Critical Dynamic Stress and Cumulative Plastic Deformation of Calcareous Sand Filler Based on Shakedown Theory
Abstract
1. Introduction
2. Experiments
2.1. Instrument
2.2. Samples
2.3. Loading Conditions
2.3.1. Dynamic Load Waveform
2.3.2. Dynamic Load Frequency
2.3.3. Definition of CSR and Determination of Load Amplitude
3. Results and Analysis
3.1. Consolidated Drained Test
3.2. Trend of Calcareous Sand Resilient Modulus
3.3. Definition of Shakedown Status of Calcareous Sand
3.4. Analysis of Cumulative Deformation Law of Calcareous Sand
3.4.1. Effects of CSR
3.4.2. Effects of Confining Pressure
3.5. Critical Dynamic Stress of Calcareous Sand
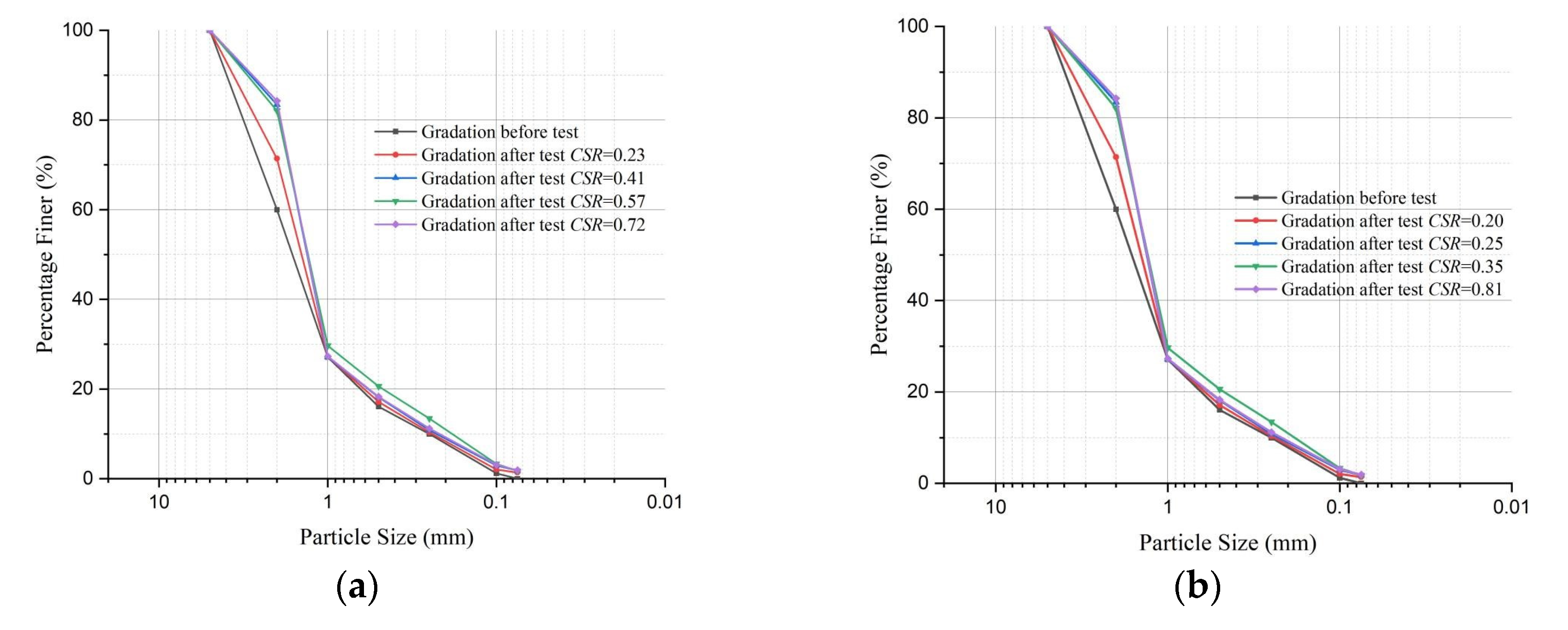
3.6. Trends of Particle Gradation under Different Shakedown Response Statuses
4. Conclusions
- (1)
- In the tri-axial consolidation drainage shear tests on calcareous sand, with the increase in the effective confining pressure, the particle breakage of calcareous sand intensified and the stress–strain curves of calcareous sand showed a change from the strain-softening to the strain-hardening state; the volumetric strain of calcareous sand showed a change from shear shrinkage and then shear expansion to continuous shear shrinkage.
