Abstract
This study focuses on a large-scale cruise ship as the subject of research, with a particular emphasis on conditions not covered in the MSC.1/Circ.1533 guidelines. The investigation explores the impact of specific motion states of the cruise ship, including rolling, heeling, and trimming, on passenger evacuation times. Based on the maritimeEXODUS tool, simulations were conducted to replicate the evacuation process in these unique scenarios. The results of the simulations highlight a significant correlation between the cruise ship’s motion state and evacuation time. Specifically, under inclination conditions, evacuation times were extended, with bow trimming leading to a notable increase in the time. This study underscores the importance of considering the motion state of a cruise ship in evacuation procedures, confirming the validity of the numerical simulation for studying large-scale cruise ship evacuations under inclination and rolling conditions. The findings contribute valuable insights for enhancing safety protocols and optimizing ship arrangements.
1. Introduction
With economic development, the cruise tourism market has witnessed rapid expansion. As a leisure and entertainment mode, cruise tourism has become increasingly popular in the market. Cruise ship safety problems should warrant much attention because of the large number of tourists that occupy a cruise. In particular, people on a cruise cannot always be rescued in a timely manner from the outside and should be evacuated safely and orderly in cases of accidents during navigation. Therefore, it is necessary to perform an investigation on the passenger evacuation facilities of a ship, which is a crucial measure for ensuring their life safety and shows important practical significance in conducting evaluations of ship safety evacuation performance, optimizing a ship’s design, and making a targeted emergency evacuation plan.
In terms of the level of detail captured, evacuation models can be divided into two types: macroscopic models and microscopic models [1]. Macroscopic models of evacuation research focus on a population as a whole, ignoring the interpersonal interactions among individuals. In contrast, microscopic models emphasize individuals and consider the specific characteristics of individual behaviors and interactions among people throughout the process of an evacuation. This approach is particularly useful for replicating the behaviors of occupants during evacuations in complex structures. Numerical simulation software for evacuation has become increasingly sophisticated and diverse [2,3,4,5,6,7,8]. maritimeEXODUS is an evacuation simulation software developed by the Fire Safety Engineering Association, University of Greenwich, and has now been widely used by many scholars for simulations. Gelea et al. proposed a maritimeEXODUS validation scheme and performed numerical simulations on a Ro-Pax ferry and a cruise ship. According to their simulation results, the software satisfied the acceptance standard [9].
Various studies have investigated evacuations of ship and marine structures using simulation software. Ping et al. investigated a simulation of an emergency evacuation of a semi-submersible drilling platform with Exodus software, selected both the evacuation time and waiting time as the two evaluation indexes of evacuation efficiency for two evacuation scenarios, and analyzed the effects of the evacuation path on the evacuation time and number of casualties [10]. Nasso et al. employed a cruise ship as a case study to perform an evacuation analysis using both a simplified evacuation approach and an advanced evacuation approach, and the results revealed that simplified evacuation analysis can estimate the total evacuation time based on related ship parameters with simplicity and feasibility, and numerical simulation software can easily show the crowding conditions in an evacuation [11]. Considering critical scenarios such as fire, explosions, collisions, and stranding, Vanem et al. introduced an evacuation scenario tailored to simulating passenger ship evacuations. The researchers conducted simulations using maritimeEXODUS on the defined evacuation scenarios to validate their proposed model [12]. Using Anylogic software based on a social force model, Hu et al. established evacuation scenes in the cases of individual and group behaviors and conducted simulations of passengers on a cruise ship under different models: individual evacuation and group evacuation [13]. According to their results, it takes more time for evacuation under a group evacuation scenario. Wang et al. concentrated on a roll-on–roll-off ship, examining the impact of the passenger population composition and passengers’ familiarity with the ship on the emergency evacuation process [14]. The results indicated that distinct population compositions had notable effects on the ship evacuation process. The study suggests that conducting targeted investigations on ship passengers before an evacuation analysis can enhance the precision of the analysis process. If the passengers are more familiar with the stair layout on a ship, it takes less time for evacuation.
In order to further investigate the relationship between ship motion states and evacuation mechanisms, Balakhontceva et al. proposed a mechanism that integrates a ship motion model with a multi-agent crowd dynamics model, providing a comprehensive approach to studying the effects related to passenger movements in storm conditions [15]. Kim et al. studied a passenger evacuation simulation considering the changing heeling angle as a ship sinks and conducted tests to validate the evacuation simulation, and the results indicate that when encountering a slope of 35 degrees or greater, it is physically unfeasible for a human to traverse on foot [16]. Fang et al. investigate the impact of ship heeling and trimming angles on pedestrian dynamics during emergency evacuations of passenger vessels, employing an enhanced social force model to simulate and analyze the interplay between ship motion states and evacuation behaviors. The simulation results indicate that the effect of heeling and/or trim on individual walking speed and evacuation time is more significant when the inclination angle exceeds 20 degrees [17]. Lee et al. studied the passenger evacuation dynamics for sinking or inclined ships, considering the ship inclination and route status, and the results suggest the necessity of accounting for the coupled effect of trim and heel in realistic simulation scenarios [18]. Boer studied the walking speed of passengers in passages and stair areas and concluded that ship motion significantly reduces walking speed, and the ship list angle also reduces the escapeway width due to walls leaning on passengers and handrail holding [19,20]. The study concluded that a simplified analysis of IMO guidelines was too optimistic due to ignoring ship motion.
Ship evacuation is an extremely complex process. Uncertainty in human behavior leads to variations in simulation results. To address this, statistical aggregate quantities must be defined over multiple simulation runs, approaching a limit as ensembles grow [21]. Evacuability refers to the probability of an environment being fully evacuated within a specified timeframe after an alarm, considering the environment’s state and the initial distribution of people. Zhou used maritimeEXODUS software (v5.2) to build multiple evacuation models in different scenarios and applied an advanced analysis approach to a full-scale ship without considering ship inclination and roll motion [22]. In addition to the study of evacuation models and the impact of ship movements on the speed of personnel, a number of studies have also focused on factors such as the behavioral characteristics of individuals and evacuation route planning on evacuation efficiency. Casareale explores safety issues on cruise ships from a passenger’s perspective and suggests that safety on cruise ships is heavily influenced by human behaviors and that behavioral patterns on ships are similar to those in buildings [23]. Crew members’ roles in safety organization are very important, including safety organization, task performance, life vest handling, and communication [24]. Crew member groups need to be studied separately and systematically to understand their work situation and training needs for effective evacuation. Wang presented a new risk assessment method for hazard identification and ranking in the HEPS process [25]. The new HSEO framework is used to determine the risk index system in the evacuation process. The study suggests developing a passenger ship evacuation decision support system and improving crew proficiency in operating LSAs. Francesco Russo and Corrado Rindone focus on methods for risk reduction in transportation systems in emergency situations. The research proposes a framework for training and exercises to improve preparedness levels before disasters, aiming to reduce theoretical risk and exposure [26]. Therefore, passengers’ and crews’ exercise and training on evacuation are crucial for lowering risk and should be implemented throughout the risk management cycle in ship evacuation procedures.
