Sign in to use this feature.

Years

Between: -

Subjects

remove_circle_outline
remove_circle_outline
remove_circle_outline
remove_circle_outline
remove_circle_outline
remove_circle_outline
remove_circle_outline
remove_circle_outline
remove_circle_outline

Journals

remove_circle_outline
remove_circle_outline
remove_circle_outline
remove_circle_outline
remove_circle_outline
remove_circle_outline
remove_circle_outline
remove_circle_outline
remove_circle_outline
remove_circle_outline
remove_circle_outline
remove_circle_outline
remove_circle_outline
remove_circle_outline

Article Types

Countries / Regions

remove_circle_outline
remove_circle_outline
remove_circle_outline
remove_circle_outline
remove_circle_outline

Search Results (3,239)

Search Parameters:
Keywords = cyclic load

Order results
Result details
Results per page
Select all
Export citation of selected articles as:
34 pages, 2678 KB  
Article
Seismic Performance of Precast Reinforced Concrete Beam–Column Connections with Embedded Steel Sections
by Banu Ardi Hidayat, Yanuar Haryanto, Hsuan-Teh Hu, Feng-Chien Su, Fu-Pei Hsiao, Laurencius Nugroho, Bobby Rio Indriyantho and Erich
Materials 2026, 19(6), 1233; https://doi.org/10.3390/ma19061233 (registering DOI) - 20 Mar 2026
Abstract
Precast reinforced concrete (RC) structures offer advantages in terms of construction efficiency and quality control; however, their seismic performance is governed by the behavior of the beam–column connections. This study presents an experimental investigation of the cyclic response of precast RC beam–column joints [...] Read more.
Precast reinforced concrete (RC) structures offer advantages in terms of construction efficiency and quality control; however, their seismic performance is governed by the behavior of the beam–column connections. This study presents an experimental investigation of the cyclic response of precast RC beam–column joints that include a composite steel connection, designed to enhance strength, stiffness, and damage control in critical regions. A composite joint specimen was tested under displacement-controlled cyclic loading, and its behavior was compared with that of a corresponding pure RC connection. Experimental results showed that the composite configuration effectively prevented premature failure at the beam–column interface, relocated plastic hinges away from the joint core, and significantly improved the load-carrying capacity, stiffness, and energy dissipation. To interpret the experimental observations and examine the internal stress transfer and evolution of damage, a three-dimensional nonlinear finite-element model was developed. The simulations reproduced the observed modes of failure, shapes of deformation, hysteretic responses, and moment distribution trends, particularly in the post-yield and strain-hardening ranges. Although the pinching effects observed experimentally were not fully captured numerically, the overall levels of agreement in the ultimate strength and plastic hinge locations were satisfactory. The combined results indicate that composite steel-reinforced precast beam–column joints represent a promising solution for improving seismic performance. Full article
20 pages, 7822 KB  
Article
Tensile and Low-Cycle Fatigue Behavior, Fracture Mechanisms, and Life Predictions of 316H Stainless Steel at 600~800 °C
by Xiaoyang Sun, Zhengxin Tang and Xikou He
Materials 2026, 19(6), 1228; https://doi.org/10.3390/ma19061228 - 20 Mar 2026
Abstract
In this study, the tensile properties, low-cycle fatigue behavior, and microscopic fatigue-failure mechanisms of 316H stainless steel in the temperature range of 600–800 °C were systematically investigated by means of tensile tests, high-temperature low-cycle fatigue tests, and scanning electron microscopy (SEM) analysis of [...] Read more.
In this study, the tensile properties, low-cycle fatigue behavior, and microscopic fatigue-failure mechanisms of 316H stainless steel in the temperature range of 600–800 °C were systematically investigated by means of tensile tests, high-temperature low-cycle fatigue tests, and scanning electron microscopy (SEM) analysis of fatigue fracture surfaces. Based on experimental data fitting, a life prediction model for the material in the high-temperature regime was established. The results indicate that the mechanical behavior of 316H stainless steel under both static and cyclic loading is significantly influenced by temperature and strain amplitude. Compared with its room-temperature properties, at 800 °C, the elastic modulus of 316H stainless steel decreases by approximately 30%, the tensile strength drops by about 60%, while the elongation after fracture increases by roughly 100%. Within the temperature range of 600–800 °C, the fatigue performance deteriorates with the increasing temperature, and the cyclic hardening rate accelerates as the temperature rises. The fracture mode in the instantaneous fracture zone of the fatigue fracture surface transitions from predominantly transgranular fracture to a mixed mode of transgranular and intergranular fracture as the temperature increases to 800 °C. Under higher strain amplitudes (around 0.6%), 316H stainless steel exhibits Masing behavior and dynamic strain aging (DSA). Correspondingly, the crack-initiation mode on the fatigue fracture surface shifts from a single surface source to multiple surface sources. A three-parameter model was employed to fit the strain–amplitude versus fatigue–life relationships of 316H stainless steel in the 600–800 °C range, showing good agreement with the experimental data, with most data points falling within a factor-of-two error band. Full article
Show Figures

