Sign in to use this feature.

Years

Between: -

Subjects

remove_circle_outline
remove_circle_outline
remove_circle_outline
remove_circle_outline
remove_circle_outline
remove_circle_outline
remove_circle_outline
remove_circle_outline
remove_circle_outline

Journals

remove_circle_outline
remove_circle_outline
remove_circle_outline
remove_circle_outline
remove_circle_outline
remove_circle_outline
remove_circle_outline
remove_circle_outline

Article Types

Countries / Regions

remove_circle_outline
remove_circle_outline
remove_circle_outline
remove_circle_outline

Search Results (527)

Search Parameters:
Keywords = evacuation simulation

Order results
Result details
Results per page
Select all
Export citation of selected articles as:
18 pages, 4314 KB  
Article
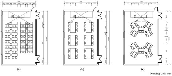
Evaluation and Optimization of Secondary School Laboratory Layout Based on Simulation of Students’ Evacuation Behavior
by Xihui Li and Yushu Chen
Buildings 2026, 16(2), 405; https://doi.org/10.3390/buildings16020405 - 19 Jan 2026
Abstract
Optimizing the furniture layout of middle school laboratories is crucial for improving the emergency safety, operational efficiency, and resilience of teaching buildings. This study used AnyLogic software to model and simulate pedestrian evacuation behavior in a typical middle school laboratory layout. In a [...] Read more.
Optimizing the furniture layout of middle school laboratories is crucial for improving the emergency safety, operational efficiency, and resilience of teaching buildings. This study used AnyLogic software to model and simulate pedestrian evacuation behavior in a typical middle school laboratory layout. In a standardized laboratory (90.75 m2), we constructed a behavior-oriented multi-agent evacuation model. The model incorporated key student parameters, including shoulder width (312–416 mm), walking speed (1.5–2.5 m/s), and reaction time (10–15 s). To ensure comparability between different layouts, the number of evacuees was fixed at 48. Evacuation performance was evaluated based on total evacuation time, spatial density, and detour distance. The results showed that the hybrid layout achieved the shortest evacuation time (28.0 s), which was 10.3% shorter than the island layout (31.2 s) and 34.7% shorter than the parallel layout (42.9 s). The hybrid layout also had a shorter average detour distance (9.78 m) and the lowest path variability (coefficient of variation CV = 0.33), indicating a more balanced evacuation load and a smaller bottleneck effect. Overall, these findings provide evidence-based recommendations for improving laboratory safety, space utilization, and behavioral adaptability, and provide a quantitative reference for updating educational building codes, school laboratory construction standards, and guidelines for laboratory furniture and safety facility configuration. Full article
(This article belongs to the Section Building Energy, Physics, Environment, and Systems)
Show Figures

Figure 1

16 pages, 31401 KB  
Article
Estimating the Spatio-Temporal Distribution of Smoke Layer Interface Height in Tunnel Fires During Construction
by Lin Xu, Mingxuan Qiu, Yinghao Zhao, Chao Ding, Longyue Li and Shengzhong Zhao
Fire 2026, 9(1), 39; https://doi.org/10.3390/fire9010039 - 15 Jan 2026
Viewed by 113
Abstract
When a fire occurs in a tunnel during construction, the smoke cannot be discharged in time and continues to settle near the ground, which threatens the safety of personnel. It is essential to understand smoke layer distribution for safe evacuation. To fill the [...] Read more.
When a fire occurs in a tunnel during construction, the smoke cannot be discharged in time and continues to settle near the ground, which threatens the safety of personnel. It is essential to understand smoke layer distribution for safe evacuation. To fill the knowledge gap for the spatio-temporal distribution of the smoke layer, a series of fire experiments are carried out in 1/20 reduced-scale tunnel models. Multiple variables are considered, including longitudinal fire location, heat release rate, aspect ratio of the main tunnel, and the inclined shaft length. Two fire scenarios are defined according to the longitudinal fire location in the main tunnel: near the upstream closed end (scenario 1) and near the downstream closed end (scenario 2). The results show that the structural evolution of the smoke layer inside the main tunnel experiences roughly three stages: single-layer smoke flow stage, transition stage, and two-layer smoke flow stage. In different fire scenarios, the reasonable N value is 10, determined by comparing the smoke layer interface height (hs) predicted by the N-percentage method with the observed results. Moreover, we find that the FDS simulation method has significant deviation in predicting poor stratification situations. Furthermore, the spatio-temporal distributions of hs in the main tunnel are predicted based on N = 10. The coupled effects of heat release rate and the longitudinal fire location on the hs values are analyzed. The tar value (time of smoke arrival at the respiratory height) is determined, and its spatial variations are predicted. By comparing the tar values at position 2# (near the inclined shaft) in different fire scenarios, we can provide a reference for the evacuation of personnel. Full article
Show Figures

