Horizontal Trajectory Tracking Control for Underactuated Autonomous Underwater Vehicles Based on Contraction Theory
Abstract
1. Introduction
- (1)
- A coordinate transformation is introduced to cope with the problem of underactuation and a disturbance observer is designed to estimate the total disturbances.
- (2)
- CT and SPT are used to construct a saturated controller such that the reference states defined by the coordinate transformation converge to the desired states asymptotically, while the error between the actual states and the desired states converges to the region near zero, and the control inputs do not exceed the limitations of the actuator. Compared with existing methods, the controller designed in this paper has a simple form and is easy to apply. In solving input saturation problems especially, there is no need to design auxiliary systems or run complex algorithms such as NN or FL.
- (3)
- CT is applied to analyse the convergence properties of the DO and the SPS, and the upper bounds of estimation error, tracking error, and the error between the ideal controller and actual controller are given.
2. Literature Review
3. AUV Modelling
3.1. AUV Modelling in the Horizontal Plane
3.2. Coordinate Transformation
4. DO and Saturated Controller Design
4.1. DO Design
4.2. Saturated Controller Design
5. Error Analysis
5.1. Error Analysis of Control Variables
5.2. Analysis of Tracking Error
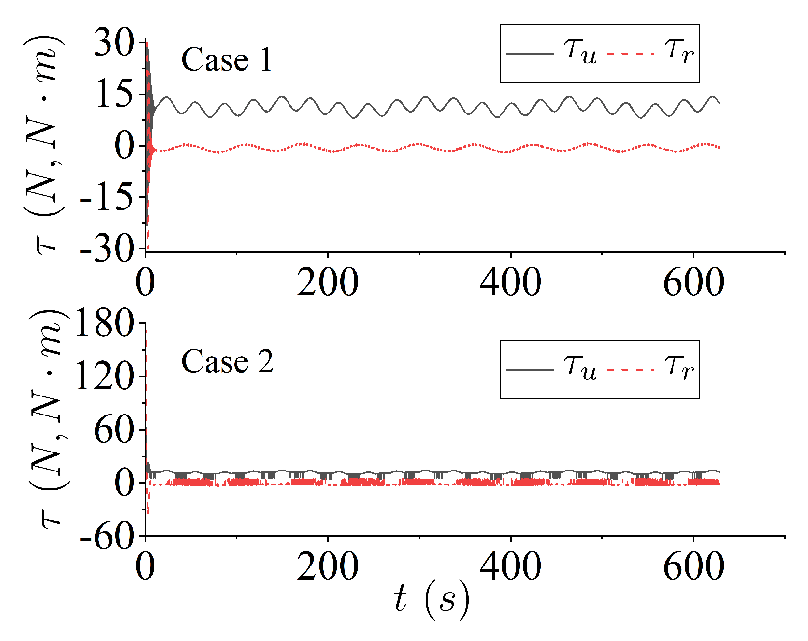
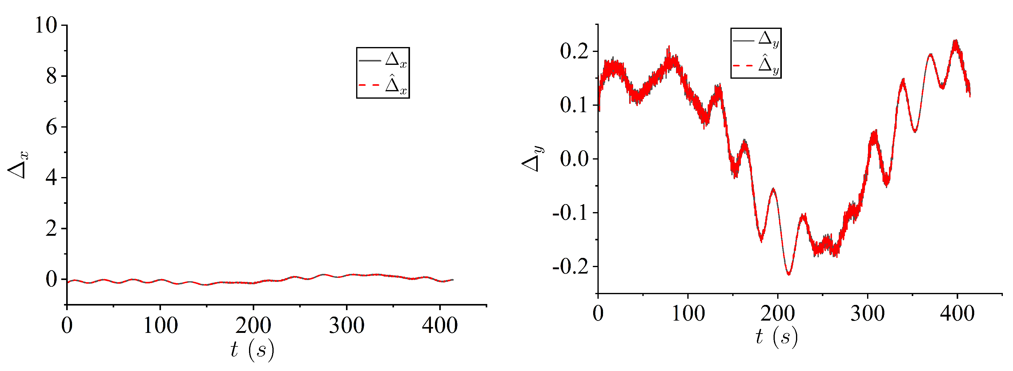
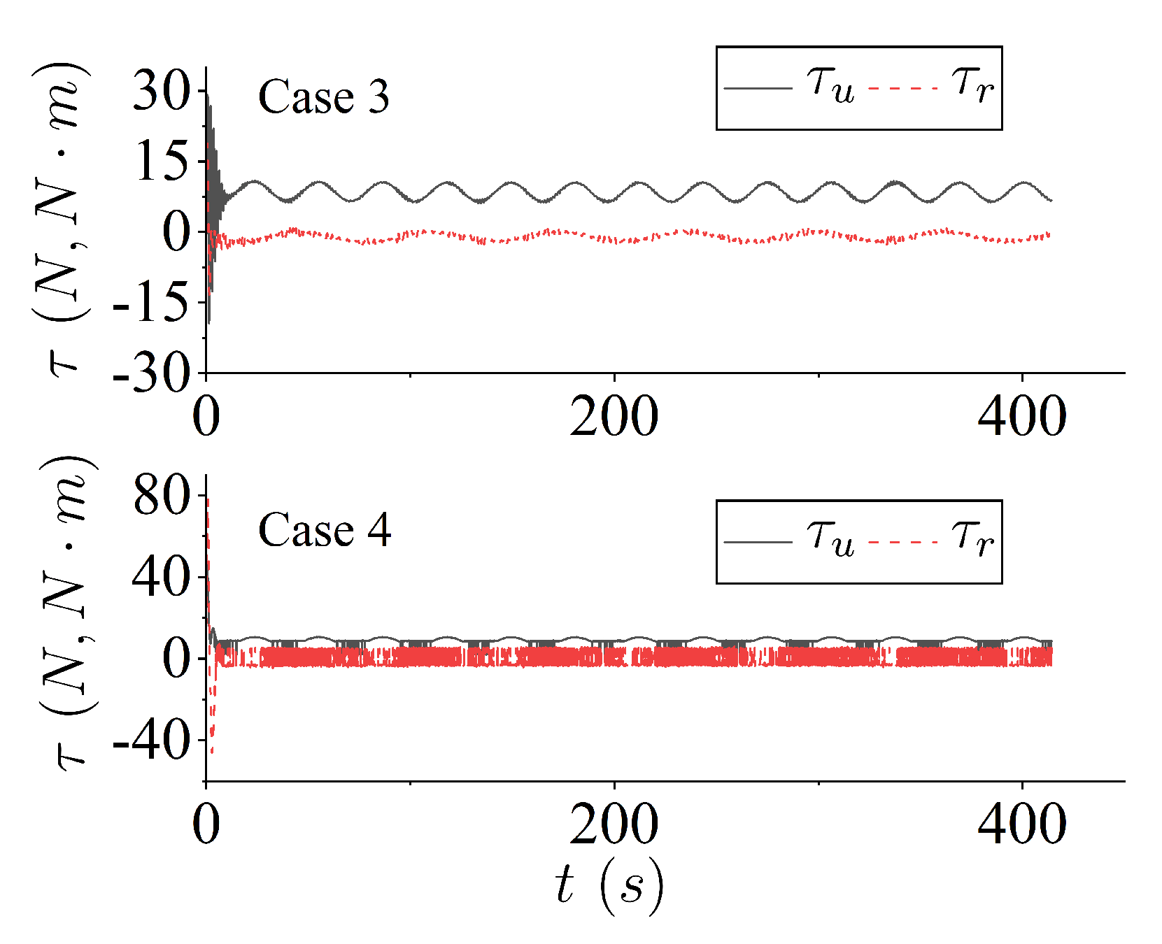
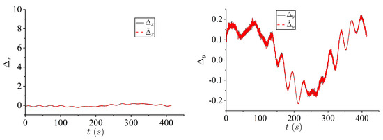
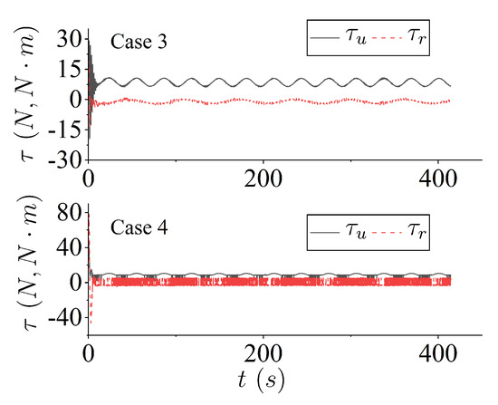
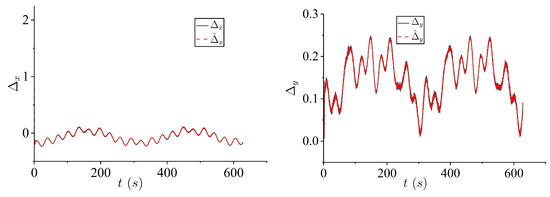
6. Numerical Simulations
7. Conclusions
Author Contributions
Funding
Institutional Review Board Statement
Informed Consent Statement
Data Availability Statement
Conflicts of Interest
Appendix A
| Abbreviation | Full Name |
|---|---|
| AUV | autonomous underwater vehicle |
| CT | contraction theory |
| DO | disturbance observer |
| SPT | singular perturbation theory |
| SPS | singular perturbation system |
| NN | neural networks |
| FL | fuzzy logic |
| DOF | degrees-of-freedom |
| USV | unmanned surface vehicle |
| SF | Serrent–Frenet |
| ESO | extended state observer |
| 3D | three-dimensional |
| MPC | model predictive control |
| DAI | deterministic artificial intelligence |
| UUV | unmanned underwater vehicles |
| UND | uniformly negative definite |
| UGES | uniformly global exponential stable |
| pH | port-Hamiltonian |
Appendix B
Appendix B.1. Contraction Theory