Graphical abstract

22 pages, 6289 KB  
Article
Enhancing Infrastructure Resilience Through Technology: A Study on Fracture and Damage Evolution in Beishan Granite Under Cyclic Loading
by Gen Li, Chuanle Wang, Yuan Ma, Shihua Dong and Zizheng Sun
Appl. Sci. 2026, 16(6), 2992; https://doi.org/10.3390/app16062992 - 20 Mar 2026
Abstract
The fracture behavior of Beishan granite is a critical scientific basis for evaluating and ensuring the long-term safety of geological repositories for high-level radioactive waste under extreme thermal–mechanical conditions. With increasing emphasis on climate-resilient infrastructure, understanding the mechanical response of deep geological materials [...] Read more.
The fracture behavior of Beishan granite is a critical scientific basis for evaluating and ensuring the long-term safety of geological repositories for high-level radioactive waste under extreme thermal–mechanical conditions. With increasing emphasis on climate-resilient infrastructure, understanding the mechanical response of deep geological materials under cyclic loading and simulating long-term environmental conditions are essential for sustainable engineering management. Previous studies have predominantly concentrated on the fracture characteristics under static loading tests, with limited research conducted on the characteristic parameters of acoustic emission (AE) during cyclic loading and the morphology of fractures post-failure. Contributing to the field of resilient infrastructure, this paper presents static and cyclic loading tests using MTS815 equipment on Beishan deep granite (CCNBD type). To determine the rock fracture toughness of mode I and fracture roughness, static loading and cyclic loading tests were conducted using MTS815 equipment with Beishan deep granite (CCNBD type) as the subject of study. AE and 3D laser scanning were employed to acquire the characteristic parameters of acoustic emission (AE) during loading and the morphology of fracture surfaces after failure in the specimens. The results revealed that CCNBD specimens demonstrated pronounced brittle tensile failure under static and cyclic loading conditions. The rock fracture toughness obtained in static tests was 1.180 MPa·m1/2, whereas under cyclic loading, it was 1.153 MPa·m1/2. In comparison to static loading, cyclic loading led to a greater accumulation of microcracks inside the specimens, resulting in a 9.8% increase in the length of the fracture process zone. A 57.5% increase in section roughness (fractal dimension) was observed after the failure of the specimen in comparison to static loading. Full article
Show Figures

