Deployment Strategy Analysis for Underwater Geodetic Networks
Abstract
:1. Introduction
- To offer a suitable design of local SGN, we propose several deployment strategies and compare their coverage and accuracy performance.
- To make the design more realistic, we consider the stratification effect of sound speed and combine it with the active sonar equation to calculate the coverage characteristics, where we derive the sound trajectory as a function of the initial grazing angle.
2. Deployment Strategy of SGN
2.1. Network Structures
2.2. Anchor Coverage
2.2.1. Single Anchor Coverage
2.2.2. SGN Coverage
2.3. Positioning Service
3. Comparisons of Different Network Structures
3.1. Parameter Settings and Performance Evaluation Criteria
- Localization service coverage represents the scope of location services covered by the designed SGN networks. For any spatial coordinate, when the number of receivable anchor signals at its location is not less than three, this coordinate is considered within the positioning coverage range.
- GDOP values represent the distance vector amplification factor between the signal source and the receiver by sonar ranging errors. The GDOP value offers a theoretical description of the impact of network type on positioning accuracy. When adopting projection techniques, the depth information can be measured by the depth sensor, so we mainly focus on HDOP values in this paper.
- Localization error is the average distance bias between the estimated positions of underwater vehicles and their real positions. The localization error can be computed aswhere are real positions of underwater vehicles, are corresponding estimated positions, is total statistical positioning times. The simulation of localization error can numerically provide intuitive statistical characteristics of positioning errors.
3.2. Simulation Results
3.2.1. Coverage Performance
3.2.2. HDOP Distribution
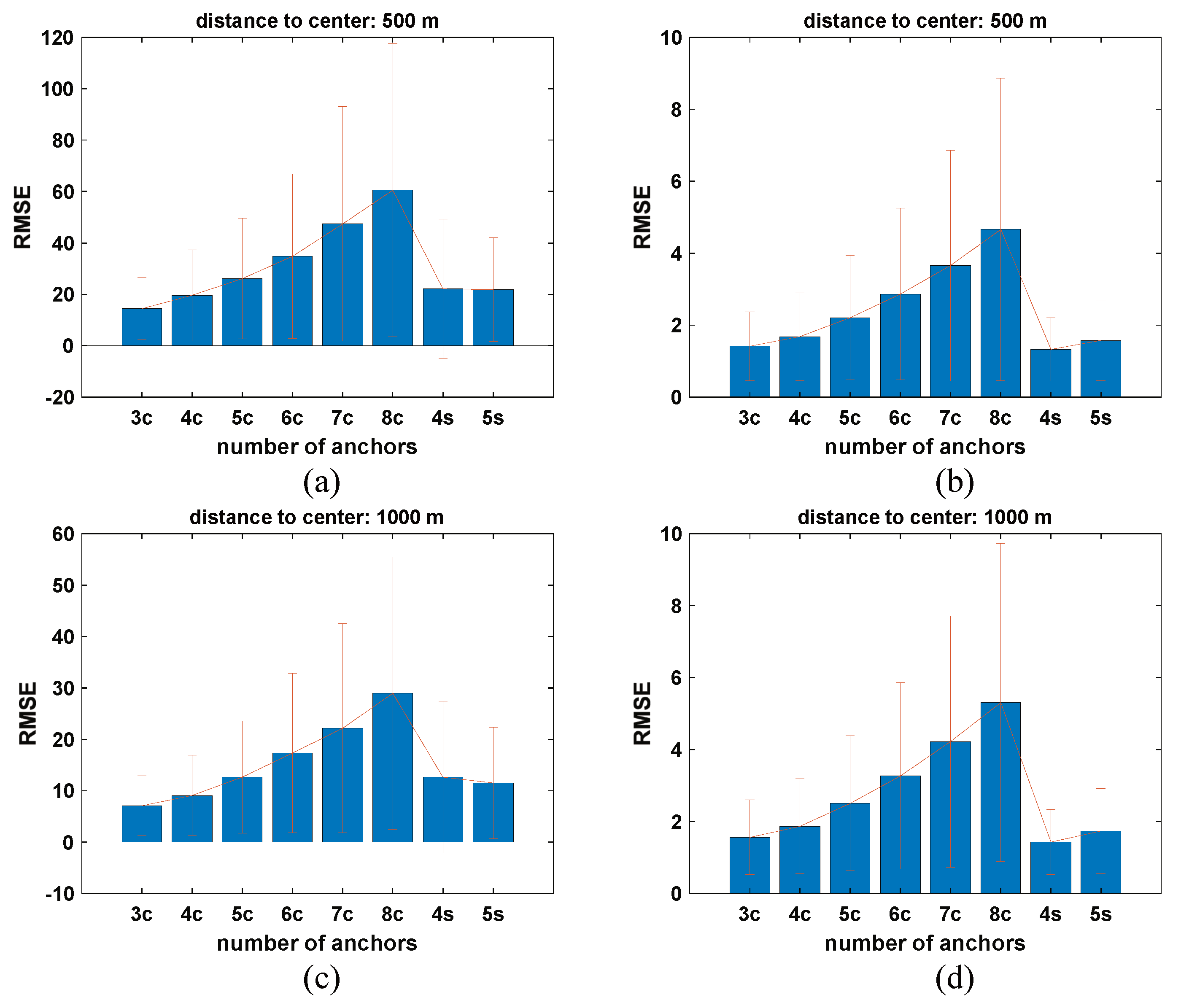
3.2.3. Localization Error
3.2.4. Non-Flat Seafloor Situation
4. Conclusions
Author Contributions
Funding
Institutional Review Board Statement
Informed Consent Statement
Data Availability Statement
Conflicts of Interest
Abbreviations
| SGN | Seafloor geodetic network |
| GNSS | Global navigation satellite system |
| GPS | Global positioning system |
| AOA | Angle of arrival |
| TOA | Time of arrival |
| TDOA | Time difference of arrival |
| RSS | Received signal strength |
| GDOP | Geometric dilution precision |
| HDOP | Horizontal dilution of precision |
References
- Yang, Y.; Liu, Y.; Sun, D.; Xu, T.; Xue, S.; Han, Y.; Zeng, A. Seafloor Geodetic Network Establishment and Key Technologies. Sci. China Earth Sci. 2020, 50, 10. [Google Scholar] [CrossRef]
- Usaf, L.C.J.W.Y. A Novel Method for Extending GPS to Underwater Applications. Navigation 1991, 38, 263–271. [Google Scholar]