Appendix B.2. Contraction Analysis of Singular Perturbation System
References
- Wang, F.; Wan, L.; Li, Y.; Su, Y.; Xu, Y. A survey on development of motion control for underactuated AUV. Shipbuild. China 2010, 51, 227–241. [Google Scholar]
- Lohmiller, W.; Slotine, J.J.E. On contraction analysis for non-linear systems. Automatica 1998, 34, 683–696. [Google Scholar] [CrossRef]
- Del Vecchio, D.; Slotine, J.-J.E. A contraction theory Approach to Singularly Perturbed Systems. IEEE Trans. Autom. Control 2013, 58, 752–757. [Google Scholar] [CrossRef]
- Liang, X.; Qu, X.; Wan, L.; Ma, Q. Three-Dimensional Path Following of an Underactuated AUV Based on Fuzzy Backstepping Sliding Mode Control. Int. J. Fuzzy Syst. 2017, 20, 640–649. [Google Scholar] [CrossRef]
- Miao, J.; Wang, S.; Tomovic, M.M.; Zhao, Z. Compound line-of-sight nonlinear path following control of underactuated marine vehicles exposed to wind, waves, and ocean currents. Nonlinear Dyn. 2017, 89, 2441–2459. [Google Scholar] [CrossRef]
- Miao, J.; Deng, K.; Zhang, W.; Gong, X.; Lyu, J.; Ren, L. Robust Path-Following Control of Underactuated AUVs with Multiple Uncertainties in the Vertical Plane. J. Mar. Sci. Eng. 2022, 10, 238. [Google Scholar] [CrossRef]
- Zhang, J.; Xiang, X.; Lapierre, L.; Zhang, Q.; Li, W. Approach-angle-based three-dimensional indirect adaptive fuzzy path following of under-actuated AUV with input saturation. Appl. Ocean. Res. 2021, 107, 102486. [Google Scholar] [CrossRef]
- Ghommam, J.; Mnif, F.; Benali, A.; Derbel, N. Asymptotic Backstepping Stabilization of an Underactuated Surface Vessel. IEEE Trans. Control Syst. Technol. 2006, 14, 1150–1157. [Google Scholar] [CrossRef]
- Ding, F.; Wu, J.; Wang, Y. Stabilization of an Underactuated Surface Vessel Based on Adaptive Sliding Mode and Backstepping Control. Math. Probl. Eng. 2013, 2013, 324954. [Google Scholar] [CrossRef]
- Qin, J.; Du, J. Adaptive fast nonsingular terminal sliding mode control for underactuated surface vessel trajectory tracking. In Proceedings of the 19th International Conference on Control, Automation and Systems (ICCAS), Jeju, Republic of Korea, 15–18 October 2019; pp. 1365–1370. [Google Scholar] [CrossRef]
- Qin, J.; Du, J. Robust adaptive asymptotic trajectory tracking control for underactuated surface vessels subject to unknown dynamics and input saturation. J. Mar. Sci. Technol. 2021, 27, 307–319. [Google Scholar] [CrossRef]
- Shojaei, K.; Arefi, M.M. On the neuro-adaptive feedback linearising control of underactuated autonomous underwater vehicles in three-dimensional space. IET Control. Theory Appl. 2015, 9, 1264–1273. [Google Scholar] [CrossRef]