Figure 1

17 pages, 9011 KB  
Article
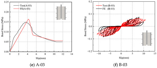
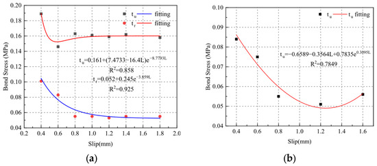
Effect of Anchorage Length on Bond–Slip Behavior of Cold-Formed Checkered Steel and Foamed Concrete
by Haitao Chen, Yaoyong Zhang, Zhifeng Xu, Huichao Zhang, Yanze Sun and Yishun Wang
Buildings 2026, 16(6), 1221; https://doi.org/10.3390/buildings16061221 - 19 Mar 2026
Abstract
To further improve the seismic behavior of high-strength foam concrete filled cold-formed checkered steel composite wall structures, it is crucial to investigate the bond–slip behavior between the cold-formed checkered steel (CFCS) and foam concrete (FC) within the wall. Hence, six CFCSFC specimens were [...] Read more.
To further improve the seismic behavior of high-strength foam concrete filled cold-formed checkered steel composite wall structures, it is crucial to investigate the bond–slip behavior between the cold-formed checkered steel (CFCS) and foam concrete (FC) within the wall. Hence, six CFCSFC specimens were designed and subjected to monotonic and cyclic loading tests to study the influence of anchorage lengths on failure modes, bond strength-slip displacement curves, and characteristic bond strength. Results indicated that with the anchorage length increases, the ultimate bond strength of the specimens continuously decreases, and the specimens exhibit more severe failure under cyclic loading than monotonic loading. Compared to the specimens with a 400 mm anchorage length, the ultimate bond strength decreased by 4.8–9.6% for those with a 500 mm length, and by 10.7–16.0% for those with a 600 mm length. Strain along the inner flange of the steel section generally decreased with increasing anchorage length, with loading end strain significantly exceeding free-end strain. Finite element simulations revealed that specimen failure primarily manifested as steel section yielding when anchorage lengths ranged from 1400 mm to 1800 mm. Furthermore, a calculation formula for characteristic bond strength as a function of anchorage length was proposed. Full article
(This article belongs to the Section Building Structures)
Show Figures

Figure 1

18 pages, 3981 KB  
Article
Static and Cyclic Mechanical Behavior of 3D-Printed PEEK Under Tensile and Compressive Loads
by Francisco Pina, Carlos M. S. Vicente, Joaquim Justino Netto and Luís Reis
Polymers 2026, 18(6), 748; https://doi.org/10.3390/polym18060748 - 19 Mar 2026
Abstract
Polyether ether ketone (PEEK) is a high-performance polymer with exceptional mechanical properties, durability and lightweight. 3D printing of PEEK can be very beneficial in the medical industry to manufacture patient-specific implants; however, there is a lack of studies regarding the fatigue behavior of [...] Read more.
Polyether ether ketone (PEEK) is a high-performance polymer with exceptional mechanical properties, durability and lightweight. 3D printing of PEEK can be very beneficial in the medical industry to manufacture patient-specific implants; however, there is a lack of studies regarding the fatigue behavior of 3D-printed PEEK, especially under compression, which is closely related to its potential applications. This paper investigates the static and dynamic mechanical performance of 3D-printed PEEK. Tensile and compression tests were conducted on specimens with ±45° raster orientation. Annealing at 270 °C for 5 h increased crystallinity from 34.4% to 41.4% yet unexpectedly reduced tensile strength from 60.8 MPa to 47.3 MPa, while increasing Young’s modulus from 2.51 GPa to 3.51 GPa. Micro-CT analysis revealed increased pore size after annealing. Static compression strength showed improvement post-annealing, increasing from 80.1 MPa to 126.7 MPa, with modulus rising from 1.64 GPa to 2.28 GPa. Compression–compression fatigue tests, performed at 5 Hz and 2.5 Hz with stress amplitudes of 70–95% of maximum strength (R = 0.1), enabled the construction of the first S-N curve for 3D-printed PEEK under compressive loading. Annealed specimens exhibited superior fatigue life, with infinite life achieved at 83.3 MPa (70% of static strength). Thermal imaging highlighted the role of temperature in fatigue failure, showing that annealed specimens endured higher thermal loads. These findings support the suitability of 3D-printed PEEK for load-bearing biomedical applications under cyclic compressive loads. Full article
(This article belongs to the Special Issue Research Progress on Mechanical Behavior of Polymers, 2nd Edition)
Show Figures