- Tan, H.P.; Diamant, R.; Seah, W.K.G.; Waldmeyer, M. A survey of techniques and challenges in underwater localization. Ocean. Eng. 2011, 38, 1663–1676. [Google Scholar] [CrossRef]
- Qu, F.; Wang, S.; Wu, Z.; Liu, Z. A Survey of Ranging Algorithms and Localization Schemes in Underwater Acoustic Sensor Network. Chin. Commun. 2016, 13, 66–81. [Google Scholar]
- Luo, J.; Fan, L.; Wu, S.; Yan, X. Research on Localization Algorithms Based on Acoustic Communication for Underwater Sensor Networks. Sensors 2018, 18, 67. [Google Scholar] [CrossRef] [PubMed]
- Luo, J.; Yang, Y.; Wang, Z.; Chen, Y. Localization Algorithm for Underwater Sensor Network: A Review. IEEE Internet Things J. 2021, 8, 13126–13144. [Google Scholar] [CrossRef]
- Jensen, F.B.; Kuperman, W.A.; Porter, M.B.; Schmidt, H. Computational Ocean Acoustics; Springer Science & Business Media: Berlin/Heidelberg, Germany, 2011. [Google Scholar]
- Huang, H.; Zheng, Y.R. AoA assisted localization for underwater Ad-Hoc sensor networks. In Proceedings of the OCEANS 2016 MTS/IEEE Monterey, Monterey, CA, USA, 19–23 September 2016; pp. 1–6. [Google Scholar] [CrossRef]
- Beck, A.; Stoica, P.; Li, J. Exact and Approximate Solutions of Source Localization Problems. IEEE Trans. Signal Process. 2008, 56, 1770–1778. [Google Scholar] [CrossRef]
- Carevic, D. Automatic Estimation of Multiple Target Positions and Velocities Using Passive TDOA Measurements of Transients. IEEE Trans. Signal Process. 2007, 55, 424–436. [Google Scholar] [CrossRef]
- Chandrasekhar, V.; Seah, W. An Area Localization Scheme for Underwater Sensor Networks. In Proceedings of the OCEANS 2006—Asia Pacific, Singapore, 16–19 May 2006; pp. 1–8. [Google Scholar] [CrossRef]
- Cheng, X.; Shu, H.; Liang, Q.; Du, D.H.C. Silent Positioning in Underwater Acoustic Sensor Networks. IEEE Trans. Veh. Technol. 2008, 57, 1756–1766. [Google Scholar] [CrossRef]
- Liu, B.; Chen, H.; Zhong, Z.; Poor, H.V. Asymmetrical Round Trip Based Synchronization-Free Localization in Large-Scale Underwater Sensor Networks. IEEE Trans. Wirel. Commun. 2010, 9, 3532–3542. [Google Scholar] [CrossRef]
- Carroll, P.; Mahmood, K.; Zhou, S.; Zhou, H.; Xu, X.; Cui, J.H. On-Demand Asynchronous Localization for Underwater Sensor Networks. IEEE Trans. Signal Process. 2014, 62, 3337–3348. [Google Scholar] [CrossRef]
- Yan, J.; Zhang, X.; Luo, X.; Wang, Y.; Chen, C.; Guan, X. Asynchronous Localization With Mobility Prediction for Underwater Acoustic Sensor Networks. IEEE Trans. Veh. Technol. 2018, 67, 2543–2556. [Google Scholar] [CrossRef]
- Zhou, Z.; Cui, J.H.; Zhou, S. Efficient localization for large-scale underwater sensor networks. Ad Hoc Netw. 2010, 8, 267–279. [Google Scholar] [CrossRef]
- Zhang, S.; Zhang, Q.; Liu, M.; Fan, Z. A top-down positioning scheme for underwater wireless sensor networks. Sci. China Inf. Sci. 2014, 57, 1–10. [Google Scholar] [CrossRef]