Figure 1

26 pages, 9336 KB  
Article
Simulation of Pedestrian Grouping and Avoidance Behavior Using an Enhanced Social Force Model
by Xiaoping Zhao, Wenjie Li, Zhenlong Mo, Yunqiang Xue and Huan Wu
Sustainability 2026, 18(2), 746; https://doi.org/10.3390/su18020746 - 12 Jan 2026
Viewed by 122
Abstract
To address the limitations of conventional social force models in simulating high-density pedestrian crowds, this study proposes an enhanced model that incorporates visual perception constraints, group-type labeling, and collective avoidance mechanisms. Pedestrian trajectories were extracted from a bidirectional commercial street scenario using OpenCV, [...] Read more.
To address the limitations of conventional social force models in simulating high-density pedestrian crowds, this study proposes an enhanced model that incorporates visual perception constraints, group-type labeling, and collective avoidance mechanisms. Pedestrian trajectories were extracted from a bidirectional commercial street scenario using OpenCV, with YOLOv8 and DeepSORT employed for multiple object tracking. Analysis of pedestrian grouping patterns revealed that 52% of pedestrians walked in pairs, with distinct avoidance behaviors observed. The improved model integrates three key mechanisms: a restricted 120° forward visual field, group-type classification based on social relationships, and an exponentially formulated inter-group repulsive force. Simulation results in MATLAB R2023b demonstrate that the proposed model outperforms conventional approaches in multiple aspects: speed distribution (error < 8%); spatial density overlap (>85%); trajectory similarity (reduction of 32% in Dynamic Time Warping distance); and avoidance behavior accuracy (82% simulated vs. 85% measured). This model serves as a quantitative simulation tool and decision-making basis for the planning of pedestrian spaces, crowd organization management, and the optimization of emergency evacuation schemes in high-density pedestrian areas such as commercial streets and subway stations. Consequently, it contributes to enhancing pedestrian mobility efficiency and public safety, thereby supporting the development of a sustainable urban slow transportation system. Full article
(This article belongs to the Collection Advances in Transportation Planning and Management)
Show Figures

Figure 1

25 pages, 5335 KB  
Article
Simulating Evacuation on Inclined Offshore Platforms with an Improved Social Force Model
by Yanfu Wang, Zhicheng Ma, Fei Li and Jin Wang
J. Mar. Sci. Eng. 2026, 14(2), 155; https://doi.org/10.3390/jmse14020155 - 11 Jan 2026
Viewed by 135
Abstract
Offshore platforms are particularly vulnerable to inclination or capsizing during extreme weather conditions, such as strong winds, high waves, and powerful currents. These scenarios pose significant risks to offshore employees, making efficient evacuation strategies crucial. This study investigates evacuation processes on inclined offshore [...] Read more.
Offshore platforms are particularly vulnerable to inclination or capsizing during extreme weather conditions, such as strong winds, high waves, and powerful currents. These scenarios pose significant risks to offshore employees, making efficient evacuation strategies crucial. This study investigates evacuation processes on inclined offshore platforms, considering heel angles from 0° to 20° and trim angles from −20° to 20°, focusing on how platform inclination affects evacuation speed and overall evacuation time. To improve simulation accuracy, an Improved Social Force Model is proposed, incorporating both inclination-induced forces and attraction forces to better represent evacuation dynamics on inclined platforms. Simulation results indicate that evacuation time increases significantly when inclination angles exceed 15°, with longitudinal forces having a greater impact on stairway evacuations compared to heel forces. The findings offer valuable guidance for improving evacuation protocols on inclined offshore platforms. Full article
(This article belongs to the Special Issue Risk Assessment and Mitigation Strategies in Offshore Petroleum)
Show Figures