Figure 1

28 pages, 3262 KB  
Article
Computational Integrity Assessment of Corrosion-Aged Reinforced Concrete Frames Under Cyclic Lateral Loading
by Halit Erdem Çolakoğlu and Muhammed Öztemel
Buildings 2026, 16(6), 1203; https://doi.org/10.3390/buildings16061203 - 18 Mar 2026
Viewed by 44
Abstract
Reinforcement corrosion is one of the primary deterioration mechanisms affecting the long-term seismic performance of reinforced concrete (RC) structures. Although the effects of corrosion on individual RC members have been widely investigated, its influence on the cyclic behavior of RC frame systems has [...] Read more.
Reinforcement corrosion is one of the primary deterioration mechanisms affecting the long-term seismic performance of reinforced concrete (RC) structures. Although the effects of corrosion on individual RC members have been widely investigated, its influence on the cyclic behavior of RC frame systems has received limited attention. This study numerically investigates the seismic response of a single-bay reinforced concrete frame subjected to cyclic lateral loading under various corrosion scenarios. A three-dimensional nonlinear finite element model was developed in ABAQUS, incorporating corrosion-induced effects such as reinforcement cross-sectional loss, degradation of mechanical properties, bond strength deterioration, and concrete softening. The corrosion propagation rate and exposure duration were considered as key parameters, and different corrosion scenarios were comparatively evaluated. The numerical model was validated using an experimentally tested non-corroded reinforced concrete frame subjected to cyclic loading. The results demonstrate that reinforcement corrosion leads to significant degradation in the seismic performance of RC frames. Depending on corrosion severity, reductions of up to approximately 25% in lateral load capacity and up to 27% in both initial stiffness and energy dissipation capacity were observed. The findings further indicate that stiffness- and energy-based performance indicators are more sensitive to corrosion damage than strength-based indicators. The study highlights the importance of explicitly accounting for corrosion effects in the seismic performance assessment of reinforced concrete frame systems and provides a practical numerical framework for evaluating corrosion-induced performance degradation. Full article
(This article belongs to the Special Issue Corrosion and Seismic Resistance of Structures)
Show Figures

Figure 1

21 pages, 3907 KB  
Article
Finite Element Analysis of Seismic Performance of Semi-Rigid Steel Frame Equipped with a New Composite Shear Wall
by Jieyu Song, Zhenyuan Gu, Lu Feng, Shijie Xu, Ying Sun and Wangping Qian
Buildings 2026, 16(6), 1193; https://doi.org/10.3390/buildings16061193 - 18 Mar 2026
Viewed by 39
Abstract
The steel frame-shear wall composite system has excellent lateral resistance performance in prefabricated steel structure buildings. However, the traditional steel plate concrete shear wall is prone to early buckling of the steel plate and concentrated interface damage under cyclic loading, which limits its [...] Read more.
The steel frame-shear wall composite system has excellent lateral resistance performance in prefabricated steel structure buildings. However, the traditional steel plate concrete shear wall is prone to early buckling of the steel plate and concentrated interface damage under cyclic loading, which limits its energy dissipation capacity. This study presents a steel plate-enhanced reinforced concrete shear wall (SPRCSW) with an internal corrugated steel plate and double-layer steel mesh working together and conducts a selection study based on finite element analysis. Under the same design conditions, the peak bearing capacity in the positive and reverse directions of the SPRCSW is increased by approximately 55.4% and 46.9%, respectively, compared to the ordinary reinforced concrete shear wall, with a ductility coefficient reaching 6.08. The stiffness decline is mild, and the hysteretic curve is complete. Then, this paper forms an SR-SPRCSW composite structural system by combining the new shear wall with a steel frame using semi-rigid joints. Through the comparison of the finite element analysis and low-cycle reverse loading test results of the SR-SPRCSW structure, it is verified that the overall structural system shows good agreement in hysteretic response, skeleton curve characteristics, and failure mode under both research methods, with the peak shear bearing capacity error of less than 1% and the overall bearing capacity deviation controlled within 8%. On this basis, the key parameters of the semi-rigid joints in the SR-SPRCSW structure are analyzed. The results show that the strengthening of the “top and bottom + double web” angle steel joint can raise the peak bearing capacity of the SR-SPRCSW structure by approximately 26.1% and the yield displacement by approximately 29.5%; increasing the strength grade and diameter of high-strength bolts can heighten the initial stiffness and bearing capacity of the overall structure, but ductility slightly decreases; the thickness of the angle steel has a significant impact on the stiffness and deformation capacity of the structure, and a recommended range of values with better comprehensive performance is provided. The findings offer valuable insights for designing seismic-resistant semi-rigid steel frames with steel plate reinforced concrete shear walls and optimizing their parameters. Full article
(This article belongs to the Section Building Structures)
Show Figures