The particle swarm optimization algorithm (PSO), as an optimization algorithm, is often used in path planning. A new PSO-based simulation framework is proposed to provide a simple, convenient, and general way to configure scenarios, and the moving pattern is complex and affected by emotional and physical factors [27]. Based on the use of a cost function to represent a specified target and static obstacle, Chen introduces a uniform model that works with the PSO to control crowd movement [28]. The simulations show that the proposed method can generate non-deterministic, non-colliding paths for various scenarios. To find an optimal personnel evacuation route to increase security at sea, Chu proposed the minimum cost flow model, which is a simple and efficient mathematical programming model compared to the original evacuation plan [29]. Based on the experimental data of personnel evacuation drills on naval ships, Bellas et al. used Pathfinder software to build a simulation model of a naval ship, simulate the evacuation process of the crew and soldiers on the ship, and analyze the impact of stairs and corridors near stairs on the evacuation process [30].
Evacuation research in the maritime field requires simulation to improve disaster planning and management. Disaster management requires real-time information dissemination for immediate emergency services. Maritime accidents pose challenges in collecting information and testing emergency drills. Rapid advancements in ICT (Information and Communication Technologies) enable easy collection and analysis of existing solutions [31]. ICT tools are utilized in disaster management for risk awareness, forecasting, and disaster alerting. PALAEMON is an EU project enhancing passenger ship evacuation systems using smart devices and ICT-based tools which uses a Bayesian Network to increase situation awareness and assist in monitoring during the mustering process [32,33]. The platform improves decision-making, enabling better evacuation outcomes. The platform’s results show how various parameters, such as injuries, congestion, and ship system functionality, affect the outcome of each model, enhancing the overall evacuation process.
At present, the MSC.1/Circ.1533 guidelines set no requirements on a ship’s motion state in advanced evacuation analysis and do not consider rolling, heeling, or trim motions. This study focused on the above conditions that were not mentioned in the guidelines and carried out a simulation of passenger evacuation in particular cases, considering the motion states of the ship. Moreover, the simulation results were analyzed. Through numerical simulation, passenger evacuation efficiency in different cases was evaluated for guiding cruise ship layout and facility design, providing a scientific basis for ship safety, and reducing the potential risks.
2. Methodology
According to the design drawings, a model of a target cruise ship was established. The evacuation simulation model mainly consists of three parts: a geometrical model, a people model, and a scene model. The geometrical model included models of different layers of decks, the entrances and exits of each cabin in the decks, and the stairs connecting the various decks. The space on the cruise ship was divided into a boundary region, an obstacle region, and an activity region. The stairs connected the multiple layers of decks. An LSA (life-saving application) was set on the embarkation deck so as to complete the setting of the geometric model. The passengers on the cruise differed in age, gender, and height. Moreover, during the evacuation process, the passengers’ evacuation speed was related to the character model, the location of the region, and the different structural layouts in the region. Based on the MSC.1/Circ.1533 guidelines [34], the typical evacuation scenes, and the related parameters, people’s response times and initial positions were all different, with randomness. Accordingly, a numerical simulation model of the evacuation process from the target cruise was established, as the flow chart displays in Figure 1.
Figure 1.
Flow chart of evacuation simulation.
2.1. Source of Data
In terms of fire protection zoning, the cruise ship can be divided into six main vertical zones, including nine passenger assembly stations, which were located on Decks 3, 4, and 5. The No. 4 deck was the embarkation deck, as shown in Figure 2. The cruise included 16 layers of decks: B deck, A deck, No. 0~No. 12 decks, and No. 14, from bottom to top. Various decks were connected with stairs, and people could move between decks via the stairs.
Figure 2.
Distribution of main vertical zones and the passenger muster stations.
According to the MSC.1/Circ.1533 guidelines [34], typical benchmark scenarios and related parameters in advanced evacuation procedures were set, including different passenger response times and initial positions. The passenger age composition also satisfied the guidelines.
2.2. Model Construction
maritimeEXODUS is a specialized software developed for simulating personnel evacuation in various maritime structures, including cruise ships, cargo ships, oil drilling platforms, and others. The software is founded on the cellular automaton model, originally proposed by computer expert Von Neumann [35]. The spatial domain is partitioned into numerous unit grids, with each grid referred to as a cell, as shown in Figure 3. The established evacuation model is discrete and comprises basic components such as cells, cellular space, neighbors, time steps, and transition rules. The guidelines for the evacuation analysis of new and existing ships propose four verification requirements for evacuation simulation tools: component testing, functional verification, qualitative verification, and quantitative verification. Before conducting the research in this study, the verification requirements were also conducted.
Figure 3.
Geometric model of Deck 6.
The three-dimensional model of the target cruise was shown in Figure 4. Various decks were connected with stairs, and people could move between the decks via the stairs. Figure 5 displays the distribution of stairs on the cruise ship. By taking the No. 4 deck as an example, the stairs were located at STAIR0, STAIR60, STAIR120, STAIR160, STAIR220, STAIR270, and STAIR340 from stern to bow. The 3D model clearly shows the vertical distribution of stairs among various decks. The set of stairs STAIR220, which only existed on the assembly deck, should undertake the evacuation task of a lot of passengers during the gathering process. The staircases are distributed more densely towards the stern and bow of the ship, making this area a primary zone for passenger activities. Figure 6 shows the established stairs in the 3D model and 2D model.
Figure 4.
Three-dimensional model of the target cruise.
Figure 5.
Distribution of stairs in the established 3D model.
Figure 6.
Established model of stairs: (a) 3D model and (b) 2D model.