- Yi, B.; Qiao, L.; Zhang, W. Two-time scale path following of underactuated marine surface vessels: Design and stability analysis using singular perturbation methods. Ocean. Eng. 2016, 124, 287–297. [Google Scholar] [CrossRef]
- Lei, M.; Li, Y.; Pang, S. Extended state observer-based composite-system control for trajectory tracking of underactuated AUVs. Appl. Ocean. Res. 2021, 112, 102694. [Google Scholar] [CrossRef]
- Lei, M.; Li, Y.; Pang, S. Robust singular perturbation control for 3D path following of underactuated AUVs. Int. J. Nav. Archit. Ocean. Eng. 2021, 13, 758–771. [Google Scholar] [CrossRef]
- Han, J. From PID to active disturbance rejection control. IEEE Trans. Ind. Electron. 2009, 56, 900–906. [Google Scholar] [CrossRef]
- Radke, A.; Gao, Z. A survey of state and disturbance observers for practitioners. In Proceedings of the 2006 American Control Conference, Minneapolis, MN, USA, 14–16 June 2006. [Google Scholar] [CrossRef]
- Chen, W.-H.; Yang, J.; Guo, L.; Li, S. Disturbance-Observer-Based Control and Related Methods—An Overview. IEEE Trans. Ind. Electron. 2016, 63, 1083–1095. [Google Scholar] [CrossRef]
- Liu, S.; Liu, Y.; Wang, N. Nonlinear disturbance observer-based backstepping finite-time sliding mode tracking control of underwater vehicles with system uncertainties and external disturbances. Nonlinear Dyn. 2016, 88, 465–476. [Google Scholar] [CrossRef]
- Peng, Z.; Wang, J.; Wang, J. Constrained Control of Autonomous Underwater Vehicles Based on Command Optimization and Disturbance Estimation. IEEE Trans. Ind. Electron. 2019, 66, 3627–3635. [Google Scholar] [CrossRef]
- Ali, N.; Tawiah, I.; Zhang, W. Finite-time extended state observer based nonsingular fast terminal sliding mode control of autonomous underwater vehicles. Ocean. Eng. 2020, 218, 108179. [Google Scholar] [CrossRef]
- Liu, J.; Du, J. Composite learning tracking control for underactuated autonomous underwater vehicle with unknown dynamics and disturbances in three-dimension space. Appl. Ocean. Res. 2021, 112, 102686. [Google Scholar] [CrossRef]
- Duan, K.; Fong, S.; Chen, C. Fuzzy observer-based tracking control of an underactuated underwater vehicle with linear velocity estimation. IET Control. Theory Appl. 2020, 14, 584–593. [Google Scholar] [CrossRef]
- Galeani, S.; Tarbouriech, S.; Turner, M.; Zaccarian, L. A Tutorial on Modern Anti-windup Design. Eur. J. Control 2009, 15, 418–440. [Google Scholar] [CrossRef]