Figure 1

18 pages, 5169 KB  
Article
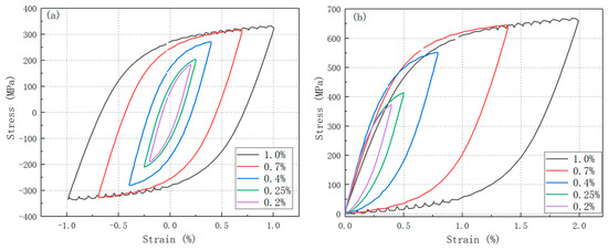
Physics-Constrained Identification and OpenSees Deployment of a Twelve-Parameter BWBN Model for RC Column Hysteresis
by Bochen Wang, Hongqian Lu, Weiming Gong, Zele Li, Jiaqing Shu and Xiaoqing Gu
Buildings 2026, 16(6), 1184; https://doi.org/10.3390/buildings16061184 - 18 Mar 2026
Viewed by 52
Abstract
Accurate simulation of reinforced concrete (RC) members under cyclic loading requires hysteresis models that capture degradation and pinching, yet inverse identification of such models remains challenging because the internal-state evolution is strongly coupled and sensitive to incremental consistency. This study develops a physics-constrained, [...] Read more.
Accurate simulation of reinforced concrete (RC) members under cyclic loading requires hysteresis models that capture degradation and pinching, yet inverse identification of such models remains challenging because the internal-state evolution is strongly coupled and sensitive to incremental consistency. This study develops a physics-constrained, model-based framework to identify the full twelve-parameter Bouc–Wen–Baber–Noori (BWBN) model directly from cyclic force–displacement records and to deploy the calibrated parameters in OpenSees. Parameter estimation is posed as a bound-constrained nonlinear least-squares problem, where each objective evaluation advances the BWBN internal variables through a discrete incremental constitutive update and accumulates the energy-driven deterioration measure using a consistent trapezoidal work integration. Validation on nine RC column tests covering flexural, flexural–shear, and shear failures shows good agreement between simulated and experimental hysteresis loops, with R2 ranging from 0.956 to 0.986 and RMSE ranging from 0.06 to 0.09 over the full records. Unlike simpler hysteresis models that omit degradation and pinching, the calibrated BWBN model reproduces mode-dependent deterioration and reloading pinching, and the identified parameters can be used directly in OpenSees for subsequent nonlinear simulations. Full article
(This article belongs to the Special Issue Seismic Performance of Steel and Composite Structures)
Show Figures