2.3. Speed Reduction
The maritimeEXODUS program was utilized to establish scenarios for both heeling and trimming. Specifically, the analysis focused on the inclination angle of the cruise ship and its impact on the passengers’ traveling speed. This study adopted a TNO dataset for simulating passenger evacuation under cruise inclination conditions [36]. The TNO dataset used a TNO ship motion simulator to simulate the ship’s inclination state and performed passenger walking experiments to analyze the effect of the cruise inclination angle on the traveling speed. Experimental subjects in three different age groups—18~40, 41~60, and 61~83—were included in this study. The walking experiment was conducted in two regions—the corridor and stairs. Six different cases were described, namely, walking in the corridor under heeling conditions, walking in the corridor under trimming conditions, walking upstairs under heeling conditions, walking upstairs under trimming conditions, walking downstairs under heeling conditions, and walking downstairs under trimming conditions. The heeling reduction coefficient and the trimming reduction coefficient of the passengers’ traveling speed were concluded in the walking experiment, and the results are shown in Figure 7 and Figure 8. During the present walking experiment, the stern trim and the bow trim were regarded as positive and negative, respectively; left heeling and right heeling were regarded as positive and negative, respectively. People moved from the bow to the stern. Among the above-described six conditions, the velocity of the passengers in each age group under cruise upright conditions was regarded as the base level, with a reduction coefficient of one. According to the base level, the walking velocities of the different passengers in each age group were then judged, and the final traveling velocity can be calculated as follows:
where V denotes the final traveling velocity, denotes the initial velocity, and f denotes the reduction coefficient.
Figure 7.
Reduction coefficients under different trimming angles: (a) walking in a corridor, (b) walking up the stairs, and (c) walking downstairs.
Figure 8.
Reduction coefficients under different heeling angles: (a) walking in a corridor, (b) walking up the stairs, and (c) walking downstairs.
2.4. Evacuation Scenarios
- (1)
- Under inclination conditions
The passengers were relatively concentrated in the daytime, and most of passengers were initially located at the assembly stations. At night, the passengers were relatively scattered on various decks and showed complex movement paths. This study selected night scenarios with complex movement paths for conducting passenger evacuation simulations under ship inclination conditions. Considering a basic evacuation scenario at night, only the evacuation process from the initial position to the assembly station was considered, and the setting of the ship inclination state was added. Only the passengers were considered during the simulation. As listed in Table 1, 527 people were considered in the present simulation. The heeling angle was set to 0°, ±5°, ±10°, and ±15°, respectively. The trimming angle was set to 0°, ±5°, ±10°, ±15°, and ±20°, respectively. After the simulation started, the ship maintained the inclination state at the set angle until the simulation ended. The passengers evacuated from their initial positions to the assembly station under the ship’s inclination conditions. When all the passengers arrived at the assembly station (i.e., finished the assembly), the evacuation time was recorded.
Table 1.
Distribution of passengers in various decks.
- (2)
- Under rolling conditions
The cruise ship easily undergoes large rolling motions during marine navigation. The rolling of the ship can affect the normal walking of passengers [37]. This study performed a simulation on the evacuation process of the ship under rolling conditions to analyze the influence of rolling on the evacuation process.
This study only considered the effect of regular waves on the cruise. The pattern of a regular wave can be described by a simple mathematical function. For example, a cosine wave can be written as follows:
where denotes the wave elevation, denotes the wave amplitude and is equal to the vertical distance between the wave’s peak or trough and the still water level, denotes the wave number, and denotes the wave circular frequency.
First, a three-dimensional wet surface panel model was established. Then, the wave loads on panel elements were determined through numerical calculations with hydrodynamic software. Based on the three-dimensional potential flow theory, the wave load results for the target ship are obtained for different wave directions and frequencies. By solving the differential equations of the ship’s rolling motion, the roll motion transfer function for the ship is calculated at the designated speed.
Figure 9 displays the rolling response amplitude of the target ship under the conditions of a beam sea. The results indicate that under beam waves, the roll motion response increases gradually from a frequency of 0.1 rad/s to 0.65 rad/s and then gradually decreases. The rolling amplitude reached a maximum of approximately 5.3° at a wave frequency of 0.65 rad/s under a unit amplitude. In this study, the rolling state of the target cruise ship under a regular beam wave with a wave amplitude of 3 m was investigated, i.e., the maximum rolling amplitude was 15°.
Figure 9.
Roll motion response amplitude of the cruise ship under beam sea conditions.
A cruise ship undergoes regular reciprocating motion under the action of a regular wave. Considering that the numerical simulation software is still far from ideal regarding ship motion, the rolling motion of the cruise can be described by the regular variation in the roll angle in the evacuation model. Based on the rolling conditions of the cruise, the harmonic variation rules of the rolling angle were determined, and the cruise’s rolling motion was simulated by the rolling angles at different discrete time points within a rolling period, as shown in the results in Figure 10. Before the simulation, the rolling angle of the cruise was set to −15°. Considering the impact of the roll motion states of the cruise, this study specifically simulated the evacuation process for 300 passengers on the No. 4 deck under a daytime scenario. Initially, the passengers were distributed at the D4 assembly station at the stern. During the simulation process, the passengers evacuated from their initial positions to LSA-1 and LSA-2.
Figure 10.
Variation in the cruise ship’s heeling angles within a rolling period.