- Diamant, R.; Lampe, L. Underwater Localization with Time-Synchronization and Propagation Speed Uncertainties. IEEE Trans. Mob. Comput. 2013, 12, 1257–1269. [Google Scholar] [CrossRef]
- Liu, J.; Wang, Z.; Cui, J.H.; Zhou, S.; Yang, B. A Joint Time Synchronization and Localization Design for Mobile Underwater Sensor Networks. IEEE Trans. Mob. Comput. 2016, 15, 530–543. [Google Scholar] [CrossRef]
- Zhang, B.; Wang, H.; Zheng, L.; Wu, J.; Zhuang, Z. Joint Synchronization and Localization for Underwater Sensor Networks Considering Stratification Effect. IEEE Access 2017, 5, 26932–26943. [Google Scholar] [CrossRef]
- Zhang, Y.; Li, Y.; Zhang, Y.; Jiang, T. Underwater Anchor-AUV Localization Geometries With an Isogradient Sound Speed Profile: A CRLB-Based Optimality Analysis. IEEE Trans. Wirel. Commun. 2018, 17, 8228–8238. [Google Scholar] [CrossRef]
- Zhang, L.; Zhang, T.; Shin, H.S.; Xu, X. Efficient Underwater Acoustical Localization Method Based On Time Difference and Bearing Measurements. IEEE Trans. Instrum. Meas. 2021, 70, 1–16. [Google Scholar] [CrossRef]
- Akkaya, K.; Newell, A. Self-deployment of sensors for maximized coverage in underwater acoustic sensor networks. Comput. Commun. 2009, 32, 1233–1244. [Google Scholar] [CrossRef]
- Nie, J.; Li, D.; Han, Y. Optimization of Multiple Gateway Deployment for Underwater Acoustic Sensor Networks. Comput. Sci. Inf. Syst. 2011, 8, 1073–1095. [Google Scholar] [CrossRef]
- Wang, F.; Wang, D.; Liu, J. Traffic-Aware Relay Node Deployment: Maximizing Lifetime for Data Collection Wireless Sensor Networks. IEEE Trans. Parallel Distrib. Syst. 2011, 22, 1415–1423. [Google Scholar] [CrossRef]
- Han, G.; Zhang, C.; Shu, L.; Sun, N.; Li, Q. A Survey on Deployment Algorithms in Underwater Acoustic Sensor Networks. Int. J. Distrib. Sens. Netw. 2013, 9, 314049. [Google Scholar] [CrossRef]
- Tuna, G.; Gungor, V.C. A survey on deployment techniques, localization algorithms, and research challenges for underwater acoustic sensor networks. Int. J. Commun. Syst. 2017, 30, e3350. [Google Scholar] [CrossRef]
- Iqbal, Z.; Lee, H.N. Deployment strategy analysis for underwater cooperative wireless sensor networks. In Proceedings of the 2015 International Conference on Information and Communication Technology Convergence (ICTC), Jeju, Republic of Korea, 28–30 October 2015; pp. 699–703. [Google Scholar] [CrossRef]
- Wang, Z.; Wang, B. A novel node sinking algorithm for 3D coverage and connectivity in underwater sensor networks. Ad Hoc Netw. 2017, 56, 43–55. [Google Scholar] [CrossRef]
- Zhang, H.; Wang, S.L.; Sun, H.X. Research on water surface gateway deployment in underwater acoustic sensor networks. In Proceedings of the OCEANS 2016 MTS/IEEE Monterey, Monterey, CA, USA, 19–23 September 2016; pp. 1–7. [Google Scholar] [CrossRef]