- Chen, M.; Ge, S.S.; Ren, B. Adaptive tracking control of uncertain MIMO nonlinear systems with input constraints. Automatica 2011, 47, 452–465. [Google Scholar] [CrossRef]
- Cui, R.; Zhang, X.; Cui, D. Adaptive sliding-mode attitude control for autonomous underwater vehicles with input nonlinearities. Ocean. Eng. 2016, 123, 45–54. [Google Scholar] [CrossRef]
- Chu, Z.; Xiang, X.; Zhu, D.; Luo, C.; Xie, D. Adaptive Fuzzy Sliding Mode Diving Control for Autonomous Underwater Vehicle with Input Constraint. Int. J. Fuzzy Syst. 2017, 20, 1460–1469. [Google Scholar] [CrossRef]
- Zhu, C.; Huang, B.; Su, Y.; Zheng, Y.; Zheng, S. Finite-time rotation-matrix-based tracking control for autonomous underwater vehicle with input saturation and actuator faults. Int. J. Robust Nonlinear Control 2021, 32, 2925–2949. [Google Scholar] [CrossRef]
- Yu, C.; Xiang, X.; Zhang, Q.; Xu, G. Adaptive Fuzzy Trajectory Tracking Control of an Under-Actuated Autonomous Underwater Vehicle Subject to Actuator Saturation. Int. J. Fuzzy Syst. 2017, 20, 269–279. [Google Scholar] [CrossRef]
- Xia, Y.; Xu, K.; Huang, Z.; Wang, W.; Xu, G.; Li, Y. Adaptive energy-efficient tracking control of a X rudder AUV with actuator dynamics and rolling restriction. Appl. Ocean. Res. 2022, 118, 102994. [Google Scholar] [CrossRef]
- Yan, Z.; Gong, P.; Zhang, W.; Wu, W. Model predictive control of autonomous underwater vehicles for trajectory tracking with external disturbances. Ocean. Eng. 2020, 217, 107884. [Google Scholar] [CrossRef]
- Gong, P.; Yan, Z.; Zhang, W.; Tang, J. Lyapunov-based model predictive control trajectory tracking for an autonomous underwater vehicle with external disturbances. Ocean. Eng. 2021, 232, 109010. [Google Scholar] [CrossRef]
- Sands, T. Development of Deterministic Artificial Intelligence for Unmanned Underwater Vehicles (UUV). J. Mar. Sci. Eng. 2020, 8, 578. [Google Scholar] [CrossRef]
- Shah, R.; Sands, T. Comparing Methods of DC Motor Control for UUVs. Appl. Sci. 2021, 11, 4972. [Google Scholar] [CrossRef]
- Jouffroy, J. A relaxed criterion for contraction theory: Application to an underwater vehicle observer. In Proceedings of the 2003 European Control Conference (ECC), Cambridge, UK, 1–4 September 2003; pp. 2999–3004. [Google Scholar] [CrossRef]
- Jouffroy, J.; Fossen, T.I. Tutorial on Incremental Stability Analysis using contraction theory. Model. Identif. Control. Nor. Res. Bull. 2010, 31, 93–106. [Google Scholar] [CrossRef]
