13799–13807. [Google Scholar] [CrossRef]
- Zhang, Y.; Shan, J.; Huang, Z.; Song, T.; Zhu, X. A dynamic equivalent current feedforward control strategy with variable reference current in three-phase PWM rectifiers. IEEE Trans. Power Electron. 2024, 39, 1636–1643. [Google Scholar] [CrossRef]
- Zhang, H.; Zhu, X.; Shi, J.; Tan, L.; Zhang, C.; Hu, K. Study on PWM rectifier without grid voltage sensor based on virtual flux delay compensation algorithm. IEEE Trans. Power Electron. 2019, 34, 849–862. [Google Scholar] [CrossRef]
- Ran, X.; Xu, B.; Liu, K.; Zhang, J. An improved low-complexity model predictive direct power control with reduced power ripples under unbalanced grid conditions. IEEE Trans. Power Electron. 2022, 37, 5224–5234. [Google Scholar] [CrossRef]
- Bouzidi, M.; Barkat, S.; Krama, A.; Abu-Rub, H. Generalized predictive direct power control with constant switching frequency for multilevel four-leg grid connected converter. IEEE Trans. Power Electron. 2022, 37, 6625–6636. [Google Scholar] [CrossRef]
- Zhang, Y.; Min, Z. Model-free predictive current control of a PWM rectifier based on space vector modulation under unbalanced and distorted grid conditions. IEEE J. Emerg. Sel. Top. Power Electron. 2022, 10, 2319–2329. [Google Scholar] [CrossRef]
- Xie, S.; Sun, Y.; Lin, J.; Su, M.; Li, X.; Zhang, X. Resistance-emulating control strategy for three-phase voltage source rectifiers under unbalanced grids. IEEE Trans. Ind. Electron. 2022, 69, 1103–1113. [Google Scholar] [CrossRef]
- Yang, R.; Sun, M.; Chen, Z. Active disturbance rejection control on first-order plant. J. Syst. Eng. Electron. 2011, 22, 95–102. [Google Scholar] [CrossRef]
- Zhou, R.; Tan, W. Analysis and tuning of general linear active disturbance rejection controllers. IEEE Trans. Ind. Electron. 2019, 66, 5497–5507. [Google Scholar] [CrossRef]
- Madonski, R.; Shao, S.; Zhang, H.; Gao, Z.; Yang, J.; Li, S. General error-based active disturbance rejection control for swift industrial implementations. Control Eng. Practice 2019, 84, 218–229. [Google Scholar] [CrossRef]
- Ahi, B.; Haeri, M. Linear active disturbance rejection control from the practical aspects. IEEE-ASME Trans. Mechatron. 2018, 23, 2909–2919. [Google Scholar] [CrossRef]
- He, H.; Si, T.; Sun, L.; Liu, B.; Li, Z. Linear active disturbance rejection control for three-phase voltage-source PWM rectifier. IEEE Access 2020, 8, 45050–45060. [Google Scholar] [CrossRef]
- Zhou, X.; Cui, Y.; Ma, Y. Fuzzy linear active disturbance rejection control of injection hybrid active power filter for medium and high voltage distribution network. IEEE Access 2021, 9, 8421–8432. [Google Scholar] [CrossRef]
- Pan, Z.; Wang, X.; Zheng, Z.; Tian, L. Fractional-order linear active disturbance rejection control strategy for grid-side current of PWM rectifiers. IEEE J. Emerg. Sel. Top. Power Electron. 2023, 11, 3827–3838. [Google Scholar] [CrossRef]
- Zhou, X.; Zhong, W.; Ma, Y.; Guo, K.; Yin, J.; Wei, C. Control strategy research of D-STATCOM using active disturbance rejection control based on total disturbance error compensation. IEEE Access 2021, 9, 50138–50150. [Google Scholar] [CrossRef]
- Natarajan, V.; Weiss, G. Synchronverters with better stability due to virtual inductors, virtual capacitors, and anti-windup. IEEE Trans. Ind. Electron. 2017, 64, 5994–6004. [Google Scholar] [CrossRef]
- Long, B.; Zhu, S.; Rodriguez, J.; Guerrero, J.M.; Chong, K. Enhancement of power decoupling for virtual synchronous generator: A virtual inductor and virtual capacitor approach. IEEE Trans. Ind. Electron. 2023, 70, 6830–6843. [Google Scholar] [CrossRef]
- Du, Y.; Cao, W.; She, J.; Wu, M.; Fang, M.; Kawata, S. Disturbance rejection and control system design using improved equivalent input disturbance approach. IEEE Trans. Ind. Electron. 2020, 67, 3013–3023. [Google Scholar] [CrossRef]
- Yu, P.; Wu, M.; She, J.; Liu, K.; Nakanishi, Y. An improved equivalent-input-disturbance approach for repetitive control system with state delay and disturbance. IEEE Trans. Ind. Electron. 2018, 65, 521–531. [Google Scholar] [CrossRef]
Disclaimer/Publisher’s Note: The statements, opinions and data contained in all publications are solely those of the individual author(s) and contributor(s) and not of MDPI and/or the editor(s). MDPI and/or the editor(s) disclaim responsibility for any injury to people or property resulting from any ideas, methods, instructions or products referred to in the content. |
© 2025 by the authors. Licensee MDPI, Basel, Switzerland. This article is an open access article distributed under the terms and conditions of the Creative Commons Attribution (CC BY) license (https://creativecommons.org/licenses/by/4.0/).