3. Results
3.1. Inclination Conditions
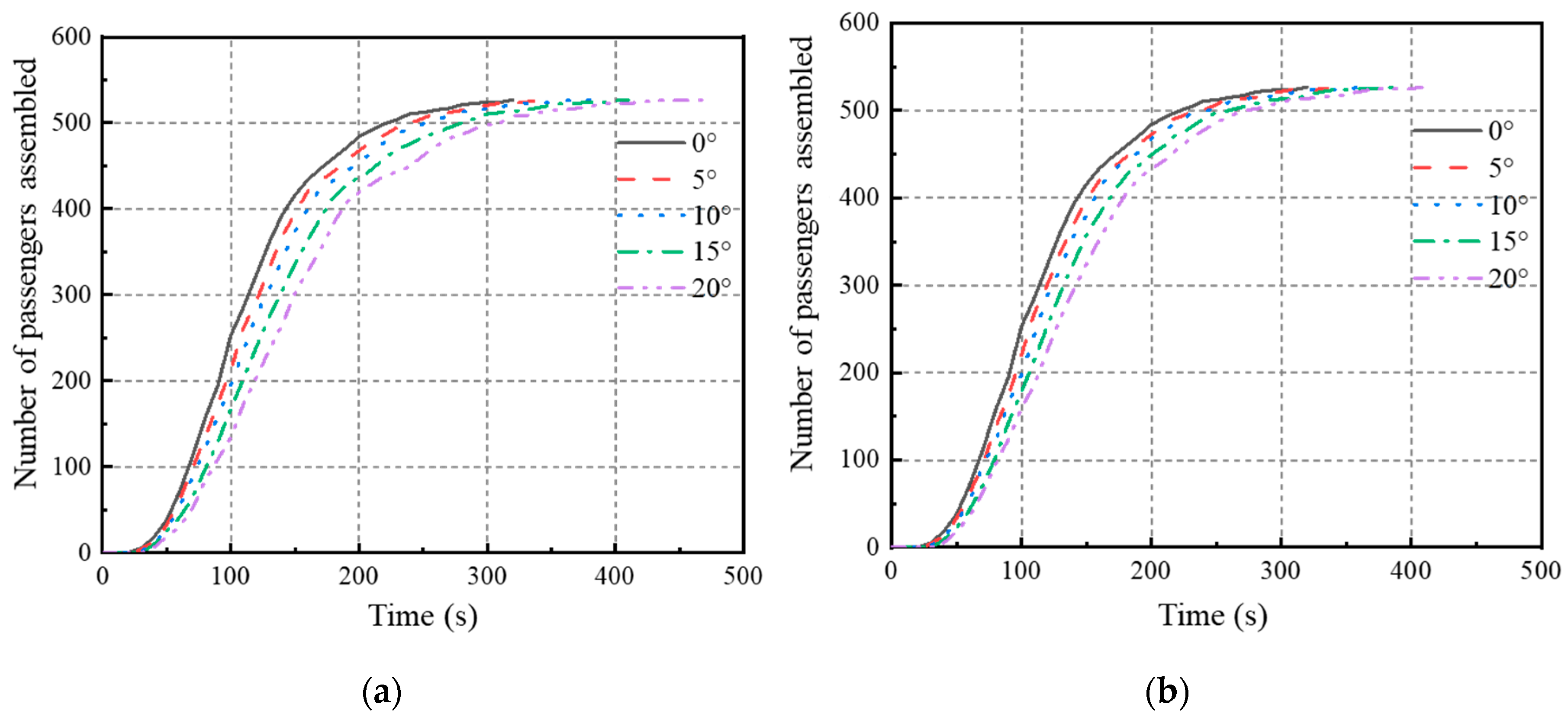
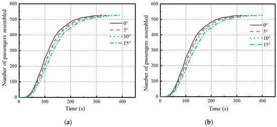
Figure 11 displays the simulation results for the ship under heeling conditions. As the heeling angle increased, the passengers required more time for evacuation. In the initial phase of assembly, the evacuation curves show almost consistent variation tendencies under different heeling angles. The heeling angle imposed slight effects on the passengers with higher walking speeds. At an evacuation time of approximately 100 s, the number of gathered passengers showed obvious differences under different heeling angles; moreover, as the evacuation time increased, this difference became more obvious. The difference decreased before the gathering of passengers, accompanied by more gentle variation curves. At larger heeling angles, the evacuation time lasted for a longer time. The passengers with slow evacuation speeds were significantly affected by the heeling angle, and the delay time was long; as a consequence, some passengers at slow evacuation speeds were still in the process of evacuating when most of passengers were gathered. Since only a small number of passengers were included in the simulation and they were almost symmetrically distributed in the cabins on the ship side, the simulation results showed no obvious difference under left heeling and right heeling conditions.
Figure 11.
Comparison between the simulation results of the cruise ship under different heeling conditions: (a) under left heeling conditions and (b) under right heeling conditions.
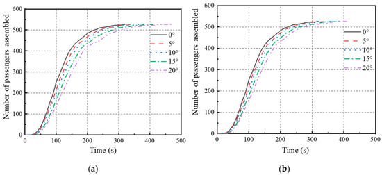
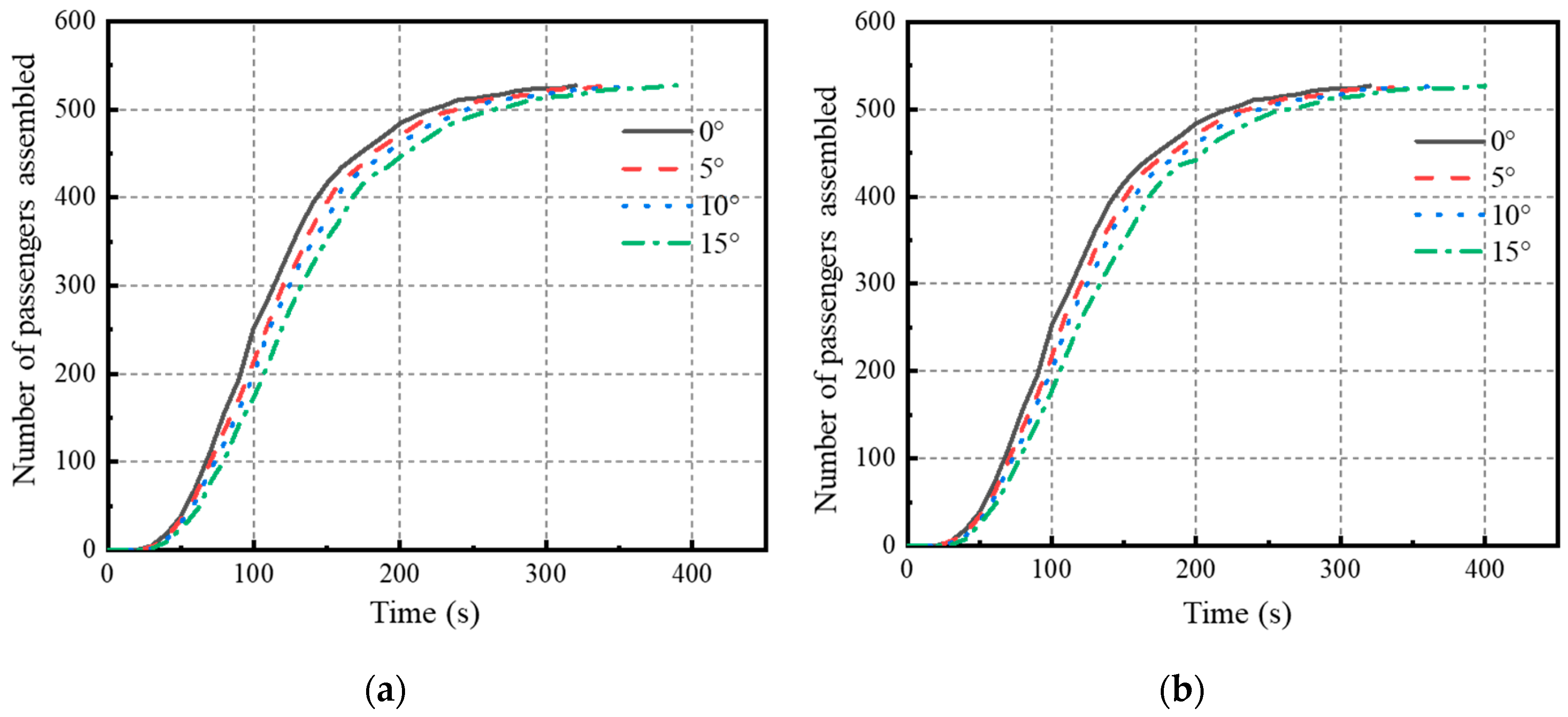
Figure 12 displays the simulation results under different trimming conditions. Overall, the evacuation curves were almost identical to the curves under the heeling conditions in terms of variation tendency. Through comparison, the trimming of the cruise imposed a greater effect on the evacuation of the passengers than the heeling. In particular, the bow trimming imposed the most significant effect on the evacuation of the passengers. At trimming angles of 5° and 10°, the evacuation time increased slightly; however, as the trimming angle increased to 15° and 20°, the evacuation time increased obviously. The number of evacuated passengers within the same amount of time also differed significantly with an increase in the trimming angle. This is due to the fact that the passenger cabins in the No. 10~No. 14 decks were all located in the bow, and a lot of stairs were distributed in the bow. Most of the passengers should move towards the bow during the evacuation process. Therefore, bow trimming could have significantly affected the present simulation results.