- (2)
- The tri-axial test demonstrated that the evolution law of axial plastic strain in calcareous sand under different axial dynamic stress levels can be described by the shakedown theory, and the response behavior of calcareous sand can be grouped into three categories with the increasing of the axial dynamic stress, namely plastic shakedown, plastic creep and incremental plastic failure, respectively.
- (3)
- The axial plastic strains of calcareous sand increased with the cyclic stress ratio (CSR), while the critical CSR for plastic shakedown and plastic creep increased with an increase in the effective confining pressure.
- (4)
- The empirical critical stress formula for calcareous sand fillers was obtained with confining pressure as the variable, which could be used to determine the plastic shakedown of calcareous sand subgrade structures at any depth and its critical dynamic stress level under plastic creep.
- (5)
- At the initial stage of cyclic loading, calcareous sand samples compacted and the resilient modulus increased rapidly. A further increase in the number of loading cycles caused the particles to break; the finer particles filled the gap between coarse particles, further compacting the samples and increasing their resilient moduli. Hardin’s breakage potential model was also used to quantitatively describe particle breakage before and after the tests on calcareous sand samples, and the results showed that with an increase in CSR, the degree of breakage of sample particles first increased and then stabilized.
Author Contributions
Funding
Institutional Review Board Statement
Informed Consent Statement
Data Availability Statement
Conflicts of Interest
References
- Shahnazari, H.; Rezvani, R. Effective parameters for the particle breakage of calcareous sands: An experimental study. Eng. Geol. 2013, 159, 98–105. [Google Scholar] [CrossRef]
- Wang, X.; Weng, Y.; Wei, H.; Meng, Q.; Hu, M. Particle obstruction and crushing of dredged calcareous soil in the Nansha Islands, South China Sea. Eng. Geol. 2019, 261, 105274. [Google Scholar] [CrossRef]
- Giretti, D.; Fioravante, V.; Been, K.; Dickenson, S.; Mesri, G.; Kane, T. Mechanical properties of a carbonate sand from a dredged hydraulic fill. Geotechnique 2020, 70, 937–942. [Google Scholar] [CrossRef]
- Rui, S.J.; Guo, Z.; Si, T.L.; Li, Y.J. Effect of particle shape on the liquefaction resistance of calcareous sands. Soil Dyn. Earthq. Eng. 2020, 137, 106302. [Google Scholar] [CrossRef]
- Wang, X.; Wang, X.; Jin, Z.; Zhu, C.; Wang, R.; Meng, Q. Investigation of engineering characteristics of calcareous soils from fringing reef. Ocean Eng. 2017, 134, 77–86. [Google Scholar] [CrossRef]
- He, S.H.; Zhi, D.; Xia, T.D.; Zhou, W.H.; Gan, X.L.; Chen, Y.Z.; Xia, F. Long-term behaviour and degradation of calcareous sand under cyclic loading. Eng. Geol. 2017, 278, 105756. [Google Scholar] [CrossRef]
- Chen, Q.; Yu, R.; Li, Y.; Tao, G.; Nimbalkar, S. Cyclic stress-strain characteristics of calcareous sand improved by polyurethane foam adhesive. Transp. Geotech. 2021, 31, 100640. [Google Scholar]
- Ding, Z.; He, S.H.; Sun, Y.F.; Xia, T.D.; Zhang, Q.F. Comparative study on cyclic behavior of marine calcareous sand and terrigenous siliceous sand for transportation infrastructure applications. Constr. Build. Mater. 2021, 283, 122740. [Google Scholar] [CrossRef]