Figure 1

20 pages, 1557 KB  
Article
Algorithmic Evaluation of Fire Evacuation Efficiency Under Dynamic Crowd and Smoke Conditions
by Hyunseok Kim, Sunnie Haam, Mintaek Yoo and Woo Seung Song
Fire 2026, 9(1), 32; https://doi.org/10.3390/fire9010032 - 9 Jan 2026
Viewed by 340
Abstract
This study developed a fire evacuation simulation model for a six-level underground station to evaluate evacuation efficiency under both dynamic and static conditions, including structural damage, smoke propagation, and real-time crowd congestion. Two representative pathfinding algorithms, Dijkstra’s and A*, were applied to analyze [...] Read more.
This study developed a fire evacuation simulation model for a six-level underground station to evaluate evacuation efficiency under both dynamic and static conditions, including structural damage, smoke propagation, and real-time crowd congestion. Two representative pathfinding algorithms, Dijkstra’s and A*, were applied to analyze evacuation performance across eight fire scenarios occurring at different locations within the station. When only static factors were considered, both algorithms yielded identical maximum evacuation times, indicating comparable performance. However, the A* algorithm exhibited a significantly shorter computation time than Dijkstra’s, demonstrating higher operational efficiency. When dynamic variables such as real-time congestion and smoke-induced visibility reduction were introduced, the maximum evacuation times varied irregularly between the two algorithms. This outcome suggests that, under dynamic fire conditions, route guidance based solely on current information rather than predictive modeling may lead to suboptimal evacuation outcomes. Therefore, this study emphasizes the importance of establishing a predictive disaster management system capable of forecasting fire and smoke propagation, as well as a centralized control system that can dynamically distribute evacuees to enhance evacuation efficiency in deep underground stations. Full article
(This article belongs to the Topic Disaster Risk Management and Resilience)
Show Figures

Figure 1

34 pages, 14501 KB  
Article
Impact of Fire Source Locations and Ventilation Strategies on Indoor Environments: An FDS Simulation Study
by Dan-Adrian Ionescu, Vlad Iordache, Iulian-Cristian Ene and Ion Anghel
Fire 2026, 9(1), 22; https://doi.org/10.3390/fire9010022 - 30 Dec 2025
Viewed by 482
Abstract
This paper analyzes smoke control strategies in high-rise building stairwells, with particular focus on their application to existing buildings without smoke exhaust openings at the top of the stairwell. This study is necessary to support the optimization of fire safety in a wide [...] Read more.
This paper analyzes smoke control strategies in high-rise building stairwells, with particular focus on their application to existing buildings without smoke exhaust openings at the top of the stairwell. This study is necessary to support the optimization of fire safety in a wide range of existing high-rise buildings in Bucharest, Romania, where stairwells operate without upper smoke vents. The scientific challenge addressed is the comparative evaluation of natural ventilation and mechanical pressurization applied at the lower part of the stairwell in order to assess their influence on smoke and heat propagation. The motivation of this work is related to emergency response, as firefighters require a clear understanding of smoke movement and evacuation conditions depending on the fire location and ventilation mode. Three-dimensional CFD simulations were performed, using a fire source validated against experimental data, to analyze temperature, pressure, airflow velocity, visibility, and toxic gas concentration for different fire-floor locations. The results show that natural ventilation alone is ineffective, while single-point mechanical pressurization improves conditions only during the early fire stage. The findings contribute to better-informed firefighter decision-making by clarifying stairwell conditions during intervention in existing high-rise buildings. Full article
Show Figures

Figure 1

17 pages, 2210 KB  
Article
The Use of a Device to Improve the Evacuation Performance of Hospitalized Non-Self-Sufficient Patients in Healthcare Facilities
by Simone Accorsi, Francesco Ottaviani, Aurora Fabiano and Dimitri Sossai
Safety 2026, 12(1), 3; https://doi.org/10.3390/safety12010003 - 24 Dec 2025
Viewed by 327
Abstract
Background: Fire emergency management in healthcare facilities represents a complex challenge, particularly in historic buildings subject to architectural preservation constraints, where progressive horizontal evacuation is objectively difficult. This study analyzes the effectiveness of an evacuation sheet employed by Hospital Policlinico San Martino to [...] Read more.
Background: Fire emergency management in healthcare facilities represents a complex challenge, particularly in historic buildings subject to architectural preservation constraints, where progressive horizontal evacuation is objectively difficult. This study analyzes the effectiveness of an evacuation sheet employed by Hospital Policlinico San Martino to improve the speed of evacuating non-self-sufficient patients in these buildings. Methods: This study involved evacuation simulations in wards previously selected based on structural characteristics. Healthcare personnel (male and female, aged between 30 and 55 years) conducted both horizontal and vertical patient evacuation drills, comparing the performance of the S-CAPEPOD® Evacuation Sheet (Standard Model) with the conventional method (hospital bed plus and rescue sheet). This study focused on the night shift to evaluate the most critical scenario in terms of human resources. Results: The use of the evacuation sheet proved more efficient than the conventional method throughout the entire evacuation route, especially during the first 15 min of the emergency (the most critical period). Indeed, with an equal number of available personnel, the evacuation sheet enabled an average improvement of 50% in the number of patients evacuated. Conclusions: The data support the effectiveness of the device, confirming the theoretical premise that the introduction of the evacuation sheet—also due to its ease of use—can be an improvement measure for the evacuation performance of non-self-sufficient patients, despite limitations related to structural variability and the simulated nature of the trials. Full article
Show Figures