Figure 12.
Comparison between the simulation results of the cruise under different trimming conditions: (a) under bow trimming conditions and (b) under stern trimming conditions.
Figure 13 shows the clearance times of the passengers on the cruise ship under different inclination conditions. Under up-right floating conditions, the evacuation time was 314.9 s, and the cruise heeling slightly affected the evacuation of passengers; at a right heeling angle of 15°, the evacuation time was longest (397.3 s). The trimming of the cruise greatly affected the evacuation of the passengers; in particular, the bow trimming imposed the most obvious effect on the evacuation of the passengers. At a bow trimming angle of 20°, the evacuation time reached up to 460.89 s, which was 46.4% higher than the value under upright conditions; at a stern trimming angle of 20°, the evacuation time was 407.25 s and increased by 29.3% compared with the value under up-right conditions. Overall, it can be concluded that the impact of the cruise’s inclination state on passenger evacuation is closely tied to the initial distribution of passengers and the layout of the evacuation pathways.
Figure 13.
Evacuation times of the passengers on the cruise under different inclination conditions.
3.2. Rolling Conditions
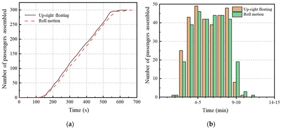
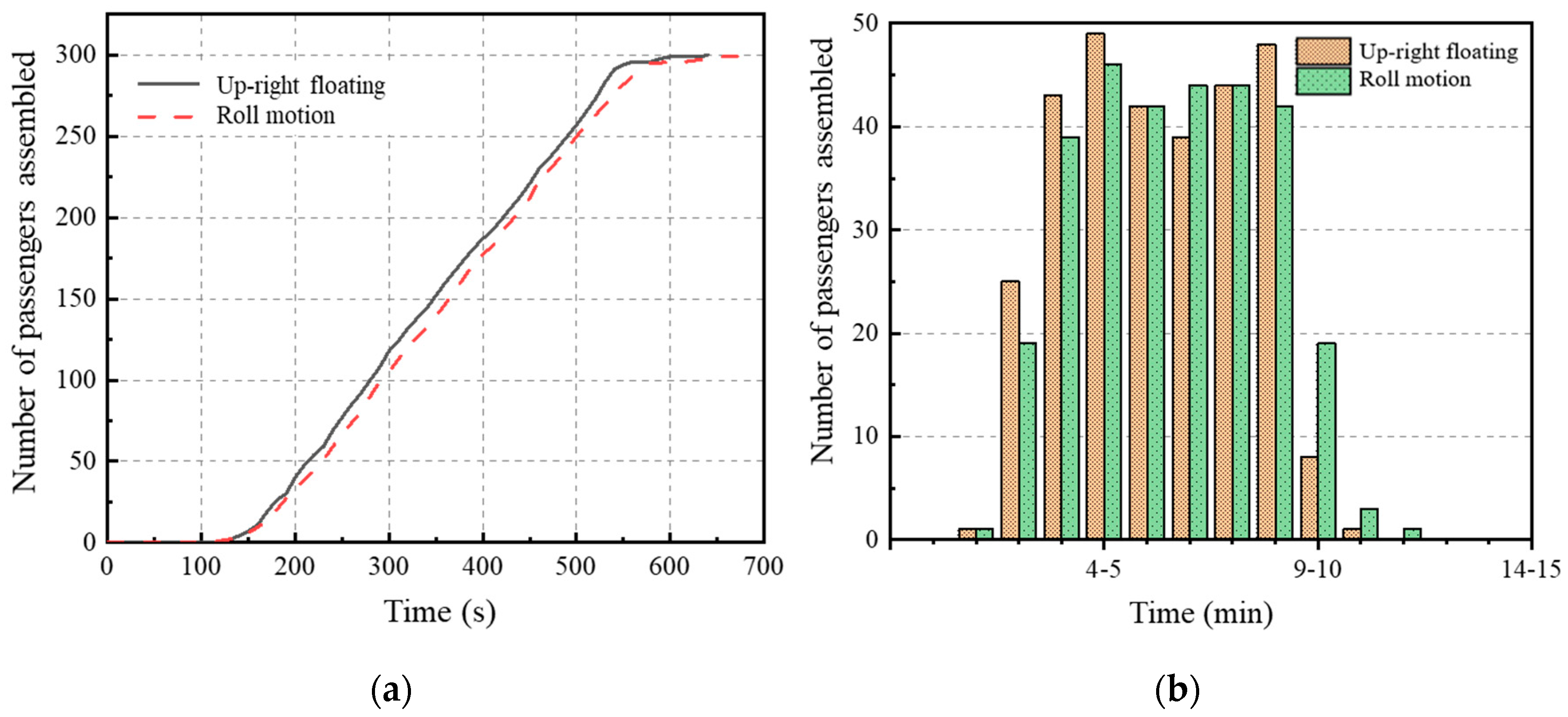
Figure 14 shows the evacuation curves and the distribution for the clearance time of the target cruise ship under rolling and up-right floating conditions. Passenger evacuation behaviors can thus be analyzed. At approximately 100 s after the simulation, the passengers begin evacuating to the LSA successively. The evacuation curves were almost identical within an evacuation time of 100~150 s. Equal numbers of people finished the evacuation within 2~3 min. Within 2–5 min after the onset of the assembly evacuation process, the evacuation flow of passengers, without considering the ship’s roll motion, increased rapidly and exceeded that in the roll motion scenario. At 9 min after the start of the assembly evacuation process, the evacuation flow of passengers, without considering the ship’s roll motion, decreased rapidly and was less than in the roll motion scenario. Therefore, the rolling of the cruise imposed a slight effect on the passenger evacuation process within 2~3 min. However, the following evacuated passengers were then greatly affected by the rolling of the cruise, leading to an increase in the evacuation time, and the number of passengers evacuated within a minute obviously dropped. For the up-right floating state, the clearance time was 635.32 s. For the roll motion state, the clearance time was 671.47 s. Combining the clearance times of the passengers under the cruise ship rolling and up-right floating conditions, it can be observed that the evacuation time of passengers under the cruise ship rolling conditions increased by approximately 6% and 36.42 s. The ship’s roll motion results in a reduction in the walking speed of the passengers.