- Wang, Z.; Zhang, L. Experimental Study on Dynamic Parameters of Calcareous Sand Subgrade under Long-Term Cyclic Loading. J. Mar. Sci. Eng. 2022, 10, 1806. [Google Scholar] [CrossRef]
- Shen, X.; Shen, Y.; Xu, J.; Liu, H. Influence of the Fractal Distribution of Particle Size on the Critical State Characteristics of Calcareous Sand. Fractal Fract. 2022, 6, 165. [Google Scholar] [CrossRef]
- Donohue, S.; O’sullivan, C.; Long, M. Particle breakage during cyclic triaxial loading of a carbonate sand. Géotechnique 2009, 59, 477–482. [Google Scholar] [CrossRef]
- Javdanian, H.; Jafarian, Y. Dynamic shear stiffness and damping ratio of marine calcareous and siliceous sands. Geo Mar. Lett. 2018, 38, 315–322. [Google Scholar] [CrossRef]
- Li, X.; Liu, J. One-dimensional compression feature and particle crushability behavior of dry calcareous sand considering fine-grained soil content and relative compaction. Bull. Eng. Geol. Environ. 2021, 80, 4049–4065. [Google Scholar] [CrossRef]
- Peng, Y.; Ding, X.; Zhang, Y.; Wang, C.; Wang, C. Evaluation of the particle breakage of calcareous sand based on the detailed probability of grain survival: An application of repeated low-energy impacts. Soil Dyn. Earthq. Eng. 2021, 141, 106497. [Google Scholar] [CrossRef]
- Lv, Y.; Li, X.; Wang, Y. Particle breakage of calcareous sand at high strain rates. Powder Technol. 2020, 366, 776–787. [Google Scholar] [CrossRef]
- He, S.H.; Zhi, D.; Sun, Y.F.; Chen, W.Y.; Xia, T.D. Cumulative deformations and particle breakage in calcareous sand subjected to drained high-cyclic loading: Experimental investigation. Soil Dyn. Earthq. Eng. 2022, 161, 107417. [Google Scholar] [CrossRef]
- Sharma, S.S.; Ismail, M.A. Monotonic and cyclic behavior of two calcareous soils of different origins. J. Geotech. Geoenviron. 2006, 132, 1581–1591. [Google Scholar] [CrossRef]
- Wang, G.; Wang, Z.N.; Ye, Q.G.; Wei, X. Particle breakage and deformation behavior of carbonate sand under drained and undrained triaxial compression. Int. J. GeoMech. 2020, 20, 04020012. [Google Scholar] [CrossRef]
- Hassanlourad, M.; Salehzadeh, H.; Shahnazari, H. Dilation and particle breakage effects on the shear strength of calcareous sands based on energy aspects. Int. J. Civ. Eng. 2008, 6, 108–119. [Google Scholar]
- Yu, F.W. Particle breakage and the drained shear behavior of sands. Int. J. GeoMech. 2017, 17, 04017041. [Google Scholar] [CrossRef]
- Xiao, Y.; Yuan, Z.X.; Desai, C.S.; Zaman, M.; Ma, Q.F.; Chen, Q.S.; Liu, H.L. Effects of load duration and stress level on deformation and particle breakage of carbonate sands. Int. J. GeoMech. 2020, 20, 06020014. [Google Scholar] [CrossRef]
- Wu, Y.; Li, N.; Wang, X.Z.; Cui, J.; Chen, Y.L.; Wu, Y.H.; Yamamoto, H. Experimental investigation on mechanical behavior and particle crushing of calcareous sand retrieved from South China Sea. Eng. Geol. 2021, 280, 105932. [Google Scholar] [CrossRef]
- Wang, G.; Zha, J.J. Characterisation of permanent deformation behaviour of unbound granular materials under repeated triaxial loading. Soil Dyn. Earthq. Eng. 2020, 138, 106326. [Google Scholar] [CrossRef]
- Cerni, G.; Cardone, F.; Virgili, A.; Camilli, S. Characterisation of permanent deformation behaviour of unbound granular materials under repeated triaxial loading. Constr. Build. Mater. 2012, 28, 79–87. [Google Scholar] [CrossRef]