Figure 1

35 pages, 3221 KB  
Article
Hazard- and Fairness-Aware Evacuation with Grid-Interactive Energy Management: A Digital-Twin Controller for Life Safety and Sustainability
by Mansoor Alghamdi, Ahmad Abadleh, Sami Mnasri, Malek Alrashidi, Ibrahim S. Alkhazi, Abdullah Alghamdi and Saleh Albelwi
Sustainability 2026, 18(1), 133; https://doi.org/10.3390/su18010133 - 22 Dec 2025
Viewed by 337
Abstract
The paper introduces a real-time digital-twin controller that manages evacuation routes while operating GEEM for emergency energy management during building fires. The system consists of three interconnected parts which include (i) a physics-based hazard surrogate for short-term smoke and temperature field prediction from [...] Read more.
The paper introduces a real-time digital-twin controller that manages evacuation routes while operating GEEM for emergency energy management during building fires. The system consists of three interconnected parts which include (i) a physics-based hazard surrogate for short-term smoke and temperature field prediction from sensor data (ii), a router system that manages path updates for individual users and controls exposure and network congestion (iii), and an energy management system that regulates the exchange between PV power and battery storage and diesel fuel and grid electricity to preserve vital life-safety operations while reducing both power usage and environmental carbon output. The system operates through independent modules that function autonomously to preserve operational stability when sensors face delays or communication failures, and it meets Industry 5.0 requirements through its implementation of auditable policy controls for hazard penalties, fairness weight, and battery reserve floor settings. We evaluate the controller in co-simulation across multiple building layouts and feeder constraints. The proposed method achieves superior performance to existing AI/RL baselines because it reduces near-worst-case egress time (T95 and worst-case exposure) and decreases both event energy Eevent and CO2-equivalent CO2event while upholding all capacity, exposure cap, and grid import limit constraints. A high-VRE, tight-feeder stress test shows how reserve management, flexible-load shedding, and PV curtailment can achieve trade-offs between unserved critical load Uenergy  and emissions. The team delivers implementation details together with reporting templates to assist researchers in reaching reproducibility goals. The research shows that emergency energy systems, which integrate evacuation systems, achieve better safety results and environmental advantages that enable smart-city integration through digital thread operations throughout design, commissioning, and operational stages. Full article
(This article belongs to the Special Issue Smart Grids and Sustainable Energy Networks)
Show Figures

Figure 1

18 pages, 11420 KB  
Article
Applicability of UAV-Based Urban Flood Monitoring for Real-Time Evacuation Information
by Hye-Kyoung Lee, Young-Hoon Bae, Jihye Ryu and Young-Chan Kim
Sustainability 2026, 18(1), 103; https://doi.org/10.3390/su18010103 - 22 Dec 2025
Viewed by 302
Abstract
Urban floods are becoming increasingly frequent and severe, highlighting the need for real-time information that supports safe evacuation decision-making. This study proposes and validates an unmanned aerial vehicle (UAV)-based methodology for real-time urban flood monitoring using an actual flood event caused by Typhoon [...] Read more.
Urban floods are becoming increasingly frequent and severe, highlighting the need for real-time information that supports safe evacuation decision-making. This study proposes and validates an unmanned aerial vehicle (UAV)-based methodology for real-time urban flood monitoring using an actual flood event caused by Typhoon Hinnamnor at the Seondeok Intersection in Gyeongju, Republic of Korea. The method comprises three simple steps: (1) collecting UAV images and data; (2) generating spatial and terrain information through photogrammetry; and (3) estimating flood extent, depth, and volume using GIS-based analysis. A total of 796 UAV images were processed, yielding a flooded area of 3847.36 m2, a flood volume of 13,895.13 m3, and a maximum depth of 0.75 m. To assess performance, UAV-derived results were compared with XP-SWMM simulation outputs. Significant discrepancies were observed in flood extent, inundation volume, and flood persistence, indicating that hydrological models may not fully capture localized drainage failures or site-specific conditions in urban environments. These findings demonstrate that UAV-based monitoring provides a more accurate representation of actual flood and can supply high-resolution, rapidly obtainable information essential for real-time evacuation. This study provides empirical evidence of UAV applicability during the flood event itself and highlights its potential to enhance disaster-response capability, improve decision-making, and strengthen the resilience and sustainability of flood-prone urban areas. Full article
Show Figures