Figure 14.
Comparison of passenger evacuation results under cruise rolling and up-right floating conditions, respectively. (a) Evacuation curves and (b) distribution of clearance time.
Next, several passengers who completed the evacuation within 100 to 150 s under cruise rolling conditions were selected for an in-depth analysis. Since the present simulation did not account for the movements of passengers on the stairs, only the traveling speeds along a flat corridor are listed in Table 2. The evacuation times of these five passengers under up-right floating and rolling conditions were very similar, and their mean traveling speeds were all above 1.5 m/s. Therefore, it can be concluded that cruise rolling had a relatively slight effect on the passengers with high traveling speeds, and the faster the walking speed of the passengers, the lesser the impact.
Table 2.
Traveling speeds and evacuation times of passengers.
4. Discussion
As evacuation events occur, ships are influenced by external floating conditions and motion states, all of which affect the evacuation behavior of individuals. In heel evacuation simulations, when the heel angle is less than 20°, there is minimal variation in the passenger speed, resulting in a relatively small increase in evacuation time. For trim state at night scenarios, the majority of passengers are located in residential cabins, and these cabins are situated at the ship’s bow. After the evacuation begins, the corridors between cabins become the primary pathways for the passengers. The passengers typically move from the corridors between the cabins to the nearby stair areas, using the stairs to evacuate to the assembly stations. From Figure 5, it can be observed that the passengers in MVZ 1 and MVZ 2 generally choose the STAIR0 and STAIR60 stair groups for evacuation. The passengers in MVZ 3 and MVZ 4 typically opt for the STAIR120 and STAIR160 stair groups for evacuation. The passengers in MVZ 5 and MVZ 6 generally choose the STAIR270 and STAIR340 stair groups for evacuation. The significant increase in evacuation time can be attributed to the following factors: considering the impact of stairs on passenger speed, when passengers ascend stairs, the speed reduction is smaller during forward tilt and larger during backward tilt, whereas during stair descent, the speed reduction is larger during forward tilt and smaller during backward tilt. During bow trimming, passengers need to move from the bow to the stern, resulting in a significant slowdown in the walking speed of most passengers. Therefore, bow trimming has a notably significant impact on the evacuation duration. The ship’s inclination conditions can be used to approximate the ship’s flooding scenario. Through this simulation, it is possible to consider passenger evacuation scenarios on a ship in a static environment. In reality, flooding not only affects individuals’ walking speed but also disrupts and obstructs evacuation routes, further prolonging the evacuation assembly time for passengers.
In the scenario of ship evacuation under rolling motion, there is an increase in evacuation time. The analysis is as follows: when the ship is in an up-right floating state, the walk speed of passengers in all directions is the same. However, when the ship undergoes periodic rolling motion under the influence of waves, passengers on the deck evacuate in the longitudinal direction, thereby affecting the longitudinal walking speed of passengers. Considering the ship’s large nonlinear roll motion, such as parametric roll motion or resonance roll motion induced by wave excitation, allows for a consideration of passenger evacuation scenarios on a ship in a dynamic environment. However, the study in this research only examined one deck. Considering the evacuation of passengers throughout the entire ship, this would result in a further increase in evacuation time due to the cumulative effect. Through this simulation, it has been proven that ship motion and wave excitation have a certain impact on passenger evacuation.
The ship’s motion state is an important factor in ship safety and passenger evacuation. The research findings indicate that ship roll motion can affect individuals’ walking postures and decrease their walking speed, aligning with the findings of Wang’s study [37]. The results of this study suggest that the impact of roll motion on assembly time is relatively small. This is attributed to the fact that the simulation in this study only considered one deck, and the maximum amplitude of the roll motion was limited to 15 degrees. Simultaneously, the speed reduction coefficients used in this study are derived from TNO data, while Wang’s research relies on his real experimental studies. The trends of the two datasets are consistent, but there are clear differences. This highlights the significance of speed reduction coefficients under ship motion states as crucial input parameters for obtaining accurate evacuation times with evacuation simulations. For trim state at night scenarios, in contrast to daytime scenarios, individuals exhibit slower reaction times, and vision is constrained in dark environments. While existing guidelines do not address personnel evacuation under special scenarios, future studies should explore the possibility of incorporating rules for personnel evacuation into regulatory frameworks under these similar situations. Moreover, the speed reduction coefficient should be based on widely accepted data obtained through extensive experimental research. In future designs of ships, considerations for personnel evacuation should be integrated into the layout and arrangement optimization of the ship, including widening corridors and incorporating clear emergency evacuation route signage. Adding handrails appropriately enhances the stability of passengers’ walking during the evacuation process. These measures contribute to accelerating personnel evacuations in emergency situations. Personalized guidance systems will be developed and put into operation to enhance the safety and effectiveness of evacuating passengers from ships [38]. Meanwhile, the crew will be in charge of each step of the evacuation procedure, guiding passengers and helping them escape [39]. Passengers typically experience panic when accidents occur. As a result, exercise and training in ship evacuation procedures for both passengers and the crew, especially the crew, are essential for reducing risk and should be implemented at every stage of the risk management cycle. In addition, high-performance ICT equipment can be installed on ships during their design stage, and a command center can monitor various information on a ship in real time, evacuate the flow of people on congested lines, and improve cruise safety.
This study has three main limitations. Firstly, when investigating the impact of the ship’s heeling on the evacuation time, it assumes that passengers start evacuating simultaneously with the ship’s inclination, which is closer to an ideal scenario. In reality, the evacuation of passengers might occur after the initiation of the inclination. Secondly, this work only explores the evacuation of passengers under the influence of beam waves. For ships with a sailing speed, the frequency of a ship’s roll motion is influenced by a encounter frequency, and the impact of the ship’s rolling motion response on passenger speed at different angles needs further investigation. Lastly, in simulating the evacuation of individuals, all passengers are assumed to choose the nearest evacuation route without considering the familiarity of individuals with the paths and their impact on the evacuation process.
5. Conclusions
To address the special conditions not covered in the MSC.1/Circ.1533 guidelines, this study considered the heeling, trimming, and rolling motion states of a cruise ship. The simulation of passenger evacuation processes in these special cases was conducted using maritimeEXODUS software. Through an analysis of the simulation results, the following conclusions can be drawn.