- Hu, C.; Liu, H.X. Anisotropic bounding-surface plasticity model for the cyclic shakedown and degradation of saturated clay. Comput. Geotech. 2012, 44, 34–47. [Google Scholar] [CrossRef]
- Pasten, C.; Shin, H.; Santamarina, J. Long-term foundation response to repetitive loading. J. Geotech. Geoenviron. 2014, 140, 34–47. [Google Scholar] [CrossRef]
- Qian, J.G.; Wang, Y.G.; Huang, M.S.; Xue, J.F. Experimental identification of plastic shakedown behaviors of saturated clay subjected to traffic loading. Eng. Geol. 2016, 214, 353–362. [Google Scholar] [CrossRef]
- Xiao, Y.; Zheng, K.; Chen, L. Shakedown analysis of cyclic plastic deformation characteristics of unbound granular materials under moving wheel loads. Constr. Build. Mater. 2018, 167, 457–472. [Google Scholar] [CrossRef]
- Wang, K.Y.; Zhuang, Y. Characterizing the permanent deformation Response-Behavior of subgrade material under cyclic loading based on the shakedown theory. Constr. Build. Mater. 2021, 311, 125325. [Google Scholar] [CrossRef]
- Werkmeister, S.; Dawson, A.; Wellner, F. Permanent deformation behaviour of granular materials and the shakedown concept. Transp. Res. Rec. 2003, 1757, 75–81. [Google Scholar] [CrossRef]
- Tao, M.; Mohammad, L.N.; Nazzal, M.D.; Zhang, Z.; Wu, Z. Application of shakedown theory in characterizing traditional and recycled pavement base materials. J. Transp. Eng. 2010, 136, 214–222. [Google Scholar] [CrossRef]
- Chen, W.B.; Yin, J.H.; Feng, W.Q.; Borana, L.; Chen, R.P. Accumulated permanent axial strain of a subgrade fill under cyclic high-speed railway loading. Int. J. Geomech. 2018, 18, 04018018. [Google Scholar] [CrossRef]
- Maqsood, Z.; Koseki, J.; Miyashita, Y.; Xie, J.; Kyokawa, H. Experimental study on the mechanical behaviour of bounded geomaterials under creep and cyclic loading considering effects of instantaneous strain rates. Eng. Geol. 2020, 276, 105774. [Google Scholar] [CrossRef]
- Lin, W.; Liu, A.; Mao, W.; Maqsood, Z.; Koseki, J. Micromechanical behavior of granular soils characterized by acoustic emission. Lithosphere 2021, Special 3, 4061808. [Google Scholar] [CrossRef]
- Ministry of Water Resources. Specification of Soil Test, SL 237-1999; China Water Resources and Hydropower Press: Beijing, China, 1999.
- Civil Aviation Administration of China. Code for Geotechnical Engineering Design of Airports, MH/T 5027-2013; China Civil Aviation Press: Beijing, China, 2013. [Google Scholar]
- Ling, D.S.; Zhao, Y.; Huang, B.; Zhang, F.; Zhou, Y.G. Analysis of dynamic stress path in inhomogenous subgrade under moving aircraft load. Soil Dyn. Earthq. Eng. 2018, 111, 65–76. [Google Scholar] [CrossRef]
- Wan, J.; Li, B.; Gao, Y.; Tan, C.; Feng, C.; Zhang, P. Dynamic response of the inhomogeneous pavement structure containing a buried fault zone under the moving aircraft loads. Bull. Eng. Geol. Environ. 2022, 81, 301. [Google Scholar] [CrossRef]
- Wang, X.Z.; Chen, M.; Wei, H.Z.; Meng, Q.S.; Fu, Y.K. Experimental study on dynamic response of calcareous sand subgrade under vehicle load. Rock Soil Mech. 2018, 39, 190–197. (In Chinese) [Google Scholar]
- Fu, Y.K.; Li, Y.L.; Tan, Y.Q.; Zhang, C. Dynamic response analyses of snow-melting airport rigid pavement under different types of moving loads. Road Mater. Pavement Des. 2019, 20, 943–963. [Google Scholar] [CrossRef]