Figure 1

20 pages, 5198 KB  
Article
The Dominant Role of Exit Familiarity over Crowd Interactions and Spatial Layout in Pedestrian Evacuation Efficiency
by Si-Yi Wang, Chen-Xu Shi, Yan-Min Che and Feng-Jie Xie
Sustainability 2026, 18(1), 70; https://doi.org/10.3390/su18010070 - 20 Dec 2025
Viewed by 190
Abstract
Pedestrian evacuation efficiency is paramount to public safety and sustainable urban resilience. This study utilizes an agent-based model simulating evacuation dynamics in a built environment to assess the impact of route familiarity, interpersonal interactions, and storage layout on evacuation efficiency. The model incorporates [...] Read more.
Pedestrian evacuation efficiency is paramount to public safety and sustainable urban resilience. This study utilizes an agent-based model simulating evacuation dynamics in a built environment to assess the impact of route familiarity, interpersonal interactions, and storage layout on evacuation efficiency. The model incorporates an evolutionary game theory framework to capture strategic decision-making, featuring both symmetric and asymmetric interactions among evacuees with varying levels of exit information (complete, partial, or none). Results show that familiarity with exit location is the most decisive element for evacuation, significantly outweighing the influence of crowd interactions, imitation behaviors, group composition, or storage layout. Furthermore, the crowd composition exerts a significant moderating effect, so that asymmetric group structures yield superior evacuation performance compared to symmetric ones. The optimal storage layout for evacuation is contingent upon the availability of exit information. An orderly layout is superior when information is known, whereas a random layout proves more effective in the absence of information by preventing misleading paths. Thus, providing clear information, adaptable spatial designs and consciously constructing a heterogeneous population structure are more critical for evacuation. This work provides actionable insights for architects and safety planners, contributing directly to the development of safer, more sustainable built environments and supporting Sustainable Development Goal (SDG) 11, particularly Target 11.5. Full article
(This article belongs to the Section Social Ecology and Sustainability)
Show Figures

Figure 1

20 pages, 9833 KB  
Article
The Simulation-Based Analysis Focusing on Street Obstruction of Evacuee Mobility to Mitigate Disaster Risk: Chiang Mai Historic City
by Nattasit Srinurak, Janjira Sukwai and Nobuo Mishima
Heritage 2025, 8(12), 546; https://doi.org/10.3390/heritage8120546 - 18 Dec 2025
Viewed by 637
Abstract
While urban historic areas are most vulnerable to disasters, they offer insights into leveraging their features to mitigate risk. This study analyzes scientific approaches to evacuation simulations to assess the tolerance of historic areas. Using a heritage-led disaster risk reduction approach, this study [...] Read more.
While urban historic areas are most vulnerable to disasters, they offer insights into leveraging their features to mitigate risk. This study analyzes scientific approaches to evacuation simulations to assess the tolerance of historic areas. Using a heritage-led disaster risk reduction approach, this study uses a heritage site as a case study for evacuation. This study uses a GIS-based methodology to define various blockage risks, categorizing them as no-obstruction, rubble-obstruction, on-street vehicle obstruction, and combined obstruction. The input parameters were transferred from a GIS to a simulation application, with combined obstruction representing the worst-case scenario. No-obstruction served as a baseline for measuring historic area vulnerability. Statistical analysis evaluated time usage and the number of evacuees, while GIS identified vulnerable places and street congestion. Obstructions significantly increase evacuation risks, with combined obstructions posing a 3.8 times higher risk than the no obstruction scenario (2638 s compared to 683 s). Vehicle obstruction causes a vulnerability of 1404 s, while building collapse-related rubble obstruction causes a vulnerability of 1073.1 s, despite creating dead-end streets. The strategy of reinventing heritage sites as temporary evacuation sites appears viable. This approach can support evacuees during and after disaster responses and expand options for ensuring urban heritage resilience. Full article
Show Figures