- Liu, J.; Guan, W.; Han, G.; Cui, J.H.; Fiondella, L.; Al-Bzoor, M. A Dynamic Surface Gateway Placement Scheme for Mobile Underwater Networks. Sensors 2019, 19, 1993. [Google Scholar] [CrossRef] [PubMed]
- Xu, C.; Song, S.; Liu, J.; Xu, Y.; Che, S.; Lin, B.; Xu, G. An Efficient Deployment Scheme with Network Performance Modeling for Underwater Wireless Sensor Networks. IEEE Internet Things J. 2023, 1. [Google Scholar] [CrossRef]
- Nguyen, N.H.; Doğançay, K. Optimal Geometry Analysis for Multistatic TOA Localization. IEEE Trans. Signal Process. 2016, 64, 4180–4193. [Google Scholar] [CrossRef]
- Wang, D.; Shang, E. Underwater Acoustics, 2nd ed.; China Science Publishing and Media Ltd.: Beijing, China, 2013; Chapter 3; pp. 105–106. [Google Scholar]
- Domingo, M.; Prior, R. Energy Analysis of Routing Protocal for Underwater Wireless Sensor Networks. Comput. Commun. 2007, 31, 1227–1238. [Google Scholar] [CrossRef]
- Han, G.; Zhang, C.; Shu, L.; Rodrigues, J.J.P.C. Impacts of Deployment Strategies on Localization Performance in Underwater Acoustic Sensor Networks. IEEE Trans. Ind. Electron. 2015, 62, 1725–1733. [Google Scholar] [CrossRef]
- Huang, W.; Li, D.; Jiang, P. Underwater Sound Speed Inversion by Joint Artificial Neural Network and Ray Theory. In Proceedings of the Thirteenth ACM International Conference on Underwater Networks & Systems (WUWNet’18), Shenzhen, China, 3–5 December 2018; ACM: New York, NY, USA, 2018; pp. 1–8. [Google Scholar] [CrossRef]
- Huang, W.; Zhang, H.; Meng, K.; Gao, F.; Sun, W.; Shu, J.; Xu, T.; Li, D. Fast Ray-Tracing-Based Precise Underwater Acoustic Localization without Prior Acknowledgment of Target Depth. arXiv 2023, arXiv:2310.08201. [Google Scholar]
- Yang, X.; Wang, F.; Liu, W.; Xiao, W.; Ye, X. A Layout Method of Space-Based Pseudolite System Based on GDOP Geometry. Chin. J. Electron. 2023, 32, 1050–1058. [Google Scholar] [CrossRef]
- Ju, J.; Liu, P. A transmitter of underwater acoustics communication module based on class D audio amplifier. In Proceedings of the 2022 Western China Acoustics Academic Conference, Singapore, 22–27 May 2022; pp. 431–434. [Google Scholar]
- Ye, Z.; Yan, S.; Yang, B. MIMO-OFDM Underwater Acoustic Communication Receiver Based on Intercarrier Interference Depth Estimation. J. Electron. Inf. Technol. 2023, 45, 2519–2527. [Google Scholar]












| Parameters | Values |
|---|---|
| Sonar power | 30 W [40] |
| Detective threshold | 20 dB [41] |
| Sea state level | 4 |
| Signal frequency | 13.5–16 kHz |
| Ocean depth | 3000 m |
| Standard deviation of distance measurement error | 0.1% × path length |
| Scenario 1: Circular Topology | |||||
|---|---|---|---|---|---|
| Items | Anchor 1 | Anchor 2 | Anchor 3 | Anchor 4 | Anchor 5 |