- Zhang, J.F.; Qian, J.G.; Lv, X.L.; Li, S.; Li, J.S.; Su, E.H. Influence scope of airport runway ground under aircraft moving loads. Chin. J. Geotech. Eng. 2019, 41, 101–104. (In Chinese) [Google Scholar]
- Chen, H.D.; Wei, H.Z.; Meng, Q.S.; Wang, Z.B.; Feng, Z. The Study on stress-strain-strength behavior of calcareous sand with particle breakage. J. Eng. Geol. 2018, 26, 1490–1498. (In Chinese) [Google Scholar]
- Dawson, A.; Mundy, M.; Huhtala, M. European research into granular material for pavement bases and subbases. Transp. Res. Rec. 2002, 1721, 91–99. [Google Scholar] [CrossRef]
- Hardin, B.O. Crushing of soil particles. Int. J. Geotech. Eng. 1985, 111, 1177–1192. [Google Scholar] [CrossRef]




















| Confining Pressure σ3 (kPa) | Deviatoric Stress qCD (kPa) |
|---|---|
| 40 | 541.34 |
| 60 | 622.04 |
| 80 | 657.48 |
| 100 | 719.41 |
| Cumulative Evolutionary form of Deformation | Strain Rate | Note |
|---|---|---|
| A: Plastic shakedown | <1 × 10−5 | Ideal range of design materials |
| B: Plastic creep | 1 × 10−5–8 × 10−5 | Admissible status within control |
| C: Incremental plastic failure | >8 × 10−5 | Avoid occurrence |
| Effective Confining Pressure σ3 | Cyclic Stress Ratio | Shakedown Response Status | Breakage Potential Bp | Extent of Breakage Bt | Relative Breakage Rate Br |
|---|---|---|---|---|---|
| 60 | 0.23 | Plastic shakedown status | 194.13 | 23.49 | 0.121 |
| 60 | 0.41 | 48.14 | 0.248 | ||
| 60 | 0.57 | 48.92 | 0.252 | ||
| 60 | 0.72 | Plastic creep status | 50.09 | 0.258 | |
| 100 | 0.2 | Plastic shakedown status | 44.46 | 0.229 | |
| 100 | 0.25 | 47.17 | 0.243 | ||
| 100 | 0.35 | 56.88 | 0.293 | ||
| 100 | 0.81 | Plastic creep status | 58.82 | 0.303 |
Disclaimer/Publisher’s Note: The statements, opinions and data contained in all publications are solely those of the individual author(s) and contributor(s) and not of MDPI and/or the editor(s). MDPI and/or the editor(s) disclaim responsibility for any injury to people or property resulting from any ideas, methods, instructions or products referred to in the content. |
© 2023 by the authors. Licensee MDPI, Basel, Switzerland. This article is an open access article distributed under the terms and conditions of the Creative Commons Attribution (CC BY) license (https://creativecommons.org/licenses/by/4.0/).
Share and Cite
Wang, K.; Chen, Z.; Wang, Z.; Chen, Q.; Ma, D. Critical Dynamic Stress and Cumulative Plastic Deformation of Calcareous Sand Filler Based on Shakedown Theory. J. Mar. Sci. Eng. 2023, 11, 195. https://doi.org/10.3390/jmse11010195
Wang K, Chen Z, Wang Z, Chen Q, Ma D. Critical Dynamic Stress and Cumulative Plastic Deformation of Calcareous Sand Filler Based on Shakedown Theory. Journal of Marine Science and Engineering. 2023; 11(1):195. https://doi.org/10.3390/jmse11010195
Chicago/Turabian StyleWang, Kangyu, Zhenhuan Chen, Zhe Wang, Qianshen Chen, and Dihui Ma. 2023. "Critical Dynamic Stress and Cumulative Plastic Deformation of Calcareous Sand Filler Based on Shakedown Theory" Journal of Marine Science and Engineering 11, no. 1: 195. https://doi.org/10.3390/jmse11010195
APA StyleWang, K., Chen, Z., Wang, Z., Chen, Q., & Ma, D. (2023). Critical Dynamic Stress and Cumulative Plastic Deformation of Calcareous Sand Filler Based on Shakedown Theory. Journal of Marine Science and Engineering, 11(1), 195. https://doi.org/10.3390/jmse11010195