- (1)
- The ship’s motion state significantly influenced the evacuation time of the passengers on the cruise ship. The ship’s inclination impacted the passengers’ walking speed, resulting in increased evacuation time. Specifically, bow trimming had the most significant impact on passenger evacuation. Compared to the results under up-right floating conditions, the passenger clearance time in night scenarios increased by 46.4%. In this simulation, due to the night scenario, the majority of passengers were initially situated in the bow cabin, and numerous stairs were distributed in the stern. Consequently, most passengers moved towards the stern during the evacuation, amplifying the impact of bow trimming more than stern trimming. In conclusion, the impact of the various inclination conditions on passenger evacuation on the cruise was linked to the initial distribution of the passengers and the layout of the evacuation passages.
- (2)
- The present simulation of the rolling motion of the target cruise ship only considered 300 passengers on Deck 4, with a rolling amplitude of 15° and a rolling period of 10 s. Compared with the up-right floating conditions, the evacuation time was prolonged by approximately 6%. The cruise rolling imposed a significant effect on the passengers with fast travel speeds. Moreover, the passengers with faster travel speeds were subjected to a lesser effect of the cruise rolling.
- (3)
- The required evacuation time under some extreme conditions can be determined by numerical simulation results. This time can be obtained by performing simulations with different ship motion states under different scenarios.
This study conducted simulations to validate the feasibility of the established numerical model, which is based on a ship’s motion state, to simulate passenger evacuation for a large-scale cruise. The proposed method contributes to enhancing ship safety. The current research findings can inform ship arrangement optimization and provide a reference for improving existing passenger evacuation procedures for cruises. However, certain shortcomings exist in this study that require improvement in the following aspects.
Due to the limitations of the simulation conditions and time, this study did not consider the evacuation of all passengers on the cruise under rolling conditions. In addition, it is important to stimulate the effects of planned action to reduce risk. Therefore, numerical simulations on these topics will be further studied in the future. This study only focuses on the impact of ships’ inclination and motion on the evacuation time through the existing guideline frameworks and methods. There is a potential limitation to this study. It is necessary to stimulate multiple models in different scenarios.
Author Contributions
Methodology and writing original draft, L.W.; data curation and software, P.Z.; funding acquisition, L.W.; writing review and editing, J.G. and Y.L. All authors have read and agreed to the published version of the manuscript.
Funding
This research was funded by the Natural Science Foundation of the Jiangsu Higher Education Institutions of China [Grant No. 21KJD580002] and the Scientific Research Starting Foundation of Jiangsu University of Science and Technology [Grant No. 1172932005].
Institutional Review Board Statement
Not applicable.
Informed Consent Statement
Not applicable.
Data Availability Statement
Data are contained within the article.
Conflicts of Interest
The authors declare no conflict of interest.
References
- Yang, L.Z. Movement Rules and Evacuation Dynamics of People in the Buildings; Science Press: Beijing, China, 2012. [Google Scholar]
- Lee, D.; Kim, H.; Park, J.H.; Park, B.J. The current status and future issues in human evacuation from ships. Saf. Sci. 2003, 41, 861–876. [Google Scholar] [CrossRef]
- Kim, H.; Park, J.H.; Lee, D.; Yang, Y.S. Establishing the methodologies for human evacuation simulation in marine accidents. Comput. Ind. Eng. 2004, 46, 725–740. [Google Scholar] [CrossRef]
- Xiao, H.S. Primary Study on the Simulation of Ship Evacuation. Master’s Thesis, Harbin Engineering University, Harbin, China, 2010. [Google Scholar]
- Zhu, Q.K.; Li, J.W.; Du, Y.F. Simulation study of evacuation of people from an old school building fire scenario. J. Syst. Simul. 2023, 1–11. [Google Scholar] [CrossRef]
- Xiao, W. Research on Architecture of Ship Evacuation Simulation System Based on UML. Master’s Thesis, Harbin Engineering University, Harbin, China, 2010. [Google Scholar]
- Hao, S.Q. Research on Emergency Evacuation Simulation of Subway Station Fire Based on Improved Social Force Model. Master’s Thesis, Beijing Jiaotong University, Beijing, China, 2021. [Google Scholar]
- Galea, E.R.; Lawrence, P.; Gwynne, S.; Sharp, G.; Hurst, N.; Wang, Z.; Ewer, J. Integrated fire and evacuation in maritime environments. In Proceedings of the 2nd International Maritime Conference on Design for Safety, Sakai, Japan, 27–30 October 2004; pp. 161–170. [Google Scholar]
- Gwynne, S.; Galea, E.R.; Lyster, C.; Glen, I. Analysing the evacuation procedures employed on a Thames passenger boat using the maritimeEXODUS evacuation model. Fire Technol. 2003, 39, 225–246. [Google Scholar] [CrossRef]
- Ping, P.; Wang, K.; Kong, D. Analysis of emergency evacuation in an offshore platform using evacuation simulation modeling. Phys. A Stat. Mech. Its Appl. 2018, 505, 601–612. [Google Scholar] [CrossRef]
- Nasso, C.; Bertagna, S.; Mauro, F.; Marinò, A.; Bucci, V. Simplified and advanced approaches for evacuation analysis of passenger ships in the early stage of design. Brodogradnja 2019, 70, 43–59. [Google Scholar] [CrossRef]
- Vanem, E.; Skjong, R. Designing for safety in passenger ships utilizing advanced evacuation analyses—A risk based approach. Saf. Sci. 2006, 44, 111–135. [Google Scholar] [CrossRef]
- Hu, M.; Cai, W. Research on the Evacuation Characteristics of Cruise Ship Passengers in Multi-Scenarios. Appl. Sci. 2022, 12, 4213. [Google Scholar] [CrossRef]
- Wang, X.; Liu, Z.; Loughney, S.; Yang, Z.; Wang, Y.; Wang, J. Numerical analysis and staircase layout optimisation for a Ro-Ro passenger ship during emergency evacuation. Reliab. Eng. Syst. Saf. 2022, 217, 108056. [Google Scholar] [CrossRef]
- Balakhontceva, M.; Karbovskii, V.; Sutulo, S.; Boukhanovsky, A. Multi-agent simulation of passenger evacuation from a damaged ship under storm conditions. Procedia Comput. Sci. 2016, 80, 2455–2464. [Google Scholar] [CrossRef]
- Kim, H.; Roh, M.I.; Han, S. Passenger evacuation simulation considering the heeling angle change during sinking. Int. J. Nav. Archit. Ocean Eng. 2019, 11, 329–343. [Google Scholar] [CrossRef]
- Fang, S.; Liu, Z.; Wang, X.; Wang, J.; Yang, Z. Simulation of evacuation in an inclined passenger vessel based on an improved social force model. Saf. Sci. 2022, 148, 105675. [Google Scholar] [CrossRef]
- Lee, J.; Kim, H.; Kwon, S. Evacuation analysis of a passenger ship with an inclined passage considering the coupled effect of trim and heel. Int. J. Nav. Archit. Ocean Eng. 2022, 14, 100450. [Google Scholar] [CrossRef]
- Bles, W.; Nooy, S.; Boer, L.C. Influence of ship listing and ship motion on walking speed. In Proceedings of the First Conference on Pedestrian and Evacuation Dynamics, Duisburg, Germany, 4–6 April 2001; pp. 437–452. [Google Scholar]
- Boer, L.C.; Skjong, R. Emergency evacuation: How better interior design can improve passenger flow. In Proceedings of the Cruise Ferry 2001, London, UK, 8–10 May 2001; pp. 1–9. [Google Scholar]
- Vassalos, D.; Christiansen, G.; Kim, H.S.; Bole, M.; Majumder, J. Evacuability of passenger ships at sea. Saf. Sea Mar. Equip. Exhib. (SASMEX) 2002. Available online: https://www.researchgate.net/publication/237657474_Evacuability_of_Passenger_Ships_at_Sea_By (accessed on 1 January 2024).