- Reyes-Báez, R. Virtual Contraction and Passivity Based Control of Nonlinear Mechanical Systems: Trajectory Tracking and Group Coordination. Ph.D. Thesis, University of Groningen, Groningen, The Netherlands, 2019. [Google Scholar]
- Espindola-Lopez, E.; Tang, Y. Global exponential attitude tracking for spacecraft with gyro bias estimation. ISA Trans. 2021, 116, 46–57. [Google Scholar] [CrossRef]
- Su, Y.; Ren, L.; Sun, C. Event-triggered robust distributed nonlinear model predictive control using contraction theory. J. Frankl. Inst. 2022, 359, 4874–4892. [Google Scholar] [CrossRef]
- Wang, W.; Slotine, J.J. On partial contraction analysis for coupled nonlinear oscillators. Biol. Cybern. 2005, 92, 38–53. [Google Scholar] [CrossRef]
- Chung, S.-J.; Slotine, J.J.E. Cooperative Robot Control and Concurrent Synchronization of Lagrangian Systems. IEEE Trans. Robot. 2009, 25, 686–700. [Google Scholar] [CrossRef]
- Rayguru, M.M.; Mohan, R.E.; Parween, R.; Yi, L.; Le, A.V.; Roy, S. An Output Feedback Based Robust Saturated Controller Design for Pavement Sweeping Self-Reconfigurable Robot. IEEE/ASME Trans. Mechatron. 2021, 26, 1236–1247. [Google Scholar] [CrossRef]
- Kong, F.H.; Manchester, I.R. Contraction analysis of nonlinear noncausal iterative learning control. Syst. Control. Lett. 2020, 136, 104599. [Google Scholar] [CrossRef]
- Tsukamoto, H.; Chung, S.-J.; Slotine, J.-J.E. Neural Stochastic Contraction Metrics for Learning-Based Control and Estimation. IEEE Control. Syst. Lett. 2021, 5, 1825–1830. [Google Scholar] [CrossRef]
- Tsukamoto, H.; Chung, S.-J. Neural Contraction Metrics for Robust Estimation and Control: A Convex Optimization Approach. IEEE Control. Syst. Lett. 2021, 5, 211–216. [Google Scholar] [CrossRef]
- Tsukamoto, H.; Chung, S.-J. Robust Controller Design for Stochastic Nonlinear Systems via Convex Optimization. IEEE Trans. Autom. Control 2020, 66, 4731–4746. [Google Scholar] [CrossRef]
- Jouffroy, J.; Fossen, T.I. On the combination of nonlinear contracting observers and UGES controllers for output feedback. In Proceedings of the 43rd IEEE Conference on Decision and Control (CDC), (IEEE Cat. No. 04CH37601), Paradise Island, Bahamas, 14–17 December 2004; Volume 5, pp. 4933–4939. [Google Scholar] [CrossRef]
- Mohamed, M.; Swaroop, S. Incremental Input to State Stability of Underwater Vehicle. IFAC-PapersOnLine 2016, 49, 41–46. [Google Scholar] [CrossRef]
- Mohamed, M.; Su, R. Contraction based tracking control of autonomous underwater vehicle. IFAC-PapersOnLine 2017, 50, 2665–2670. [Google Scholar] [CrossRef]