Figure 1

34 pages, 28698 KB  
Article
The Impact of Spatial Configuration and Functional Layout on Evacuation Efficiency of Kindergarten Activity Units
by Xiaohu Jia, Shuaikang Ma, Yongbo Feng, Yunxiao Wang and Lipeng Chang
Buildings 2025, 15(24), 4511; https://doi.org/10.3390/buildings15244511 - 13 Dec 2025
Viewed by 274
Abstract
The kindergarten activity unit is the main space for children’s daily life and learning, and also represents a special type of densely populated public building. Its layout and evacuation design play an important role in ensuring children’s safety and improving evacuation efficiency in [...] Read more.
The kindergarten activity unit is the main space for children’s daily life and learning, and also represents a special type of densely populated public building. Its layout and evacuation design play an important role in ensuring children’s safety and improving evacuation efficiency in emergency situations. Therefore, our study aims to achieve a paradigm shift in kindergarten evacuation research, from the discrete analysis of evacuation ‘components’ (such as corridors and entrances) to integrated analysis of the ‘activity units’ as a whole system. As a complete evacuation analysis unit, the focus is on exploring the coupling mechanism between its internal spatial configuration and functional block layout, in order to improve evacuation efficiency. The results showed that when the classroom and dormitory of the activity unit are compared, the reasonable location for the exit of the classroom and dormitory can shorten the average evacuation time by 13.84%. When classrooms and dormitories are separated, it is necessary to control the connection exits between the classrooms and dormitories as well as the independent exits of the classrooms. This can significantly reduce the average evacuation time. The results of this study will help improve the survival ability of children in emergency situations, ensuring their safety and well-being. Full article
(This article belongs to the Section Architectural Design, Urban Science, and Real Estate)
Show Figures

Figure 1

32 pages, 34712 KB  
Article
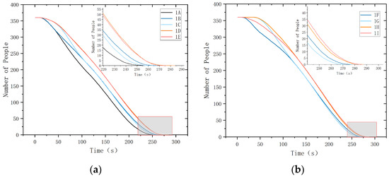
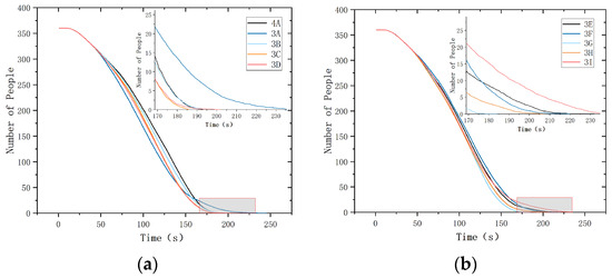
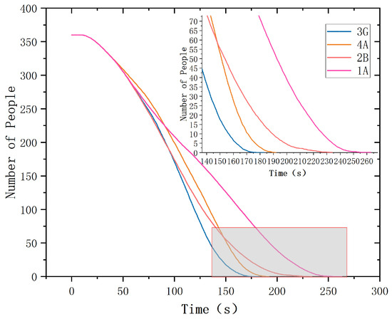
Optimal Roof–Ground Bidirectional Evacuation Strategies for Three-Story Kindergartens: Experimental Measurement and Simulation-Based Analysis
by Ming Liu, Hu Zhang, Xin Guo, Shuonan Ni, Yunxiao Wang, Shuyu Yan and Xiaohu Jia
Buildings 2025, 15(24), 4502; https://doi.org/10.3390/buildings15244502 - 12 Dec 2025
Viewed by 326
Abstract
Under fire conditions, kindergartens typically adopt a fully descending evacuation strategy. However, this approach has certain limitations in roof–courtyard bidirectional evacuation scenarios. Therefore, this study conducted an efficiency analysis of bidirectional evacuation strategies for three-story kindergartens. First, the ascending evacuation velocities of children [...] Read more.
Under fire conditions, kindergartens typically adopt a fully descending evacuation strategy. However, this approach has certain limitations in roof–courtyard bidirectional evacuation scenarios. Therefore, this study conducted an efficiency analysis of bidirectional evacuation strategies for three-story kindergartens. First, the ascending evacuation velocities of children were collected and used as fundamental input parameters for the simulations. Subsequently, MassMotion software was used to model and compare multiple roof–courtyard bidirectional evacuation strategies. The results indicated that under localized fire scenarios occurring on each floor, the optimal strategies were 3G, 2B, and 1A, respectively. Under overall evacuation conditions, Strategy 3G also achieved the best performance, improving total evacuation efficiency by 8.25% compared with the fully downward strategy and demonstrating strong tail-end clearance capability. This study quantified children’s ascending evacuation velocities and proposed a new bidirectional evacuation strategy tailored for three-story kindergartens, providing methodological guidance and practical insights for safe evacuation design in kindergarten buildings. Full article
(This article belongs to the Section Architectural Design, Urban Science, and Real Estate)
Show Figures