Figure 1

25 pages, 2557 KB  
Article
Fatigue Assessment of Notched AM Scalmalloy Incorporating Surface Roughness in an Energy-Based Framework
by Sabrina Vantadori, Camilla Ronchei, Andrea Zanichelli and Daniela Scorza
Appl. Sci. 2026, 16(6), 2895; https://doi.org/10.3390/app16062895 - 17 Mar 2026
Viewed by 114
Abstract
In engineering practice, additively manufactured (AM) metal and metal alloy structural components, which often contain geometric discontinuities to fulfil functional requirements, are subjected to cyclic service loads. Among the possible loading configurations, far-field Mode I loading is frequently considered as a nominal reference [...] Read more.
In engineering practice, additively manufactured (AM) metal and metal alloy structural components, which often contain geometric discontinuities to fulfil functional requirements, are subjected to cyclic service loads. Among the possible loading configurations, far-field Mode I loading is frequently considered as a nominal reference condition. Within this context, a methodology for the fatigue assessment of notched AM Scalmalloy components subjected to Mode I far-field loading is proposed, combining the Strain Energy Density (SED) approach with a multiaxial critical plane-based fatigue criterion. The fatigue assessment is carried out at a verification point whose position is defined as a function of the characteristic length of the SED control volume for Mode I loading, determined through two alternative procedures, and of the surface roughness of the component. The proposed methodology is validated against experimental fatigue data available in the literature for AM Scalmalloy specimens featuring a circumferential semi-circular notch and subjected to Mode I far-field cyclic loading, which induces a locally multiaxial stress state at the notch root, given that the formulation does not rely on material-specific assumptions and could in principle be extended to other notched AM metal and metal alloy components. Full article
(This article belongs to the Special Issue Fatigue and Fracture Behavior of Engineering Materials)
Show Figures

Figure 1

30 pages, 6442 KB  
Article
From Strength to Repairability: Normalized Performance Metrics for Welded, Bolted and Replaceable-Fuse Steel Moment Connections
by Yao Wang, Shufeng Zhang, Feng Zhang, Minjie Tu, Hongguang Xu and Dong Li
Appl. Sci. 2026, 16(6), 2892; https://doi.org/10.3390/app16062892 - 17 Mar 2026
Viewed by 111
Abstract
Beam-to-column connections govern both seismic performance and post-earthquake repairability of steel moment-resisting frames. Yet direct, apples-to-apples comparisons among welded, bolted, and repair-oriented replaceable-fuse moment connections are still scarce, which hinders rational selection for resilient construction. This study conducts a unified finite-element comparison of [...] Read more.
Beam-to-column connections govern both seismic performance and post-earthquake repairability of steel moment-resisting frames. Yet direct, apples-to-apples comparisons among welded, bolted, and repair-oriented replaceable-fuse moment connections are still scarce, which hinders rational selection for resilient construction. This study conducts a unified finite-element comparison of three representative joint archetypes—W-RBS, Bolted, and Prefab-web-fuse—under monotonic and cyclic loading. Consistent moment-rotation definitions are adopted, and normalized indices are introduced to compare hysteresis shape, degradation, and energy dissipation across joint concepts with different strength scales. Component-wise plastic dissipation is also extracted to quantify damage localization and assess main-frame protection and replaceability. Results reveal clear trade-offs: W-RBS provides the highest strength and dissipation but degrades most in stiffness; the bolted joint shows pinching due to interface compliance; and the web-fuse concept concentrates inelastic demand in a replaceable segment, supporting repairability-oriented design. The proposed framework offers mechanism-based guidance for selecting steel moment connections toward resilient and repairable frames. Full article
(This article belongs to the Section Civil Engineering)
Show Figures

Figure 1

24 pages, 3793 KB  
Article
Microstructure and Dynamic Properties of CrMnFeCoNi(Al)8 Laser Cladding Coatings on Urban Rail Wheels
by Xu Zhang, Peixin Wei, Yuqing Wang, Bingzhi Chen, Wenfang Dong and Xianglong Cao
Materials 2026, 19(6), 1173; https://doi.org/10.3390/ma19061173 - 17 Mar 2026
Viewed by 113
Abstract
Urban rail wheels endure prolonged exposure to frequent starts and stops, heavy cyclic loads, and complex track conditions, which often lead to premature failure modes such as wear, fatigue cracking, and corrosion in conventional wheel materials. These limitations restrict their ability to meet [...] Read more.
Urban rail wheels endure prolonged exposure to frequent starts and stops, heavy cyclic loads, and complex track conditions, which often lead to premature failure modes such as wear, fatigue cracking, and corrosion in conventional wheel materials. These limitations restrict their ability to meet the evolving demands of modern rail systems for enhanced durability and performance. To address this, the present study uses laser cladding to deposit high-entropy alloy coatings with systematically varied aluminium content onto wheel substrates. The study compares phase composition, microstructure, and mechanical properties across the different coatings. Results show that increasing Al content transforms the coating microstructure from a single face-centred cubic (FCC) phase to a dual-phase structure of FCC and body-centred cubic (BCC) phases, accompanied by notable grain refinement. Among the variants, the CrMnFeCoNi(Al)8 coating has the densest microstructure and the most favourable mechanical performance. It achieves a microhardness of 399.62 HV0.5 in the as-clad state and 450 ± 5 HV0.5 after heat treatment, representing an increase of approximately 12.6%. This coating also demonstrates improved corrosion resistance, with an open-circuit potential 0.07 V higher than the CL60 substrate. Multi-body dynamics simulations confirm that the clad wheels maintain excellent operational stability and safety under service conditions. Full article
(This article belongs to the Section Metals and Alloys)
Show Figures