- Fossen, T.I. Handbook of Marine Craft Hydrodynamics and Motion Control; John Wiley & Sons: Hoboken, NJ, USA, 2011. [Google Scholar]
- Khalil, H.K. Nonlinear Systems, 3rd ed.; Prentice Hall: Upper Saddle River, NJ, USA, 2002. [Google Scholar]
- Prestero, T. Verification of a Six-Degree of Freedom Simulation Model for the REMUS Autonomous Underwater Vehicle. Ph.D. Thesis, Massachusetts Institute of Technology, Cambridge, MA, USA, 2001. [Google Scholar]
- Elmokadem, T.; Zribi, M.; Youcef-Toumi, K. Trajectory tracking sliding mode control of underactuated AUVs. Nonlinear Dyn. 2016, 84, 1079–1091. [Google Scholar] [CrossRef]










| Terms | Case 1 | Case 2 |
|---|---|---|
| parameters | , , | , |
| , | ||
| , | ||
| initial conditions | ||
| actuator limitation |
| Terms | Case 3 | Case 4 |
|---|---|---|
| parameters | , , | , |
| , | ||
| , | ||
| initial conditions | ||
| actuator limitation |
Disclaimer/Publisher’s Note: The statements, opinions and data contained in all publications are solely those of the individual author(s) and contributor(s) and not of MDPI and/or the editor(s). MDPI and/or the editor(s) disclaim responsibility for any injury to people or property resulting from any ideas, methods, instructions or products referred to in the content. |
© 2023 by the authors. Licensee MDPI, Basel, Switzerland. This article is an open access article distributed under the terms and conditions of the Creative Commons Attribution (CC BY) license (https://creativecommons.org/licenses/by/4.0/).
Share and Cite
Ma, C.; Jia, J.; Zhang, T.; Wu, S.; Jiang, D. Horizontal Trajectory Tracking Control for Underactuated Autonomous Underwater Vehicles Based on Contraction Theory. J. Mar. Sci. Eng. 2023, 11, 805. https://doi.org/10.3390/jmse11040805
Ma C, Jia J, Zhang T, Wu S, Jiang D. Horizontal Trajectory Tracking Control for Underactuated Autonomous Underwater Vehicles Based on Contraction Theory. Journal of Marine Science and Engineering. 2023; 11(4):805. https://doi.org/10.3390/jmse11040805
Chicago/Turabian StyleMa, Caipeng, Jinjun Jia, Tiedong Zhang, Shaoqun Wu, and Dapeng Jiang. 2023. "Horizontal Trajectory Tracking Control for Underactuated Autonomous Underwater Vehicles Based on Contraction Theory" Journal of Marine Science and Engineering 11, no. 4: 805. https://doi.org/10.3390/jmse11040805
APA StyleMa, C., Jia, J., Zhang, T., Wu, S., & Jiang, D. (2023). Horizontal Trajectory Tracking Control for Underactuated Autonomous Underwater Vehicles Based on Contraction Theory. Journal of Marine Science and Engineering, 11(4), 805. https://doi.org/10.3390/jmse11040805