- Zhou, P.F.; Cheng, Q.; Wang, L.Y.; Gu, J.Y.; Huang, H. Simulation analysis of cruise ship’s advanced evacuation based on maritimeEXODUS. J. Jiangsu Univ. Sci. Technol. 2023, 37, 14–21. [Google Scholar]
- Casareale, C.; Bernardini, G.; Bartolucci, A.; Marincioni, F.; D’Orazio, M. Cruise ships like buildings: Wayfinding solutions to improve emergency evacuation. Build. Simul. 2017, 10, 989–1003. [Google Scholar] [CrossRef]
- Lundh, M.; Lützhöft, M.; Rydstedt, L.; Dahlman, J. Evacuation in practice—Observations from five full scale exercises. WMU J. Marit. Aff. 2010, 9, 137–151. [Google Scholar] [CrossRef]
- Wang, X.; Xia, G.; Zhao, J.; Wang, J.; Yang, Z.; Loughney, S.; Fang, S.; Zhang, S.; Xing, Y.; Liu, Z. A novel method for the risk assessment of human evacuation from cruise ships in maritime transportation. Reliab. Eng. Syst. Saf. 2023, 230, 108887. [Google Scholar] [CrossRef]
- Russo, F.; Rindone, C. Methods for Risk Reduction: Training and Exercises to Pursue the Planned Evacuation. Sustainability 2024, 16, 1474. [Google Scholar] [CrossRef]
- Tsai, P.C.; Chen, C.M.; Chen, Y. PSO-based evacuation simulation framework. In Proceedings of the 2014 IEEE Congress on Evolutionary Computation (CEC), Beijing, China, 6–11 July 2014; IEEE: New York, NY, USA, 2014; pp. 1944–1950. [Google Scholar]
- Chen, Y.; Lin, Y. Controlling the movement of crowds in computer graphics by using the mechanism of particle swarm optimization. Appl. Soft Comput. 2009, 9, 1170–1176. [Google Scholar] [CrossRef]
- Chu, C.W.; Lu, H.A.; Pan, C.Z. Emergency evacuation route for the passenger ship. J. Mar. Sci. Technol. 2013, 21, 515–521. [Google Scholar]
- Bellas, R.A.; Martínez, J.; Rivera, I.; Touza, R.; Gómez, M.; Carreño, R. Analysis of naval ship evacuation using stochastic simulation models and experimental data sets. Comput. Model. Eng. Sci. 2020, 122, 970–994. [Google Scholar] [CrossRef]
- Mohan, P.; Mittal, H. Review of ICT usage in disaster management. Int. J. Inf. Technol. 2020, 12, 955–962. [Google Scholar] [CrossRef]
- Koimtzoglou, A.; Themelis, N.; Ventikos, N.P.; Louzis, K.; Koimtzoglou, M.; Giannakis, K.; Panagiotidis, P.; Moustogiannis, S.; Ramiro, M.; Peña, J.; et al. Assessing the risk during mustering in large passenger vessels: A digital tool for real time decision support. In Sustainable Development and Innovations in Marine Technologies; CRC Press: Boca Raton, FL, USA, 2022; pp. 269–276. [Google Scholar]
- Ventikos, N.P.; Koimtzoglou, A.; Louzis, K.; Themelis, N.; Koimtzoglou, M.A. A smart risk assessment tool for decision support during ship evacuation. J. Mar. Sci. Eng. 2023, 11, 1014. [Google Scholar] [CrossRef]
- MSC.1/Circ.1533; Revised Guidelines on Evacuation Analysis for New and Existing Passenger Ships. International Maritime Organization: London, UK, 2016.
- Neumann, J.; Burks, W. Theory of Self-Reproducing Automata; Urbana; University of Illinois Press: Champaign, IL, USA, 1966. [Google Scholar]
- Galea, E.R. maritimeEXODUS Theory Manual; Fire Safety Engineering Group University of Greenwich: London, UK, 2020. [Google Scholar]
- Wang, X.; Liu, Z.; Wang, J.; Loughney, S.; Yang, Z.; Gao, X. Experimental study on individual walking speed during emergency evacuation with the influence of ship motion. Phys. A Stat. Mech. Its Appl. 2021, 562, 125369. [Google Scholar] [CrossRef]
- Liu, K.; Ma, Y.; Chen, M.; Wang, K.; Zheng, K. A survey of crowd evacuation on passenger ships: Recent advances and future challenges. Ocean Eng. 2022, 263, 112403. [Google Scholar] [CrossRef]
- Li, Y.P.; Cai, W. Research Progress on Ship Evacuation. Ship Build. China 2019, 1, 228–241. [Google Scholar]
Disclaimer/Publisher’s Note: The statements, opinions and data contained in all publications are solely those of the individual author(s) and contributor(s) and not of MDPI and/or the editor(s). MDPI and/or the editor(s) disclaim responsibility for any injury to people or property resulting from any ideas, methods, instructions or products referred to in the content. |
© 2024 by the authors. Licensee MDPI, Basel, Switzerland. This article is an open access article distributed under the terms and conditions of the Creative Commons Attribution (CC BY) license (https://creativecommons.org/licenses/by/4.0/).