Graphical abstract

15 pages, 5982 KB  
Article
Cyclic Voltammetry-Assisted Electrodeposition of TiO2/PANI Thin Films on Boron-Doped Diamond and Fluorine-Doped Tin Oxide: Effect of Composition on Interfacial and Electrochemical Properties
by Robert Josep Villanueva-Silva, Ulises Páramo-García, Ricardo García-Alamilla, Luis Alejandro Macclesh del Pino-Pérez and Joel Moreno-Palmerin
Surfaces 2026, 9(1), 29; https://doi.org/10.3390/surfaces9010029 - 17 Mar 2026
Viewed by 103
Abstract
This study presents the successful electrodeposition of polyaniline (PANI) and TiO2/PANI composites on boron-doped diamond (BDD) and fluorine-doped tin oxide (FTO) substrates via cyclic voltammetry. Using 20 scan cycles in 0.5 M H2SO4, we synthesized thin films [...] Read more.
This study presents the successful electrodeposition of polyaniline (PANI) and TiO2/PANI composites on boron-doped diamond (BDD) and fluorine-doped tin oxide (FTO) substrates via cyclic voltammetry. Using 20 scan cycles in 0.5 M H2SO4, we synthesized thin films with tailored electrochemical properties. The formation of PANI was confirmed by characteristic redox peaks in the voltammograms, while FTIR spectroscopy identified key functional groups and bonding interactions between TiO2 and PANI. Morphological analysis via optical and scanning electron microscopy revealed uniform but cracked surfaces influenced by TiO2 loading. Composite electrodes with molar ratios of 2:1, 4:1, and 6:1 (TiO2:PANI) were compared, showing increased titanium content with higher ratios, as confirmed by EDS. This work offers a reproducible route for designing modified electrodes with enhanced interfacial properties. Full article
Show Figures

Graphical abstract

21 pages, 4137 KB  
Article
Analysis of 3D-Printed Cycloidal Gear Degradation in a Run-to-Failure Test
by Krzysztof Olejarczyk, Marcin Wikło and Miroslaw Rucki
Appl. Sci. 2026, 16(6), 2866; https://doi.org/10.3390/app16062866 - 16 Mar 2026
Viewed by 96
Abstract
The paper presents results of a degradation analysis of polyamide 12 reinforced with carbon fibers used for additive manufacturing of cycloidal gear. Both FEM simulation and a fatigue test indicated the ability of the material to withstand loads during the work of cycloidal [...] Read more.
The paper presents results of a degradation analysis of polyamide 12 reinforced with carbon fibers used for additive manufacturing of cycloidal gear. Both FEM simulation and a fatigue test indicated the ability of the material to withstand loads during the work of cycloidal transmission. However, a run-to-failure (RTF) test revealed critical failure after 105 cycles, with displacement and damage of the material in the area close to bearing instead of expected areas of teeth being in friction with pins. Acceleration analysis with time synchronous averaging (TSA) confirmed rapid degradation of the material’s strength at the end of the RTF test. It was found that the PA12 cycloidal gear damage was a result of fatigue accelerated by the temperature increase under the cyclic loads that took place during the RTF test. In particular, displacement of 0.2 mm did not appear in the specimens tested at 27 °C even after 105 cycles, while at 140 °C this value was reached almost immediately. At 70 °C and 90 °C, plastic deformation of 0.2 mm was reached after 30,000 and 5000 cycles, respectively. The finding can be used in a predictive maintenance system of such cycloidal transmission with 3D-printed polymer gears. Full article
Show Figures