| X | 980 | 309 | −793 | −793 | 309 |
| Y | 0 | 951 | 576 | −576 | −951 |
| Z | 3200 | 3000 | 2800 | 2800 | 3000 |
| Scenario 1: Star Topology | |||||
| Items | Anchor 1 | Anchor 2 | Anchor 3 | Anchor 4 | Anchor 5 |
| X | 1487 | 464 | −−1203 | −1203 | 464 |
| Y | 0 | 1427 | 874 | −874 | −1427 |
| Z | 3200 | 3000 | 2800 | 2800 | 3000 |
| Items | Anchor 1 | Anchor 2 | Anchor 3 | Anchor 4 | Anchor 5 |
| X | 1487 | 0 | −1487 | 0 | 0 |
| Y | 0 | 1500 | 0 | −1500 | 0 |
| Z | 3200 | 3000 | 2800 | 2800 | 3000 |
| Scenario 2: Star Topology | |||||
| Items | Anchor 1 | Anchor 2 | Anchor 3 | Anchor 4 | Anchor 5 |
| X | 1470 | 0 | −1470 | 0 | 0 |
| Y | 0 | 1500 | 0 | −1500 | 0 |
| Z | 3300 | 3000 | 2700 | 2800 | 3000 |
| Scenario | Average Localization Error without Position Constraints (m) | Standard Deviation of Positioning Error without Position Constraints (m) | Average Localization Error with Position Constraints (m) | Standard Deviation of Positioning Error with Position Constraints (m) |
|---|---|---|---|---|
| Circular topology when m | 7.9798 | 6.6530 | 2.8181 | 2.0711 |
| Star topology when m | 7.9601 | 7.2190 | 1.9772 | 1.3244 |
| Circular topology when m | 8.0957 | 6.8508 | 2.8146 | 2.0039 |
| Star topology when m | 7.5988 | 7.2533 | 2.0034 | 1.3148 |
| Circular topology when m | 7.9110 | 6.4076 | 2.8114 | 2.0311 |
| Star topology when m | 7.8054 | 6.9600 | 1.9971 | 1.3023 |
Disclaimer/Publisher’s Note: The statements, opinions and data contained in all publications are solely those of the individual author(s) and contributor(s) and not of MDPI and/or the editor(s). MDPI and/or the editor(s) disclaim responsibility for any injury to people or property resulting from any ideas, methods, instructions or products referred to in the content. |
© 2023 by the authors. Licensee MDPI, Basel, Switzerland. This article is an open access article distributed under the terms and conditions of the Creative Commons Attribution (CC BY) license (https://creativecommons.org/licenses/by/4.0/).
Share and Cite
Huang, W.; Qiu, R.; Zhou, J.; Xu, T. Deployment Strategy Analysis for Underwater Geodetic Networks. J. Mar. Sci. Eng. 2024, 12, 25. https://doi.org/10.3390/jmse12010025
Huang W, Qiu R, Zhou J, Xu T. Deployment Strategy Analysis for Underwater Geodetic Networks. Journal of Marine Science and Engineering. 2024; 12(1):25. https://doi.org/10.3390/jmse12010025
Chicago/Turabian StyleHuang, Wei, Runying Qiu, Jixuan Zhou, and Tianhe Xu. 2024. "Deployment Strategy Analysis for Underwater Geodetic Networks" Journal of Marine Science and Engineering 12, no. 1: 25. https://doi.org/10.3390/jmse12010025
APA StyleHuang, W., Qiu, R., Zhou, J., & Xu, T. (2024). Deployment Strategy Analysis for Underwater Geodetic Networks. Journal of Marine Science and Engineering, 12(1), 25. https://doi.org/10.3390/jmse12010025