Figure 1

22 pages, 2838 KB  
Article
Hybrid Mono–Bipolar HVDC System with Control Strategy for Offshore Wind Power Integration
by Xingning Han, Zhuyi Peng, Wenjia Zhang, Wentao Sun, Qian Wu and Zhenjian Xie
Energies 2025, 18(23), 6323; https://doi.org/10.3390/en18236323 - 1 Dec 2025
Viewed by 412
Abstract
The ever-growing scale of offshore wind power integration has led coastal provincial power grids to face the common issue of insufficient AC grid structure capacity. An effective solution involves constructing an offshore–onshore mono–bipolar hybrid high voltage DC (HVDC) system by integrating an offshore [...] Read more.
The ever-growing scale of offshore wind power integration has led coastal provincial power grids to face the common issue of insufficient AC grid structure capacity. An effective solution involves constructing an offshore–onshore mono–bipolar hybrid high voltage DC (HVDC) system by integrating an offshore wind monopolar HVDC with an onshore embedded bipolar HVDC. Firstly, the limitations of existing AC structures in coastal grids when undertaking offshore wind power integration are analyzed through N-1 security verification, and the applicability of conventional power evacuation approaches is assessed from both theoretical and practical engineering standpoints. Subsequently, an offshore–onshore mono–bipolar hybrid HVDC system is proposed. Meanwhile, based on operational requirements and the analysis of the structural features, a coordinated control strategy for the hybrid HVDC system under both symmetric and asymmetric operation modes is designed. Finally, a simulation model is built on the PSCAD/EMTDC platform to verify the feasibility of the hybrid HVDC system control strategy in the coastal power grid and the effectiveness of the system to improve the wind power consumption capacity of the coastal power grid. Full article
(This article belongs to the Special Issue Integration of Renewable Energy Systems in Power Grid)
Show Figures

Figure 1

18 pages, 7391 KB  
Article
Urban Design and Resilient Cities: Simulating Crowd Behavior to Reduce Urban Risk
by Donato Di Ludovico, Federico Eugeni, Gennaro Zanfardino and Antinisca Di Marco
Sustainability 2025, 17(23), 10730; https://doi.org/10.3390/su172310730 - 30 Nov 2025
Viewed by 556
Abstract
The growing incidence of natural and man-made disasters, exacerbated by climate change, has highlighted the role of urban planning and design in reducing the impact of the risks they pose. This refers to pre-disaster recovery planning (PDRP), an innovative practice that aims to [...] Read more.
The growing incidence of natural and man-made disasters, exacerbated by climate change, has highlighted the role of urban planning and design in reducing the impact of the risks they pose. This refers to pre-disaster recovery planning (PDRP), an innovative practice that aims to improve the response of urban contexts affected by a disaster, with urban planning actions implemented in peacetime, i.e., before the disaster occurs. This paper presents a methodology that integrates agent-based simulation and safety-based urban design within a sustainability-oriented urban planning framework. The methodology aims to support the design of safer and more resilient public spaces, focusing on open areas within heritage districts and operating within a sustainability-oriented urban planning framework. The proposed approach integrates simulation and design to evaluate the performance of existing spatial layouts under stress conditions and explore alternative configurations that optimize evacuation dynamics and minimize risks. The result of applying the simulation to the current urban context therefore allows for the identification of appropriate urban design techniques and practices aimed at defining alternative spatial scenarios and improving the urban form in terms of its evacuation performance. Full article
Show Figures

Figure 1

Back to TopTop