Figure 1

17 pages, 4901 KB  
Article
A New Portable Smart Percussion System Embedded on Raspberry Pi for Bolt Looseness Detection
by Weiliang Zheng, Duanhang Zhang, Keyu Du and Furui Wang
Machines 2026, 14(3), 337; https://doi.org/10.3390/machines14030337 - 16 Mar 2026
Viewed by 138
Abstract
Bolted joints are extensively used in a wide range of industrial and commercial structures, making their condition monitoring essential for ensuring structural integrity and operational safety. Under the influence of vibration, cyclic loading, and environmental factors, bolts may gradually lose preload, which can [...] Read more.
Bolted joints are extensively used in a wide range of industrial and commercial structures, making their condition monitoring essential for ensuring structural integrity and operational safety. Under the influence of vibration, cyclic loading, and environmental factors, bolts may gradually lose preload, which can degrade joint stiffness and eventually lead to structural failure. To address this issue, this study presents a smart percussion system developed on a Raspberry Pi platform that integrates acoustic signal acquisition, real-time signal processing, and visualization of diagnostic results. A bolt looseness detection strategy combining audio feature extraction with unsupervised learning is proposed. In contrast to traditional percussion-based approaches that depend on supervised learning and predefined baseline datasets, the proposed method does not require prior reference data, significantly improving its adaptability and ease of deployment across different structures, which shows essential practical significance. Experimental investigations demonstrate the effectiveness and advantages of the proposed system, indicating its strong potential to enhance percussion-based bolt looseness detection and to support real-time structural health monitoring, which are real-world engineering applications. Full article
(This article belongs to the Special Issue AI-Driven Reliability Analysis and Predictive Maintenance)
Show Figures

Figure 1

22 pages, 2644 KB  
Article
Thermal Stress Response in Flat-Tubular Solid Oxide Fuel Cells Induced by Transient Temperature Rise During Thermal Cycling
by Yuxing Hu, Qi Xu, Chengtian Wang and Fuxing Miao
Energies 2026, 19(6), 1452; https://doi.org/10.3390/en19061452 - 13 Mar 2026
Viewed by 137
Abstract
High-temperature Solid Oxide Fuel Cells (SOFCs) typically operate under conditions involving repeated thermal cycling. The transient temperature rise during thermal cycling directly affects the stress distribution within the SOFC structure, particularly inducing non-uniform thermal stresses in the electrolyte layer. This can readily lead [...] Read more.
High-temperature Solid Oxide Fuel Cells (SOFCs) typically operate under conditions involving repeated thermal cycling. The transient temperature rise during thermal cycling directly affects the stress distribution within the SOFC structure, particularly inducing non-uniform thermal stresses in the electrolyte layer. This can readily lead to cracking and fracture of the SOFCs, potentially degrading overall system performance. Therefore, investigating the effects of cyclic thermal loading on structural stress distribution is essential for optimizing SOFC design. To this end, this study developed a coupled thermo-chemo-mechanical finite element analysis for a planar tubular SOFC. The model is employed to analyze the influence of thermal impact on the thermal stress distribution within the cell structure under multiple thermal cycling conditions. The results indicate that both the transient temperature rise during SOFC operation and the number of thermal cycles significantly affect the peak stress in the electrolyte layer and the overall performance stability of the cell. By optimizing the geometric configuration of the flat-tubular and the transient temperature rise during thermal cycling, the thermal stress field distribution in the electrolyte can be improved. These findings provide theoretical guidance for optimizing the design and engineering application of high-temperature SOFCs. Full article
Show Figures

Figure 1

Back to TopTop